Abstract
Human capital formation in developing countries is a policy instrument to promote economic progress. In recent decades, FDI can act as a mechanism for transmitting human capital in the context of highly globalized countries. Extensive literature indicates that the formation of human capital is one of the most effective mechanisms for promoting structural change in countries. This research examines the causal link between FDI flows, globalization, and knowledge. This relationship is moderated by the index of electoral democracy, employment in agriculture, rent from natural resources, export diversification, and fertility. We employ a set of threshold regressions based on the idea that FDI levels will be significant and permanent as long as FDI transmits knowledge to recipient countries from a substantial level of FDI. The results show a threshold effect in the electoral democracy index and foreign direct investment at the global level and high- and upper-middle-income countries. In addition, we found a threshold effect for the electoral democracy index in the East Asia Pacific regions and the Middle East and North African countries. There is a threshold effect in East Asia, the Pacific, and Latin America in FDI. Based on the results, policymakers should promote FDI and electoral democracy flows above the threshold to encourage the transfer of human capital in the countries analyzed.
1. Introduction
Human capital is a crucial determinant in the economic development of a nation. This factor is considered one of the determinants that explains a third of the employment gap between countries in the labor sphere [1]. In addition, it is recognized as a source of strategic innovation for business development [2]. However, investment in this area does not depend only on the state that promotes it through public spending but also on the decisions made by each individual and by national and transnational companies. When highly qualified people surround individuals, they are encouraged to improve their level of human capital [3]. In other words, the population with higher education levels is more productive and contributes efficiently to the various activities they carry out. In this way, when human capital increases, more significant progress is projected for the economy [4]. When a greater investment in human capital is not guaranteed in competitive markets, a negative effect is generated on low-income people [5].
The World Bank [6] points out that most governments prioritize physical capital through new infrastructure works, leaving aside human capital that includes the population’s skills, knowledge, experiences, and good habits. This fact has repercussions on the low competitiveness of the countries since more talent is progressively required to maintain sustained growth. World Bank estimates find that more than 260 million children and young people in developing countries do not attend an educational center, and 60% of those who attend do not achieve a minimum level of learning competence. It has been found that human capital explains between 10% and 30% of the differences in the GDP per capita of the countries. On the other hand, families with higher incomes provide their children with access to education from an early age. Therefore, high levels of governance need to be established [7,8]. The literature shows that the relationship between human capital, foreign direct investment, and globalization fluctuates concerning the economic and productive structure of the countries In this way, Ascani et al. [9] and Dong et al. [10] showed that foreign direct investment is one of the variables that positively explains human capital. However, the effects vary depending on the policies managed by the receiving country. On the other hand, wage premiums benefit more qualified personnel, leaving behind people with lower educational levels [11].
In this sense, based on previous literature, our first hypothesis states the following:
Hypotheses 1 (H1).
There is a positive relationship between foreign direct investment and human capital.
This hypothesis is based on the externalities of foreign knowledge associated with capital inflows to a country due to the learning that the local labor force must adapt to the new activities derived from the investment and the transfer of knowledge.
On the other hand, Li et al. [12] found that globalization generates positive and negative effects on human capital. This heterogeneous behavior favors developed countries to a greater extent due to the modernization of their productive activities. Likewise, Wang et al. [13] indicated that globalization improves human capital through technology and greater trade openness. This process encouraged developed countries to adapt to their advantages and increase their human capital to become more competitive in the global market. The theoretical and empirical literature that relates human capital with FDI and globalization is growing. For example, Ibarra-Olivo [11] and Tsaurai [14] evaluated the impact of the FDI on the education of young people in the municipalities of Mexico and the BRICS countries, respectively. The authors highlighted the limitations of foreign investment to increase the human capital endowments of the young local population. In this same direction, there is evidence that corruption can moderate the effect between FDI and human capital [15]. However, the effectiveness of the causal mechanism that translates capital flows into local knowledge is related to the absorptive capacity of the local population and local institutions to ensure that the benefits remain with the local population. Blanchard and Olney [16], Shastry [17], and Hall et al. [18] highlighted the importance of technology in favoring the accumulation of knowledge as a result of globalization and FDI. In practice, globalization impacts the formation and accumulation of human capital when the institutional mechanisms of the receiving country are designed so that the externalities of human capital benefit the local population [19,20,21,22].
These ideas support the approach of the research’s main hypothesis that FDI and globalization increase human capital in a limited way due to the low capacity of countries to absorb knowledge.
Our second hypothesis posits that the globalization index and human capital have a positive relationship. Among the principal causal mechanisms that support this positive relationship are the following. First, globalization facilitates the exchange of teachers, researchers, and students between countries, which supports the flow of information between the most developed and developing countries. Second, globalization facilitates the flow of goods and services between countries, which demands more excellent knowledge of the processes of production and marketing of goods and services. Third, globalization facilitates the traffic of information and data that creates new business opportunities and offers new jobs related to information and communication technologies.
In this scenario, the research objective is to examine the determinants of human capital in 113 countries from 1991 to 2019 using foreign direct investment and globalization as independent variables. Control variables such as the electoral democracy index, employment in agriculture, export diversification, natural resources, and the fertility rate are used. In order to obtain more detailed results, countries were grouped by income level into high-income countries (HIC), upper middle-income countries (MHIC), lower middle-income countries (MLIC), and low-income countries (LIC). Additionally, countries were classified by geographic location into seven regions: East Asia and Pacific, Europe and Central Asia, Latin America, Middle East and North Africa, North America, South Asia, and Sub-Saharan Africa.
An introductory panel data regression model was estimated, and, as an additional contribution, a threshold model proposed by Hansen [23] was used to capture the heterogeneous effect of the explanatory variables on human capital. The results showed that most of the variables, except for direct foreign investment and resource rent, had a significant effect on human capital. Although, this impact differs in the groups of countries, being positive for some cases and negative for others. However, in the threshold model, it was established that the electoral democracy index and foreign direct investment are the only variables that presented a non-linear effect on human capital. In this sense, we contribute to the literature with new empirical evidence in the educational field. Furthermore, the study of human capital is considered a dependent variable, and methodologies that have not been used to analyze this relationship are incorporated.
The document contains seven sections, including the introduction. Section 2 includes the empirical evidence reflecting the previously addressed studies on the subject. The data used is detailed in Section 3. Section 4 presents the model. The results found with their respective discussion are shown in Section 5, and finally, in Section 6 and Section 7, the conclusions and policy implications raised in the research are stated, respectively.
2. Literature Review
Human capital is one of the main components to promote growth and economic development. Therefore, it is essential to know the determinants that make the level of education increase or decrease. In general, human capital convergence tends to vary between regions or countries, which causes heterogeneity in the various convergence clubs [24]. This fact has given rise to differences in the accumulation of human capital between countries [25]. Although the empirical evidence in this field is limited, the studies carried out are presented in three sections. The first includes studies between foreign direct investment and human capital. The second includes investigations that have established the relationship between globalization and human capital. The last section groups the investigations of human capital with the control variables: democracy, employment in agriculture, income from natural resources, export diversification, and the tax rate of fertility.
