Pre-Existing Interventions as NBS Candidates to Address Societal Challenges
Abstract
:1. Introduction
2. Materials and Methods
2.1. Study Area Description
2.2. Mapping of Pre-Existing Interventions
2.3. Challenge-Orientation Assessment
3. Results
3.1. Mapping of Pre-Excited Interventions
3.2. Challenge-Orientation Assessment
4. Discussion
4.1. Pre-Existing Interventions as NBS Candidates: A Case Study Example
4.2. Challenge-Orientation of Pre-Existing NBS Solutions: Scale of Assessment Implications
4.3. Limitations of the Adopted Approach and Future Outlook
5. Conclusions
Author Contributions
Funding
Institutional Review Board Statement
Informed Consent Statement
Data Availability Statement
Acknowledgments
Conflicts of Interest
References
- European Commission. Towards an EU Research and Innovation Policy Agenda for Nature-Based Solutions & Re-Naturing Cities; European Commission: Brussels, Belgium, 2015. [Google Scholar]
- IUCN. Global Standard for Nature-Based Solutions. A User-Friendly Framework for the Verification, Design and Scaling up of NbS, 1st ed.; IUCN: Gland, Switzerland, 2020; Available online: https://portals.iucn.org/library/sites/library/files/documents/2020-020-En.pdf (accessed on 29 March 2022).
- Wendling, L.; Garcia, J.; Descoteaux, D.; Sowińska-Świerkosz, B.; McPhearson, T.; Frantzeskaki, N.; La Rosa, D.; Yiwen, Z.; Lin, T.; Fidélis, T.; et al. Editorial: Introduction to the Nature-Based Solutions journal. Nat.-Based Solut. 2021, 1, 100003. [Google Scholar] [CrossRef]
- Sowińska-Świerkosz, B.; García, J. A new evaluation framework for nature-based solutions (NBS) projects based on the application of performance questions and the indicators approach. Sci. Total Environ. 2021, 787, 147615. [Google Scholar] [CrossRef] [PubMed]
- Somarakis, G.; Stagakis, S.; Chrysoulakis, N. (Eds.) Think Nature Nature-Based Solutions Handbook, Think Nature Project Funded by the EU Horizon 2020 Research and Innovation Programme under Grant Agreement No 730338. 2019. Available online: https://www.researchgate.net/publication/339983272_ThinkNature_Nature-Based_Solutions_Handbook (accessed on 29 March 2022).
- Fastenrath, S.; Bush, J.; Coenen, L. Scaling-up nature-based solutions. Lessons from the Living Melbourne strategy. Geoforum 2020, 116, 63–72. [Google Scholar] [CrossRef]
- Sowińska-Świerkosz, B.; Michalik-Śnieżek, M.; Bieske-Matejak, A. Can Allotment Gardens (AGs) Be Considered an Example of Nature-Based Solutions (NBS) Based on the Use of Historical Green Infrastructure? Sustainability 2021, 13, 835. [Google Scholar] [CrossRef]
- Sowińska-Świerkosz, B.; García, J. What are Nature-based solutions (NBS)? Setting core ideas for concept clarification. Nat.-Based Solut. 2022, 2, 100009. [Google Scholar] [CrossRef]
- Herrmann-Pillath, C.; Hiedanpää, J.; Soini, K. The co-evolutionary approach to nature-based solutions: A conceptual framework. Nat.-Based Solut. 2022, 2, 100011. [Google Scholar] [CrossRef]
- Albert, C.; Brillinger, M.; Guerrero, P.; Gottwald, S.; Henze, J.; Schmidt, S.; Ott, E.; Schröter, B. Planning nature-based solutions: Principles, steps, and insights. Ambio 2021, 50, 1446–1461. [Google Scholar] [CrossRef]
- Cohen-Shacham, E.; Walters, G.; Janzen, C.; Maginnis, S. (Eds.) Nature-Based Solutions to Address Global Societal Challenges; IUCN: Gland, Switzerland, 2016; Available online: https://portals.iucn.org/library/sites/library/files/documents/2016-036.pdf (accessed on 29 March 2022).
- Dumitru, A.; Wendling, L. (Eds.) Evaluating the Impact of Nature-Based Solutions: A Handbook for Practitioners; European Commission: Luxembourg, 2021; Available online: https://op.europa.eu/en/publication-detail/-/publication/d7d496b5-ad4e-11eb-9767-01aa75ed71a1 (accessed on 29 March 2022).
