Estimation of Parameters of Triple Diode Photovoltaic Models Using Hybrid Particle Swarm and Grey Wolf Optimization
Abstract
:1. Introduction
2. Modeling of PV Module
2.1. PV Models
2.1.1. Single Diode Model
2.1.2. Double Diode Model
2.1.3. Triple Diode Model
2.2. Parameters Variation
3. Hybrid Particle Swarm–Grey Wolf Optimization
3.1. Grey Wolf Optimization Algorithm
3.2. Particle Swarm Optimization
3.3. The Applied Hybrid PSOGWO Algorithm
4. Results
5. Discussion
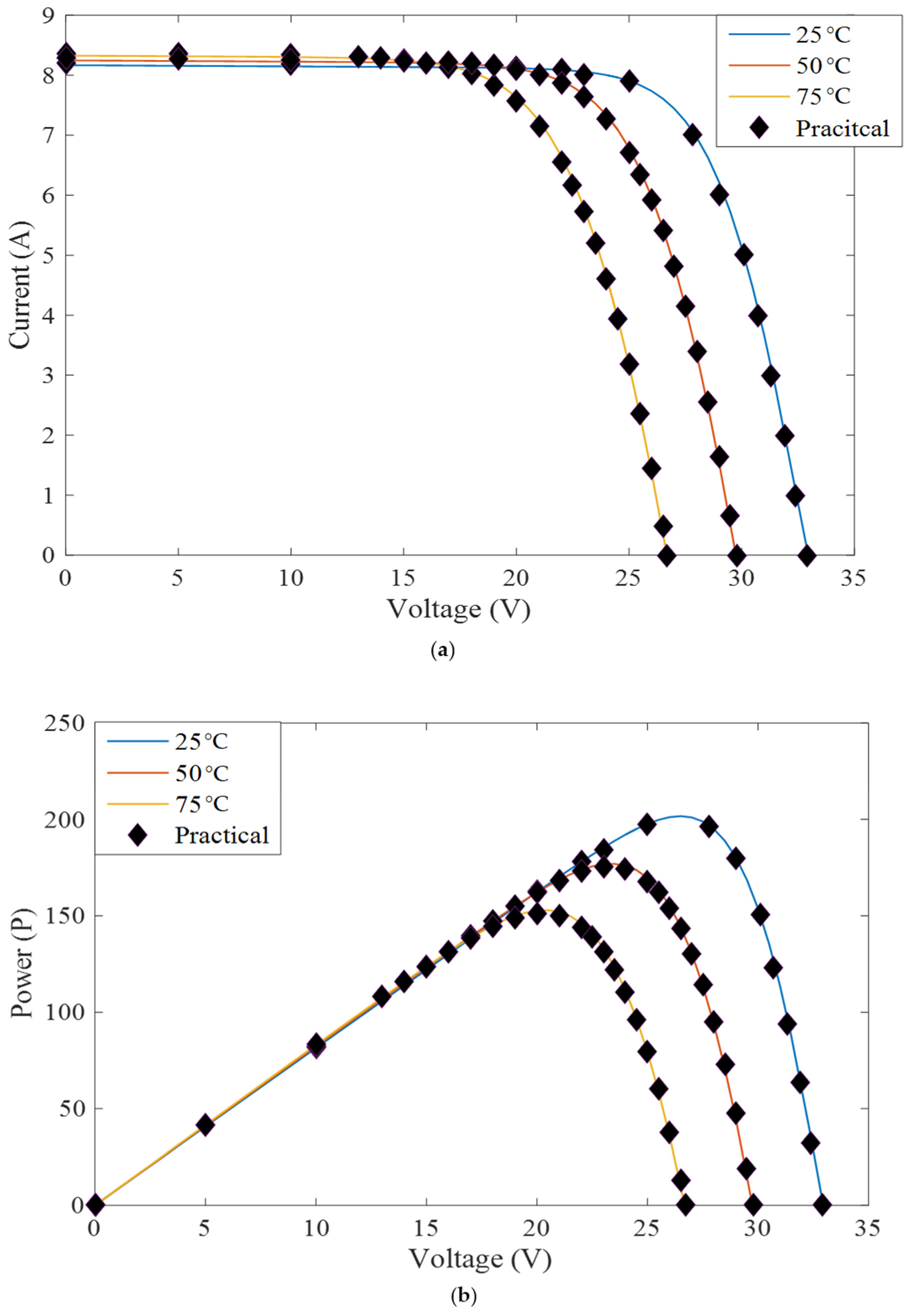
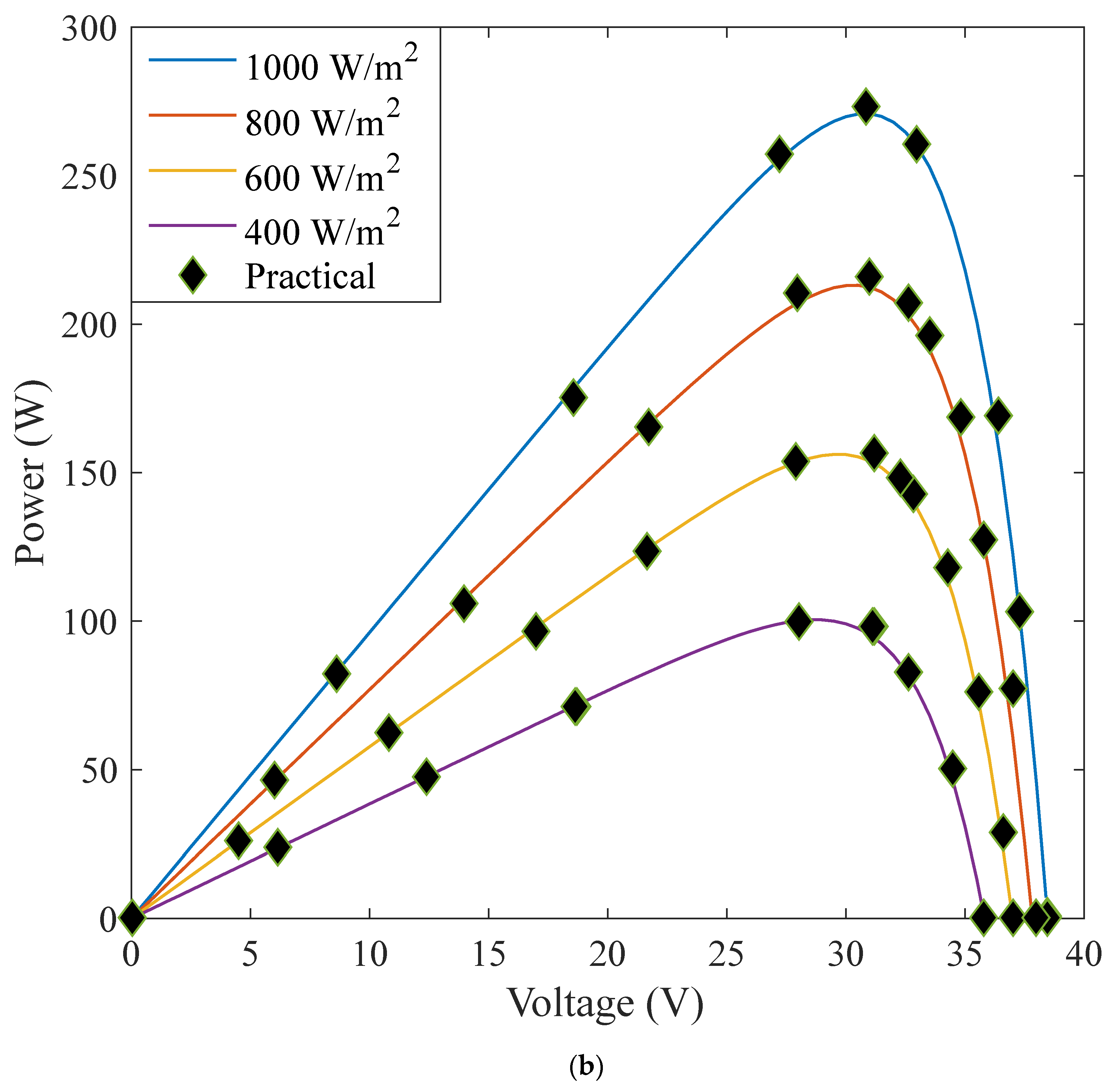
5.1. Kyocera KC200GT
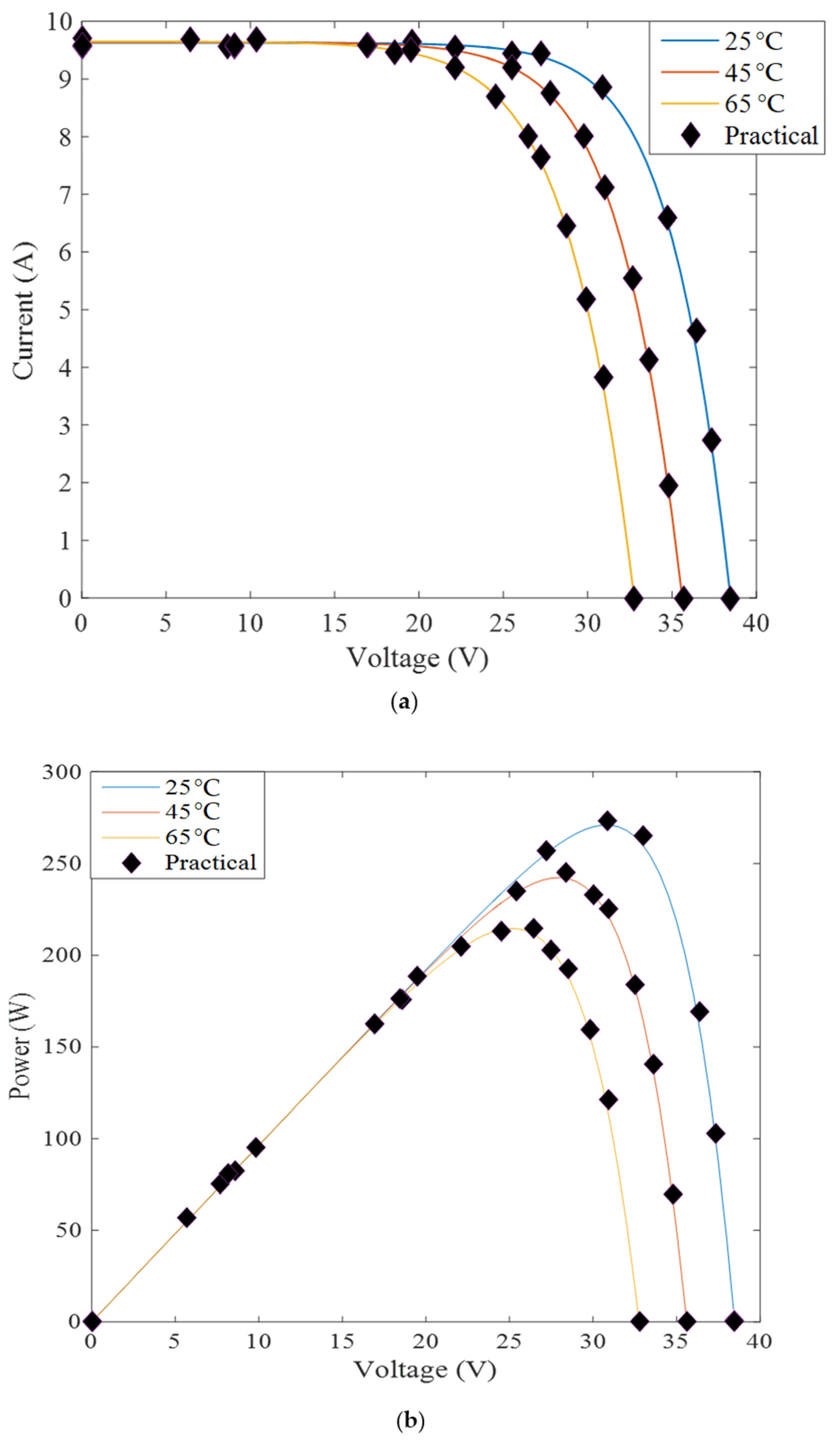
5.2. Canadian Solar Cell CS6K-280M
6. Conclusions
Author Contributions
Funding