In the first group, Dutta et al. [15] indicated that the entry of foreign direct investment (FDI) will increase 40% of the stock of human capital in countries with low corruption. In addition, authors such as Ascani et al. [9] and Dong et al. [10], in their study for Italy and China, found a positive relationship between foreign direct investment and human capital. As investment in developed economies is promoted, human capital increases through innovative activities. On the other hand, when the receiving countries are developing countries, the effectiveness of the investment in human capital is not the same. This behavior is supported by the fact that developed countries have advantages at their technological level and even have better linguistic capital that facilitates the ability to absorb knowledge [19,26]. On the other hand, Ibarra-Olivo [11] determined that foreign direct investment inflows do not directly affect better educational levels due to the different wage premiums of qualified workers. Therefore, the advantages of FDI should be leveraged to achieve positive human capital outcomes in the short term and the long run.
In the second group, Prettner and Strulik [27] and Wang et al. [13] reported that globalization through the incorporation of technology had optimized learning processes that have increased human capital with new educational resources. Although, people who already had initial qualification conditions had more significant advantages concerning unskilled labor [18,28]. However, Osabutey and Jackson [29] established that globalization is not significant for human capital in Ghana due to the barriers created by the absence of technology policies and knowledge enhancement. Likewise, Li et al. [12] pointed out that the effect of globalization on human capital is negative, including educational assistance, skills, and performance. Generally, job opportunities are only expanded in low-skilled but labor-intensive activities in developing countries. On the contrary, Ead [20] in his analysis of Egypt concluded that globalization through different styles had influenced the spread of better education for this country, contributing to the human capital of its population. Finally, although Ma et al. [30] found an inverted U-shaped relationship between globalization through trade openness and the level of human capital, environmental regulation is a moderating variable.
The third group shows the various studies with the control variables. In the relationship between electoral democracy and human capital, Dahlum and Knutsen [31] specified that the effect that democracy generates on human capital is positive. When the democratic system is implemented, it is possible to increase the average years of schooling in the countries. Although, they also reported that the quantity increases but not the quality of education. This fact responds to weak electoral incentives on the part of politicians in their campaign proposals. Zuazu [32] showed in an investigation of 72 countries that democracy positively affects human capital as long as stable technological conditions contribute to more significant development. Moreover, Wang et al. [33] in a study conducted for a panel of 95 countries established that the democratic system promotes better performance in human capital by providing greater freedoms and guarantees to citizens. However, Tran [34] stated that the effect of democracy on human capital is positive when a solid legal system is managed where laws, regulations, and policies are respected. Similarly, a panel of 49 African countries from 1996 to 2018 using GMM determined that electoral democracy through the improvement of institutional quality promotes access to education that fosters human capital [35].
Días [36] revealed that when exports increase, Brazil’s demand for human capital increases, even though the intermediate educational level is the most demanded and presents the most significant labor participation. In this context, Blanchard and Olney [16] determined in a study for 102 countries that exports based on goods with restricted skills cause a reduction in human capital. By contrast, when skills-intensive goods are exported, growth in years of schooling is boosted. Kim and Lin [37] are also highlighted, who specified that agricultural exports decrease human capital while exports of other goods promote greater education. This fact is justified because exporting more knowledge-intensive goods encourages its population to be better educated and more productive.
In an investigation of 80 countries carried out by Wu et al. [38], they highlighted that exports that incorporate technology increase human capital by becoming an alternative to improve export capacity. At the same time, Ballestar [39] in his analysis of Spain sustained that when there are more significant exports, there is a spillover of knowledge that improves the human capital of qualified people. However, in another study for Brazil carried out by Fontes et al. [40], there was no evidence of learning effects due to export issues attributed to low-quality goods. Therefore, it is necessary to diversify assets and be more competent to increase human capital. However, the processing of exports negatively affects the educational level of young people in rural areas, unlike young people who live in urban areas by benefit from exports to developed countries [21]. In the same sense, Yu and Deng [41] identified that the export level of the Chinese provinces is a determinant of human capital due to its high commercial environment, which is the basis of more significant economic progress.
On the other hand, in the relationship between agricultural productivity and human capital, Parman [42] and Pindado et al. [43] indicated that the relationship goes from human capital to greater productivity due to spillovers of knowledge that contribute to improving business skills. They also detailed that the expansion of education is the key driver to intensifying the professional networks of agricultural employees. Instead, Albertus et al. [44] referred to the fact that agrarian reforms negatively impact educational achievement due to the scarce economic opportunities that the population has and the different social problems such as child labor and inequality. Similarly, Gillman [45] concluded that the relationship between employment in agriculture and human capital is negative. This fact occurs because with the emergence of industries, greater participation of human capital is required due to the transfer of labor. Next, Zivin et al. [46] pointed out that people engaged in activities related to agriculture are less likely to improve their educational levels. Likewise, they confirmed the existence of an inverse relationship between these variables.
Another factor that affects the formation and accumulation of human capital is the economic activity of the labor force. For example, dependence on the extraction of natural resources has prevented countries from improving their level of development based on the knowledge. Kingsbury [47] indicated that problems such as corruption and inefficient administration of natural resource rent prevent high academic achievement in MENA countries. Aljarallah [48], in his study of the Gulf countries through a cointegration approach, showed that this dependence on natural resources hinders the improvement of human capital. In Peru, evaluating the temporal and spatial behavior of its economy based on the extraction of raw materials, the positive effect of natural resource rents on human capital was verified. This direct relationship arises when income is paid in policies to improve educational infrastructure and greater public spending. However, they consider the expectation that the resource curse will not affect this nation and prevent its development [49]. Similarly, Rahim et al. [50] argued that the income obtained by these resources in some countries postpones the satisfaction of the need for education in the long term. This fact is considered one of the factors by which the resource curse impacts the economy and requires human capital to counteract this problem. Similarly, it was revealed that the boom in natural resources, especially oil, negatively affects the accumulation of human capital in the long term [51].
Finally, in the link between fertility and human capital, Azarnert [52] reported that when there is high fertility, it decreases human capital and thus causes a reduction in economic growth. In contrast, Boikos et al. [53], in their analysis of OECD countries using non-parametric techniques, established that the relationship between these variables is negative due to the low accumulation of human capital. This behavior means that when there is more population, they are not guaranteed the same living conditions. To this, Hippe and Perrin [54] stated that fertility is key to understanding the behavior of human capital and even allows identifying gender gaps in educational issues. In the same way, they emphasized that it would be essential to consider sociodemographic variables for a broader analysis. Samari [55], Kounturis [56], and Gershoni and Low [57] in their studies for Egypt, Greece, and Israel, found it was delimited that with high fertility rates, lower levels of human capital are generated because of limited women’s opportunities. However, they highlighted that changes in demographic policies are the central axis for women to access higher education and enter the labor market.
3. The Data and Statistical Sources
The variables included in this research are the human capital index (HC), foreign direct investment (FDI), the globalization index (GI), the electoral democracy index (EDI), employment in agriculture (EA), the export diversification index (EDI), and the fertility rate (FR). The data comes from five sources: the World Development Indicators, the International Monetary Fund, the Pen Word Table, V-Dem, and the KOF Swiss Economic Institute. The period analyzed is delimited between 1991 and 2019 for 113 countries. The Atlas method was used to group them into four groups according to the level of gross national income per capita: high income (HIC), upper-middle income (MHIC), lower-middle income (LIC), and low-income countries (LIC) illustrated in Figure 1. All maps were made using the Q-Gis Software.