- Science for Environment Policy. The Solution Is in Nature. Future Brief 24; Brief Produced for the European Commission DG Environment; Science Communication Unit, UWE Bristol: Bristol, UK, 2021. [Google Scholar]
- Pirro, E.D.; Sallustio, L.; Castellar, J.A.C.; Sgrigna, G.; Marchetti, M.; Lasserre, B. Facing Multiple Environmental Challenges through Maximizing the Co-Benefits of Nature-Based Solutions at a National Scale in Italy. Forests 2022, 13, 548. [Google Scholar] [CrossRef]
- Croeser, T.; Garrard, G.; Sharma, R.; Ossola, A.; Bekessy, S. Choosing the right nature-based solutions to meet diverse urban challenges. Urban For. Urban Green. 2021, 65, 127337. [Google Scholar] [CrossRef]
- Sowińska-Świerkosz, B.; Wójcik-Madej, J.; Michalik-Śnieżek, M. An Assessment of the Ecological Landscape Quality (ELQ) of Nature-Based Solutions (NBS) Based on Existing Elements of Green and Blue Infrastructure (GBI). Sustainability 2021, 13, 11674. [Google Scholar] [CrossRef]
- The Lublin City Council. Study of Conditions and Directions for Spatial Development of the City of Lublin 2019 Resolution; No. 283/VIII/2019 1 July 2019; The Lublin City Council: Lublin, Poland, 2019. [Google Scholar]
- Czupryn, P.; Szostok, A.; Ioannidis, K. Environmental Impact Assessment Development Strategy of Lublin Municipality for 2021–2030; Lublin City Hall: Lublin, Poland, 2021. Available online: https://lublin.eu/gfx/lublin/userfiles/_public/biznes/aktualnosci/konsultacje_spoleczne_ii_etap/prognoza_oddzialywania_na_srodowisko_strategii_lublin_2030.pdf (accessed on 29 March 2022).
- Eggermont, H.; Balian, E.; Azevedo, J.M.N.; Beumer, V.; Brodin, T.; Claudet, J.; Fady, B.; Grube, M.; Keune, H.; Lamarque, P.; et al. Nature-Based Solutions: New Influence for Environmental Management and Research in Europe; GAIA Ecological Perspectives for Science and Society; OekomVerlag: Munich, Germany, 2015; Volume 24, pp. 243–248. [Google Scholar]
- Xie, L.; Bulkeley, H.; Tozerd, L. Mainstreaming sustainable innovation: Unlocking the potential of nature-based solutions for climate change and biodiversity. Environ. Sci. Policy 2022, 132, 119–130. [Google Scholar] [CrossRef]
- Young, A.F.; Marengo, J.A.; Martins Coelho, J.O.; Scofield, G.B.; de Oliveira Silva, C.C.; Prieto, C.C. The role of nature-based solutions in disaster risk reduction: The decision maker’s perspectives on urban resilience in São Paulo state. Int. J. Disaster Risk Reduct. 2019, 39, 101219. [Google Scholar] [CrossRef]
- Frantzeskaki, N. Seven lessons for planning nature-based solutions in cities. Environ. Sci. Policy 2019, 93, 101–111. [Google Scholar] [CrossRef]
- Raymond, C.M.; Frantzeskaki, N.; Kabisch, N.; Berry, P.; Breil, M.; Nita, M.R.; Calfapietra, C. A framework for assessing and implementing the co-benefits of nature-based solutions in urban areas. Environ. Sci. Policy 2017, 77, 15–24. [Google Scholar] [CrossRef]
- Kolokotsa, D.; Lilli, A.A.; Lilli, M.A.; Nikolaidis, N.P. On the impact of nature-based solutions on citizens’ health & well being. Energy Build. 2020, 229, 110527. [Google Scholar] [CrossRef]
- Korkmaz, C.; Balaban, O. Sustainability of urban regeneration in Turkey: Assessing the performance of the North Ankara Urban Regeneration Project. Habitat Int. 2020, 95, 102081. [Google Scholar] [CrossRef]
