Resilience Analysis of Container Port Shipping Network Structure: The Case of China
Abstract
:1. Introduction
2. Resilience Framework of CPSN
- (1).
- Prevention state (t(0) ≤ t ≤ t(d))
- (2).
- Resistance state (t(d) ≤ t ≤ t(r))
- (3).
- Restoration state(t(r) ≤t ≤ t(ns))
- (4).
- Adaption and optimization state(t ≥ t(ns))
3. Materials and Methods
3.1. Study Area and Data
3.2. Methods
- (1)
- Degree and degree distribution
- (2)
- Betweenness
- (3)
- Strength
- (4)
- Clustering coefficient
- (5)
- Network efficiency
- (6)
- Network independent path
- (7)
- Network connectivity
- (8)
- Resilience index
3.3. Degree, Betweenness, and Strength of Nodes
4. Results
4.1. Prevention State
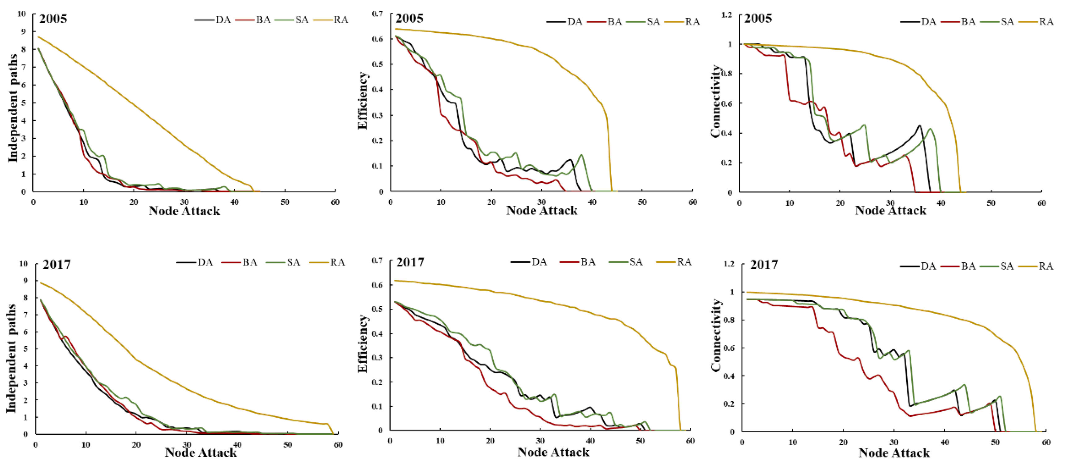
4.2. Resistance State
4.3. Recovery State
4.4. Adaption and Optimization State
- (1).
- Optimization strategy
- (2).
- Recovery strategy
5. Discussion
6. Conclusions
Author Contributions
Funding
Institutional Review Board Statement
Informed Consent Statement
Data Availability Statement
Conflicts of Interest
References
- Investigation Report on the Particularly Serious Fire and Explosion Accident in the Dangerous Goods Warehouse of Ruihai Company in Tianjin Port. Available online: http://www.gov.cn/foot/2016-02/05/content_5039788.htm (accessed on 19 July 2022).
- Tianjin Binhai Explosion Accident: The Explosion Affects the Operation of Tianjin Port, and the Iron Ore Trade May Be Impacted. Available online: https://tv.cctv.com/2015/08/14/VIDE1439512658440860.shtml (accessed on 19 July 2022).
- Ganin, A.A.; Mersky, A.C.; Jin, A.S.; Kitsak, M.; Keisler, J.M.; Linkov, I. Resilience in Intelligent Transportation Systems (ITS). Transp. Res. Part C Emerg. Technol. 2019, 100, 318–329. [Google Scholar] [CrossRef]
- Notteboom, T.; Pallis, T.; Rodrigue, J.-P. Disruptions and resilience in global container shipping and ports: The COVID-19 pandemic versus the 2008–2009 financial crisis. Marit. Econ. Logist. 2021, 23, 179–210. [Google Scholar] [CrossRef]
- Chang, S.E. Disasters and transport systems: Loss, recovery and competition at the Port of Kobe after the 1995 earthquake. J. Transp. Geogr. 2000, 8, 53–65. [Google Scholar] [CrossRef]
- Tang, C.S. Robust strategies for mitigating supply chain disruptions. Int. J. Logist. Res. Appl. 2006, 9, 33–45. [Google Scholar] [CrossRef]
- Obama, B. Presidential Policy Directive–Critical Infrastructure Security and Resilience. Available online: https://obamawhitehouse.archives.gov/the-press-office/2013/02/12/presidential-policy-directive-critical-infrastructure-security-and-resil (accessed on 23 June 2022).