Figure 1.
Geographical coverage of the research and classification of the countries.
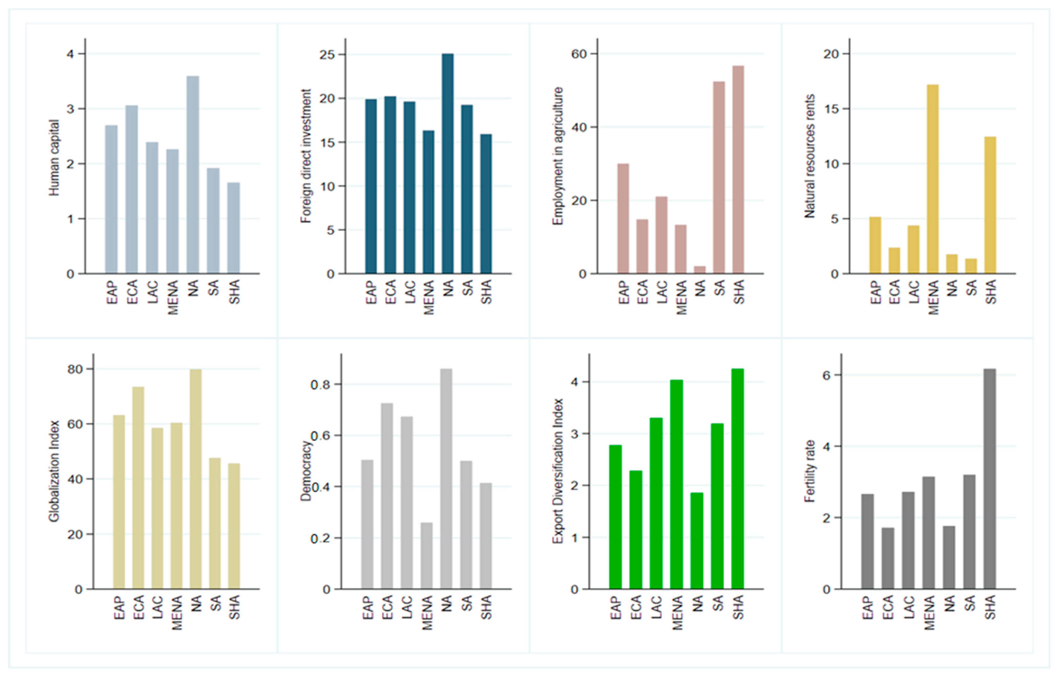
Figure 2 shows the average of the variables used in the analysis for the 117 countries grouped by income level. The average value of human capital shows that the highest levels of this variable are found in the HICs and followed by the MHICs. The average level of FDI does not vary significantly between MHICs and HICs. However, the LICs remain the countries with the lowest FDI. Employment in agriculture has its highest levels in the LICs and MLICs, demonstrating the dependence on natural resources and the low diversification of their production in these economies. This characteristic is also observed in the average value of natural resources, where LICs and MLICs have the highest average levels of natural resources. The globalization index and the electoral democracy index do not show significant differences by income level. The main advantage of using the human capital index as a dependent variable compared to other measures of human capital is that it has continuous data for an extended period and implicitly considers the returns to education within each country. It is well known that the fertility of human capital varies between countries, so using a relativized variable such as the human capital index facilitates the measurement of the impact of the regressors on this variable. Table 1 details the data sources, measurement, symbology, and definition.
Figure 2.
Average values of the variables.
Table 1.
Description of variables and data sources.
In both cases, the HICs and the MHICs have, on average, the highest levels of these variables. The average levels of the export diversification index and the fertility rate are located in the LIC and the MLIC. The opposite happens in the HICs and MHICs, as they concentrate the lowest average figures for the export diversification index and the fertility rate. Figure 2 shows the average levels of the variables for the countries grouped into seven regions, using Stata Software. In general, workers’ knowledge and skills are reflected in the high levels of human capital in all regions. However, the highest average human capital and FDI levels are found in North America, Europe, and Central Asia. The highest average figures for employment in agriculture, natural resources, and the fertility rate are found in the regions of Latin America and Sub-Saharan Africa. North America, Europe, and Central Asia also have the highest figures for the globalization index and the electoral democracy index.
All the statistics of the variables and the econometric estimations were carried out using the Stata 16 program. Table 2 reports the descriptive statistics and the correlation matrix of the study variables. The globalization index has the highest average (59.57), while the export diversification index has the lowest (0.55). The standard deviation results reveal that the FDI, agricultural employment, natural resources, and fertility rate have greater dispersion in the data. This can be evidenced in the significant variation between these variables’ minimum and maximum values. On the other hand, the correlation results indicate that the FDI, globalization index, and electoral democracy index are positively associated with human capital. This result suggests that these variables move in the same direction as human capital. On the other hand, employment in agriculture, natural resources, the export diversification index, and the fertility rate are negatively correlated with human capital.
Table 2.
Descriptive statistics and correlation matrix of variables.
We verified the multicollinearity using collinearity diagnostics, where the tolerance value must be greater than 0.01, and the variance inflation factor (VIF) must be less than 10. All the variables included in the investigation met both conditions, showing that there is no multicollinearity. The results are reported in Table 3.
Table 3.
Multicollinearity statistics.
4. The Model
The econometric model is supported by solid empirical evidence and an argument in the previous sections. The dependent variable is the human capital index, and the two leading independent variables are foreign direct investment and the globalization index. In formulating the hypotheses, we assume that the two independent variables directly correlate with the human capital index. Logic indicates that increases in foreign capital flows and openness should increase the countries’ human capital. Next, we formalize the econometric model used in the estimates aimed at verifying the hypotheses.
The time-series and cross-sectional dimensions can be captured simultaneously through panel models. Thus, in this study, we estimate through generalized least squares (GLS) the effect of foreign direct investment and the globalization index on the human capital index of country i over time t. Equation (1) specifies the model to be estimated:
HCI represents the human capital index, represents foreign direct investment, represents the globalization index, and represents the set of control variables considered in the estimation: democracy index, employment in the agricultural sector, income from natural resources, diversification of exports, and fertility rates. The coefficients represent the slopes of the variables considered explanatory and control. Finally, represents the stochastic disturbance.
