Abstract
This study’s primary objective is to investigate the fundamentals of urban waterfront development. Consequently, the study created and validated two assessment scales (questionnaires). Using SPSS and AMOS, descriptive statistics assessed data gathered via questionnaires. Current approaches to urban development are starting to bring to the fore the rich historical and cultural heritage of Cyprus. Over the past few decades, Cyprus has encountered many political, sociocultural, economic, and technological challenges. These factors consequently influence urban design and produce distinct characteristics and tendencies. The waterfront of Kyrenia is a district that notably exemplifies progressive urban design. Specifically, this article aims to assess various urban aspects of Kyrenia’s waterfront. An ancient harbor in Kyrenia and its surroundings have served as the focus of the investigation to examine the evolution of general urban features across time. Participants included members of the creative class, employees and employer groups, students, and tourists. Physical, functional, social, economic, cultural, and political considerations underlie urban waterfronts. An evaluation of the Kyrenia waterfront revealed, based on the results of many statistical investigations, that the variables reflect varying degrees of user participation. According to the study findings, most people living in the community view the selected area favorably since it offers distinctive urban features and social opportunities. However, locals think that the region will need new technologies and ideas in the future to help the creative class be more productive by generating a creative economy.
1. Introduction
There are many types of waterfronts, such as lakefronts, banks of rivers, canals, harbors, or bay fronts [1]. Settlements appear to form around waterfronts due to their relationship with communities. These areas were once predominantly used for export and transportation [2]. The city’s identity is becoming increasingly shaped by environmental, social, and economic factors [1]. Therefore, any impacts to the waterfront involve stakeholders across many sectors, including planners and urban designers, politicians, and key decision-makers. Besides being used for industry, waterfronts have other functions as well. Their location also makes these areas an ideal setting for transport, trade, entertainment, and tourism activities. Due to this, these areas can be ideal sites to build new housing developments, hotels, recreational areas, sports facilities, and sources of employment. These waterfronts not only provide breathing spaces for residents, but also ample space for memorials, housing, recreation, and mixed-use development.
The literature on urban waterfront re/development is an interdisciplinary issue and is becoming a popular discussion topic in the fields of urban planning, architecture, and geography. This study contributes to a distinct line of research of examining waterfront impacts. Since the creative class is the most productive in society, it should be integrated into the development process. After World War II, productivity has become the greatest concern for industrializing cities [3,4,5,6]. The purpose of this analysis is ultimately to provide an opportunity to critically examine the value and impact of waterfront areas, and to articulate novel perspectives that could be useful to future studies.
Thus, there are various ways to categorize the research on urban waterfront development. This can be accomplished, for example, through the focus on the potential of water and urban waterfronts, and the development features of urban waterfronts. Moreover, the evaluation of the principles of urban waterfront development is an imperative issue for this study in order to provide more adequate integration with the current needs of societies.
A literature review and discussion are presented so as to provide the theoretical context for the research. This study discusses the definitions, issues, trends, and principles of urban waterfront development. In particular, the evolution and transformation of the waterfront are studied in order to identify research achievements and knowledge gaps.
This study’s primary objective is to investigate the fundamentals of urban waterfront development. Assuming such evolution occurs, creative, inventive, and technological environmental features may contribute to the development of the waterfront. In particular, the hypothesis includes the following:
Hypothesis 1 (H1).
Several principles influence the adequacy and satisfaction of urban waterfront development. The main strengths of the article consist of two subsidiary objectives: the exploration of an assessment method that keeps together quantitative and qualitative analysis; and the focus on a specific case study (the harbor in Kyrenia) to test and evaluate that method.
2. Background
This part presents the theoretical framework of the investigation by reviewing pertinent literature. In particular, it consists of three sections: the potential of water and urban waterfronts, their definition, and the principles of urban waterfront development in relation to harbor areas. The following section will attempt to apply these principles to the Kyrenia waterfront.
2.1. Potential of Water and Urban Waterfront
The long-term viability of cities needs to strike a balance between natural and social activity. Urban water sources play an essential part in this procedure. Water offers physical and psychological comfort to humans. In addition, it adds beauty as well as practical qualities to the current environment. One of the reasons natural water sources are so valuable in urban areas is their aesthetic value [7].
There are visual, auditory, tactual, and psychological effects. Waterfronts attract people because of the relaxing effect of water’s visual landscape. Motion and serenity are suggested by water-related designs. When conducting a waterfront study, it is crucial to give brief information about water and waterfront impacts on the urban environment. An environment with flowing water (waterfalls, cascades, rivers, etc.) is exciting and vibrant. In its space, stagnant water creates a mirror effect. The optical properties of water make it an ideal reflection element. There is a sense of serenity and depth in the water surfaces as they are wide and quiet. Another effect of deep waters is to give the living area a sense of spaciousness [7,8].
As a symbol, the sound of water represents continuity, vibrancy, and joy as well as a state of life. Stagnant water makes a space seem serene, but moving water adds vibrancy and creates a musical effect [8].
A plan can incorporate the effects of water from dripping raindrops to being splashed by a waterfall or being completely submerged in a pool, lake, or sea. The act of diving in the water serves as a form of escape from everyday life. In many faith systems, touching water symbolizes the attainment of religious serenity [8]. The psychological effects of aesthetic factors may be more significant than the actual aesthetic effects. This effect is a result of the senses’ perception of emotion. Moreover, water is also subject to psychological reactions as a result of the human spirit [7].
For humans, water is a vital source of life. Humans also find that water is refreshing to the senses. In urban areas, water has a functional as well as aesthetic purpose. Climate comfort, noise reduction, circulation benefits, and recreational activities are all included. Water surfaces can cool air by increasing the amount of moisture in an environment. This is especially true in continental climates. In addition, water is used to improve air quality outside. At a regional level, water surfaces control the temperature of the air. As a result of its visual and climatic effects, water is an essential element for urban areas. Moreover, water areas in urban environments create a barrier to artificial sounds by creating a natural soundscape [8].
Water is a limiting and concealing element in the organization of space. Waterfronts are the most likely places for seeing these effects.
2.2. Definition of the Urban Waterfront
Briefly stated, the waterfront is an area where water and land meet. Specifically, there is a water’s edge, and part of the land should be surrounded by water (Figure 1). This area contains the most human activities as well as the most varied elements. Both have a significant impact on each other. The waterfront areas are generally arranged in a belt along the coastline. Therefore, planners find ways to make these areas more attractive to the public so that people will use them. Connecting traffic, setting up different functions, and communicating with the inner city are the main challenges.
Figure 1.
The relation of water, waterfront, and adjacent urban zone (modified from Google Earth map).
In general, the hub of city’s activity is to be found on the waterfront. This area is home to new public parks, residential neighborhoods, recreational areas, and mixed-use areas. Keeping these areas in proper repair and developing them so that they meet contemporary needs means preserving and developing the city’s identity. Water makes a sound that represents the continuation of life with its vibrancy and joy [9]. Furthermore, water creates a sense of serenity and gives a sense of calm in the commotion and noise of a city [8].
Waterfronts have historically provided several functions, including transportation, industry, sustenance, and commerce [10]. Water improves human–environment contact and makes the environment more comfortable and pleasant. Therefore, it has a beneficial effect on the productivity of individuals in their personal, professional, and social lives. The city’s economic growth on the water’s edge also depends on industrial, manufacturing, agricultural, and commercial activities [11].
It is possible to analyze urban waterfronts from a variety of perspectives, including spatial, functional, and aesthetic perspectives. We can conceptualize urban waterfronts as both places of conflict and cooperation, as well as transitional areas between ports and urban areas [12].
Breen and Rigby (1994) define an urban waterfront as the water’s edge in cities and towns of various sizes. The water can be a river, lake, ocean, bay, creek, or canal, among other forms. It encompasses everything from animal habitats to container ports and the broad spectrum of applications between these extremes. Multiple owners and participants can develop and implement these applications over time. Waterfront projects may include structures that may not immediately front the water but have a visual or historical connection to it [13].
2.3. Principles of Urban Waterfront Development
It is significant to determine a set of principles for proper urban waterfront development. Sustained performance depends on various external circumstances, including economic and political changes at local, national, and international levels. Physical, functional, social, economic, cultural, and political aspects of waterfront development will be the primary factors explored in this article. It will be noted here that each of these six principles has critical components that contribute to the formulation of useful criteria for assessing the effectiveness of waterfront development.
Urban waterfront developments can provide high returns on real estate and property investments, socioeconomic revitalization for inner-city communities, the development of new visitor markets, job creation, environmental enhancement, historic preservation, city and regional promotion, improved infrastructure, destination branding, cultural creativity, and new creative districts [14,15].
2.3.1. Physical Quality
When sensory experiences in urban settings are addressed, two kinds of quality of life can be identified: physical and emotional. The physical realm encompasses the built environment’s tangible, physical, and material components that can be touched, altered, and modified.
Samavati and Ranjbar (2017) talk about physical factors in urban spaces that are thought to make people happy, like pedestrian-orientedness, bicycle-orientedness, flexibility, legibility, variety, and place identity. Pedestrian-orientedness and environmental elements seem to be the most significant [16].