Institutional Review Board Statement
Informed Consent Statement
Data Availability Statement
Conflicts of Interest
Nomenclature
| a | Ideality factor of diode |
| Eg | Band gap energy (eV) |
| G | Solar Irradiance(W/m2) |
| Id | Diode Current (A) |
| Im | Maximum output current of PV Array (A) |
| Io | Reverse saturation current of diode (A) |
| Iph | Photo-generated current (A) |
| Isc | Short circuit current of PV module (A) |
| k | Boltzmann constant (1.38065 × 10−23 J/K) |
| Ki | Short-circuit current coefficient |
| Ns | Number of the series-connected cells in the module |
| P | Output power of PV module (W) |
| Pm | Maximum Output power of PV Module (W) |
| q | Electron charge (1.6022 × 10−19 C) |
| Rs | Series resistance (Ω) |
| Rp | Shunt resistance (Ω) |
| T | Cell Temperature (K) |
| Vm | Maximum output voltage of PV Array (V) |
| Voc | Open circuit voltage of PV module (V) |
| Vth | Thermal voltage (V) |
| Abbreviations | |
| PV | Photovoltaic |
| CSP | Concentrated Solar Power |
| SPS | Solar Power Satellite |
| NREA | New and Renewable Energy Agency |
| MPPT | Maximum Power Point Tracking |
| SCR | Space charge region |
| WOA | Whale optimization algorithm |
| SFO | Sunflower optimization algorithm |
| SD | Single Diode |
References
- Data & Statistics. Available online: http://resourceirena.irena.org/gateway/dashboard/?topic=4&subTopic=54 (accessed on 10 July 2022).