Conventional panel models reflect only the heterogeneity in the intercept and are limited considering the variability in slopes. One of the limitations of linear models is that they can offer misleading results and wrong policy lessons. However, avoiding the rigidity of the slope in the distribution makes it easier to obtain more robust and consistent estimators. Hence, nonlinear models offer a more flexible instrumental framework in the estimation of model parameters. In this sense, the threshold panel model proposed by Hansen [23] is a simple and practical alternative to nonlinear regression that allows approximating variable slope models. Equation (2) represents the structural specification of this model; it contemplates the FDI and the GI as threshold variables:
In the equation, represents the threshold variable, and is the estimated threshold for each variable (represents the indicator function for each explanatory variable). The term is the error, the same as IID which is assumed with zero mean and finite variance . The slopes , estimated non-linearly, reflect the variations experienced by the human capital index due to the effect of the explanatory variables. The use of threshold regressions stems from the need to model nonlinear relationships and fit a model that allows obtaining an estimate of the threshold and the coefficients of the explanatory variables on each side of the threshold. Various investigations support the usefulness of the methodology proposed by Hansen [14,58,59,60,61,62,63,64,65]. The tests performed before estimating the final threshold model should be emphasized. This process can be explained in four stages. In the first instance, the cross-sectional dependence and the heterogeneity in the panel slope were evaluated. Next, the second-generation unit root test was performed. This fact gave way to the cointegration test in panel data and finally proved causality in the Granger sense. Finally, the Pesaran [66] test was applied to determine cross-section or cross-section dependence. Equation (3) formalizes this test, which is based on the pairwise correlation coefficients and the measures of the transverse and temporal dimensions N and T:
Cross-sectional dependence and heterogeneity in panel slope dictate the use of unit root and cointegration tests. Thus, the second-generation panel unit root test is detailed in Equation (4):
According to Breitung and Das [67], if represents the vector of the demeaned variables y, N, and T →∞, the t statistic follows a standard normal distribution. To test the cointegration between the panel variables, we apply the cointegration test Westerlund [68] suggested. The following null hypotheses of non-cointegration H0 are considered for all i against the alternative hypothesis for all i. Thus, the rejection of the null hypothesis evidences cointegration for the panel. The test, in this case, is specified below in Equation (5):
In Equation (5), j denotes the included lags. This test is applied under the weak exogeneity assumption that ensures the possibility of implementing a non-cointegration test as an error correction test [68]. At this stage, the non-causality test applied to heterogeneous panels proposed by Dumitrescu and Hurlin [69] was used to determine the existence and direction of causality in the sense of Granger (1969) [70]. Let y and x be two stationary variables as observed throughout t between i countries, the linear model to determine causality is specified in Equation (6):
In this test, k represents the number of lags. The causality test is performed between individual pairs of variables (y and x). In this test, the null hypothesis H0: No Granger causality. The results of the applied econometric strategy are presented in the next section.
5. Results and Discussion
As explained in the methodology section, GLS is used to estimate the basic model. According to the regression results in Table 4, the globalization index has contributed to increased human capital in all country groups except for the LICs. The positive impact of globalization on human capital is consistent with what Shastry [17] mentioned. The author suggested that the increase in human capital responds to global opportunities in education and linguistic diversity, access to information technology, and school enrollment. On the other hand, the result in the LIC coincides with the study by Jackson [22]. In countries with low development, the absence of technological policies derived from globalization limits the potentization of knowledge. The electoral democracy index also contributes significantly to the increase in human capital globally and the MLICs. This result means that when a democratic state is promoted in the economies, the participation of the people is encouraged since greater freedoms and guarantees are granted to citizens [33]. Moreover, even in a democratic political system, it is possible to establish solid legal frameworks based on respect for laws and regulations [34].
Table 4.
Results of generalized least squared-GLS regressions.
Employment in agriculture has a negative effect on human capital in almost all groups except in the LIC, where it is not significant. This finding coincides with Albertus et al. [44]. They reported that reforms in the agricultural field affect educational achievement due to the limited opportunities that the population dedicated to these activities has. The effect of the export diversification index differs for two groups where it is significant; globally, human capital increases, and in HICs, it reduces. This effect responds to the types of export goods of the economies. This fact means that when exports incorporate technology, they allow for an increase in human capital, which in turn generates competitiveness and knowledge spillover [38,40]. Blanchard and Olney [16] and Kim and Lin [37] detailed that the negative effect on human capital is generated when products with restricted skills are exported. An important finding that coincides with much of the literature [53,55,56,57] is the negative incidence of the fertility rate on human capital levels with its effect significant in practically all the groups, except in the MHIC. The variables whose effect was not significant in any group are FDI and natural resources.
Table 5 shows the results of the GLS regression for the seven regions. The effect of globalization does not change compared to those shown in Table 4. The globalization index positively impacts human capital and is significant at the global level as in the seven regions. Thus, the contribution of Prettner and Strulik [27] and Wang et al. [13] is highlighted when referring to globalization as a process that incorporates technology, which optimizes learning processes through new educational resources. The electoral democracy index also increases human capital globally and in East Asia and the Pacific. Electoral democracy lowers human capital in the Europe and Central Asia region. This result is somewhat contradictory since European countries are considered democratic economies. However, the conflicts generated between economies often prevent the positive effect from being evident. Even in the less developed regions, there is no statistical significance due to the low electoral incentives of politicians in educational issues [31]. The negative impact of employment in agriculture is significant globally and across all regions. Gillman [45] noted that this relationship occurs because the rise of new industries leaves unskilled labor behind.
Table 5.
Results of generalized least squared-GLS regressions.
The natural resource variable is significant and decreases human capital only in the East Asia and Pacific region. Countries dependent on natural resource income are the most affected, so their relevance in human capital is insignificant. In addition, it has been considered that many economies prioritize natural resources, postponing long-term satisfaction with education [50]. The export diversification index affects human capital in two ways: The effect is negative in the East Asia and Pacific region. In the North America region, the effect is positive and significant. The results obtained from the impact of the fertility rate are pretty similar in size and magnitude to those obtained by income groups. This variable reduces human capital significantly globally and in North America, the Middle East and North Africa, and South Asia. In underdeveloped economies, fertility rates are high and result in poor human capital at the household level [52]. In the European and Central Asian regions, the effect of the fertility rate on human capital is positive and significant. In developed countries, fertility rates are commonly low. There is a belief that the reduction of the fertility rate will lead to greater participation of women in economic activities, increasing family income and improving the living conditions of family members. However, it is necessary to point out that this would occur until the fertility rate is equal to the population replacement rate.
Table 6, Table 7, Table 8, Table 9, Table 10, Table 11, Table 12, Table 13 and Table 14 report the results obtained in estimating threshold regressions formalized by Hansen [23]. Table 6 reports the hypothesis test results of the existence of thresholds through an interactive process of 300 repetitions. Similarly, the critical values of 1%, 5%, and 10% and the F test statistics are reported. The results show the existence of a single threshold effect of the electoral democracy index and the FDI. These variables have a non-linear impact on the human capital of the countries analyzed. This suggests the need to use two thresholds for our regression analysis. Table 7 indicates the threshold values obtained for each variable. When the electoral democracy index and the FDI are established as threshold variables, the values obtained were 0.75 and 24.73, respectively.
Table 6.
Threshold effect test (bootstrap = 300, 300).
Table 7.
Threshold value estimation.
Table 8.
Coefficients estimates of threshold regression.
Table 9.
Threshold effect test (bootstrap = 300, 300) by income level.
Table 10.
Threshold value estimation by income level.
Table 11.
Coefficients estimates of threshold regression by income level.
Table 12.
Threshold effect test (bootstrap = 300, 300) by regions.
Table 13.
Threshold value estimation by regions.
Table 14.
Coefficients estimates of threshold regression by regions.