According to place-based physical visions, urban environments may possess the following attributes: livability, personality, connectedness, mobility, personal freedom, and diversity [17]. In addition, the constructed form of an area can vary in several physical characteristics, such as its typology, density, block size, building height, architectural style, street width, and street frontage. In addition to cleanliness, proper seating, and the maintenance of lighting, seating, and pathways, physical quality can significantly benefit from the upkeep of soft landscaping, aesthetic comfort, and ease of access [18].
Through an examination of the Seattle Waterfront as a case study, Wessells (2014) explores how “doing justice” on the waterfront extends beyond physical characteristics by examining critical factors such as access, regional equity, and affordability [19]. To emphasize the importance of the physical aspects, the paper mentions the significance of physical accessibility and openness to the public [19].
Furthermore, Shah and Roy (2017) [20] mention several critical physical aspects of a sustainable waterfront: safety aspects on the promenade, the general condition of infrastructure facilities, hygiene and maintenance (SWM), street furniture, and proper signage.
To sum up, it is imperative to note that several features are necessary for usable waterfronts. Proper maintenance is essential to ensuring that waterfronts are healthy and safe to use. Besides, art pieces and urban furniture need to be in adequate physical condition to serve their intended purpose effectively and attractively. Furthermore, public places should be accessible to all. The disabled accessibility of waterfront areas is also critical to making them more welcoming spaces for everyone. For the waterfronts to remain vibrant there should be a physically adequate connection between other places of activity, the central business district, and the waterfront regions. Moreover, urban balconies that are physically suitable can attract people to the seafront.
Relevant authorities are required to establish appropriate solutions to promote effective and comfortable pedestrian and public transportation access to waterfronts and other related activities and service locations. There may be a need to design alternate transit solutions, such as a funicular or ropeway, for certain waterfronts. In urban life, the quality and quantity of public transportation options are also critical. Facilitating and enhancing local people’s interaction with nature and natural resources is essential to effective development initiatives. Moreover, the morphological processes of waterfronts are connected to their evolutionary analysis, which examines design strategies, waterfront development processes, and physical and tourism consequences [21].
2.3.2. Functional Aspects
There are three types of outdoor activities in public spaces that Gehl [22] breaks down into three groups: necessary, optional, and social. Each of these puts a different type of strain on the physical environment:
- Necessary activities are activities that are essential for daily life and need to be performed in practically all circumstances;
- Optional activities: These include taking a walk, standing around, or simply sitting and enjoying life. They occur when the external physical conditions are ideal. They are, however, enhanced in high-quality environments and drastically diminished in low-quality environments;
- Social activities: These rely on the presence of people in public settings. They include activities such as children playing, chatting in the street, and meeting friends in a park—in other words, a variety of communal activities.
Urban waterfront development authorities (local and/or governmental) need to increase the variety of accessible activities and functions to attract users. In general, large-scale urban waterfronts may provide picnic grounds, gathering places, fishing spots, and shooting ranges. In addition, careful consideration needs to be given to playgrounds, green spaces, lighting components, and safety aspects during the design phase [23]. Furthermore, recreational facilities, shoreline parks, and promenades need to be incorporated into waterfront development.
The functional diversity of the waterfront fosters a connection between people and water. Individuals spend more time in active and appealing environments [24,25]. According to Jacob (1961), diversity and ongoing activities are necessary for the city’s existence and vitality [26].
Coastal regions have a variety of functions that contribute significantly to their tourism appeal. These functions include beach accessibility, marine biodiversity, aesthetics, historical and/or cultural legacies, appropriate infrastructure, and/or eating options. The waterfronts can be used for a number of purposes, including resorts, hotels, bungalows, restaurants, cafes, and retail establishments [24,27,28,29]. This has prompted communities to consider waterfronts as multifunctional spaces [30,31,32,33].
Diverse uses on waterfronts include residential housing environments, hotels, historic sites, sports facilities, recreational areas, tourism, local attractions, new areas of employment [14], festivals, exhibition areas, concert activities, museums, public art [34], transportation, industrial activities, food and commercial outlets, [35], various cultural, commercial, and housing uses, leisure activities, private housing, office developments, and retail, restaurants, pubs, aquariums, historic ships, [36], manufacturing, agricultural, and service activities [11].
Depending on cultural and touristic features, as in the case of Venice, these regions have been popular for centuries, and their significance continues to grow. These venues include festivals, exhibition places, concert activities, museums, and public art. Moreover, cultural tourism and ecotourism affect the cultural and recreational appeal to the local population, as well as the interaction between tourists and locals [34].
Latip, et al. (2012) [37] classify the waterfront’s uses into three main categories:
- Water-dependent uses are those that rely on the presence of an urban waterfront to function. Without the urban waterfront, the building would not be able to function. Marinas, jetties, boathouses, and a water-taxi station are all examples of these types of architectural usage;
- Water-related uses are building applications that will benefit from the proximity to water but can also function in other areas. Restaurants, open spaces, parks, terraces, and resorts or hotels are all examples of these types of structures or projects;
- Water-independent uses refer to structures that can function equally effectively without access to water, in other parts of the city. Shop houses or shopping complexes, offices, workshops, mosques, residential areas, schools, and clinics are examples of this group of concerns.
2.3.3. Social Factors
When developing an urban design, Carmona et al. [17] underline the necessity of defining the interaction between people and their environment. They argue that the ideal approach to conceptualizing the relationship between people and their environment is as a continual two-way process in which individuals create and modify spaces while also being influenced by those spaces in a variety of ways.
Social interactions rely on mutual stimulation and reactions, which lead to additional responses. Individuals have their views, attitudes, interests, and other personality traits. However, they rely heavily on their experiences, including their family, culture, nationality, ethnicity, socioeconomic class, and way of life [38]. As per the discussion presented earlier, an individual’s perception of safety and security influences their engagement in urban settings, social relationships, and public life. According to the research of Gehl (1987), there is a link between safety and security, urban space utilization, and living quality [22].
To sum up, by developing social policies, urban waterfront development activities need to provide a fair distribution of quality of life in society. A proper urban waterfront development process depends on the mode, frequency, and intensity of use, as well as realistic demands of people. Detailed information about education levels, age groups, income levels, and behavioral approaches are critical considerations during the design process of urban waterfront development.
According to a case study analysis of Barcelona, Wuijts, et al. (2022) reveal that stakeholders emphasized the necessity of a healthy, socially equitable, and safe city that promotes active living, provides clean air and high-quality public spaces, and protects people’s health and well-being. A healthy, socially equitable, and safe city might be built by increasing the number of green and blue public areas, particularly in impoverished neighborhoods. For example, a waterfront regeneration project on the Bess River changed how people could get to the shoreline by walking and cycling. As a consequence, it also changed how they felt about their physical activity, and their subjective health and wellbeing. Additionally, the creation of blue and green spaces, such as water squares, parks, or green playgrounds, provides cooling areas and water storage. These opportunities for physical activity, relaxation, and social interaction all contribute to improved health. While investments in high-quality blue and green spaces benefit resilience and public health, they also have the potential to exacerbate gentrification and increase socioeconomic inequities if these issues are not addressed during the urban planning process [39].
In summary, social interaction, social cohesion, communal attractiveness, cultural appeal, safety and security, openness, health and wellbeing, the variety of green and blue spaces, relaxation places, and socializing opportunities are significant issues for urban waterfront development. When social factors are not considered during the planning and implementation processes, there is a danger of gentrification and socioeconomic inequality.
2.3.4. Economic Facets
In today’s urban economic development programs, leisure and tourism are essential components of an overall planning strategy. However, urban tourism and related cultural forms were not considered in growth plans during the 1950s and 1960s. Urban redevelopment in the post-World War II period coincided with the transition from a production-oriented economy to a consumption-oriented one [27]. Municipal governments sought to build a city of leisure amid intercity competition by employing multiple techniques, including substantial private-public collaborations. The resulting infrastructure, such as sports stadiums, conference centers, arenas, museums, parks, concert halls, and waterfront developments, helped attract tourists and raise local socioeconomic levels. In turn, a significant number of downtowns were redesigned, resulting in the emergence of new social communities, and often leading to gentrification and displacement [40].
Diversifying redevelopment contributes to a shift in political emphasis toward economic development incentives [41,42]. When analyzing economic conditions, one should examine market fluctuations, disposable incomes, pricing, and inflation. Alternately, in sociological terms, community characteristics are analyzed, which can influence product demand or modify management procedures. There are ways in which investments in strategy and development might affect the operations of firms [42].
In the discussion of social aspects, it was mentioned that gentrification and socioeconomic inequality may emerge if social issues are not considered during the planning and implementation stages. As stated in economics-related discussions, economic expansion may also increase gentrification and social inequality. Therefore, waterfront development or rehabilitation should be viewed from a broader viewpoint. This should incorporate physical [19,20,21], functional [23,27,28,29,30,31], sociological [34,39,43], economic [27,44], cultural [36,45,46,47], and political [48,49,50,51] components in order to resolve these issues.
In a broader sense, transformation occurs through various socioeconomic indices, such as an increase in housing value and stock, a decrease in unemployment, and an increase in household income. Additionally, rejuvenation is related to improvements in human health. According to this definition, well-being includes freedom of choice and conduct, a healthy physical condition, positive social relationships, and a sense of safety [52].
