Biomass-Based Oxygen Reduction Reaction Catalysts from the Perspective of Ecological Aesthetics—Duckweed Has More Advantages than Soybean
Abstract
1. Introduction
2. Materials and Methods
2.1. Synthesis of Moldy Soybean Carbons (MSCs)
2.2. Synthesis of Duckweed Carbons (DWCs)
2.3. Physical Characterization
2.4. Electrochemical Measurements
2.5. H2/O2 Fuel Cell Characterization
3. Results and Discussion
3.1. Structure and ORR Performances of the MSCs
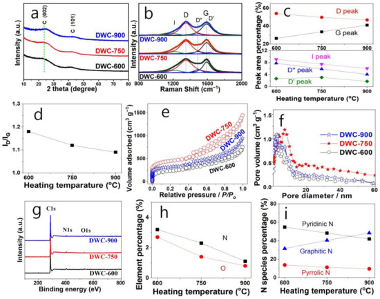
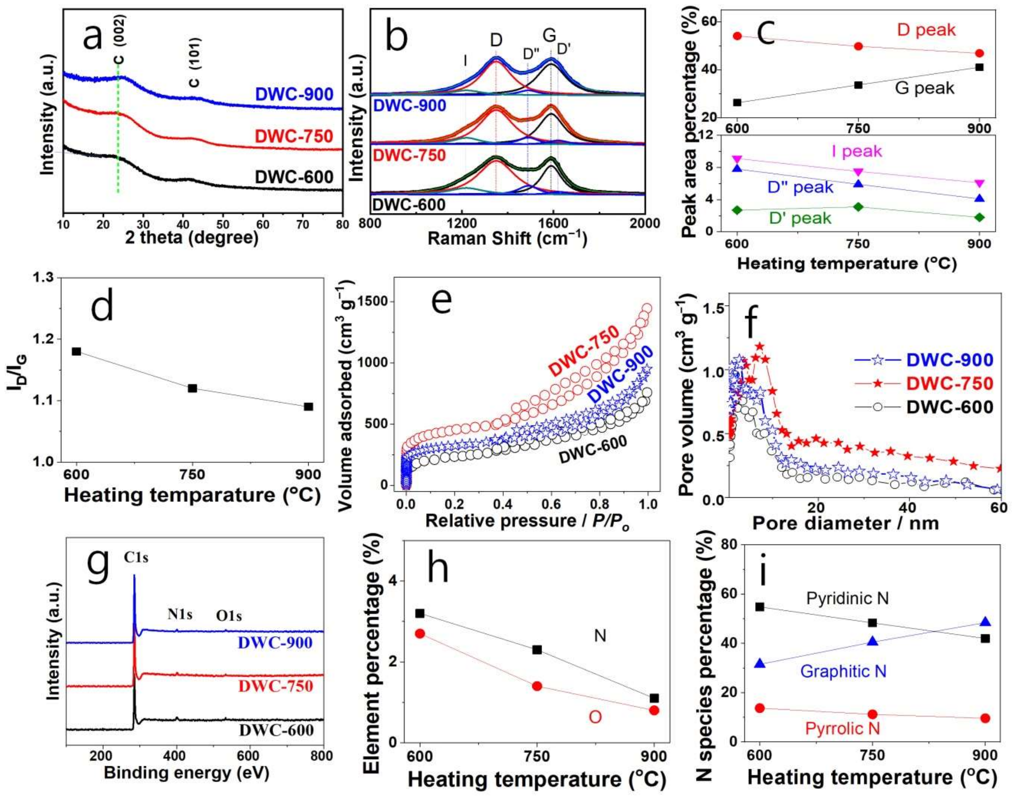
3.2. Structure and ORR Performances of the DWCs
3.3. H2/O2 Fuel Cell Performances with MSC-36 h and DWC-750 as Cathodes
3.4. Comparison of Soybean and Duckweed as Catalyst Sources from the Perspective of Ecological Aesthetics
4. Conclusions
Supplementary Materials
Author Contributions
Funding
Institutional Review Board Statement
Informed Consent Statement
Data Availability Statement
Acknowledgments
Conflicts of Interest
References
- Vlachokostas, C. Closing the Loop between Energy Production and Waste Management: A Conceptual Approach Towards Sustainable Development. Sustainability 2020, 12, 5995. [Google Scholar] [CrossRef]
- Turrén-Cruz, T.; García-Rodríguez, J.A.; Peimbert-García, R.E.; Zavala, M.L. An Approach Incorporating User Preferences in the Design of Sanitation Systems and Its Application in the Rural Communities of Chiapas, Mexico. Sustainability 2020, 12, 1024. [Google Scholar] [CrossRef]
- Yao, Y.; Wang, L.; Zhu, X.; Tu, W.; Zhou, Y.; Liu, R.; Sun, J.; Tao, B.; Wang, C.; Yu, X.; et al. Extraterrestrial Photosynthesis by Chang’E-5 Lunar Soil. Joule 2022, 6, 1008–1014. [Google Scholar] [CrossRef]
- Wang, Z.; Zhao, L.; Mao, G.; Wu, B. Eco-Efficiency Trends and Decoupling Analysis of Environmental Pressures in Tianjin, China. Sustainability 2015, 7, 15407–15422. [Google Scholar] [CrossRef]
- Yan, Z.; Zhang, Y.; Dai, C.; Zhang, Z.; Zhang, M.; Wei, W.; Lv, X.; Zhao, X. Porous, Thick Nitrogen-Doped Carbon Encapsulated Large PtNi Core-Shell Nanoparticles for Oxygen Reduction Reaction with Extreme Stability and Activity. Carbon 2021, 186, 36–45. [Google Scholar] [CrossRef]
- Ahn, C.-Y.; Park, J.E.; Kim, S.; Kim, O.-H.; Hwang, W.; Her, M.; Kang, S.Y.; Park, S.; Kwon, O.J.; Park, H.S.; et al. Differences in the Electrochemical Performance of Pt-Based Catalysts Used for Polymer Electrolyte Membrane Fuel Cells in Liquid Half- and Full-Cells. Chem. Rev. 2021, 121, 15075–15140. [Google Scholar] [CrossRef]
- Lu, Z.; Chen, J.; Wang, W.; Li, W.; Sun, M.; Wang, Y.; Wang, X.; Ye, J.; Rao, H. Electrocatalytic, Kinetic, and Mechanism Insights into the Oxygen-Reduction Catalyzed Based on the Biomass-Derived FeOx@N-Doped Porous Carbon Composites. Small 2021, 17, 2007326. [Google Scholar] [CrossRef]