Table 8 presents the results obtained from the dynamic panel threshold analysis for the 113 countries used in the study. In the first model, where the threshold variable is the electoral democracy index, the results show that below and above the threshold, the effect of the index is negative and significant. In this model, both the globalization and export diversification indices have a positive and significant effect on human capital. Natural resources, employment in agriculture, and the fertility rate decrease human capital, and its effect is statistically significant. In the second model, when the threshold variable is the IDF, the effect is positive and significant, while the effect above the threshold is negative and significant. The impact of this threshold variable is minor compared to the incidence of the electoral democracy index. The effect of natural resources, employment in agriculture, and fertility rate are similar to those of the first model.
The findings of the estimation of the non-linear model reflect that there is a heterogeneous effect before and after the threshold in the FDI. At the same time, in the electoral democracy index, the impact is maintained. In addition, the results contrast significantly with those obtained by previously estimated linear models in both models. It is contrasted with Van Hoorn [25] and Mendoza et al. [24], who reported that the behavior of human capital is heterogeneous in the units of analysis due to the differences between the countries. Globalization continues to be a positive determinant of human capital by allowing greater dissemination of education through different mechanisms [20]. In the same way, the diversification of exports increases human capital when stable technology conditions are provided, and greater competitiveness is promoted [32]. Conversely, employment in agriculture, rent from natural resources, and the fertility rate reduces human capital. These results are consistent with the logic given that the labor force in agriculture does not necessarily demand qualified human capital to carry out said activities. Similarly, specialization in extracting rent from natural resources is not very labor-intensive. Therefore, the result of the fertility rate is as expected. Although it is true that when the economic structure of the countries depends on activities included in the primary sector, further development is restricted since the levels of human capital are low. It is also important to highlight that economies with a high business environment drive knowledge acquisition and form the basis for economic progress [41].
The dynamic panel threshold method makes it possible to capture the non-linearity of the relationship between human capital and the explanatory variables. In addition, it allows knowing exactly the inflection point of the threshold variables. Figure 3 shows the LR statistics and the threshold value of the two variables, namely the electoral democracy index and the FDI. This figure supports the threshold asymmetry hypothesis: the electoral democracy index and the FDI increase and decrease human capital after crossing the threshold level of plus or minus one standard deviation from the average level.
Figure 3.
LR statistic of one threshold democracy and FDI.
Table 9 reports the results of the hypothesis test of the existence of thresholds through an interactive process of 300 repetitions, the critical values of 1%, 5%, and 10%, and the statistics of the F test. These results correspond to threshold variables when countries are grouped by income level. The results show a single threshold effect of the electoral democracy index in the HICs and the MHICs. The results also reveal a unique threshold effect of FDI only in HICs. This result suggests that the electoral democracy index and the FDI have a nonlinear impact on human capital in high-income countries. Table 10 indicates the threshold values obtained for each variable. When the electoral democracy index in the HIC and MHIC is established as a threshold variable, the values obtained were 0.38 and 0.45. In HICs, when the FDI is the threshold variable, its value is 24.75. This last value does not differ significantly from the result of the FDI as a global threshold variable.
Table 11 presents the results obtained from the dynamic panel threshold analysis for the 113 studied countries grouped by income. In the first model, where the threshold variable is the electoral democracy index, the results for the HICs show that below the threshold, the effect of the index is negative and significant. Above the threshold, the effect of the democracy index is positive and significant. In the MHIC, the results below the threshold are similar to those obtained in the HIC. However, the effect of the democracy index above the threshold in this group of countries is negative and significant. In the second model, when the threshold variable is the FDI, the effect below the threshold is positive and negative and significant above the threshold in HIC. The results obtained in the two models for the rest of the variables are similar in significance and magnitude. Both globalization and export diversification index have a positive and significant effect on human capital. While natural resources, employment in agriculture, and the fertility rate decrease human capital, all three variables are also statistically significant.
Figure 4 shows the LR statistics and the threshold value of the two variables electoral democracy index and FDI for the HIC and MHIC. The figure allows knowing the inflection point of the threshold variables and supports the threshold asymmetry hypothesis. The electoral democracy index and the FDI generate variations in human capital after crossing the threshold level of plus or minus one standard deviation from the average level.
Figure 4.
LR statistic of one threshold democracy and FDI by income level.
The hypothesis test results of the existence of thresholds through an interactive process of 300 repetitions and the critical values of 1%, 5%, and 10%. The F test statistics by region are shown in Table 12. The results expose the existence of a single threshold effect of the electoral democracy index and the FDI. A single threshold effect was found in the East Asia and Pacific region for both variables. In contrast, there is a single threshold effect for the democracy index in the Middle East and North Africa region. A single threshold effect was also found for the FDI in the Latin American region. Table 13 indicates the threshold values obtained for each variable. When the index of electoral democracy in the East Asia and Pacific regions is set as the threshold variable, the threshold values obtained are 0.39 and 0.25, respectively. When FDI is set as the threshold variable, the East Asia and Pacific values and Latin America regions are 24.83 and 24.72, respectively.
Table 14 presents the results obtained from the dynamic panel threshold analysis for the studied countries classified by region. In the first model, for the East Asia and Pacific region, where the threshold variable is the electoral democracy index, the results show that the effect of the index is negative and significant below the threshold. Above the threshold, the democracy index generates a non-significant increase in human capital. The globalization index increases human capital, while the natural resources and export diversification index decreases human capital with minimal effect. Column 2 presents the results of the threshold regression in the Middle East and North Africa region when the threshold variable is the democracy index. In this region above and below the threshold, the impact of the democracy index decreases human capital. The globalization index continues to be relevant in determining the level of human capital for this region. The effect of natural resource rent is negative and significant on human capital. This scenario responds to the high levels of corruption and inefficient administration of the income obtained from natural resources, which translates into low academic performance [47]. In the second model, where the threshold variable is the FDI, the results show the positive and significant effect of the FDI only if it exceeds the threshold set at 24.83. The result changes for Latin America, where the FDI increases the human capital levels of the region if it exceeds the threshold of 24.72. In this case, although the magnitude of the impact is smaller, the 1% increase in the FDI increases the human capital of Latin America by 0.003 points. When electoral democracy is promoted by fostering institutional quality, it is possible to prioritize education that increases human capital [35].
Figure 5 shows the LR statistics and the threshold value of the two variables electoral democracy index and FDI for the East Asia and Pacific, Middle East and North Africa, and Latin America regions. The figure allows knowing the inflection point of the threshold variables and supports the asymmetry hypothesis that the electoral democracy index and the FDI change the level of human capital.
Figure 5.
LR statistic of one threshold democracy and FDI.
Figure 6 and Figure 7 show the distribution of the countries of the threshold established in the electoral democracy index in the 113 studied countries in 1991 and 2019. In both graphs, it can be seen that there have been no significant changes in the distribution over time. The countries that are located before the threshold are represented in beige, and those that are located after the threshold are in blue. It is identified that most countries, predominantly in Asia and Africa, are concentrated before the threshold. On the other hand, North America, Europe, and some Latin American countries are located after the threshold. These results represent the political system inserted in the economies worldwide. When countries are democratic, it is also a determining factor in their level of development. Democracy encourages the participation of the IDF in the decisions proposed by the government authorities to guarantee the fulfillment of objectives that seek the common benefit. Figure 8 and Figure 9 show the distribution of the countries of the threshold corresponding to foreign direct investment in the 113 countries in 1991 and 2019. Unlike the electoral democracy index, in this variable, no country is located after the threshold set at 24.73. This uniform behavior is corroborated by visualizing that all the countries are green. However, for 2019, six countries are located after the threshold: Brazil, China, France, Germany, Singapore, and the United States. Only the developed economies exceed the threshold value by having technological advantages over the rest of the countries.