- López, A.; Mabe, L.; Cantergiani, C. Integration of multiple methodologies to evaluate effects of Nature Based Solutions on urban climate mitigation and adaptation. IOP Conf. Ser. Earth Environ. Sci. 2019, 323, 012078. [Google Scholar] [CrossRef]
- MacKinnon, K.; Dudley, N.; Sandwith, T. Natural solutions: Protected areas helping people to cope with climate change. Oryx 2011, 45, 461–462. [Google Scholar] [CrossRef] [Green Version]
- Parker, J.; Simpson, G.D.; Miller, J.E. Nature-Based Solutions Forming Urban Intervention Approaches to Anthropogenic Climate Change: A Quantitative Literature Review. Sustainability 2020, 12, 7439. [Google Scholar] [CrossRef]
- Chausson, A.; Turner, B.; Seddon, D.; Chabaneix, N.; Girardin, C.A.J.; Kapos, V.; Key, I.; Roe, D.; Smith, A.; Woroniecki, S.; et al. Mapping the effectiveness of nature-based solutions for climate change adaptation. Glob. Chang. Biol. 2020, 26, 6134–6155. [Google Scholar] [CrossRef]
- Burch, S.; Berry, P.; Sanders, M. Embedding climate change adaptation in biodiversity conservation: A case study of England. Environ. Sci. Policy 2014, 37, 79–90. [Google Scholar] [CrossRef]
- Ommer, J.; Bucchignani, E.; Leo, L.S.; Kalas, M.; Vranić, S.; Debele, S.; Kumar, P.; Cloke, H.L.; Di Sabatino, S. Quantifying co-benefits and disbenefits of Nature-based Solutions targeting Disaster Risk Reduction. Int. J. Disaster Risk Reduct. 2022, 75, 102966. [Google Scholar] [CrossRef]
- Anderson, C.C.; Renaud, F.G.; Hanscomb, S.; Gonzalez-Ollauri, A. Green, hybrid, or grey disaster risk reduction measures: What shapes public preferences for nature-based solutions? J. Environ. Manag. 2022, 310, 114727. [Google Scholar] [CrossRef]
- Anderson, C.C.; Renaud, F.G. A review of public acceptance of nature-based solutions: The ‘why’, ‘when’, and ‘how’ of success for disaster risk reduction measures. Ambio 2021, 50, 1552–1573. [Google Scholar] [CrossRef] [PubMed]
- Díaz, S.; Demissew, S.; Carabias, J.; Joly, C.; Lonsdale, M.; Ash, N.; Larigauderie, A.; Adhikari, J.R.; Arico, S.; Báldi, A.; et al. The IPBES Conceptual Framework—Connecting nature and people. Curr. Opin. Environ. Sustain. 2015, 14, 1–16. [Google Scholar] [CrossRef] [Green Version]
- Howe, C.; SSuich, H..; Vira, B.; Mace, G.M. Creating win-wins from trade-offs? Ecosystem services for human well-being: A meta-analysis of ecosystem service trade-offs and synergies in the real world. Glob. Environ. Chang. 2014, 28, 263–275. [Google Scholar] [CrossRef] [Green Version]
- Hauck, J.; Schweppe-Kraft, B.; Albert, C.; Görg, C.; Jax, K.; Jensen, R.; Fürst, C.; Maes, J.; Ring, I.; Hönigová, I.; et al. The Promise of the Ecosystem Services Concept for Planning and Decision-Making. GAIA 2013, 22, 232–236. Available online: https://www.researchgate.net/publication/259214239_The_Promise_of_the_Ecosystem_Services_Concept_for_Planning_and_Decision-Making (accessed on 14 July 2022). [CrossRef]
- Wild, T.; Freitas, T.; Vandewoestijne, S. (Eds.) Nature-Based Solutions State of the Art in EU-funded Projects; European Commission: Luxembourg, 2020; Available online: https://ec.europa.eu/info/publications/nature-based-solutions-state-art-eu-funded-projects_en (accessed on 29 March 2022).
- UNEP. The Fifth Edition of the UNEP Adaptation Gap Report Looks at Progress in Planning for, Financing and Implementing Adaptation—with a Focus on Nature-Based Solutions; United Nations Avenue: Gigiri, Kenya, 2020; Available online: https://www.unep.org/resources/adaptation-gap-report-2020 (accessed on 29 March 2022).