- Jiang, M.; Fu, C.; Cheng, R.; Liu, T.; Guo, M.; Meng, P.; Zhang, J.; Sun, B. Interface Engineering of Co3Fe7-Fe3C Heterostructure as an Efficient Oxygen Reduction Reaction Electrocatalyst for Aluminum-Air Batteries. Chem. Eng. J. 2020, 404, 127124. [Google Scholar] [CrossRef]
- Wang, X.; Fang, J.; Liu, X.; Zhang, X.; Lv, Q.; Xu, Z.; Zhang, X.; Zhu, W.; Zhuang, Z. Converting Biomass into Efficient Oxygen Reduction Reaction Catalysts for Proton Exchange Membrane Fuel Cells. Sci. China Mater. 2019, 63, 524–532. [Google Scholar] [CrossRef]
- Wang, F.; Li, Q.; Xiao, Z.; Jiang, B.; Ren, J.; Jin, Z.; Tang, X.; Chen, Y.; Li, X. Conversion of Rice Husk Biomass into Electrocatalyst for Oxygen Reduction Reaction in Zn-Air Battery: Effect of Self-Doped Si on Performance. J. Colloid Interface Sci. 2021, 606, 1014–1023. [Google Scholar] [CrossRef]
- Huggins, T.M.; Latorre, A.; Biffinger, J.C.; Ren, Z.J. Biochar Based Microbial Fuel Cell for Enhanced Wastewater Treatment and Nutrient Recovery. Sustainability 2016, 8, 169. [Google Scholar] [CrossRef]
- Yan, Z.; Kesse, I.; Dai, C.; Gao, Z.; Wei, W.; Xie, J.; Xie, B. Interrelations Between Sulfur, Iron, Nitrogen, Pore and Graphite Matrix for Oxygen Reduction Reaction. Int. J. Hydrogen Energy 2020, 45, 11321–11329. [Google Scholar] [CrossRef]
- Zhang, Z.; Gao, Z.; Yan, Z.; Dai, C.; Kesse, I.; Zhao, X.; Xie, J. Porous Carbonized Egg White as Efficient Electrocatalyst for Oxygen Reduction Reaction. Int. J. Hydrogen Energy 2021, 46, 21112–21123. [Google Scholar] [CrossRef]
- Wu, J.; Yang, R.; Yan, W. Phosphorus-Doped Hierarchical Porous Carbon as Efficient Metal-Free Electrocatalysts for Oxygen Reduction Reaction. Int. J. Hydrogen Energy 2019, 44, 12941–12951. [Google Scholar] [CrossRef]
- Suija, A.; Liira, J. Community Response to Alkaline Pollution as an Adjusting Re-Assembly Between Alternative Stable States. J. Veg. Sci. 2017, 28, 527–537. [Google Scholar] [CrossRef]
- Plavniece, A.; Volperts, A.; Dobele, G.; Zhurinsh, A.; Kaare, K.; Kruusenberg, I.; Kaprans, K.; Knoks, A.; Kleperis, J. Wood and Black Liquor-Based N-Doped Activated Carbon for Energy Application. Sustainability 2021, 13, 9237. [Google Scholar] [CrossRef]
- Han, H.; Wang, X.; Zhang, X. A Hierarchically Ordered Porous Fe, N, S Tri-Doped Carbon Electrocatalyst with Densely Accessible Fe-N Active Sites and Uniform Sulfur-Doping for Efficient Oxygen Reduction Reaction. J. Colloid Interface Sci. 2022, 615, 617–626. [Google Scholar] [CrossRef]
- Duraisamy, V.; Kumar, S.M.S. N and P Dual Heteroatom Doped Mesoporous Hollow Carbon as an Efficient Oxygen Reduction Reaction Catalyst in Alkaline electrolyte. Int. J. Hydrogen Energy 2022, 47, 17992–18006. [Google Scholar] [CrossRef]
- Yan, Z.; Zhang, Y.; Jiang, Z.; Jiang, D.; Wei, W.; Hu, Z. Nitrogen-Doped Bimetallic Carbide-Graphite Composite as Highly Active and Extremely Stable Electrocatalyst for Oxygen Reduction Reaction in Alkaline Media. Adv. Funct. Mater. 2022, 2204031. [Google Scholar] [CrossRef]