Figure 6.
Distribution of the electoral democracy index in relation to the threshold value in 113 countries, period 1991.
Figure 7.
Distribution of the electoral democracy index in relation to the threshold value in 113 countries, period 2019.
Figure 8.
Distribution of foreign direct investment in relation to the threshold value in 113 countries, period 1991.
Figure 9.
Distribution of foreign direct investment in relation to the threshold value in 113 countries, period 2019.
6. Conclusions
The importance of this research lies in the contribution to the debate on the impact of FDI on the formation of human capital, which is a mechanism to achieve sustainable development. Most developing countries would be interested in attracting more significant foreign capital flows to boost the local economy. However, our findings offer new evidence on the importance of considering human capital formation to promote more inclusive and sustained growth. The evidence suggests that the human capital is a determining factor in the productivity of countries that contributes to the achievement of sustainable development goals. In this sense, the present investigation examined the determinants of human capital in 113 countries from 1991 to 2019. Foreign direct investment and globalization were used as explanatory variables. Likewise, control variables were included to provide further robustness to the model, such as the democracy index, employment in the agricultural sector, income from natural resources, export diversification, and the fertility rate. In the same way, the countries were classified at the regional level and by their income level to obtain more consistent results. At the regional level, countries were grouped into seven regions: East Asia and the Pacific, Europe and Central Asia, Latin America, the Middle East and North Africa, North America, South Asia, and Sub-Saharan Africa. On the other hand, considering the level of income, four groups resulted: high-income countries (HIC), upper middle-income countries (MHIC), low middle-income countries (MLIC), and low-income countries (LIC). Thus, a GLS model applied at the income level was estimated and subsequently considered its region. In addition, the non-linear threshold regression model of Hansen (1999) was incorporated. Finally, the results of this model were presented globally, regionally, and by income.
The econometric strategy used to fulfill the objective allowed us to conclude that most of the variables used in the study turned out to be significant in human capital through a different impact. In the GLS model estimated at the income level and the regional level, it was shown that globalization significantly increased human capital. However, electoral democracy and export diversification revealed a heterogeneous effect on certain groups. On the other hand, employment in agriculture and the fertility rate turned out to be significant before human capital negatively impacted almost all groups. The threshold model determined that the variables electoral democracy and foreign direct investment presented a significant threshold effect in all models. However, only the HIC and MHIC were significant in the income levels. Instead, the regions East Asia and the Pacific, Middle East and North Africa, and Latin America were significant in this model. In general, the negative impact of these variables was maintained before and after the threshold. However, in some cases, the effect after the threshold tended to be positive but without statistical significance, except for the positive and significant effect of electoral democracy on the HICs and the IDF at the global and regional levels.
7. Policy Implications
Based on the previous conclusions, government authorities or those responsible for implementing policies should base policies to attract foreign investment on the institutional aspects of the countries. We conclude that a possible explanation for the limited effect of FDI on human capital formation is the low capacity to absorb technology and knowledge in host countries. If the political leaders do not consider the improvement in their local productive fabric, the impact of FDI on the formation of human capital will be limited. Political leaders could coordinate with the managers of local companies the mechanisms for attracting FDI that benefit small and medium-sized local companies through the specialization and training of the local labor force.
Mechanisms for attracting FDI must be accompanied by mechanisms for transferring knowledge and developing the skills of the local labor force. Those responsible for the policy must be aware that for the benefits of FDI to improve the endowments of the host country’s labor force, an orientation towards activities with greater specialization is required, and more excellent knowledge is required. The absence of direct knowledge benefits from FDI inflows requires greater attention from policymakers and managers to promote more targeted FDI in sectors with more significant production chains. Managers of local companies should not only consider financial profitability, but their social responsibility demands the inclusion of education and training of local labor to increase the benefits of foreign capital inflows.
Since globalization is a positive determinant of human capital, it is necessary to insert this process into the economic structure of countries through greater spending on R&D that promotes connectivity and innovation. The following arguments explain this result. First, for the formation of specialized human capital, the mobility of students and teachers between countries is necessary. Political and economic globalization turns into cooperation agreements between countries, which facilitate the exchange of researchers or students, which can generate externalities of globalization between countries. Second, the internationalization of production, of the values and customs that globalization measures, may be helpful to explain the mechanisms through which human capital is formed and accumulated. Third, the proper management of globalization can facilitate training of students from developing countries in universities in developed countries.
Likewise, the efficiency of a political system through established legal frameworks facilitates respect for the rights and guarantees of citizens based on laws and regulations that promote better conduct and citizen culture. Given that employment in the agricultural sector and income from natural resources reduce human capital, actions related to these variables are required. Changing the productive matrix from a primary sector to a tertiary sector requires enhancing the local population’s knowledge. The provision of skills and abilities of workers is not a matter purely of the labor force but can be reinforced by managers’ decisions. The formation of skills in the labor force is a pending task in circles where the attraction of foreign capital is debated. Once the technological changes are adopted, a transition towards activities contributing to the economy could be achieved, and greater export diversification could be achieved. This fact contributes to greater competitiveness, and the dependence on income obtained from the extraction of resources that even affect the environment is ruled out.
A limitation of the research is the lack of available data for all countries, which may offer more robust policy lessons. However, the robustness of the estimation methods allows valid inferences to be obtained that can serve as inputs for those responsible for economic and social policies. Future research should consider other methodologies or include more determinants to contribute to the literature in the educational field.
Author Contributions
T.T.: Editing, Methodology, Discussion of the results; B.T.: Formal analysis, writing—review; R.A.: Conceptualization, Data curation; X.S.-J.: Methodology; P.M.: Software, Visualization; S.P.: Editing. All authors have read and agreed to the published version of the manuscript.
Funding
This research received no external funding.
Institutional Review Board Statement
Not applicable.
Informed Consent Statement
Not applicable.
Data Availability Statement
The raw data supporting the conclusions of this article will be made available upon request.
Conflicts of Interest
The authors declare no conflict of interest.
References
- Naval, J.; Silva, J.I.; Vázquez-Grenno, J. Employment effects of on-the-job human capital acquisition. Labour Econ. 2020, 67, 101937. [Google Scholar] [CrossRef]
- You, S.; Zhou, K.Z.; Jia, L. How does human capital foster product innovation? The contingent roles of industry cluster features. J. Bus. Res. 2021, 130, 335–347. [Google Scholar] [CrossRef]
- Bosi, S.; Lloyd-Braga, T.; Nishimura, K. Externalities of human capital. Math. Soc. Sci. 2021, 112, 145–158. [Google Scholar] [CrossRef]
- Yu, M.; Deng, X. The Inheritance of Marketization Level and Regional Human Capital Accumulation: Evidence from China. Finance Res. Lett. 2021, 43, 102268. [Google Scholar] [CrossRef]
- Balmaceda, F. A failure of the market for college education and on-the-job human capital. Econ. Educ. Rev. 2021, 84, 102165. [Google Scholar] [CrossRef]
- World Bank. The World Bank Annual Report Washington, DC: World Bank. © World Bank. License: CC BY-NC-ND 3.0 IGO. Available online: https://openknowledge.worldbank.org/handle/10986/30326 (accessed on 31 May 2022).