- Castellar, J.A.C.; Popartan, L.A.; Pueyo-Ros, J.; Atanasova, N.; Langergraber, G.; Säumel, I.; Corominas, C.; Comas, J.; Acuña, V. Nature-based solutions in the urban context: Terminology, classification and scoring for urban challenges and ecosystem services. Sci. Total Environ. 2021, 779, 146237. [Google Scholar] [CrossRef]
- Dick, J.; Miller, J.D.; Carruthers-Jones, J.; Dobel, A.J.; Carver, S.; Garbutt, A.; Hester, A.; Hails, R.; Magreehan, V.; Quinn, M. How are nature based solutions contributing to priority societal challenges surrounding human well-being in the United Kingdom: A systematic map protocol. Environ. Evid. 2019, 8, 37. [Google Scholar] [CrossRef] [Green Version]
- Carvalho, P.N.; Finger, D.C.; Masi, F.; Cipolletta, G.; Oral, H.V.; Tóth, A.; Regelsberger, M.; Exposito, A. Nature-based solutions addressing the water-energy-food nexus: Review of theoretical concepts and urban case studies. J. Clean. Prod. 2022, 338, 130652. [Google Scholar] [CrossRef]
- Majidi, A.N.; Vojinovic, Z.; Alves, A.; Weesakul, S.; Sanchez, A.; Boogaard, F.; Kluck, J. Planning Nature-Based Solutions for Urban Flood Reduction and Thermal Comfort Enhancement. Sustainability 2019, 11, 6361. [Google Scholar] [CrossRef] [Green Version]
- Babí Almenar, J.; Elliot, T.; Rugani, B.; Philippe, B.; Gutiérrez, T.N.; Sonnemann, G.; Geneletti, D. Nexus between nature-based solutions, ecosystem services and urban challenges. Land Use Policy 2021, 100, 104898. [Google Scholar] [CrossRef]
- Albert, C.; Schröter, B.; Haase, D.; Brillinger, M.; Henze, J.; Herrmann, S.; Gottwald, S.; Guerrero, P.; Nicolas, C.; Matzdorf, B. Addressing societal challenges through nature-based solutions: How can landscape planning and governance research contribute? Landsc. Urban Plan. 2019, 182, 12–21. [Google Scholar] [CrossRef]




| A NBS Subtypes | B List of the Pre-Existing Intervention Analyses in the Study | C Data Source Used |
|---|---|---|
| Type 1: Minimal interference with the ecosystem: protection and monitoring activities | ||
| Protection and conservation strategies |
|
|
|
| |
|
| |
| Urban planning strategies |
|
|
|
| |
| Type 2: The sustainable management and natural enrichment of existing elements of urban green and blue infrastructure | ||
| Green space |
|
|
|
| |
|
| |
|
| |
|
| |
|
| |
|
| |
| Trees and shrubs |
|
|
|
| |
|
| |
| Sustainable management protocols |
|
|
|
| |
|
| |
| Type 3: The creation of new ecosystems | ||
| Green built environment |
|
|
|
| |
|
| |
| Type 4: The implementation of natural or seminatural water storage and transport systems | ||
| Water restoration measures |
|
|
|
| |
| Infiltration, filtration, and biofiltration structures |
|
|
| Description of Societal Challenges (SCh) | ||
| A. Challenge-Orientation Criterion | B. Criterion Description | C. Data Used in Relation to the Case Study Example |
| Climate change adaptation and mitigation (SCh1) via the implementation of NBS can both provide resilience to the impacts of climate change through the provision of ecosystem services (ES) and enhance social awareness and political actions to combat climate change [12,20,26,27,28,29,30]. Especially effective are solutions that serve as natural carbon sinks, including forests, wetlands and oceans. NBS to climate change are addressed by SDG 13: climate change. | ||
| SCh1_I1: Function of natural carbon sinks |
|
|
| SCh1_I2: Enhancement of social awareness regarding climate change |
|
|