- Chang, F.; Su, P.; Guharoy, U.; Ye, R.; Ma, Y.; Zheng, H.; Jia, Y.; Liu, J. Edge-Enriched N, S co-Doped Hierarchical Porous Carbon for Oxygen Reduction Reaction. Chin. Chem. Lett. 2022. [Google Scholar] [CrossRef]
- Chen, Y.; Shi, L.; Guo, S.; Yuan, Q.; Chen, X.; Zhou, J.; Song, H. A General Strategy Towards Carbon Nanosheets from Triblock Polymers as High-Rate anode Materials for Lithium and Sodium Ion Batteries. J. Mater. Chem. A 2017, 5, 19866–19874. [Google Scholar] [CrossRef]
- Wu, J.; Xia, M.; Zhang, X.; Chen, Y.; Sun, F.; Wang, X.; Yang, H.; Chen, H. Hierarchical Porous Carbon Derived from Wood Tar Using Crab as the Template: Performance on Supercapacitor. J. Power Sources 2020, 455, 227982. [Google Scholar] [CrossRef]
- Yan, Z.; Gao, Z.; Zhang, Z.; Dai, C.; Wei, W.; Shen, P.K. Graphene Nanosphere as Advanced Electrode Material to Promote High Performance Symmetrical Supercapacitor. Small 2021, 17, 2007915. [Google Scholar] [CrossRef]
- Niu, J.; Shao, R.; Liang, J.; Dou, M.; Li, Z.; Huang, Y.; Wang, F. Biomass-Derived Mesopore-Dominant Porous Carbons with Large Specific Surface Area and High Defect Density as High Performance Electrode Materials for Li-Ion Batteries and Supercapacitors. Nano Energy 2017, 36, 322–330. [Google Scholar] [CrossRef]
- Wu, L.; Cai, Y.; Wang, S.; Li, Z. Doping of Nitrogen into Biomass-Derived Porous Carbon with Large Surface Area Using N2 Non-Thermal Plasma Technique for High-Performance Supercapacitor. Int. J. Hydrogen Energy 2020, 46, 2432–2444. [Google Scholar] [CrossRef]
- Li, J.; Zhang, W.; Zhang, X.; Huo, L.; Liang, J.; Wu, L.; Liu, Y.; Gao, J.; Pang, H.; Xue, H. Copolymer Derived Micro/Meso-Porous Carbon Nanofibers with Vacancy-Type Defects for High-Performance Supercapacitors. J. Mater. Chem. A 2020, 8, 2463–2471. [Google Scholar] [CrossRef]
- Baitinger, E.M.; Vekesser, N.A.; Kovalev, I.N.; Ryabkov, Y.; Viktorov, V.V. Defect Structure of Multiwalled Carbon Nanotubes Studied by Raman Spectroscopy. Inorg. Mater. 2011, 47, 471–474. [Google Scholar] [CrossRef]
- Chen, L.; Li, Z.; Chen, Z.; Yang, L.; Zhou, M.; He, B.; Jing, M.; Hou, Z. Three-Dimensional Nitrogen-Doped Carbon Nanotubes/Carbon Nanofragments Complexes for Efficient Metal-Free Electrocatalyst Towards Oxygen Reduction Reaction. Int. J. Hydrogen Energy 2018, 43, 6158–6166. [Google Scholar] [CrossRef]
- Zhao, Y.; Ran, W.; He, J.; Song, Y.; Zhang, C.; Xiong, D.-B.; Gao, F.; Wu, J.; Xia, Y. Oxygen-Rich Hierarchical Porous Carbon Derived from Artemia Cyst Shells with Superior Electrochemical Performance. ACS Appl. Mater. Interfaces 2014, 7, 1132–1139. [Google Scholar] [CrossRef]