- World Bank. Learning to Realize Education´s Promise. International Bank for Reconstruction and Development. The World Bank 1818 H Street NW, Washington, DC 20433. Available online: www.worldbank.org (accessed on 31 May 2022).
- Backer, B.; Ghazanchyan, M.; Ho, A.; Nanda, V. La Falta de Capital Humano Está Frenando el Crecimiento Económico de América Latina; IMF Western Hemisphere Department: Washington, DC, USA, 2020. [Google Scholar]
- Ascani, A.; Balland, P.-A.; Morrison, A. Heterogeneous foreign direct investment and local innovation in Italian Provinces. Struct. Chang. Econ. Dyn. 2019, 53, 388–401. [Google Scholar] [CrossRef]
- Dong, Z.; Miao, Z.; Zhang, Y. The impact of China’s outward foreign direct investment on domestic innovation. J. Asian Econ. 2021, 75, 101307. [Google Scholar] [CrossRef]
- Ibarra-Olivo, J.E. Foreign direct investment and youth educational outcomes in Mexican municipalities. Econ. Educ. Rev. 2021, 82, 102123. [Google Scholar] [CrossRef]
- Li, J.; Lu, Y.; Song, H.; Xie, H. Long-term impact of trade liberalization on human capital formation. J. Comp. Econ. 2019, 47, 946–961. [Google Scholar] [CrossRef]
- Wang, W.; Thangavelu, S.; Lin, F. Global value chains, firms, and wage inequality: Evidence from China. China Econ. Rev. 2021, 66, 101585. [Google Scholar] [CrossRef]
- Liu, A.; Gu, X. Environmental Regulation, Technological Progress and Corporate Profit: Empirical Research Based on the Threshold Panel Regression. Sustainability 2020, 12, 1416. [Google Scholar] [CrossRef] [Green Version]
- Dutta, N.; Kar, S.; Saha, S. Human capital and FDI: How does corruption affect the relationship? Econ. Anal. Policy 2017, 56, 126–134. [Google Scholar] [CrossRef]
- Blanchard, E.J.; Olney, W.W. Globalization and human capital investment: Export composition drives educational attainment. J. Int. Econ. 2017, 106, 165–183. [Google Scholar] [CrossRef]
- Shastry, G.K. Human capital response to globalization education and information technology in India. J. Hum. Resour. 2012, 47, 287–330. [Google Scholar] [CrossRef]
- Hall, C.; Lundin, M.; Sibbmark, K. A laptop for every child? The impact of technology on human capital formation. Labour Econ. 2020, 69, 101957. [Google Scholar] [CrossRef]
- Konara, P.; Wei, Y. The complementarity of human capital and language capital in foreign direct investment. Int. Bus. Rev. 2018, 28, 391–404. [Google Scholar] [CrossRef]
- Ead, H.A. Globalization in higher education in Egypt in a historical context. Res. Glob. 2019, 1, 100003. [Google Scholar] [CrossRef]
- Lin, F.; Long, C.X. The impact of globalization on youth education: Empirical evidence from China’s WTO accession. J. Econ. Behav. Organ. 2020, 178, 820–839. [Google Scholar] [CrossRef]
- Jackson, L. Globalisation and education. In Questioning Allegiance, 1st ed.; Routledge: New York, NY, USA, 2019; ISBN 9780429435492. [Google Scholar]
- Hansen, B.E. Threshold Effects in Non-dynamic Panels: Estimation, Testing, and Inference. J. Econom. 1999, 93, 345–368. [Google Scholar] [CrossRef] [Green Version]
- Mendoza, O.M.V.; Borsi, M.T.; Comim, F. Human capital dynamics in China: Evidence from a club convergence approach. J. Asian Econ. 2022, 79, 101441. [Google Scholar] [CrossRef]
- Van Hoorn, A. Cultural determinants of human capital accumulation: Evidence from the European Social Survey. J. Comp. Econ. 2019, 47, 429–440. [Google Scholar] [CrossRef]
- Sultana, N.; Turkina, E. Foreign direct investment, technological advancement, and absorptive capacity: A network analysis. Int. Bus. Rev. 2020, 29, 101668. [Google Scholar] [CrossRef]
- Prettner, K.; Strulik, H. Innovation, automation, and inequality: Policy challenges in the race against the machine. J. Monetary Econ. 2019, 116, 249–265. [Google Scholar] [CrossRef]
- Hartmann, D.; Bezerra-Hartmann, M.; Lodolo, B.; Pinheiro, F.L. International trade, development traps, and the core-periphery structure of income inequality. EconomiA 2019, 21, 255–278. [Google Scholar] [CrossRef]
- Osabutey, E.L.; Jackson, T. The impact on development of technology and knowledge transfer in Chinese MNEs in sub-Saharan Africa: The Ghanaian case. Technol. Forecast. Soc. Chang. 2019, 148, 119725. [Google Scholar] [CrossRef]
- Ma, S.; Dai, J.; Wen, H. The influence of trade openness on the level of human capital in China: On the basis of environmental regulation. J. Clean. Prod. 2019, 225, 340–349. [Google Scholar] [CrossRef]
- Dahlum, S.; Knutsen, C.H. Do Democracies Provide Better Education? Revisiting the Democracy–Human Capital Link. World Dev. 2017, 94, 186–199. [Google Scholar] [CrossRef] [Green Version]
- Zuazu-Bermejo, I. The growth effect of democracy and technology: An industry disaggregated approach. Eur. J. Politi-Econ. 2018, 56, 115–131. [Google Scholar] [CrossRef]
- Wang, Q.-J.; Feng, G.-F.; Wang, H.-J.; Chang, C.-P. The impacts of democracy on innovation: Revisited evidence. Technovation 2021, 108, 102333. [Google Scholar] [CrossRef]
- Tran, Q.T. Democracy and corporate R&D investment. Borsa Istanb. Rev. 2021, 22, 465–476. [Google Scholar] [CrossRef]
- Ouedraogo, I.; Tabi, H.N.; Ondoa, H.A.; Jiya, A.N. Institutional quality and human capital development in Africa. Econ. Syst. 2021, 46, 100937. [Google Scholar] [CrossRef]
- Dias, J. Human capital demand in Brazil: The effects of adjustment cost, economic growth, exports and imports. EconomiA 2015, 16, 76–92. [Google Scholar] [CrossRef] [Green Version]
- Kim, D.-H.; Lin, S.-C. Human capital and natural resource dependence. Struct. Chang. Econ. Dyn. 2017, 40, 92–102. [Google Scholar] [CrossRef]
- Wu, J.; Ma, Z.; Zhuo, S. Enhancing national innovative capacity: The impact of high-tech international trade and inward foreign direct investment. Int. Bus. Rev. 2017, 26, 502–514. [Google Scholar] [CrossRef]
- Ballestar, M.T.; Díaz-Chao, Á.; Sainz, J.; Torrent-Sellens, J. Knowledge, robots and productivity in SMEs: Explaining the second digital wave. J. Bus. Res. 2019, 108, 119–131. [Google Scholar] [CrossRef]