| Disaster risk reduction (SCh2) can be achieved via a combination of infrastructures such as flood protection levees and dams with elements of natural infrastructures that provide regulatory services, especially large-scale ecosystems such as wetlands, forests, large parks, riverbanks, lakes and coastal systems, which can reduce physical exposure to natural hazards by serving as protective barriers or buffers [4,11,21,31,32,33]. NBS to disaster are addressed in part by SDG 11 (sustainable cities and communities) and by SDG 13 (climate action). | ||
| SCh2_I1: Function served |
|
|
| SCh2_I2: Power of disaster risk reduction |
|
|
| Socioeconomic development (SCh3) in relation to the social dimension includes diverse aspects such as building knowledge and social capacity through educational initiatives, strengthening the participatory planning and governance of green areas, reducing environmental injustice, supporting the cocreation process and providing opportunities for social transformation [7,22,23]. NBS support economic development by providing cost-effective solutions at all stages of the solution life cycle: implementation, maintenance and transformation; creating resilient buildings; and generating jobs in the green sector [4]. Socioeconomic development is addressed by SDG 8 (decent work and economic growth) and SDG 12 (responsible consumption and production). | ||
| SCh3_I1: Reduction of environmental injustice |
|
|
| SCh3_I2: Use of alternative sources of energy |
|
|
| Human health (SCh4) results from the fact that natural and seminatural ecosystems affect human health, wellbeing and social cohesion [4,16,34,35,36]. NBS may have many positive effects on both mental and physical health by reducing depression; improving social cohesion; providing community support; promoting outdoor activities; creating new recreational areas and sports facilities; reconnecting people with nature, thus improving their involvement in restoration actions; and raising social awareness [7,24]. NBS to human wellbeing are addressed by SDG 3 (human health and wellbeing), SDG 11 (sustainable cities and communities) and SDG 13 (climate action). | ||
| SCh4_I1: Offer public space and free accessibility |
|
|
| SCh4_I2: Provide recreational opportunities |
|
|
| Food security (SCh5) means the availability of food that is accessible to all, safe and locally appropriate and reliable all the time regardless of location [11]. Solutions to this challenge will need to be multifaceted, comprising food provision from both rural and urban areas. These include, for example, protecting wild genetic resources; managing wild species (e.g., fish); providing irrigation water; and introducing urban agriculture, including commune, allotment and vertical gardens [7]. Food security is addressed by SDG 2: zero hunger. | ||
| SCh5_I1: Food production service |
|
|
| The water security challenge (SCh6) results from the fact that built infrastructure alone is increasingly unlikely to provide future water security and resilience against changing climate conditions [11]. NBS can serve to resolve water quality and management problems that derive from anthropogenic impacts on the water cycle. These may include reducing groundwater and surface water levels, recharging aquifers and managing storm water [12]. NBS for water security are addressed by SDG 6: clean water and sanitation. | ||
| SCh6_I1: Impact on water quality |
|
|
| Ecosystem degradation and biodiversity loss (SCh7) derives from changes in land and sea use, overexploitation, climate change, pollution and invasive/alien species [12]. NBS refer to the abovementioned driving factors by introducing, particularly in urban areas, biologically active areas that support native and heat-resilient plant species, including greenery to buildings, as well as urban apiaries and hotels for insects [2,12]. NBS contribute to the regeneration of sustainable places by connecting people with nature using fewer environmental resources and fostering collective participation and social cohesion [25]. NBS for ecosystem degradation and biodiversity loss are addressed in SDG 14 (life below water) and SDG15 (life on land). | ||