- Yan, Z.; Dai, C.; Lv, X.; Zhang, M.; Zhao, X.; Xie, J. Iron Promoted Nitrogen Doped Porous Graphite for Efficient Oxygen Reduction Reaction in Alkaline and Acidic Media. J. Alloy. Compd. 2018, 773, 819–827. [Google Scholar] [CrossRef]
- Sun, J.; Hu, C.; Liu, Z.; Liu, H.; Qu, J. Surface Charge and Hydrophilicity Improvement of Graphene Membranes Via Modification of Pore Surface Oxygen-Containing Groups to Enhance Permeability and Selectivity. Carbon 2018, 145, 140–148. [Google Scholar] [CrossRef]
- Feng, H.; Hu, H.; Dong, H.; Xiao, Y.; Cai, Y.; Lei, B.; Liu, Y.; Zheng, M. Hierarchical Structured Carbon Derived from Bagasse Wastes: A Simple and Efficient Synthesis Route and Its Improved Electrochemical Properties for High-Performance Supercapacitors. J. Power Sources 2016, 302, 164–173. [Google Scholar] [CrossRef]
- Augustyn, V.; Simon, P.; Dunn, B. Pseudocapacitive Oxide Materials for High-Rate Electrochemical Energy Storage. Energy Environ. Sci. 2014, 7, 1597–1614. [Google Scholar] [CrossRef]
- Chen, H.; Zou, Q.; Liang, Z.; Liu, H.; Li, Q.; Lu, Y.-C.; Chen, H.; Zou, Q.; Liang, Z.; Liu, H.; et al. Sulphur-Impregnated Flow Cathode to Enable High-Energy-Density Lithium Flow Batteries. Nat. Commun. 2015, 6, 5877. [Google Scholar] [CrossRef]
- Bu, Y.; Sun, T.; Cai, Y.; Du, L.; Zhuo, O.; Yang, L.; Wu, Q.; Wang, X.; Hu, Z. Compressing Carbon Nanocages by Capillarity for Optimizing Porous Structures toward Ultrahigh-Volumetric-Performance Supercapacitors. Adv. Mater. 2017, 29, 1700470. [Google Scholar] [CrossRef]
- Yu, X.; Ye, S. Recent Advances in Activity and Durability Enhancement of Pt/C Catalytic Cathode in PEMFC: Part II: Degradation Mechanism and Durability Enhancement of Carbon Supported Platinum Catalyst. J. Power Sources 2007, 172, 145–154. [Google Scholar] [CrossRef]
- Wu, D.; Cheng, J.; Wang, T.; Liu, P.; Yang, L.; Jia, D. A Novel Porous N- and S-Self-Doped Carbon Derived from Chinese Rice Wine Lees as High-Performance Electrode Materials in a Supercapacitor. ACS Sustain. Chem. Eng. 2019, 7, 12138–12147. [Google Scholar] [CrossRef]
- Hao, M.; Dun, R.; Su, Y.; He, L.; Ning, F.; Zhou, X.; Li, W. In situ self-doped biomass-derived porous carbon as an excellent oxygen reduction electrocatalyst for fuel cells and metal-air batteries. J. Mater. Chem. A 2021, 9, 14331–14343. [Google Scholar] [CrossRef]
- Chen, P.; Zang, J.; Zhou, S.; Jia, S.; Tian, P.; Cai, H.; Gao, H.; Wang, Y. N-doped 3D porous carbon catalyst derived from biowaste Triarrhena sacchariflora panicle for oxygen reduction reaction. Carbon 2019, 146, 70–77. [Google Scholar] [CrossRef]
- Hao, Y.; Zhang, X.; Yang, Q.; Chen, K.; Guo, J.; Zhou, D.; Feng, L.; Slanina, Z. Highly porous defective carbons derived from seaweed biomass as efficient electrocatalysts for oxygen reduction in both alkaline and acidic media. Carbon 2018, 137, 93–103. [Google Scholar] [CrossRef]