- Department for Transport Transport Resilience Review: Recommendations. Available online: https://www.gov.uk/government/publications/transport-resilience-review-recommendations (accessed on 23 June 2022).
- Outline of the National Comprehensive Three-Dimensional Transport Network Plan in 2021. Available online: http://www.gov.cn/zhengce/2021-02/24/content_5588654.htm (accessed on 19 July 2022).
- Ducruet, C.; Notteboom, T. The worldwide maritime network of container shipping: Spatial structure and regional dynamics. Glob. Netw. 2012, 12, 395–423. [Google Scholar] [CrossRef] [Green Version]
- Ducruet, C.; Rozenblat, C.; Zaidi, F. Ports in multi-level maritime networks: Evidence from the Atlantic (1996–2006). J. Transp. Geogr. 2010, 18, 508–518. [Google Scholar] [CrossRef] [Green Version]
- Wu, D.; Wang, N.; Yu, A.; Guan, L. Vulnerability and risk management in the Maritime Silk Road container shipping network. Acta Geogr. Sin. 2018, 73, 1133–1148. [Google Scholar] [CrossRef]
- Guo, J.; He, Y.; Wang, S.; Wu, L. Rank-size distribution changes and transportation network connections of the coastal container port system in Chinese mainland since 1985. Geogr. Res. 2019, 38, 869–883. [Google Scholar] [CrossRef]
- Guo, J.; He, Y.; Hou, Y. Spatial connection and regional difference of the coastal container port shipping network of China. Prog. Geogr. 2018, 37, 1499–1509. [Google Scholar] [CrossRef]
- Walker, A.R. Recessional and Gulf war impacts on port development and shipping in the Gulf States in the 1980’s. GeoJournal 1989, 18, 273–284. [Google Scholar] [CrossRef]
- Monie, G.; Rodrigue, J.-P.; Notteboom, T. Economic Cycles in Maritime Shipping and Ports: The Path to the Crisis of 2008. Integr. Seapt. Trade Corridors 2009. Available online: https://www.researchgate.net/publication/229045634_Economic_Cycles_in_Maritime_Shipping_and_Ports_The_Path_to_the_Crisis_of_2008 (accessed on 31 July 2022).
- Xu, H.; Itoh, H. Density economies and transport geography: Evidence from the container shipping industry. J. Urban Econ. 2018, 105, 121–132. [Google Scholar] [CrossRef] [Green Version]
- Wang, C.; Ducruet, C. Regional Resilience and Spatial Cycles: Long-Term Evolution of the Chinese Port System (221bc–2010ad). Tijdschr. Voor Econ. En Soc. Geogr. 2013, 104, 521–538. [Google Scholar] [CrossRef] [Green Version]
- Rousset, L.; Ducruet, C. Disruptions in Spatial Networks: A Comparative Study of Major Shocks Affecting Ports and Shipping Patterns. Netw. Spat. Econ. 2020, 20, 423–447. [Google Scholar] [CrossRef]
- Justice, V.; Bhaskar, P.; Pateman, H.; Cain, P.; Cahoon, S. US container port resilience in a complex and dynamic world. Marit. Policy Manag. 2016, 43, 179–191. [Google Scholar] [CrossRef]
- Zhang, X.; Miller-Hooks, E.; Denny, K. Assessing the role of network topology in transportation network resilience. J. Transp. Geogr. 2015, 46, 35–45. [Google Scholar] [CrossRef] [Green Version]
- O’Kelly, M.E. Network Hub Structure and Resilience. Netw. Spat. Econ. 2015, 15, 235–251. [Google Scholar] [CrossRef]
- Shen, Z.; Xu, X.; Li, J.; Wang, S. Vulnerability of the Maritime Network to Tropical Cyclones in the Northwest Pacific and the Northern Indian Ocean. Sustainability 2019, 11, 6176. [Google Scholar] [CrossRef] [Green Version]