- Fontes, L.F.; Granitoff, I.; Tai, S.H.T. Export wage premium for south Brazilian firms: Interaction between export, human capital, and export destination. EconomiA 2020, 21, 365–376. [Google Scholar] [CrossRef]
- Wang, M.; Xu, M.; Ma, S. The effect of the spatial heterogeneity of human capital structure on regional green total factor productivity. Struct. Change Econ. Dyn. 2021, 59, 427–441. [Google Scholar] [CrossRef]
- Parman, J. Good schools make good neighbors: Human capital spillovers in early 20th century agriculture. Explor. Econ. Hist. 2012, 49, 316–334. [Google Scholar] [CrossRef]
- Pindado, E.; Sánchez, M.; Verstegen, J.A.; Lans, T. Searching for the entrepreneurs among new entrants in European Agriculture: The role of human and social capital. Land Use Policy 2018, 77, 19–30. [Google Scholar] [CrossRef]
- Albertus, M.; Espinoza, M.; Fort, R. Land reform and human capital development: Evidence from Peru. J. Dev. Econ. 2020, 147, 102540. [Google Scholar] [CrossRef]
- Gillman, M. Steps in industrial development through human capital deepening. Econ. Model. 2021, 99, 105470. [Google Scholar] [CrossRef]
- Zivin, J.G.; Liu, T.; Song, Y.; Tang, Q.; Zhang, P. The unintended impacts of agricultural fires: Human capital in China. J. Dev. Econ. 2020, 147, 102560. [Google Scholar] [CrossRef]
- Kingsbury, I. Making sense of low private returns in MENA: A human capital approach. Int. J. Educ. Dev. 2018, 61, 173–183. [Google Scholar] [CrossRef]
- Aljarallah, R.A. Natural resource dependency, institutional quality and human capital development in Gulf Countries. Heliyon 2020, 6, e04290. [Google Scholar] [CrossRef] [PubMed]
- Agüero, J.M.; Balcázar, C.F.; Maldonado, S.; Ñopo, H. The value of redistribution: Natural resources and the formation of human capital under weak institutions. J. Dev. Econ. 2020, 148, 102581. [Google Scholar] [CrossRef]
- Rahim, S.; Murshed, M.; Umarbeyli, S.; Kirikkaleli, D.; Ahmad, M.; Tufail, M.; Wahab, S. Do natural resources abundance and human capital development promote economic growth? A study on the resource curse hypothesis in Next Eleven countries. Resour. Environ. Sustain. 2021, 4, 100018. [Google Scholar] [CrossRef]
- Mosquera, R. The long-term effect of resource booms on human capital. Labour Econ. 2021, 74, 102090. [Google Scholar] [CrossRef]
- Azarnert, L.V. Immigration, fertility, and human capital: A model of economic decline of the West. Eur. J. Politi-Econ. 2010, 26, 431–440. [Google Scholar] [CrossRef] [Green Version]
- Boikos, S.; Bucci, A.; Stengos, T. Non-monotonicity of fertility in human capital accumulation and economic growth. J. Macroecon. 2013, 38, 44–59. [Google Scholar] [CrossRef]
- Hippe, R.; Perrin, F. Gender equality in human capital and fertility in the European regions in the past. Investig. Hist. Económica 2017, 13, 166–179. [Google Scholar] [CrossRef]
- Samari, G. Education and fertility in Egypt: Mediation by women’s empowerment. SSM-Popul. Health 2019, 9, 100488. [Google Scholar] [CrossRef] [PubMed]
- Kountouris, Y. Higher education and fertility: Evidence from reforms in Greece. Econ. Educ. Rev. 2020, 79, 102059. [Google Scholar] [CrossRef]
- Gershoni, N.; Low, C. The power of time: The impact of free IVF on Women’s human capital investments. Eur. Econ. Rev. 2021, 133, 103645. [Google Scholar] [CrossRef]
- Greene, W. Econometric Analysis; Pearson Hall: Hoboken, NJ, USA, 2010. [Google Scholar]
- Wang, Q. Fixed-Effect Panel Threshold Model using Stata. Stata J. Promot. Commun. Stat. Stata 2015, 15, 121–134. [Google Scholar] [CrossRef] [Green Version]
- Alvarado, R.; Tillaguango, B.; López-Sánchez, M.; Ponce, P.; Işık, C. Heterogeneous impact of natural resources on income inequality: The role of the shadow economy and human capital index. Econ. Anal. Policy 2021, 69, 690–704. [Google Scholar] [CrossRef]
- Wang, Q.; Wang, L. The nonlinear effects of population aging, industrial structure, and urbanization on carbon emissions: A panel threshold regression analysis of 137 countries. J. Clean. Prod. 2020, 287, 125381. [Google Scholar] [CrossRef]
- Abdulqadir, I.A.; Chua, S.Y. Asymmetric impact of exchange rate pass-through into employees’ wages in sub-Saharan Africa: Panel non-linear threshold estimation. J. Econ. Stud. 2020, 47, 1629–1647. [Google Scholar] [CrossRef]
- Nizam, R.; Karim, Z.A.; Sarmidi, T.; Rahman, A.A. Financial Inclusion and Firms Growth in Manufacturing Sector: A Threshold Regression Analysis in Selected Asean Countries. Economies 2020, 8, 80. [Google Scholar] [CrossRef]
- Tsaurai, K. Analysis of the influence of human capital development on foreign investment in BRICS countries using a static panel threshold regression model. Int. J. Bus. Glob. 2018, 21, 261–270. [Google Scholar] [CrossRef]
- Ahsan, H.; Haque, M.E. Threshold effects of human capital: Schooling and economic growth. Econ. Lett. 2017, 156, 48–52. [Google Scholar] [CrossRef] [Green Version]
- Pesaran, M.H. General diagnostic tests for cross-sectional dependence in panels. Empir. Econ. 2021, 60, 13–50. [Google Scholar] [CrossRef]
- Breitung, J.; Das, S. Panel unit root tests under cross-sectional dependence. Stat. Neerlandica 2005, 59, 414–433. [Google Scholar] [CrossRef]
- Westerlund, J. Testing for Error Correction in Panel Data. Oxf. Bull. Econ. Stat. 2007, 69, 709–748. [Google Scholar] [CrossRef] [Green Version]
- Dumitrescu, E.-I.; Hurlin, C. Testing for Granger non-causality in heterogeneous panels. Econ. Model. 2012, 29, 1450–1460. [Google Scholar] [CrossRef] [Green Version]
- Granger, C.W.J. Investigating Causal Relations by Econometric Models and Cross-spectral Methods. Econometrica 1969, 37, 424–438. [Google Scholar] [CrossRef]
Publisher’s Note: MDPI stays neutral with regard to jurisdictional claims in published maps and institutional affiliations. |
© 2022 by the authors. Licensee MDPI, Basel, Switzerland. This article is an open access article distributed under the terms and conditions of the Creative Commons Attribution (CC BY) license (https://creativecommons.org/licenses/by/4.0/).