The increasing popularity of urban blue spaces as tourist destinations and residential areas has been linked to substantial economic benefits. Enhanced waterfront management also results in an improved local image, a rise in the number of visitors, the creation of jobs, new places of opportunity, the expansion of local businesses, an increase in municipal income, and lower operating expenses and rents [44]. According to the studies by Brückner et al. (2022), even though there are a lot of problems, urban blue regeneration can still be profitable and good for the environment and social well-being, especially in areas that do not have many resources [44].
2.3.5. Cultural Features
Culture is an invaluable source of cosmopolitanism in international urban competitiveness through hosting international events and research centers, encouraging creativity and innovation, and continuing to drive high-growth economic sectors such as the creative industries, commercial leisure, and hospitality [53]. All citizens can share in the benefits of wealth through the medium of culture. This is because it can generate social and human capital, improve life skills, and transform an organization’s ability to manage and adapt to changes. Culture is a way to define a rich, shared identity. As such, it encourages a sense of pride in one’s town or city, and cooperation between communities, making people feel more stable and sure of themselves [54].
Proper urban waterfront development operations need to revive cities’ historical references to attract individuals to their waterfronts. In addition, the supply of cultural and artistic activities and exhibition spaces could be taken into account for an effective urban waterfront development process [45]. The constructed and unconstructed cultural entities along waterfronts include restored historical urban harbors, repurposed industrial heritage structures, revamped marine vistas, and water-based urban life. They differ in their unique urban textures and functions, new iconic landmarks, and numerous recreational opportunities. Countries are revitalizing their treasured locations by establishing attractive activity spaces [46]. Tourism and culturally-based activities are currently the most prevalent pastimes. These efforts are increasingly related to economic objectives and the establishment of new employment opportunities. Countries are integrating new applications into their strategy, thereby increasing their distinctive characteristics [55]. By preserving historic harbors as showcases and repurposing them for creative purposes, port cities can enhance their creative capacity and creative spaces. It is essential to revitalize the waterfront with creative and cultural activities since they bring in money, create jobs, and enhance the appearance of a city and region [36].
According to Gunay and Dokmeci’s (2012) [47] case study of Istanbul’s Golden Horn regeneration, transforming historic industrial facilities into cultural and educational hubs, and using cultural features like Kadir Has University and the Rahmi Koc Industrial Museum, can impact social and cultural development. The Golden Horn Cultural Valley Project has given a platform to link Istanbul’s varied groups. According to interviewees, an increasing number of students and tourists has boosted the region’s security and led to crowded transit connections in the Golden Horn. Despite an increasing emphasis on culture-led efforts to enhance social inclusion and quality of life through social and educational programs in cultural complexes, most visitors are newcomers, and access to cultural events is limited in communities. Citizens are also concerned that these programs do not significantly boost the local economy or quality of life. They threaten to result in urban gentrification. Several interviewees said that economic vibrancy is region-specific. Kadir Has University’s opening, for instance, has made additional facilities available. However, local residents object to the university’s use being limited to students and personnel.
According to Porteous (1977), culturally, urban environments typically represent the entirety of civilization. A public space promotes the expression of community culture and improves the quality of life by encouraging its users’ private and communal ideas. An individual’s experiences as a member of a family, ethnic, social class, cultural, national, or lifestyle group strongly influence their views, attitudes, preferences, and other characteristics [38]. They are the spectrum of colors necessary for building urban settlements—a feeling of safety and security influences the presence of people in public areas and their social interactions.
A lesson learned here is that the existing culture needs to be considered during the planning process. This will facilitate more effective transformations while integrating appropriate functions, suitable physical conditions, and proper social integration. This is essential for preventing gentrification within urban cores.
2.3.6. Political Issues
More urban redevelopment initiatives are receiving political support on the grounds that they are capable of transforming cities into more efficient, productive, economically and socially sustainable areas within the current global context. Effective leadership is crucial to the viability of urban waterfront development proposals and an effective design development process. In addition, urban waterfront development applications require ongoing maintenance, knowledge, and assistance to ensure an enduring and acceptable environment.
Multiple stakeholders have contributed to the implementation of waterfront development projects and their procedures over time. These parties addressed various facets, including social, economic, environmental, and governance issues. In Halifax, Kingston, St. John’s, Vancouver, and Victoria, Canada, urban planners, real estate developers, port authorities, and local civic groups engaged in the process, concentrating primarily on socioeconomic aspects [56,57]. Urban planners, developers, and port authorities in Canadian ports dealt mainly with governance challenges [57,58]. Citizens participated in developing the shoreline of Naples, Italy, which emphasizes the environmental and economic factors [57,59].
Hagerman (2007) utilizes the city of Portland as a case study to illustrate how reclaiming industrial and commercial riverfronts with connections to livability lessens the impact of social and ecological displacement, while raising concerns regarding social justice. Portland’s waterfront redevelopment offers an opportunity to reframe gentrification discussions through the lens of livability. It is also committed to transforming the industrial past into urban revitalization projects, incorporating nature and social activity. Urban political ecology claims that landscape alteration should consider the economic and social effects of substituting industrial settings with consumer settings. The role of governance is crucial to the emergence, modification, and promotion of livability concepts [50]. Consequently, it is vital to analyze the methodologies used to investigate waterfront development and overcome the issues regarding gentrification.
Local authorities, governments, and decision-making leaders should provide a collaborative platform for all stakeholders to ensure adequate waterfront development. In addition, it is vital to educate locals to increase their understanding of rising trends in social concerns. It can be seen from various studies and exemplary international applications that the fundamental obligation of authorities participating in the redevelopment of waterfront areas is to cultivate engaged people who can contribute to the resolution of local issues. The purpose of this is to strengthen social cohesion.
Theodora & Spanogianni (2022) [51] argue that efficient management that is devoid of inadequately regulated administrative processes is necessary to promote: strategic orientations for the planning and management of the integrated coastal area; to ensure that the shorelines have long-term growth prospects within the context of sustainability; proper economic and fiscal motivations and methods for local and regional growth; principles and practices of sustainable shoreline use at all levels of government, including local, regional, and national; essential connections between policy objectives, spatial, sector, and specialized strategy; new kinds of participatory planning and spatial institutional frameworks at the local level primarily; determination of coordinators and clarification of responsibilities of stakeholders through all phases of the shoreline planning and management process; providing the necessary funds and monitoring methods; the modernization of information monitoring, evaluation, and dissemination systems; the organization of education and training for citizens; the modernization of the existing regulatory arrangements by bringing them in line with EU regulations on the protection of ecosystems, the governance of constructions, and the development of a strategic, gentle urban organization and low energy usage.
Central and decentralized administrations are crucial to promoting the parameters listed above. In addition, they are responsible for the management of the rapidly increasing demand for land on shorelines, as well as the correspondingly powerful motivations of private capital. There is no doubt that planning processes and practices are essentially political and societal issues.
In analyzing the livability of urban waterfronts, landscape analysis, participant observation of public design and policy-related activities, and interviews with a wide range of actors can serve as tools to enhance the efficiency of the development process [50]. Furthermore, the design of urban elements, furnishings, and artwork that contribute to the aesthetic sensibilities of waterfront users is an additional crucial physical contribution to waterfronts. In this regard, the relevant authorities should evaluate the public transportation nodes in conjunction with the urban furniture (bus, tram, phaeton, bicycle, and dock) and generate suggestions for district-specific symbols within the scope of these designs. In addition, the presented urban furniture and art need to be of appropriate quality. People with and without disabilities have to be able to move around safely and securely [28].
2.4. Overall Summary
To sum up, the planning and implementation of waterfront development needs to incorporate multiple elements, namely physical, functional, social, economic, cultural, and political. A combination of these principles may assist in eliminating the risks associated with regenerated waterfronts. Although there are certain risks associated with regenerating waterfronts, the advantages are more significant and necessary. In addition to the risks highlighted during the discussion of principles, Jones (2017) added several others. There is a need for established characteristics that incorporate creativity, innovation, and welfare programs in order to eliminate these risks and meet contemporary needs [36,60,61,62,63].
This article examines the physical, functional, social, economic, cultural, and political aspects of waterfront development. In this regard, it is vital to note that each of these six principles includes essential details that serve as valuable criteria for evaluating the efficacy of waterfront development initiatives (Table 1).
Table 1.
Evolution of the issues regarding waterfront development.
There is still a great deal of discussion about coastal development today. A potential threat to waterfront development design and practice necessitates the forthcoming contribution to the existing principles. Currently, technological advancement, innovation, and creativity are all crucial concerns, and creative environmental principles effectively address these issues.
Table 2.
Variables of urban waterfront development.
Table 2.