- Fang, Z.; Yu, H.; Lu, F.; Feng, M.; Huang, M. Maritime network dynamics before and after international events. J. Geogr. Sci. 2018, 28, 937–956. [Google Scholar] [CrossRef] [Green Version]
- Verschuur, J.; Koks, E.E.; Hall, J.W. Port disruptions due to natural disasters: Insights into port and logistics resilience. Transp. Res. Part Transp. Environ. 2020, 85, 102393. [Google Scholar] [CrossRef]
- Wang, L.; Ye, F.; Zheng, Y. The Assessment of Sino-US Container Shipping Network Evolution and vulnerability. Econ. Geogr. 2020, 40, 136–144. [Google Scholar]
- Reggiani, A.; Nijkamp, P.; Lanzi, D. Transport resilience and vulnerability: The role of connectivity. Transp. Res. Part Policy Pract. 2015, 81, 4–15. [Google Scholar] [CrossRef]
- He, Y.; Yang, Y.; Guo, J. Vulnerability of the shipping network of China’s coastal container ports under disruption simulation. Resour. Sci. 2022, 44, 414–424. [Google Scholar] [CrossRef]
- Madni, A.M.; Jackson, S. Towards a Conceptual Framework for Resilience Engineering. IEEE Syst. J. 2009, 3, 181–191. [Google Scholar] [CrossRef]
- Li, Y.; Kim, H. Assessing Survivability of the Beijing Subway System. Int. J. Geospat. Environ. Res. 2014, 1, 3. [Google Scholar]
- Holling, C.S. Resilience and Stability of Ecological Systems. Annu. Rev. Ecol. Syst. 1973, 4, 1–23. [Google Scholar] [CrossRef] [Green Version]
- Cox, A.; Prager, F.; Rose, A. Transportation security and the role of resilience: A foundation for operational metrics. Transp. Policy 2011, 18, 307–317. [Google Scholar] [CrossRef]
- Ahern, J. Urban landscape sustainability and resilience: The promise and challenges of integrating ecology with urban planning and design. Landsc. Ecol. 2013, 28, 1203–1212. [Google Scholar] [CrossRef]
- Alderson, D.L.; Brown, G.G.; Carlyle, W.M. Operational Models of Infrastructure Resilience. Risk Anal. 2015, 35, 562–586. [Google Scholar] [CrossRef] [PubMed] [Green Version]
- Fletcher, D.; Sarkar, M. Psychological resilience: A review and critique of definitions, concepts, and theory. Eur. Psychol. 2013, 18, 12–23. [Google Scholar] [CrossRef] [Green Version]
- Martin, R.; Sunley, P. On the notion of regional economic resilience: Conceptualization and explanation. J. Econ. Geogr. 2015, 15, 1–42. [Google Scholar] [CrossRef] [Green Version]
- Wears, R. Resilience Engineering: Concepts and Precepts | BMJ Quality & Safety. BMJ Qual. Saf. 2006, 15, 447–448. [Google Scholar]
- Pregenzer, A.L. Systems Resilience: A New Analytical Framework for Nuclear Nonproliferation; Sandia National Laboratories (SNL): Albuquerque, NM, USA; Livermore, CA, USA, 2011. [Google Scholar]
- Iervolino, I.; Giorgio, M. Stochastic Modeling of Recovery from Seismic Shocks. In Proceedings of the 12th International Conference on Applications of Statistics and Probability in Civil Engineering, Vancouver, BC, Canada, 12–15 July 2015. [Google Scholar]
- Haimes, Y.Y. On the Definition of Resilience in Systems. Risk Anal. 2013, 29, 498–501. [Google Scholar] [CrossRef] [PubMed]
- Eraydin, A.; Taşan-Kok, T. Resilience Thinking in Urban Planning. 2013. Available online: https://www.researchgate.net/publication/321612017_Resilience_Thinking_in_Urban_Planning (accessed on 1 August 2022).