- Tang, J.; Wang, Y.; Zhao, W.; Zeng, R.J.; Liu, T.; Zhou, S. Biomass-derived hierarchical honeycomb-like porous carbon tube catalyst for the metal-free oxygen reduction reaction. J. Electroanal. Chem. 2019, 847, 113230. [Google Scholar] [CrossRef]
- Li, R.; Zheng, F.-Y.; Zhang, X.; Hu, J.; Xu, C.; Zhang, Y. Phosphorus and iron doped nitrogen-containing carbon derived from biomass for oxygen reduction under various pH conditions. Int. J. Hydrogen Energy 2020, 45, 28651–28663. [Google Scholar] [CrossRef]
- Lei, X.; Wang, M.; Lai, Y.; Hu, L.; Wang, H.; Fang, Z.; Li, J.; Fang, J. Nitrogen-doped micropore-dominant carbon derived from waste pine cone as a promising metal-free electrocatalyst for aqueous zinc/air batteries. J. Power Sources 2017, 365, 76–82. [Google Scholar] [CrossRef]
- Lei, Y.; Yang, F.; Xie, H.; Lei, Y.; Liu, X.; Si, Y.; Wang, H. Biomass in situ conversion to Fe single atomic sites coupled with Fe(2)O(3)clusters embedded in porous carbons for the oxygen reduction reaction. J. Mater. Chem. A 2020, 8, 20629–20636. [Google Scholar] [CrossRef]
- Das, S.K.; Kesh, A.; Akula, S.; Sahu, A.K. N-, F-, and Fe-Doped Mesoporous Carbon Derived from Corncob Waste and Creating Oxygen Reduction Reaction Active Centers with a Maximum Charge Density of >= 0.25 for a Polymer Electrolyte Fuel Cell Catalyst. Energy Fuels 2022, 36, 2108–2122. [Google Scholar] [CrossRef]
- Zhang, C.; Shu, J.; Shi, S.; Nie, J.; Ma, G. Hemp derived N-doped highly porous carbon containing Co nanoparticles as electrocatalyst for oxygen reduction reaction. J. Colloid Interface Sci. 2019, 559, 21–28. [Google Scholar] [CrossRef]
- Xu, Y.; Zhang, H.; Zhang, P.; Lu, M.; Xie, X.; Huang, L. In situ exsolved Co components on wood ear-derived porous carbon for catalyzing oxygen reduction over a wide pH range. J. Mater. Chem. A 2021, 9, 10695–10703. [Google Scholar] [CrossRef]
- Yang, C.; Bai, P.; Liu, W.; Wei, S.; Zhang, W.; Xu, L. Optimization of pH-universal O-2 reduction electrocatalysis by precise control over structural variables via basic bathing. Appl. Catal. B 2022, 303, 120912. [Google Scholar] [CrossRef]
- Yan, W.; Wu, Y.; Chen, Y.; Liu, Q.; Wang, K.; Cao, N.; Dai, F.; Li, X.; Jiang, J. Facile preparation of N-doped corncob-derived carbon nanofiber efficiently encapsulating Fe2O3 nanocrystals towards high ORR electrocatalytic activity. J. Energy Chem. 2019, 44, 121–130. [Google Scholar] [CrossRef]
- Wang, X.; Du, J.; Zhang, Q.; Gu, L.; Cao, L.; Liang, H.-P. In situ synthesis of sustainable highly efficient single iron atoms anchored on nitrogen doped carbon derived from renewable biomass. Carbon 2019, 157, 614–621. [Google Scholar] [CrossRef]
- Yan, Z.; Dai, C.; Zhang, M.; Lv, X.; Zhao, X.; Xie, J. Nitrogen doped porous carbon with iron promotion for oxygen reduction reaction in alkaline and acidic media. Int. J. Hydrogen Energy 2019, 44, 4090–4101. [Google Scholar] [CrossRef]