Variables of urban waterfront development.
| Functional | The waterfront has various functional opportunities. |
| The waterfront is providing joyful areas with music, food, literature, dance, and/or maritime heritage. | |
| Different types of water-based activities can be seen. | |
| Physical | The waterfront is well maintained. |
| The place has presented various art objects in good physical condition. | |
| Urban furniture is in good physical condition. | |
| A certain level of mobility has been attained. The waterfront is accessible for persons with disabilities as well as those without. | |
| The area has access to other public environments. | |
| It is easy to reach the waterfront via pedestrian access, bicycle lanes, and/or public transportation. | |
| Traffic and parking condition is proper. | |
| Social | The environment is attractive. |
| As an observer, people with different education levels, age groups, ethnicities, and income levels can enjoy the place. | |
| As a user, I am proud to have such a place in the city. | |
| Economic | The economic and nature-friendly design approach was considered during the regeneration process. |
| The area provides good economic income. | |
| I like to visit here frequently. | |
| Cultural | Historical references are protected and/or reflected on the waterfront. |
| There are cultural and art activities in the place. | |
| The unique image has been protected and the image has developed. | |
| Politic | The regeneration process has been done with a successful cooperation process with related stakeholders. |
| Creativity, innovation, and/or social well-being policies are well-considered during the regeneration process. | |
| I feel that proper regulations have been created by politicians to provide continuous maintenance. |
2.5. An Overview on Kyrenia Waterfront and Method of the Study
A critical investigation of Kyrenia’s ancient harbor served as part of this study. Kyrenia is located on the shores of Cyprus and is rich in historical, architectural, and cultural characteristics. Currently, a majority of locals and foreigners from different countries visit Kyrenia. It is known as one of the most scenic urban waterfronts worldwide because of its picturesque scenery, historical value, castle, and port.
However, urban sprawl has been a problem in Kyrenia since 2000. In general, built structures do not consider the three-dimensional features of their surroundings or the activities occurring in the outdoor environment. In response to all these recent events and their detrimental consequences, the municipal council of Kyrenia has come up with a plan to improve the urban area. The city of Kyrenia implemented a comprehensive renovation plan in 2005 to increase access for both citizens and international visitors. However, it failed to address concerns regarding the creative classes. Upgrades have taken place to all circulation areas, including urban equipment, walkways, crosswalks, and parking areas. A large portion of the urban waterfront has been arranged for pedestrians. In addition, various landscaping and cityscape components have been added, which allow people to enjoy urban waterfronts in security and comfort. Guvenbas & Polay (2021) [97] enumerated the site’s necessary enhancements as follows:
- Providing alternative parking for vehicles by allocating or establishing accessible parking spaces and access aisles;
- Displaying signs for vehicles to ensure pedestrian safety;
- Installing signs for vehicles to ensure the safety of pedestrians;
- Establishing routine maintenance and increasing its frequency;
- Restroom renovations in public spaces;
- Various parking laws to facilitate pedestrian mobility.
In 2017, political and financial constraints impeded the implementation of the redesigned waterfront enhancement plan. The council is seeking implementation strategies for the plan as a component of its progress. After the completion of many modifications, this study will assess the physical, functional, cultural, and social elements of Kyrenia’s waterfront. The study will help lay the groundwork for the future development of the area.
Inspections were conducted in advance to choose sampling methods from the developed region of the Kyrenia Waterfront (Figure 2). The primary location between Kyrenia Castle (Figure 3) and Atatürk Square (Figure 4), deemed suitable for review, was subsequently selected. This region is the primary activity corridor of Kyrenia, so most visitors access the city along this route. Within its limits is a diverse urban environment. Ataturk Square, Children’s Park, and areas adjacent to the ancient port (Figure 5) were evaluated in accordance with the broad waterfront development parameters.
Figure 2.
Kyrenia Waterfront; the ancient harbor and its surroundings.
Figure 3.
Kyrenia Castle.
Figure 4.
Atatürk Square.
Figure 5.
The Ancient Harbor.
The strengths of Kyrenia are the existence of historical artifacts and their value; the municipality with its stable financial structure, constantly developing, innovative, and dynamic staff, and senior management; the existence of ports; having a multicultural, international background and potential; having internationally recognized universities; being by the sea, and its geographical location on the Mediterranean (close to trade and tourism routes); being open to development geographically; and the public’s openness to and willingness to develop environmental awareness.
According to 2016 data, 12,719 individuals worked in hotels, restaurants, travel agencies, and casinos in the Kyrenia Region, where tourism is the primary economic sector [98].
Even though Kyrenia primarily relies on hotel and casino tourism, promoting alternative and environmentally friendly tourism activities is an opportunity to enhance sustainable cultural tourism, for which there is a high demand. This helps to increase and promote local cultural values. Tourism activities revolving around casinos and five-star hotels pose a significant threat to the economy in times of economic downturn. Kyrenia has an abundance of historical treasures. If there were more investment in the maintenance and promotion of these sites, Kyrenia’s historical sites, which include the St. Hilarion and Bufavento castles, a sunken ship museum, and a heritage harbor, could attract more culture and history enthusiasts. In Kyrenia, where mountains meet the sea, several natural life tours like hiking adventures can help to diversify tourism. These tours will attract nature enthusiasts, protect endemic species, and promote adrenaline sports like diving and parachuting [98].
The Kyrenia Mountain Range, which stretches along the waterfront, limits agricultural activity; despite the coastline to the north of the mountains serving few agricultural purposes, more settlements and tourist facilities exist there.
Generally the municipal difficulties include distorted construction and concreting; traffic, roads, and walkways; infrastructure; uncontrolled population expansion; failure to enforce laws; and case-specific problems related to the ancient port’s physical condition [98].
Multiple stakeholders were involved in the development of Kyrenia and the Ancient Harbor in order to realize a more comprehensive common practice approach. The actors and stakeholders for Kyrenia improvement included: the municipal council (as a leader); municipal staff (leader); central government (strategic partner); Embassy of the Republic of Turkey (strategic partner); European Union Commission (strategic partner); Girne District Governorship (partner); universities in the region “GAU, Kyrenia” (strategic partner); Department of Antiquities (partner); Mukhtars (strategic partner); vocational high schools (partner and service recipient); primary and secondary schools (partner and service recipient); people of the region (strategic partner, supplier, service recipient); media organizations (partner); Cyprus Turkish Chamber of Commerce (partner); Cyprus Turkish Chamber of Industry; sports clubs (partner and service recipient); citizens (partner and service recipient); regional tradesmen (partner); brother cities (partner); tourists (service); non-governmental organizations (partner); accountancy firms (partner); Department of Primary Health Services (partner); Department of Ports (strategic partner); neighboring municipalities (partner); and Ministry of Interior and Local Governments (partner) [98]). As part of the project planning process, non-governmental organizations (NGOs), relevant public institutions, employees, and representatives from the business world contributed. Businesspeople and representatives of different sectors of great social and economic importance in the region participated in the focus group discussions as a group. Representatives from public units, the private sector, associations working for the area, and municipal employees attended the relevant workshops, yet another stage of the process [98].
Regional strategic plans are developed and implemented as multi-layered plans that incorporate high-level administrative choices to enhance a particular geographic region. Regional development plans take place at the national level, and their resources are distributed in this manner. The Kyrenia Municipality Regional Strategic Development Plan [98] also consists of implementing strategic planning techniques and includes regional development plan components. However, this plan’s leadership and resource planning were developed at the local government level, taking socioeconomic development into account, and emphasizing regional development, much like regional development plans.
Currently, the municipality is working on developing the concept and exploring ways to implement it [98]. In this study, the aim is to clarify various principles of the waterfront development. The results obtained from this study will be a significant contribution to the municipality’s present and future advancement and continuous improvement strategies.
3. Materials and Methods
This part presents the materials and methods of the investigation by reviewing pertinent instruments. In particular, it consists of three sections: the measurement instruments, the collection of samples and data, and information about participants. The following section will present the results of an investigation into the Kyrenia waterfront.
3.1. Measurement Instruments
There are six urban waterfront principles that are obtained from the literature review (Table 2): physical quality, functional elements, social variables, economic aspects, cultural characteristics, and political considerations. The questionnaire was designed as a measurement tool by using these principles. Analyzing waterfront development along various dimensions is necessary for determining the most comprehensive and appropriate development objectives [2,48,70,99].
This study used a questionnaire composed of two parts. First, the questionnaire determines the demographic characteristics of the users. The second part examines the actual level of satisfaction with the six waterfront development principles among users (Appendix A).
3.2. The Sample and Data Collection
Data collection took place between September and November 2020 at the Kyrenia Waterfront. In total, 247 questionnaires went out. Users of the waterfront participated in a random selection in Kyrenia. On the Likert scale, all items were scored between 5 (complete agreement) and 1 (total disagreement). This analysis gave insight into respondents’ profiles. These profiles include data on gender, age, occupation, education, type of visitor, frequency of visits, willingness to spend time, and recommendations. As part of the analysis process, a descriptive analysis was undertaken to determine the frequency and proportion of each questionnaire question. A review of the datasets was conducted to ensure completeness and normalcy prior to evaluation. Statistical analyses was performed with SPSS V.25 and AMOS V.24 with a 95% confidence interval.
3.3. Participants
The objective of this questionnaire is to accommodate the different needs of the creative class, employers, employees, students, tourists, and all visitors. All of the users share similar physical, functional, social, economic, political, and cultural qualities.
4. Results
Following the survey’s systematic framework, this part offers the results of the data analysis. The results of the observation and survey are presented together, and significant correlations are highlighted.