- Jones, D. Global Electricity Review 2021. Available online: https://ember-climate.org/project/global-electricity-review-2021 (accessed on 10 December 2021).
- IEA. Global Energy Review 2021—Analysis. Available online: https://www.iea.org/reports/global-energy-review-2021. (accessed on 10 December 2021).
- IEA. Renewables—Global Energy Review 2020—Analysis. Available online: https://www.iea.org/reports/global-energy-review-2020/renewables (accessed on 10 July 2022).
- Wang, S. Current status of PV in China and its future forecast. CSEE J. Power Energy Syst. 2020, 6, 72–82. [Google Scholar]
- Mustafaa, A.; Rashad, A.; Kamel, S.; Nasrat, L.; Jurado, F. Performance Analysis of Small Signal of Benban Solar Park Integrated with Battery ESS Optimized by EMS during Uncertainty Condition. In Proceedings of the 2021 12th International Renewable Energy Congress (IREC), Hammamet, Tunisia, 26–28 October 2021. [Google Scholar]
- Khursheed, M.-U.-N.; Alghamdi, M.A.; Khan, M.F.N.; Khan, A.K.; Khan, I.; Ahmed, A.; Kiani, A.T.; Khan, M.A. PV Model Parameter Estimation Using Modified FPA With Dynamic Switch Probability and Step Size Function. IEEE Access 2021, 9, 42027–42044. [Google Scholar] [CrossRef]
- Enaganti, P.K.; Nambi, S.; Behera, H.K.; Dwivedi, P.K.; Kundu, S.; Imamuddin, M.; Srivastava, A.K.; Goel, S. Performance Analysis of Submerged Polycrystalline Photovoltaic Cell in Varying Water Conditions. IEEE J. Photovolt. 2020, 10, 531–538. [Google Scholar] [CrossRef]
- Elazab, O.S.; Hasanien, H.M.; Alsaidan, I.; Abdelaziz, A.Y.; Muyeen, S.M. Parameter Estimation of Three Diode Photovoltaic Model Using Grasshopper Optimization Algorithm. Energies 2020, 13, 497. [Google Scholar] [CrossRef] [Green Version]
- Hara, S. Parameter Extraction of Single-Diode Model from Module Datasheet Information Using Temperature Coefficients. IEEE J. Photovolt. 2021, 11, 213–218. [Google Scholar] [CrossRef]
- Barbosa, E.J.; Cavalcanti, M.C.; Azevedo, G.M.; Barbosa, E.A.; Bradaschia, F.; Limongi, L.R. Global Hybrid Maximum Power Point Tracking for PV Modules Based on a Double-Diode Model. IEEE Access 2021, 9, 158440–158455. [Google Scholar] [CrossRef]
- Abbassi, A.; Ben Mehrez, R.; Touaiti, B.; Abualigah, L.; Touti, E. Parameterization of photovoltaic solar cell double-diode model based on improved arithmetic optimization algorithm. Optik 2022, 253, 168600. [Google Scholar] [CrossRef]
- Kumar, C.; Mary, D.M. A novel chaotic-driven Tuna Swarm Optimizer with Newton-Raphson method for parameter identification of three-diode equivalent circuit model of solar photovoltaic cells/modules. Optik 2022, 264, 169379. [Google Scholar] [CrossRef]
- Soliman, M.A.; Hasanien, H.M.; Alkuhayli, A. Marine Predators Algorithm for Parameters Identification of Triple-Diode Photovoltaic Models. IEEE Access 2020, 8, 155832–155842. [Google Scholar] [CrossRef]
- Mathew, L.E.; Panchal, A.K. A Complete Numerical Investigation on Implicit and Explicit PV Single-Diode-Models Using I- and V-Approaches. IEEE J. Photovolt. 2021, 11, 827–837. [Google Scholar] [CrossRef]