- Yang, S.T.; Mao, X.X.; Cao, Z.X.; Yin, Y.H.; Wang, Z.C.; Shi, M.J.; Dong, H. Onion-derived N, S self-doped carbon materials as highly efficient metal-free electrocatalysts for the oxygen reduction reaction. Appl. Surf. Sci. 2018, 427, 626–634. [Google Scholar] [CrossRef]
- Kanagavalli, P.; Pandey, G.R.; Bhat, V.S.; Veerapandian, M.; Hegde, G. Nitrogenated-carbon nanoelectrocatalyst advertently processed from bio-waste of Allium sativum for oxygen reduction reaction. J. Nanostruct. Chem. 2021, 11, 343–352. [Google Scholar] [CrossRef]
- Pi, L.; Jiang, R.; Cai, W.; Wang, L.; Wang, Y.; Cai, J.; Mao, X. Bionic Preparation of CeO2-Encapsulated Nitrogen Self-Doped Biochars for Highly Efficient Oxygen Reduction. ACS Appl. Mater. Interfaces 2020, 12, 3642–3653. [Google Scholar] [CrossRef]
- Jiang, R.; Chen, X.; Deng, J.; Wang, T.; Wang, K.; Chen, Y.; Jiang, J. In-situ growth of ZnS/FeS heterojunctions on biomass-derived porous carbon for efficient oxygen reduction reaction. J. Energy Chem. 2020, 47, 79–85. [Google Scholar] [CrossRef]
- Yu, L.; Yang, C.; Zhang, W.; Liu, W.; Wang, H.; Qi, J.; Xu, L. Solvent-free synthesis of N-doped nanoporous carbon materials as durable high-performance pH-universal ORR catalysts. J. Colloid Interface Sci. 2020, 575, 406–415. [Google Scholar] [CrossRef]
- Hao, X.; Chen, W.; Jiang, Z.; Tian, X.; Hao, X.; Maiyalagan, T.; Jiang, Z.J. Conversion of maize straw into nitrogen-doped porous graphitized carbon with ultra-high surface area as excellent oxygen reduction electrocatalyst for flexible zinc-air batteries. Electrochim. Acta 2020, 362, 137143. [Google Scholar] [CrossRef]
- Pérez-Rodríguez, S.; Sebastián, D.; Alegre, C.; Tsoncheva, T.; Petrov, N.; Paneva, D.; Lázaro, M.J. Biomass waste-derived nitrogen and iron co-doped nanoporous carbons as electrocatalysts for the oxygen reduction reaction. Electrochim. Acta 2021, 387, 138490. [Google Scholar] [CrossRef]
- Xiao, X.; Hu, X.; Liang, Y.; Zhang, G.; Wang, X.; Yan, Y.; Li, X.; Yan, G.; Wang, J. Anchoring NiCo2O4 nanowhiskers in biomass-derived porous carbon as superior oxygen electrocatalyst for rechargeable Zn-air battery. J. Power Sources 2020, 476, 228684. [Google Scholar] [CrossRef]
- Luo, X.; Liu, Z.; Ma, Y.; Nan, Y.; Gu, Y.; Li, S.; Zhou, Q.; Mo, J. Biomass derived Fe,N-doped carbon material as bifunctional electrocatalysts for rechargeable Zn-air batteries. J. Alloys Compd. 2021, 888, 161464. [Google Scholar] [CrossRef]
- Liu, Y.; Sun, K.; Cui, X.; Li, B.; Jiang, J. Defect-Rich, Graphenelike Carbon Sheets Derived from Biomass as Efficient Electrocatalysts for Rechargeable Zinc-Air Batteries. ACS Sustain. Chem. Eng. 2020, 8, 2981–2989. [Google Scholar] [CrossRef]