4.1. Respondents’ Profile
The purpose of compiling respondent profiles was to determine their demographic features, such as gender, age, socioeconomic status, and education level. The survey results indicate that the younger generation prefers to use the case space alongside the 18–44 age groups (81.0%). The male population (67.6%) was older than the female population (27.1%) and the LGBTQ population (4.5%). It became apparent that most responders hold a university degree. Furthermore, the majority (55.9%) are employed or university students. In general, Cypriots (49.0%) and Turkish citizens (32.8%) comprise the majority of visitors. Most users (38.5%) belong to the creative class. During the site visit, the largest user group were Kyrenia residents (44.9%). In addition, people tend to visit the site weekly and monthly (Figure 6, Figure 7, Figure 8, Figure 9 and Figure 10).
Figure 6.
Questions regarding the personal information of users No. 1 (left) and No. 2 (right).
Figure 7.
Questions regarding the personal information of users No. 3 (left) and No. 4 (right).
Figure 8.
Questions regarding the personal information of users No. 5 (left) and No. 6 (right).
Figure 9.
Questions regarding the personal information of users No. 7 (left) and No. 8 (right).
Figure 10.
Questions regarding the participants’ satisfaction.
Information concerning the participants’ ages and gender is available in the first section of the questionnaire. Most of the younger generation prefers to use the case area, including the 18–44 age group. The male population was larger than the female and LGBTQ populations (Figure 3).
The second section of the questionnaire relates to the participants’ education level and employment information. The majority of respondents have a university education. Furthermore, most of them are employed or students (Figure 7).
The third section of the questionnaire refers to the participants’ nationality and user group information. Generally, Cypriots and Turkish citizens visit the site. The creative class comprises the majority of the user profiles (Figure 8).
The fourth section of the questionnaire was linked to the participants’ type of visit and visit frequency information. Locals and residents of Kyrenia made up most of the users during the site visit. Furthermore, they tend to visit the site weekly and monthly (Figure 9).
The bulk of users chooses to spend time at the waterfront in Kyrenia. In addition, they are promoting this location to others. On the other hand, they are not content with the site’s urban space amenities. They are also dissatisfied with the level of transportation accessibility, the sufficiency of disability access, bicycle access, the physical condition of pedestrian access, and the physical condition of car access (Figure 10).
4.2. On Users’ Perceptions and Needs
As outlined in the literature survey, there appear to be six main principles (functional, physical, social, cultural, political, and economic) that influence the adequacy of urban waterfront development (Table 1). Those principles were generalized in Table 2 and used to create the questionnaire in Appendix A to evaluate the case area.
The results of the descriptive analysis for the urban waterfront variables in the questionnaire in Table 3, Table 4, Table 5, Table 6, Table 7 and Table 8 show that all the variables had a normal distribution. Therefore, the skewness and kurtosis values for all the variables were between the cut-off range values of ±3.3 [100].
Table 3.
Functional Variables of Kyrenia Waterfront.
Table 4.
Physical Variables of Kyrenia Waterfront.
Table 5.
Social Variables of Kyrenia Waterfront.
Table 6.
Economic Variables of Kyrenia Waterfront.
Table 7.
Cultural Variables of Kyrenia Waterfront.
Table 8.
Political Variables of Kyrenia Waterfront.
A review of the Kyrenia Waterfront revealed that it provided various multifunctional opportunities, including cafés, restaurants, bars, parking facilities, dormitories, guesthouses, shopping locations, museums, religious buildings, taxi services, information centers, as well as hotels (Table 3).
It is indicated during the physical analysis that most of the users found their physical condition at a low level. There was a lack of maintenance, and individuals with a disability were not safe given the walkability conditions. Therefore, urban mobility needs to play a significant role in achieving a high level of well-being.
From the social perspective, the area has a variety of users of different ages, genders, education levels, employment statuses, nationality, user groups, visitor types, and frequencies (Figure 6, Figure 7, Figure 8 and Figure 9). It demonstrates its popularity among users.
One of the most attractive points in Cyprus is the Kyrenia Waterfront. In this sense, the area welcomes locals, tourists, and residents alike. Due to that, the place is at an acceptable level in terms of economic contribution. Political support, on the other hand, does not satisfy its users. Its physical condition is not stable or continuous. With this in mind, investment and maintenance activities need to be encouraged by the relevant authorities.
The presence of the medieval castle on the site provides significance to the surrounding context since it is a well-preserved cultural heritage building. It enhances the originality and value of the site. The protection of cultural values is a common practice in most situations. However, their promotion does not satisfy the users of Kyrenia Waterfront.
It was found that the level of political support was not adequate. Therefore, implementation of the applicable rules and regulations is required. Accordingly, necessary funding, preservation, security, and cleanliness could be provided.
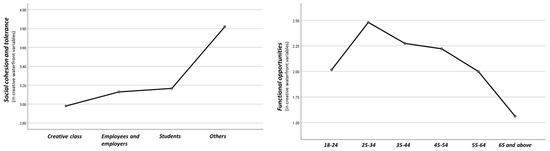
There were significant differences between participants in the age ranges of 18–24 and 25–34 for the diversity of function variable. These results revealed that participants in the age range of 18–24 are more agreeable to a diversity of functions (mean = 2.016) than participants in the age range of 25–34 (mean = 2.481). Thus, the mean differences between these two groups are the largest and most significant differences between age groups (mean difference = 0.464). For innovation and technology, there are significant differences between participants aged 25–34 and 45–54 and between participants aged 45–54 and 55–64. These results revealed that participants in the age ranges of 45–54 and 55–64 are more agreeable to innovation and technology (mean = 1.548 and 1.467, respectively) than participants in the age ranges of 25–34 (mean = 2.145). Thus, mean differences between these two groups are the largest and most significant differences between age groups (mean difference = 0.549 and 0.679, respectively). Furthermore, there are considerable variations between students and other user groups concerning the variable “social cohesion and tolerance.” These results indicate that creative classes are the category of users with the highest level of agreement regarding “social cohesiveness and tolerance” (mean = 2.981). However, other user groups are more divided (mean = 3.819). In other words, the mean differences between these two groups are the largest and most significant across user groups (mean difference = 0.839). This difference is particularly notable for the employees and employers (mean = 3.129) and students (mean = 3.167) categories compared to the other user groups (mean differences = 0.690 and 0.653, respectively) (Figure 11).
Figure 11.
Means plot of “social cohesion and tolerance,” and user groups (left) and means plot of “functional opportunities,” and age groups (right).
The results of the one-way Anova Test indicate a significant difference between the different groups of respondents in terms of the social cohesion variable. This result indicates that there is a significant difference between the respondents’ perception of social cohesion for different user groups (F (3, 243) = 4.131, p < 0.05). Moreover, these results show substantial differences between the genders of respondents in terms of creative environments and activities, social cohesion, economic contribution, diversity of function, motivation of entrepreneurs, and political support variables. Besides, there are significant differences between the respondents’ perceptions of creative environments and activities (F (2, 244) = 3.361, p < 0.05), social cohesion (F (2, 244) = 4.010, p < 0.05), economic contribution (F (2, 244) = 3.848, p < 0.05), diversity of function (F (2, 244) = 2.371, p < 0.10), motivation of entrepreneurs (F (2, 244) = 4.323, p < 0.05), and political support (F (2, 244) = 2.604, p < 0.10) for different genders. This result indicates that there are significant differences between the respondents’ perception of the quality of life and physical comfort (F (5, 241) = 2.791, p < 0.05), diversity of function (F (5, 241) = 2.349, p < 0.05), innovation and technology (F (5, 241) = 3.651, p < 0.05), motivation of entrepreneurs (F (5, 241) = 2.198, p < 0.10), and political support (F (5, 241) = 2.254, p < 0.10) for different age groups.
5. Discussion
It is essential to think inclusively to achieve comprehensive development. Therefore, it means that there needs to be a way to examine how the design and management of an urban environment might affect a person’s ability to use it [101].
For the study, a framework was developed based on a literature review that addresses physical, functional, social, cultural, economic, and political concerns which serve as a tool to evaluate developing waterfronts. The evaluation of various dimensions of waterfront development is necessary for determining the most comprehensive and appropriate development goals [2,48,70,99]. The assessment principles were gathered from overviews of different places of varying sizes, from small waterfront settlements to large coastal areas. Observations within the study can occur at waterfronts, which are situated adjacent to an urban area and located in a developing state. However, the offered evaluation framework would not be suitable for waterfront areas where there are no settlements or no development attempts.
This study was limited to urban waterfront development aspects in developing settlements. In essence, this approach intends to help with the design and planning of urban waterfronts, since public open space is generally concerned with the quality and condition of the place to improve its use and visitor experience [34,43,99]. The six primary principles (Table 1), including their discussion sphere, were summarized and generalized (Table 2) to develop the questionnaire framework (Appendix A).