- Wu, Y.; Chen, R.; Li, C.; Zhang, L.; Cui, Z. Hybrid Symbiotic Differential Evolution Moth-Flame Optimization Algorithm for Estimating Parameters of Photovoltaic Models. IEEE Access 2020, 8, 156328–156346. [Google Scholar] [CrossRef]
- Ismaeel, A.A.K.; Houssein, E.H.; Oliva, D.; Said, M. Gradient-Based Optimizer for Parameter Extraction in Photovoltaic Models. IEEE Access 2021, 9, 13403–13416. [Google Scholar] [CrossRef]
- Elazab, O.S.; Hasanien, H.M.; Elgendy, M.A.; Abdeen, A.M. Parameters estimation of single- and multiple-diode photovoltaic model using whale optimization algorithm. IET Renew. Power Gener. 2018, 12, 1755–1761. [Google Scholar] [CrossRef]
- Ibrahim, I.A.; Hossain, J.; Duck, B.C.; Fell, C.J. An Adaptive Wind-Driven Optimization Algorithm for Extracting the Parameters of a Single-Diode PV Cell Model. IEEE Trans. Sustain. Energy 2019, 11, 1054–1066. [Google Scholar] [CrossRef]
- Li, L.; Xiong, G.; Yuan, X.; Zhang, J.; Chen, J. Parameter Extraction of Photovoltaic Models Using a Dynamic Self-Adaptive and Mutual- Comparison Teaching-Learning-Based Optimization. IEEE Access 2021, 9, 52425–52441. [Google Scholar] [CrossRef]
- Ramadan, A.; Kamel, S.; Hussein, M.M.; Hassan, M.H. A New Application of Chaos Game Optimization Algorithm for Parameters Extraction of Three Diode Photovoltaic Model. IEEE Access 2021, 9, 51582–51594. [Google Scholar] [CrossRef]
- Kumar, M.; Shiva Krishna Rao, K.D.V. Modelling and Parameter Estimation of Solar Cell Using Genetic Algorithm. In Proceedings of the 2019 International Conference on Intelligent Computing and Control Systems (ICCS), Madurai, India, 15–17 May 2019. [Google Scholar]
- Qin, H.; Kimball, J.W. Parameter Determination of Photovoltaic Cells from Field Testing Data Using Particle Swarm Optimization. In Proceedings of the 2011 IEEE Power and Energy Conference at Illinois, Urbana, IL, USA, 25–26 February 2011. [Google Scholar]
- Subudhi, B.; Pradhan, R. Bacterial Foraging Optimization Approach to Parameter Extraction of a Photovoltaic Module. IEEE Trans. Sustain. Energy 2018, 9, 381–389. [Google Scholar] [CrossRef]
- Wu, L.; Chen, Z.; Long, C.; Cheng, S.; Lin, P.; Chen, Y.; Chen, H. Parameter extraction of photovoltaic models from measured I-V characteristics curves using a hybrid trust-region reflective algorithm. Appl. Energy 2018, 232, 36–53. [Google Scholar] [CrossRef]
- Xiong, G.; Zhang, J.; Shi, D.; He, Y. Parameter extraction of solar photovoltaic models using an improved whale optimization algorithm. Energy Convers. Manag. 2018, 174, 388–405. [Google Scholar] [CrossRef]
- Hasanien, H.M. Shuffled Frog Leaping Algorithm for Photovoltaic Model Identification. IEEE Trans. Sustain. Energy 2015, 6, 509–515. [Google Scholar] [CrossRef]
- Beigi, A.M.; Maroosi, A. Parameter identification for solar cells and module using a Hybrid Firefly and Pattern Search Algorithms. Sol. Energy 2018, 171, 435–446. [Google Scholar] [CrossRef]
- Askarzadeh, A.; Rezazadeh, A. Parameter identification for solar cell models using harmony search-based algorithms. Sol. Energy 2012, 86, 3241–3249. [Google Scholar] [CrossRef]