| SCh7_I1: Impact on biodiversity |
|
|
| Pre-Existing Intervention | Number of Patches/Points NP | Total Area (ha) | Mean/Max/Min Area (ha) | Area Standard Deviation SD | Median Area | % of Interventions in Relation to the Lublin Area |
|---|---|---|---|---|---|---|
| Type 1 | ||||||
| Establishment of protected areas | 1 | 25.06 | 25.06 | - | - | 0.17 |
| Conservation zones around water intake stations | 39 | 229.34 | 5.88 | 6.92 | 3.96 | 1.56 |
| 38.40 | ||||||
| 1.31 | ||||||
| Protecting surface wetlands | 107 | 53.72 | 0.50 | 1.44 | 0.08 | 0.36 |
| 0.50 | ||||||
| 0.0005 | ||||||
| Ensuring the continuity of the ecological network | 63 | 3640.89 | 57.79 | 113.49 | 5.58 | 24.69 |
| 579.21 | ||||||
| 0.06 | ||||||
| Maintenance of agriculture areas | 407 | 2775.92 | 6.82 | 35.02 | 0.40 | 18.83 |
| 472.42 | ||||||
| 0.0002 | ||||||
| Sum for Type 1 (patch forms) | 211 | 6724.92 | - | 45.61 | ||
| Type 2 | ||||||
| Urban parks | 13 | 108.34 | 8.33 | 6.19 | 5.75 | 0.73 |
| 23.63 | ||||||
| 1.24 | ||||||
| Botanical garden | 1 | 12.88 | 12.88 | - | - | 0.09 |
| Allotment gardens | 70 | 416.24 | 5.86 | 8.08 | 5.86 | 2.85 |
| 55.57 | ||||||
| 0.09 | ||||||
| Flower meadows * | 3 | 0.30 | 0.10 | 0.04 | 0.12 | 0.002 |
| 0.14 | ||||||
| 0.04 | ||||||
| Playgrounds with permeable surfaces | 413 | 27.23 | 0.07 | 0.10 | 0.04 | 0.18 |
| 1.71 | ||||||
| 0.006 | ||||||
| Sport fields with permeable surfaces | 130 | 37.39 | 0.29 | 0.42 | 0.12 | 0.25 |
| 3.32 | ||||||
| 0.10 | ||||||
| Pro-ecological square development | 6 | 0.59 | 0.10 | 0.17 | 0.02 | 0.004 |
| 0.48 | ||||||
| 0.006 | ||||||
| Urban forest | 8 | 1756.28 | 219.54 1169.11 0.0046 | 385.89 | 219.54 | 11.91 |
| Green transport tracks | 168 | 121.38 | 0.72 | 1.07 | 0.36 | 0.82 |
| 6.99 | ||||||
| 0.002 | ||||||
| Planting trees with protective and recreational functions | 229 | 151.76 | 0.66 | 8782.92 | 3560.67 | 1.03 |
| 5.64 | ||||||
| 0.05 | ||||||
| Sum for Type 2 (patch forms) | 1085 | 2626.72 | - | 17.83 | ||
| Nesting boxes for native bats | 104 | - | - | - | - | - |
| Insect hotels ** | 18 | - | - | - | - | - |
| Installation of apiaries (including public lands) ** | 4 | - | - | - | - | - |
| Sum for Type 2 (point forms) | 126 | - | ||||
| Type 3 | ||||||
| Green rooves | 3 | - | - | - | - | - |
| Green walls ** | 4 | - | - | - | - | - |
| Green bus stops | 2 | - | - | - | - | - |
| Sum for Type 3 (point forms) | 9 | - | ||||
| Type 4 | ||||||
| Restoring degraded waterbodies | 9 | 332.66 | 36.96 | 91.44 | 0.76 | 2.26 |
| 294.99 | ||||||
| 0.19 | ||||||
| Maintaining floodplains | 45 | 1057.96 | 23.51 | 31.35 | 15.64 | 7.18 |
| 177.20 | ||||||
| 0.01 | ||||||
| Sum for Type 4 (patch forms) | 86 | 1390.63 | - | 9.44 | ||
| Rainwater collection systems | 32 | - | - | - | - | - |
| Sum for Type 4 (point forms) | 32 | - | ||||
| Sum % of Lublin area (including overlapping interventions) | 72.8% | |||||
| Sum % of Lublin area (without overlapping interventions) | 44.67% | |||||
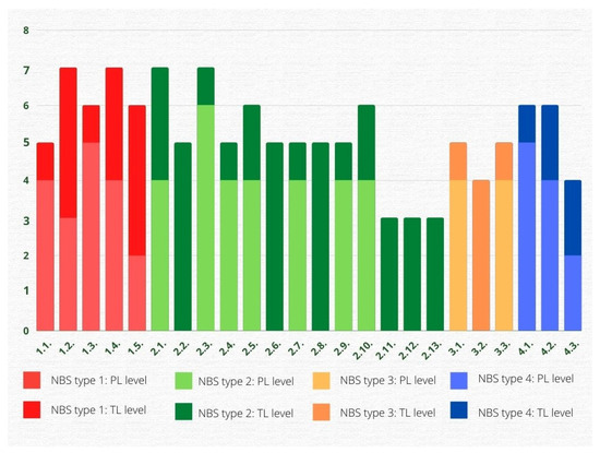
| Pre-Existing Intervention Type | Level of Assessment | Case Study Level | SCh1 | SCh2 | SCh3 | SCh4 | SCh5 | SCh6 | SCh7 | ||||
|---|---|---|---|---|---|---|---|---|---|---|---|---|---|
| I1 | I2 | I1 | I2 | I1 | I2 | I1 | I2 | I1 | I1 | I1 | |||
| Type 1 | |||||||||||||
| 1.1. Establishment of protected areas | - | - | x | x | x | x | - | - | x | x | PL | - | x |
| 1.2. Conservation zones around water intake stations | LC forms | Greenery | x | - | x | x | x | - | PL | PL | PL | PL | x |