Questionnaires were conducted in Kyrenia Ancient Harbor, and the results were limited by the interpretation of the case study. However, different findings can occur in different cases with various physical, functional, social, cultural, political, and economic conditions. Using the designed questionnaire as a tool could help professionals in the urban waterfront environment understand what people want and need. The questionnaire also aids in elucidating the quality of current design efforts and understanding how waterfronts function for their users. The questionnaire could serve as a tool for the waterfront development process to construct and sustain a comprehensive waterfront. Municipalities can use the questionnaire to determine how physical, functional, social, cultural, economic, and political features are present. These are all crucial concepts for waterfront development. The municipality of Kyrenia responded by developing a new plan to improve the urban quality and use of the entire city and the Ancient Harbor. Using a questionnaire will enable Kyrenia municipality to improve the multidimensional performance of the Ancient Harbor by eradicating bad design mistakes that result in exclusion and social isolation. Given that only a portion of the present renovation scheme is complete, and the remainder is in process, learning from the questionnaire’s errors will assist in improving the municipality’s design databases and standards. The questionnaire will serve as a reference for the municipality of Kyrenia to save money, time, and labor and prevent possible budget expansions due to repeated management errors, technical application problems, and planning errors. The process of user participation is crucial to the success of the inclusive design, and the questionnaire could become an accepted part of the design if objective evaluations based on clearly specified performance goals are in place. Using survey and observation data jointly increased the validity and reliability of the results in the current study.
The survey results can contribute to the re-design and upgrade scheme of Kyrenia through a more comprehensive approach that endorses the design principles found in this study, and provides a framework for producing practical solutions to formulate and ensure a more inclusive approach for its users. The survey implementation could play an essential role in the design process, and its adoption will enable Kyrenia municipality to achieve its goals.
Therefore, this study can serve as a tool for local and governmental authorities to improve Ancient Kyrenia Harbor. Furthermore, the researcher can benefit from analyzing the decision-taking with regard to similar urban waterfronts. This paper proposes a measurement scale framework to facilitate the discussion of waterfront development. There is a good fit between the framework and several indicators, suggesting that these variables positively influence waterfront development. Thus, the variables used can serve as a tool for the comprehensive development of waterfront areas. This report found that ports and cities might collaborate to ensure that the waterfront provides sufficient amenities for residents, creative individuals, employees, employers, students, and tourists. It would enhance the value added by port centers. The port city center could also serve as a hub for interaction between the port and the city, facilitating greater cooperation on critical issues.
6. Conclusions and Recommendations
Urban waterfronts are places that are needed to satisfy users’ needs. For successful waterfront improvement projects, it is vital to take into account the views of stakeholders, public, and private authorities. This research aimed to analyze Ancient Kyrenia Harbor through the lens of urban waterfront development criteria. This research demonstrates that a comprehensive evaluation can provide a method for addressing the broader aspects of waterfront development following the progress of a suitable waterfront.
Numerous factors affect the success and effective use of urban waterfronts. This article’s primary strengths consist of two supplementary objectives: investigating an assessment approach that combines quantitative and qualitative methods, and focusing on a particular case study (the port of Kyrenia) to test and evaluate this method.
Physical quality, functional aspects, social factors, economic factors, cultural characteristics, and political issues all contribute to the success of waterfront development. It includes creative and aesthetically pleasing places and activities, appropriate rules and regulations, motivated entrepreneurs, continuous funding opportunities, preservation of the existing historical context, cultural heritage, unique values, modern physical sufficiency, and social well-being.
In this study, the physical, functional, social, economic, cultural, and political suitability of Kyrenia Ancient Harbor is assessed based on the users’ evaluations of waterfront development concepts. It shows that the port area’s functions and opportunities are sufficient according to its users, but the users, especially the creative class, require new and technologically advanced facilities and prospects. The physical environment required enhancement. The current state of the street furniture is inadequate. Additionally, the pavements are not suitable for safe usage by individuals with a disability. The area is ineffective for cyclists and walkers. Users find the environment more appealing in terms of its social acceptability. People of varying levels of education, age, ethnicity, and socioeconomic status can enjoy the location. Citizens are highly motivated by an environment that allows everyone to utilize the site’s facilities. Kyrenia’s coastline is the most attractive place in Northern Cyprus. As a result, the region attracts tourists, locals, and citizens. There is an adequate financial contribution from the area. However, the majority of participants considered that political support was inadequate. The applicable legislation and policies need to be in place to enable continued investment possibilities for the region’s long-term development. In addition, periodic maintenance is required to guarantee adequate safety and cleanliness.
Based on the findings, some recommendations can be given for future development:
Physical
- Beaches should be well-maintained, and more resting areas should be available for all users;
- Afforestation and environmental landscaping are needed;
- Recycle bins need to be installed;
- Bike paths need to be traced;
- Adequate sitting opportunities should be provided for the users;
- Infrastructure problems need to be solved; it is necessary to make a plan based on population estimates for the coming years;
- Public transport should be promoted to solve the traffic problem.
Functional
- Alternative tourism potential needs to be considered by producing new projects (such as creative tourism and cultural tourism);
- Providing free internet access and benefiting from technology, such as simulation areas;
- There should be a place for research and development, and classrooms should be encouraged to be creative and useful.
Social
- Training and seminars should be organized to increase environmental awareness. Recycling awareness should be increased;
- Creative people and businesspeople should take part in decision-making.
Economic
- For development projects, an economical and nature-friendly design should be considered;
- Increasing economic income opportunities through alternative tourism options.
Cultural
- More promotion is needed for historic buildings. Cultural and artistic activities should be increased;
- The unique image needs to be protected, and contemporary image standards should be satisfied.
Politics
- The government and municipality should provide financing for the development;
- Municipalities, governments, and the public should work in cooperation;
- The local authorities should identify the priority problems and bring these issues forward and develop projects accordingly;
- The public should act together by cooperating with the relevant institutions and organizations.
It is anticipated that the Kyrenia municipality will benefit from the conclusions of this research while the Kyrenia Ancient Harbor improvement plan is still in progress. In addition, surveys should be undertaken at regular intervals in order to update it. This research is not only valuable for the municipality of Kyrenia, but it can also be used in other similar contexts. For long-term success, design evaluation and quality assurance initiatives should continue indefinitely.
Author Contributions
Conceptualization, D.Ü. and M.P.; methodology, D.Ü. and M.P.; software, D.Ü.; validation, D.Ü. and M.P.; formal analysis, D.Ü.; investigation, D.Ü.; resources, D.Ü. and M.P.; data curation, D.Ü.; writing—original draft preparation, D.Ü.; writing—review and editing, D.Ü. and M.P.; visualization, D.Ü.; supervision, M.P. All authors have read and agreed to the published version of the manuscript.
Funding
This research received no external funding.
Institutional Review Board Statement
Not applicable.
Informed Consent Statement
Informed consent was obtained from all respondents involved in the study.
Data Availability Statement
Not applicable.
Acknowledgments
With gratitude, the authors wish to acknowledge Alaa Albarazi for providing aerial photographs of the Kyrenia Waterfront.
Conflicts of Interest
The authors declare no conflict of interest.
Appendix A
Measurement scales for a study on the Waterfront of Kyrenia.


References
- Iwata, N.; del Rio, V. The Image of the Waterfront in Rio de Janeiro: Urbanism and Social Representation of Reality. J. Plan. Educ. Res. 2004, 24, 171–183. [Google Scholar] [CrossRef]
- Hoyle, B. Urban waterfront revitalization in developing countries: The example of Zanzibar’s Stone Town. Geogr. J. 2002, 168, 141–162. [Google Scholar] [CrossRef]
- Landry, C. The Creative City: A Toolkit for Urban Innovators; Earthscan Publications Ltd.: London, UK, 2000. [Google Scholar]
- Landry, C.; Bianchini, F. The Creative City; The Round: Gloucestershire, UK, 1994. [Google Scholar]
- Scott, A.J.; Storper, M. The Nature of Cities: The Scope and Limits of Urban Theory. Int. J. Urban Reg. Res. 2014, 39, 1–15. [Google Scholar] [CrossRef]
- Kozina, J.; Bole, D.; Tiran, J. Forgotten values of industrial city still alive: What can the creative city learn from its industrial counterpart? City Cult. Soc. 2021, 25, 100395. [Google Scholar] [CrossRef]
- Onen, M. Examination Rivers’ Recreational Potential as an Urban Coastal Space: Case Study, Eskisehir Porsuk Creek and Istanbul Kurbagalidere; Istanbul Technical University: Istanbul, Turkey, 2007. [Google Scholar]
- Timur, U.P. Urban Waterfront Regenerations. 2013. Available online: https://www.intechopen.com/chapters/45422 (accessed on 20 June 2022).
- Hattapoğlu, M.Z. Place of Water Phenomenan in Evoluation of Settlements and Teinterpretation of It as an Urban Design Element; Mimar Sinan Arts of University, Institute of Science and Technology: İstanbul, Turkey, 2004; p. 164. [Google Scholar]
- Urban Waterfront Manifesto. 1999. Available online: http://www.waterfrontcenter.org/about/manifesto.html (accessed on 20 June 2022).
- Popovic, S.; Vlahovic, S.; Vatin, N. The Role of Water in City Center, through Location of “Rakitje”. Procedia Eng. 2015, 117, 849–858. [Google Scholar] [CrossRef][Green Version]
- Hoyle, B. The port—City interface: Trends, problems and examples. Geoforum 1989, 20, 429–435. [Google Scholar] [CrossRef]
- Breen, A.; Rigby, D. Waterfronts Cities Reclaim Their Edge; McGraw-Hill: New York, NY, USA; London, UK, 1994. [Google Scholar]
- Desfor, G.; Goldrick, M.; Merrens, R. Redevelopment on the North American water-frontier: The case of Toronto. In Revitalising the Waterfront; International Dimentions of Dockland Redevelopment; Hoyle, B.S., Pinder, D.A., Husain, M.S., Eds.; Belhaven Press: London, UK, 1988; pp. 92–113. [Google Scholar]
- Smith, H.; Garcia Ferrari, M.S. Waterfront Regeneration: Experiences in City-Building; Routledge: Oxfordshire, UK, 2012. [Google Scholar]
- Samavati, S.; Ranjbar, E. The Effect of Physical Stimuli on Citizens’ Happiness in Urban Environments: The Case of the Pedestrian Area of the Historical Part of Tehran. J. Urban Des. Ment. Health 2017, 2. Available online: https://www.urbandesignmentalhealth.com/journal2-tehran.html (accessed on 20 June 2022).