- Han, W.; Wang, H.-H.; Chen, L. Parameters Identification for Photovoltaic Module Based on an Improved Artificial Fish Swarm Algorithm. Sci. World J. 2014, 2014, 1–12. [Google Scholar] [CrossRef] [PubMed] [Green Version]
- Kang, T.; Yao, J.; Yang, S.; Duong, T.; Zhu, X. Novel Cuckoo Search Algorithm with Quasi-Oppositional Population Initialization Strategy for Solar Cell Parameters Identification. In Proceedings of the 13th World Congress on Intelligent Control and Automation (WCICA), Changsha, China, 4–8 July 2018. [Google Scholar]
- Ulaganathan, M.; Devaraj, D. Real Coded Genetic Algorithm for Optimal Parameter Estimation of Solar Photovoltaic Model. In Proceedings of the International Conference on Emerging Trends in Engineering, Technology and Science (ICETETS), Pudukkottai, India, 24–26 February 2016. [Google Scholar]
- Ishaque, K.; Salam, Z. An improved modeling method to determine the model parameters of photovoltaic (PV) modules using differential evolution (DE). Sol. Energy 2011, 85, 2349–2359. [Google Scholar] [CrossRef]
- Wei, H.; Cong, J.; Lingyun, X.; Deyun, S. Extracting Solar Cell Model Parameters Based on Chaos Particle Swarm Algorithm. In Proceedings of the International Conference on Electric Information and Control Engineering, Wuhan, China, 15–17 April 2011. [Google Scholar]
- Saha, C.; Agbu, N.; Jinks, R. Review article of the solar PV parameters estimation using evolutionary algorithms. MOJ Sol. Photoenergy Syst. 2018, 2, 66–78. [Google Scholar]
- Jovanovic, R.; Kais, S.; Alharbi, F. Cuckoo Search Inspired Hybridization of the Nelder- Mead Simplex Algorithm Applied to Optimization of Photovoltaic Cells. Appl. Math. Inf. Sci. 2016, 10, 961–973. [Google Scholar] [CrossRef] [Green Version]
- Singh, N.; Singh, S.B. Hybrid Algorithm of Particle Swarm Optimization and Grey Wolf Optimizer for Improving Convergence Performance. J. Appl. Math. 2017, 2017, 1–15. [Google Scholar] [CrossRef]
- Kihel, B.K.; Chouraqui, S. A Novel Genetic Grey Wolf Optimizer for Global Optimization and Feature Selection. In Proceedings of the 2020 Second International Conference on Embedded & Distributed Systems (EDiS), Oran, Algeria, 3 November 2020. [Google Scholar]
- Laudani, A.; Salvini, A. High Performing Extraction Procedure for the One-Diode Model of a Photovoltaic Panel from Experimental I–V Curves by Using Reduced Forms. Sol. Energy 2014, 103, 316–326. [Google Scholar] [CrossRef]
- Rawa, M.; Abusorrah, A.; Bassi, H.; Mekhilef, S.; Ali, Z.M.; Abdel Aleem, S.H.E.; Hasanien, H.M.; Omar, A.I. Economical-technical-environmental operation of power networks with wind-solar-hydropower generation using analytic hierarchy process and improved grey wolf algorithm. Ain Shams Eng. J. 2021, 12, 2717–2734. [Google Scholar] [CrossRef]
- Nishioka, K.; Sakitani, N.; Uraoka, Y.; Fuyuki, T. Analysis of Multicrystal Silicon Solar Cells by Modified 3-Diode Equivalent Circuit Model Taking Leakage Current through Periphery into Consideration. Sol. Energy Mater. Sol. Cells 2007, 91, 1222–1227. [Google Scholar] [CrossRef]