| Paved surfaces | - | - | |||||||||||
| 1.3. Protecting surface wetlands | - | - | x | x | x | x | - | - | x | x | x | PL | x |
| 1.4. Ensuring the continuity of the ecological network | - | - | x | x | x | x | x | - | PL | PL | PL | PL | x |
| 1.5. Maintenance of agriculture areas in urban structure | - | - | - | - | - | PL | x | - | PL | PL | x | PL | PL |
| Type 2 | |||||||||||||
| 2.1 Urban parks | Access type | Open | x | PL | PL | x | x | - | x | x | - | PL | x |
| With restrictions | - | ||||||||||||
| 2.2. Botanical garden | - | - | x | x | - | x | - | - | - | x | - | x | x |
| 2.3. Allotment gardens | - | - | x | PL | - | PL | x | PL | - | x | x | x | x |
| 2.4. Flower meadows | - | - | x | x | - | PL | x | - | x | x | - | - | x |
| 2.5. Playgrounds with permeable surfaces | Access type | Open | x | PL | - | PL | x | - | x | x | - | x | PL |
| With restrictions | - | ||||||||||||
| 2.6. Sport fields with permeable surfaces | Access type | Open | x | - | - | x | x | - | x | x | - | x | - |
| With restrictions | - | ||||||||||||
| 2.7. Pro-ecological square development | - | - | x | PL | - | PL | x | - | x | x | - | x | PL |
| 2.8. Urban forests | - | - | x | x | x | x | - | - | x | x | x | - | x |
| 2.9. Green transport tracks | - | - | x | PL | x | x | x | - | x | PL | - | - | PL |
| 2.10. Planting trees with protective and recreational functions | Access type | Open | x | PL | x | PL | x | - | x | x | PL | - | PL |
| With restrictions | - | ||||||||||||
| 2.11. Nesting boxes for native bats | - | - | - | - | - | x | - | - | x | - | - | - | x |
| 2.12. Insect hotels | - | - | - | - | - | x | - | - | x | - | - | - | x |
| 2.13. Installation of apiaries | - | - | - | - | - | - | - | - | x | - | x | - | x |
| Type 3 | |||||||||||||
| 3.1. Green rooves | - | - | x | PL | - | - | - | - | x | x | PL | x | x |
| 3.2. Green walls | - | - | x | PL | - | - | - | - | x | - | - | x | x |
| 3.3. Green bus stops | - | - | x | x | - | - | - | PL | x | - | - | x | x |
| Type 4 | |||||||||||||
| 4.1. Restoring degraded waterbodies | - | - | x | x | x | x | - | - | x | x | x | PL | x |
| 4.2. Maintaining floodplains | - | - | x | x | x | x | - | - | x | x | PL | PL | x |
| 4.3. Rainwater collection systems | Construction type | Aboveground tanks | x | - | - | x | - | - | - | x | - | x | x |
| Below ground structures | - | - | - | ||||||||||
| Sum of intervention type (PL/TL) | 18-20 | 14-20 | 11-12 | 20-24 | 6-12 | 9-16 | 17-24 | ||||||
Publisher’s Note: MDPI stays neutral with regard to jurisdictional claims in published maps and institutional affiliations. |
© 2022 by the authors. Licensee MDPI, Basel, Switzerland. This article is an open access article distributed under the terms and conditions of the Creative Commons Attribution (CC BY) license (https://creativecommons.org/licenses/by/4.0/).
Share and Cite
Wójcik-Madej, J.; Sowińska-Świerkosz, B. Pre-Existing Interventions as NBS Candidates to Address Societal Challenges. Sustainability 2022, 14, 9609. https://doi.org/10.3390/su14159609
Wójcik-Madej J, Sowińska-Świerkosz B. Pre-Existing Interventions as NBS Candidates to Address Societal Challenges. Sustainability. 2022; 14(15):9609. https://doi.org/10.3390/su14159609
Chicago/Turabian StyleWójcik-Madej, Julia, and Barbara Sowińska-Świerkosz. 2022. "Pre-Existing Interventions as NBS Candidates to Address Societal Challenges" Sustainability 14, no. 15: 9609. https://doi.org/10.3390/su14159609
APA StyleWójcik-Madej, J., & Sowińska-Świerkosz, B. (2022). Pre-Existing Interventions as NBS Candidates to Address Societal Challenges. Sustainability, 14(15), 9609. https://doi.org/10.3390/su14159609