- Carmona, M.; Heath, T.; Oc, T.; Tiesdell, S. Public Places, Urban Spaces: The Dimensions of Urban Design; Architectural Press: Oxford, UK, 2003. [Google Scholar]
- Alsumsam, I. Improving the Quality of Public Open Spaces in Hama, Syria: An Investigation through the Social Spatial Approach; The University of Edinburgh: Edinburgh, UK, 2017. [Google Scholar]
- Wessells, A.T. Urban Blue Space and ‘The Project of the Century’: Doing Justice on the Seattle Waterfront and for Local Residents. Buildings 2014, 4, 764–784. [Google Scholar] [CrossRef]
- Shah, S.; Roy, A.K. Social Sustainability of Urban Waterfront—The Case of Carter Road Waterfront in Mumbai, India. Procedia Environ. Sci. 2017, 37, 195–204. [Google Scholar] [CrossRef]
- Xie, P.F.; Gu, K. The changing urban morphology: Waterfront redevelopment and event tourism in New Zealand. Tour. Manag. Perspect. 2015, 15, 105–114. [Google Scholar] [CrossRef]
- Gehl, J. Life between Buildings: Using Public Space; Reinhold: New York, NY, USA, 1987. [Google Scholar]
- Zhao, P. Study on the Representation of Traditional Graphic Elements in Coastal Landscape Planning and Design. J101384 J. Coast. Res. 2020, 115, 253–255. [Google Scholar] [CrossRef]
- Moughtin, C. Urban Design-Street and Square; Butterworth Architecture: Oxford, UK, 1992. [Google Scholar]
- Ferri, B.; Maturo, A. Knowing the urban landscape for a sustainable environmental. Procedia—Soc. Behav. Sci. 2012, 46, 5257–5264. [Google Scholar] [CrossRef]
- Jacobs, J. The Death and Life of Great American Cities; Random House: New York, NY, USA, 1961. [Google Scholar]
- Breen, A.; Rigby, D. Urban waterfront: Positive directions urban problems. In Proceedings of the Recreational Conference, Mertyle Beach, SC, USA, 28 February–1 March 1985; pp. 60–80. [Google Scholar]
- Sealey, K.S.; Andiroglu, E.; Lamere, J.; Sobczak, J.; Suraneni, P. Multifunctional Performance of Coastal Structures Based on South Florida Coastal Environs. J. Coast. Res. 2021, 37, 656–669. [Google Scholar] [CrossRef]
- United Nations Environment Programme. Marine Litter: A Global Challenge; United Nations Environment Programme: Nairobi, Kenya, 2009; p. 232. [Google Scholar]
- Harvey, N.; Caton, B. Coastal Management in Australia; University of Adelaide Press: Adelaide, Australia, 2010. [Google Scholar]
- Long, H.; Cui, K. Coastal Landscape Architecture Design Based on Nonlinear Thinking. J. Coast. Res. 2020, 107, 218–221. [Google Scholar] [CrossRef]
- Miloš, M.; Dragana, V. Mythology as a Driver of Creative Economy in Waterfront Regeneration: The Case of Savamala in Belgrade, Serbia. Space Cult. 2021, 1–16. [Google Scholar] [CrossRef]
- Roberts, L. Dis/embedded Geographies of Film: Virtual Panoramas and the Touristic Consumption of Liverpool Waterfront. Space Cult. 2010, 13, 54–74. [Google Scholar] [CrossRef]
- Breen, A.; Rigby, D. The New Waterfront: A Worldwide Urban Success Story; Thames & Hudson: London, UK, 1996. [Google Scholar]
- Giovinazzi, O.; Moretti, M. Port Cities and Urban Waterfront: Transformations and Opportunities. TeMALab J. 2010, 3, 57–64. [Google Scholar]
- Kostopoulou, S. On the Revitalized Waterfront: Creative Milieu for Creative Tourism. Sustainability 2013, 5, 4578–4593. [Google Scholar] [CrossRef]
- Latip, N.S.A.; Shamsudin, S.; Liew, M.S. Functional Dimension at ‘Kuala Lumpur Waterfront’. Procedia—Soc. Behav. Sci. 2012, 49, 147–155. [Google Scholar] [CrossRef]
- Porteous, J.D. Design with people. Environ. Behav. 1977, 3, 206–223. [Google Scholar]
- Wuijts, S.; de Vries, M.; Zijlema, W.; Hin, J.; Elliott, L.R.; Breemen, L.D.; Scoccimarro, E.; Husman, A.M.; Külvik, M.; Frydas, I.S.; et al. The health potential of urban water: Future scenarios on local risks and opportunities. Cities 2022, 125, 103639. [Google Scholar] [CrossRef]
- Spirou, C. Municipal advancement and tourism policy in the United States: Economic development and urban restructuring. In A Research Agenda for Urban Tourism; van der Borg, J., Ed.; Edward Elgar Publishing Limited: Cheltenham, UK, 2022; pp. 201–217. [Google Scholar]
- Jones, A. Issues in waterfront regeneration: More sobering thoughts. A UK perspective. Plan. Pract. Res. 1998, 13, 433–442. [Google Scholar] [CrossRef]
- Pirlone, F.; Spadaro, I.; De Nicola, M.; Sabattini, M. Sustainable urban regeneration in port-cities. A participatory project for the Genoa waterfront. TeMA J. Land Use Mobil. Environ. 2022, 1, 89–110. [Google Scholar]
- Sairinen, R.; Kumpulainen, S. Assessing social impacts in urban waterfront regeneration. Environ. Impact Assess. Rev. 2006, 26, 120–135. [Google Scholar] [CrossRef]
- Brückner, A.; Falkenberg, T.; Heinzel, C.; Kistemann, T. The Regeneration of Urban Blue Spaces: A Public Health Intervention? Reviewing the Evidence. Front. Public Health 2022, 9, 782101. [Google Scholar] [CrossRef]
- Zhou, Q. Research on Architectural Space Design of Coastal Cities Based on Virtual Reality Technology. J. Coast. Res. 2020, 115, 13–16. [Google Scholar] [CrossRef]
- Seçmen, S. New Public Spaces of Post-Industrial Waterfronts. In Urban Waterfronts and Cultural Heritage; New Perspective and Opportunities; Babalis, D., Townshend, T.G., Eds.; Altralinea Edizioni: Florence, Italy, 2018; pp. 88–99. [Google Scholar]
- Gunay, Z.; Dokmeci, V. Culture-led regeneration of Istanbul waterfront: Golden Horn Cultural Valley Project. Cities 2012, 29, 213–222. [Google Scholar] [CrossRef]
- Bunce, S.; Desfor, G. Introduction to “Political ecologies of urban waterfront transformations”. Cities 2007, 24, 251–258. [Google Scholar] [CrossRef]
- Boland, P.; Bronte, J.; Muir, J. On the waterfront: Neoliberal urbanism and the politics of public benefit. Cities 2017, 61, 117–127. [Google Scholar] [CrossRef]
- Hagerman, C. Shaping neighborhoods and nature: Urban political ecologies of urban waterfront transformations in Portland, Oregon. Cities 2007, 24, 285–297. [Google Scholar] [CrossRef]
- Theodora, Y.; Spanogianni, E. Assessing coastal urban sprawl in the Athens’ southern waterfront for reaching sustainability and resilience objectives. Ocean. Coast. Manag. 2022, 222, 106090. [Google Scholar] [CrossRef]
- Nixon, R.; Carlton, J.S.; Ma, Z. Drivers of revitalization in Great Lakes coastal communities. J. Great Lakes Res. 2022. [Google Scholar] [CrossRef]
- Miles, S.; Paddison, R. Introduction: The Rise and Rise of Culture-led Urban Regeneration. Urban Stud. 2005, 42, 833–839. [Google Scholar] [CrossRef]
- Florida, R. The Rise of Creative Class: And How It’s Transforming Work, Leisure, Community and Everday Life; Basic Books: New York, NY, USA, 2002. [Google Scholar]
- Tiesdell, S.; Oc, T.; Heath, T. Revitalizing Historic Urban Quarters; Architectural Press, An imprint of Butterworth-Heinemann: Oxford, UK, 1996. [Google Scholar]
- Hoyle, B. Scale and sustainability: The role of community groups in Canadian port-city waterfront change. J. Transp. Geogr. 1999, 7, 65–78. [Google Scholar] [CrossRef]
- Papatheochari, T.; Coccossis, H. Development of a waterfront regeneration tool to support local decision making in the context of integrated coastal zone management. Ocean. Coast. Manag. 2019, 169, 284–295. [Google Scholar] [CrossRef]
- Hoyle, B. A rediscovered resource: Comparative Canadian perceptions of waterfront redevelopment. J. Transp. Geogr. 1994, 2, 19–29. [Google Scholar] [CrossRef]
- Puyana Romero, V.; Maffei, L.; Brambilla, G.; Ciaburro, G. Modelling the soundscape quality of urban waterfronts by artificial neural networks. Appl. Acoust. 2016, 111, 121–128. [Google Scholar] [CrossRef]