- Ducruet, C.; Lee, S.-W.; Ng, A.K.Y. Centrality and vulnerability in liner shipping networks: Revisiting the Northeast Asian port hierarchy. Marit. Policy Manag. 2010, 37, 17–36. [Google Scholar] [CrossRef]
- Kaluza, P.; Kölzsch, A.; Gastner, M.T.; Blasius, B. The complex network of global cargo ship movements. J. R. Soc. Interface 2010, 7, 1093. [Google Scholar] [CrossRef]
- Jufri, F.H.; Widiputra, V.; Jung, J. State-of-the-art review on power grid resilience to extreme weather events: Definitions, frameworks, quantitative assessment methodologies, and enhancement strategies. Appl. Energy 2019, 239, 1049–1065. [Google Scholar] [CrossRef]
- Chen, M.; Lu, H. Analysis of Transportation Network Vulnerability and Resilience within an Urban Agglomeration: Case Study of the Greater Bay Area, China. Sustainability 2020, 12, 7410. [Google Scholar] [CrossRef]
- Wang, X.; Miao, S.; Tang, J. Vulnerability and Resilience Analysis of the Air Traffic Control Sector Network in China. Sustainability 2020, 12, 3749. [Google Scholar] [CrossRef]
- Woods, D.D. Four concepts for resilience and the implications for the future of resilience engineering. Reliab. Eng. Syst. Saf. 2015, 141, 5–9. [Google Scholar] [CrossRef]
- Bruneau, M.; Chang, S.E.; Eguchi, R.T.; Lee, G.C.; O’Rourke, T.D.; Reinhorn, A.M.; Shinozuka, M.; Tierney, K.; Wallace, W.A.; von Winterfeldt, D. A Framework to Quantitatively Assess and Enhance the Seismic Resilience of Communities. Earthq. Spectra 2003, 19, 733–752. [Google Scholar] [CrossRef] [Green Version]
- Kwasinski, A. Quantitative Model and Metrics of Electrical Grids’ Resilience Evaluated at a Power Distribution Level. Energies 2016, 9, 93. [Google Scholar] [CrossRef]
- Folke, C. Resilience: The emergence of a perspective for social–ecological systems analyses. Glob. Environ. Chang. 2006, 16, 253–267. [Google Scholar] [CrossRef]
- Omer, M.; Mostashari, A.; Nilchiani, R.; Mansouri, M. A framework for assessing resiliency of maritime transportation systems. Marit. Policy Manag. 2012, 39, 685–703. [Google Scholar] [CrossRef]
- Amatriaín, J.M.I. Collapse: How Societies Choose to Fail or Surviveby Jared Diamond. Reis 2005, 111, 201–206. [Google Scholar] [CrossRef]
- Crespo, J.; Suire, R.; Vicente, J. Lock-in or lock-out? How structural properties of knowledge networks affect regional resilience. J. Econ. Geogr. 2014, 14, 199–219. [Google Scholar] [CrossRef]
- Huang, C.; Hu, B. Simulation Modeling and Analysis of the Group Relationship’s Resilience. Chin. J. Manag. Sci. 2014, 22, 686–690. [Google Scholar]
- Rao, Y.; Lin, J.; Hou, D. Evaluation method for network invulnerability based on shortest route number. J. Commun. 2009, 30, 113–117. [Google Scholar] [CrossRef]
- Xu, Y. Study of Robustness in Cmplex Interconnected System and Networks; Publishing House of Electronics Industry: Beijing, China, 2015; pp. 30–45. [Google Scholar]
- Ip, W.H.; Wang, D. Resilience and Friability of Transportation Networks: Evaluation, Analysis and Optimization. IEEE Syst. J. 2011, 5, 189–198. [Google Scholar] [CrossRef]
- Ouyang, M.; Dueñas-Osorio, L. Time-dependent resilience assessment and improvement of urban infrastructure systems. Chaos Interdiscip. J. Nonlinear Sci. 2012, 22, 033122. [Google Scholar] [CrossRef] [PubMed] [Green Version]
- Gao, Z.; Cao, H.; Zhang, K.; Liu, Y.; Geng, P. Research on Cascading of Complex Networks Based on Node Degree Attack. Informatiz. Res. 2020, 46, 47–51. [Google Scholar]






Publisher’s Note: MDPI stays neutral with regard to jurisdictional claims in published maps and institutional affiliations. |
© 2022 by the authors. Licensee MDPI, Basel, Switzerland. This article is an open access article distributed under the terms and conditions of the Creative Commons Attribution (CC BY) license (https://creativecommons.org/licenses/by/4.0/).
Share and Cite
He, Y.; Yang, Y.; Wang, M.; Zhang, X. Resilience Analysis of Container Port Shipping Network Structure: The Case of China. Sustainability 2022, 14, 9489. https://doi.org/10.3390/su14159489
He Y, Yang Y, Wang M, Zhang X. Resilience Analysis of Container Port Shipping Network Structure: The Case of China. Sustainability. 2022; 14(15):9489. https://doi.org/10.3390/su14159489
Chicago/Turabian StyleHe, Yao, Yongchun Yang, Meimei Wang, and Xudong Zhang. 2022. "Resilience Analysis of Container Port Shipping Network Structure: The Case of China" Sustainability 14, no. 15: 9489. https://doi.org/10.3390/su14159489
APA StyleHe, Y., Yang, Y., Wang, M., & Zhang, X. (2022). Resilience Analysis of Container Port Shipping Network Structure: The Case of China. Sustainability, 14(15), 9489. https://doi.org/10.3390/su14159489