- Charles, V.; Zhang, X.; Yuan, M.; Zhang, K.; Cui, K.; Zhang, J.; Zhao, T.; Li, Y.; Liu, Z.; Li, B.; et al. CoNi nano-alloy anchored on biomass-derived N-doped carbon frameworks for enhanced oxygen reduction and evolution reactions. Electrochim. Acta 2021, 402, 139555. [Google Scholar] [CrossRef]
- Wang, Y.; Hao, J.; Yu, J.; Yu, H.; Wang, K.; Yang, X.; Li, J.; Li, W. Hierarchically porous N-doped carbon derived from biomass as oxygen reduction electrocatalyst for high-performance Al-air battery. J. Energy Chem. 2019, 45, 119–125. [Google Scholar] [CrossRef]
- Zago, S.; Bartoli, M.; Muhyuddin, M.; Vanacore, G.M.; Jagdale, P.; Tagliaferro, A.; Santoro, C.; Specchia, S. Engineered biochar derived from pyrolyzed waste tea as a carbon support for Fe-N-C electrocatalysts for the oxygen reduction reaction. Electrochim. Acta 2022, 412, 140128. [Google Scholar] [CrossRef]








| Sample | Stotal (a) (m2 g−1) | Smicro (b) (m2 g−1) | Vtotal (c) (cm3 g−1) | Vmicro (d) (cm3 g−1) | Dpore (e) (nm) |
|---|---|---|---|---|---|
| MSC-72 h | 2102 | 1053 | 3.22 | 0.53 | 7.2 |
| MSC-36 h | 2059 | 1022 | 3.21 | 0.52 | 7.2 |
| MSC-18 h | 1403 | 776 | 1.81 | 0.37 | 5.8 |
| MSC-0 h | 613 | 544 | 0.29 | 0.23 | 1.3 |
| Sample | Stotal (a) (m2 g−1) | Smicro (b) (m2 g−1) | Vtotal (c) (cm3 g−1) | Vmicro (d) (cm3 g−1) | Dpore (e) (nm) |
|---|---|---|---|---|---|
| DWC-750 | 2108 | 1121 | 2.22 | 0.63 | 8.2 |
| DWC-900 | 1037 | 466 | 1.1 | 0.32 | 5.4 |
| DWC-600 | 1496 | 768 | 1.52 | 0.43 | 7.8 |
Publisher’s Note: MDPI stays neutral with regard to jurisdictional claims in published maps and institutional affiliations. |
© 2022 by the authors. Licensee MDPI, Basel, Switzerland. This article is an open access article distributed under the terms and conditions of the Creative Commons Attribution (CC BY) license (https://creativecommons.org/licenses/by/4.0/).
Share and Cite
Zhang, M.; Zhang, Y.; Cui, J.; Zhang, Z.; Yan, Z. Biomass-Based Oxygen Reduction Reaction Catalysts from the Perspective of Ecological Aesthetics—Duckweed Has More Advantages than Soybean. Sustainability 2022, 14, 9087. https://doi.org/10.3390/su14159087
Zhang M, Zhang Y, Cui J, Zhang Z, Yan Z. Biomass-Based Oxygen Reduction Reaction Catalysts from the Perspective of Ecological Aesthetics—Duckweed Has More Advantages than Soybean. Sustainability. 2022; 14(15):9087. https://doi.org/10.3390/su14159087
Chicago/Turabian StyleZhang, Meiping, Yanqi Zhang, Jiajia Cui, Zongyao Zhang, and Zaoxue Yan. 2022. "Biomass-Based Oxygen Reduction Reaction Catalysts from the Perspective of Ecological Aesthetics—Duckweed Has More Advantages than Soybean" Sustainability 14, no. 15: 9087. https://doi.org/10.3390/su14159087
APA StyleZhang, M., Zhang, Y., Cui, J., Zhang, Z., & Yan, Z. (2022). Biomass-Based Oxygen Reduction Reaction Catalysts from the Perspective of Ecological Aesthetics—Duckweed Has More Advantages than Soybean. Sustainability, 14(15), 9087. https://doi.org/10.3390/su14159087