- Hoyle, B. Global and Local Change on the Port-City Waterfront. Geogr. Rev. 2000, 90, 395–417. [Google Scholar] [CrossRef]
- Carta, M. Waterfronts between Sicily and Malta: An integrated and creative planning approach. PortusPlus 2012, 3, 1–9. [Google Scholar]
- Jones, A. Regenerating Urban Waterfronts—Creating Better Futures—From Commercial and Leisure Market Places to Cultural Quarters and Innovation Districts. Plan. Pract. Res. 2017, 32, 333–344. [Google Scholar] [CrossRef]
- Sepe, M. Creative Urban Regeneration between Innovation, Identity and Sustainability. Int. J. Sustain. Dev. 2009, 12, 144–159. [Google Scholar] [CrossRef]
- Wrenn, D.M.; Casazza, J.A.; Smart, J.E. Urban Waterfront Development; Urban Land Institute: Washington, DC, USA, 1983. [Google Scholar]
- Marshall, R. Waterfronts in Post-Industrial Cities; Spon Press: London, UK, 2001. [Google Scholar]
- Meiner, A. Integrated maritime policy for the European Union—Consolidating coastal and marine information to support maritime spatial planning. J. Coast. Conserv. 2010, 14, 1–11. [Google Scholar] [CrossRef]
- Armenio, E.; Mossa, M. On the Need for an Integrated Large-Scale Methodology of Coastal Management: A Methodological Proposal. J. Mar. Sci. Eng. 2020, 8, 385. [Google Scholar] [CrossRef]
- Angradi, T.R.; Launspach, J.J.; Wick, M.J. Human well-being and natural capital indicators for Great Lakes waterfront revitalization. J. Great Lakes Res. 2022, 48, 1104–1120. [Google Scholar] [CrossRef]
- Parkinson, M. The Thatcher Government’s Urban Policy, 1979–1989: A Review; Liverpool University Press: Liverpool, UK, 1989. [Google Scholar]
- Vallega, A. Urban waterfront facing integrated coastal management. Ocean. Coast. Manag. 2001, 44, 379–410. [Google Scholar] [CrossRef]
- Desfor, G. Transforming Urban Waterfronts: Fixity and Flow; Routledge: New York, NY, USA, 2011. [Google Scholar]
- Falk, N. On the waterfront: The role of planners and consultants in waterside regeneration. Planner 1989, 11–15. [Google Scholar]
- Norcliffe, G.; Bassett, K.; Hoare, T. The emergence of postmodernism on the urban waterfront: Geographical perspectives on changing relationships. J. Transp. Geogr. 1996, 4, 123–134. [Google Scholar] [CrossRef]
- Couch, C. City of Change and Challenge; Routledge: London, UK, 2003. [Google Scholar]
- Meyer, H. City and Port: Transformation of Port Cities: London, Barcelona, New York and Rotterdam; Routledge: London, UK, 2000. [Google Scholar]
- Avni, N.; Teschner, N. Urban Waterfronts: Contemporary Streams of Planning Conflicts. J. Plan. Lit. 2019, 34, 408–420. [Google Scholar] [CrossRef]
- Patton, C.V.; Witzling, L.P. Urban design as public policy: Integrating planning, design, programming and fundraising. In Proceedings of the 5th International Conference on Making Cities Livable, Venice, Italy, 6 July 1989. [Google Scholar]
- Ley, D. Liberal Ideology and the Postindustrial City. Ann. Assoc. Am. Geogr. 1980, 70, 238–258. [Google Scholar] [CrossRef]
- Brownill, S. Developing London’s Docklands; Paul Chapman Publishing: London, UK, 1990. [Google Scholar]
- Pryke, M.; Lee, R. Place your bets: Towards an understanding of globalisation, socio-financial engineering and competition within a financial centre. Urban Stud. 1995, 32, 329–344. [Google Scholar] [CrossRef]
- Shaw, B. History at the water’s edge. In Waterfronts in Post-Industrial Cities; Marshall, R., Ed.; Spon Press: London, UK, 2001; pp. 160–172. [Google Scholar]
- Begg, I. Urban Competitiveness: Policies for Dynamic Cities; Policy Press: Bristol, UK, 2002. [Google Scholar]
- Kavaratzis, M.; Ashworth, G.J. City branding: An effective assertion of identity or a transitory marketing trick? Tijdschr. Voor Econ. En Soc. Geogr. 2005, 96, 506–514. [Google Scholar] [CrossRef]
- Biddulph, M. Urban design, regeneration and the entrepreneurial city. Prog. Plan. 2011, 76, 63–103. [Google Scholar] [CrossRef]
- Tallon, A. Urban Regeneration in the UK; Routledge: London, UK, 2013. [Google Scholar]
- Hartig, J.H.; Krantzberg, G.; Alsip, P. Thirty-five years of restoring Great Lakes Areas of Concern: Gradual progress, hopeful future. J. Great Lakes Res. 2020, 46, 429–442. [Google Scholar] [CrossRef]
- Ravagnan, C.; Rossi, F.; Amiriaref, M. Sustainable Mobility and Resilient Urban Spaces in the United Kingdom. Practices and Proposals. Transp. Res. Procedia 2022, 60, 164–171. [Google Scholar] [CrossRef]
- Castells, M. The Informational City. Information TechnDlogy, Economic Restructuring, and the Urban-Regional Process; Basil Blackwell: Oxford, UK, 1989. [Google Scholar]
- Krugman, P. The Self-Organizing Economy; Blackwell Publishers Ltd.: Oxford, UK, 1996. [Google Scholar]
- Begg, I. Cities and Competitiveness. Urban Stud. 1999, 36, 795–809. [Google Scholar] [CrossRef]
- Sorensen, J. The international proliferation of integrated coastal zone management efforts. Ocean. Coast. Manag. 1993, 21, 45–80. [Google Scholar] [CrossRef]
- Carley, M.; Garcia Ferrari, S.; Thiam, S.; Smith, H. The Cool Sea: Waterfront Communities Project Toolkit; The Waterfront Communities Project; Edinburg Press: Edinburgh, UK, 2007. [Google Scholar]
- Creel, L. Ripple Effects: Population and Coastal Regions; Population Reference Bureau: Washington, DC, USA, 2003. [Google Scholar]
- Agardy, T.; Alder, J. Coastal Systems. In Ecosystems and Human Well-Being: Current State and Trends; Dayton, P., Curran, S., Kitchingman, A., Wilson, M., Catenazzi, A., Restrepo, J., Birkeland, C., Blaber, S.J.M., Saifullah, S., Branch, G.M., et al., Eds.; Island Press: Washington, DC, USA, 2010; pp. 513–550. [Google Scholar]
- Sano, E.E.; Rosa, R.; Brito, J.L.S.; Ferreira, L.G. Land cover mapping of the tropical savanna region in Brazil. Environ. Monit. Assess. 2010, 166, 113–124. [Google Scholar] [CrossRef]
- Le, T.D.N. Climate change adaptation in coastal cities of developing countries: Characterizing types of vulnerability and adaptation options. Mitig. Adapt. Strateg. Glob. Chang. 2020, 25, 739–761. [Google Scholar] [CrossRef]
- Guvenbas, G.; Polay, M. Post-occupancy evaluation: A diagnostic tool to establish and sustain inclusive access in Kyrenia Town Centre. Indoor Built Environ. 2020, 30, 1620–1642. [Google Scholar] [CrossRef]
- Kyrenia Municipality Council. Kyrenia Region, Regional Strategic Development Plan 2019–2021; Kyrenia Municipality Council: Kyrenia, Cyprus, 2018. [Google Scholar]
- Fasli, M.; Pakdel, F. Assessing Laguna District’s Spatial Qualities in Gazimagusa, Northern Cyprus. Open House Int. 2010, 35, 74–82. [Google Scholar] [CrossRef]
- Sposito, V.A.; Hand, M.L.; Skarpness, B. On the efficiency of using the sample kurtosis in selecting optimal lpestimators. Commun. Stat.-Simul. Comput. 1983, 12, 256–272. [Google Scholar] [CrossRef]
- Goodall, B.; Pottinger, G. Inclusive Access, Sustainability and the Built Environment; CEM Occasional Paper Series; The College of Estate Management: Reading, UK, 2010; Available online: www.ucem.ac.uk/wp-content/uploads/2016/01/inclusive-access.pdf (accessed on 20 June 2022).
Publisher’s Note: MDPI stays neutral with regard to jurisdictional claims in published maps and institutional affiliations. |
© 2022 by the authors. Licensee MDPI, Basel, Switzerland. This article is an open access article distributed under the terms and conditions of the Creative Commons Attribution (CC BY) license (https://creativecommons.org/licenses/by/4.0/).