- De Soto, W.; Klein, S.; Beckman, W. Improvement and validation of a model for photovoltaic array performance. Sol. Energy 2006, 80, 78–88. [Google Scholar] [CrossRef]
- Sera, D.; Teodorescu, R.; Rodriguez, P. PV Panel Model Based on Datasheet Values. In Proceedings of the 2007 IEEE International Symposium on Industrial Electronics, Vigo, Spain, 4–7 June 2007. [Google Scholar]
- Hasanien, H.M. Performance improvement of photovoltaic power systems using an optimal control strategy based on whale optimization algorithm. Electr. Power Syst. Res. 2018, 157, 168–176. [Google Scholar] [CrossRef]
- Ishaque, K.; Salam, Z.; Mekhilef, S.; Shamsudin, A. Parameter extraction of solar photovoltaic modules using penalty-based differential evolution. Appl. Energy 2012, 99, 297–308. [Google Scholar] [CrossRef]
- Al-Tashi, Q.; Rais, H.; Jadid, S. Feature selection method based on grey wolf optimization for coronary artery disease classification. In Recent Trends in Data Science and Soft Computing; Advances in Intelligent Systems and Computing; Springer: Berlin, Germany, 2018; pp. 257–266. [Google Scholar]
- Kennedy, J.; Eberhart, R. Particle Swarm Optimization. In Proceedings of the ICNN95—International Conference on Neural Networks, Perth, WA, Australia, 27 November–1 December 1995. [Google Scholar]
- Solar Reports. Top 10 PV Module Manufacturers during First Half of 2020, Shipment Scale. Solar Edition. 31 August 2020. Available online: https://solaredition.com/top-10-pv-module-manufacturers-during-first-half-of-2020-shipment-scale/ (accessed on 10 July 2022).
- Qais, M.H.; Hasanien, H.M.; Alghuwainem, S. Identification of electrical parameters for three-diode photovoltaic model using analytical and sunflower optimization algorithm. Appl. Energy 2019, 250, 109–117. [Google Scholar] [CrossRef]
- Zobaa, A.F.; Aleem, S.H.E.A.; Abdelaziz, A.Y. Classical and Recent Aspects of Power System Optimization; Academic Press: Cambridge, MA, USA; Elsevier: Amsterdam, The Netherlands, 2018; ISBN 9780128124413. [Google Scholar]
- Rawa, M.; Al-Turki, Y.; Sindi, H.; Ćalasan, M.; Ali, Z.M.; Abdel Aleem, S.H.E. Current-voltage curves of planar heterojunction perovskite solar cells—Novel expressions based on Lambert W function and Special Trans Function Theory. J. Adv. Res. 2022; in press. [Google Scholar] [CrossRef]









| Manufacturer | Kyocera | Canadian Solar |
|---|---|---|
| Model | KC200GT | CS6K-280M |
| Cell Type | Multicrystal | Monocrystal |
| Pm (W) | 200 | 280 |
| Vm (V) | 26.3 | 31.5 |
| Im (A) | 7.61 | 8.89 |
| Voc (V) | 32.9 | 38.5 |
| Isc (A) | 8.21 | 9.43 |
| Number of series cells | 54 | 60 |
| Ki | 0.00318A/°C | 0.053%/°C |
| Kv | −0.123 V/°C | −0.31%/°C |
| KC200GT | CS6K-280M | |||
|---|---|---|---|---|
| Minimum | Maximum | Minimum | Maximum | |
| IPh (A) | 8.1 | 8.3 | 9.4 | 9.7 |
| Rp (Ω) | 200 | 500 | 1000 | 50,000 |
| Rs (Ω) | 0.2 | 0.4 | 0 | 0.25 |
| n1 | 1.1 | 1.5 | 1 | 1.9 |
| n2 | 1.2 | 1.5 | 1.5 | 1.9 |
| n3 | 1 | 1.5 | 1.5 | 1.9 |
| Io1 (A) | 1 × 10−12 | 1 × 10−6 | 1 × 10−12 | 1 × 10−5 |
| Io2 (A) | 1 × 10−12 | 1 × 10−6 | 1 × 10−12 | 1 × 10−5 |
| Io3 (A) | 1 × 10−12 | 1 × 10−6 | 1 × 10−12 | 1 × 10−5 |
| KC200GT | CS6K-280M | |
|---|---|---|
| IPh (A) | 8.1705 | 9.628 |
| Rp (Ω) | 495.55 | 30.202 × 103 |
| Rs (Ω) | 0.2375 | 0.071834 |
| n1 | 1.2764 | 1.83024 |
| n2 | 1.496 | 1.8212 |
| n3 | 1.2159 | 1.16302 |
| Io1 (A) | 1.54 × 10−8 | 6.00 × 10−6 |
| Io2 (A) | 3.85 × 10−10 | 6.00 × 10−6 |
| Io3 (A) | 3.67 × 10−10 | 3.03 × 10−10 |
| GA | SA | WOA | SFO | Hybrid PSOGWO | |
|---|---|---|---|---|---|
| IPh (A) | 8.143 | 8.25 | 8.231 | 8.212 | 8.21 |
| Rp (Ω) | 311.8 | 327,597 | 341.387 | 606.12 | 495.55 |
| Rs (Ω) | 0.3614 | 0.378 | 0.3421 | 0.23796 | 0.2375 |
| n1 | 1.189 | 1.199 | 1.32 | 1.2481 | 1.2764 |
| n2 | 1.495 | 1.2 | 1.236 | 1.991 | 1.4957 |
| n3 | 1.38 | 1.48 | 1.0216 | 1.8421 | 1.2159 |
| Io1 (A) | 1.52 × 10−8 | 1.78 × 10−8 | 2.692 × 10−8 | 4.3 × 10−8 | 1.54 × 10−8 |
| Io2 (A) | 4.58 × 10−10 | 3.76 × 10−10 | 4.678 × 10−10 | 2.22 × 10−10 | 3.85 × 10−10 |
| Io3 (A) | 1.019 × 10−10 | 4.62 × 10−10 | 4.927 × 10−10 | 1.35 × 10−6 | 3.67 × 10−10 |
| MLE | WOA | SFO | Hybrid PSOGWO | |
|---|---|---|---|---|
| IPh (A) | 9.46 | 9.516574724 | 9.440369 | 9.628 |
| Rp (Ω) | 599.99 | 1.50 × 103 | 2.16× 104 | 30.202 × 103 |
| Rs (Ω) | 0.168 | 0.01351602 | 0.2 | 0.0718 |
| n1 | 1.108 | 1.841521006 | 2 | 1.830 |
| n2 | - | 1.750541567 | 2 | 1.821 |
| n3 | - | 1.623788571 | 1.1913 | 1.163 |
| Io1 (A) | 10 × 10−10 | 6.03528 × 10−6 | 1.00 × 10−12 | 6.00 × 10−6 |
| Io2 (A) | - | 3.21299 × 10−6 | 1.00 × 10−12 | 6.00 × 10−6 |
| Io3 (A) | - | 1 × 10−12 | 7.46 × 10−9 | 3.03 × 10−10 |
Publisher’s Note: MDPI stays neutral with regard to jurisdictional claims in published maps and institutional affiliations. |
© 2022 by the authors. Licensee MDPI, Basel, Switzerland. This article is an open access article distributed under the terms and conditions of the Creative Commons Attribution (CC BY) license (https://creativecommons.org/licenses/by/4.0/).
Share and Cite
Ellithy, H.H.; Taha, A.M.; Hasanien, H.M.; Attia, M.A.; El-Shahat, A.; Aleem, S.H.E.A. Estimation of Parameters of Triple Diode Photovoltaic Models Using Hybrid Particle Swarm and Grey Wolf Optimization. Sustainability 2022, 14, 9046. https://doi.org/10.3390/su14159046
Ellithy HH, Taha AM, Hasanien HM, Attia MA, El-Shahat A, Aleem SHEA. Estimation of Parameters of Triple Diode Photovoltaic Models Using Hybrid Particle Swarm and Grey Wolf Optimization. Sustainability. 2022; 14(15):9046. https://doi.org/10.3390/su14159046
Chicago/Turabian StyleEllithy, Hazem Hassan, Adel M. Taha, Hany M. Hasanien, Mahmoud A. Attia, Adel El-Shahat, and Shady H. E. Abdel Aleem. 2022. "Estimation of Parameters of Triple Diode Photovoltaic Models Using Hybrid Particle Swarm and Grey Wolf Optimization" Sustainability 14, no. 15: 9046. https://doi.org/10.3390/su14159046
APA StyleEllithy, H. H., Taha, A. M., Hasanien, H. M., Attia, M. A., El-Shahat, A., & Aleem, S. H. E. A. (2022). Estimation of Parameters of Triple Diode Photovoltaic Models Using Hybrid Particle Swarm and Grey Wolf Optimization. Sustainability, 14(15), 9046. https://doi.org/10.3390/su14159046

