Next Article in Journal
Causal Link between Technological Innovation and Inequality Moderated by Public Spending, Manufacturing, Agricultural Employment, and Export Diversification
Previous Article in Journal
Experimental Investigation of Wind Loads on Roof-Mounted Solar Arrays
 
 
Font Type:
Arial Georgia Verdana
Font Size:
Aa Aa Aa
Line Spacing:
Column Width:
Background:
Article

Outdoor Recreation Habits of People in Latvia: General Trends, and Changes during the COVID-19 Pandemic

1
Latvian State Forest Research Institute, “Silava”, 111 Rigas Str., LV-2169 Salaspils, Latvia
2
Faculty of Geography and Earth Sciences, University of Latvia, 1 Jelgavas Str., LV-1004 Riga, Latvia
*
Author to whom correspondence should be addressed.
Sustainability 2022, 14(14), 8478; https://doi.org/10.3390/su14148478
Submission received: 24 May 2022 / Revised: 30 June 2022 / Accepted: 8 July 2022 / Published: 11 July 2022
(This article belongs to the Section Health, Well-Being and Sustainability)

Abstract

:
Outdoor recreation opportunities are crucial for sustaining people’s physical and mental health, and forests are important recreational venues in Europe, especially in its northern part. Our study sought to characterise outdoor recreation patterns and their changes in Latvia due to the COVID-19 pandemic. We conducted a representative population survey with public participatory GIS elements that allowed the respondents to map their favoured recreation destinations. Our results revealed increased visitor numbers to nature areas during COVID-19. The main stated psychosocial factors behind the increased frequency of nature visits are health benefits and lower perceived risks in the context of the pandemic. Forests as areas simultaneously providing multiple ecosystem services have significant importance in providing space for outdoor recreation. Outdoor recreation hotspots concentrate around major urban areas and in some of the largest and most popular nature areas.

1. Introduction

Outdoor recreation is a part of a wider set of people’s interactions with environmental spaces. It has a number of recognised benefits: it contributes to the physical and mental health of people and connects them with their natural and cultural heritage, it broadens their worldview and enhances environmental awareness, and it provides input to local economies and fosters social connections [1,2,3]. It is an important aspect of cultural ecosystem services—non-material benefits people obtain from ecosystems [4].
In northern Europe, the significant share of well-maintained nature areas and green spaces, as well as their accessibility to the general public, combined with long traditions of being in nature, create preconditions for outdoor recreation. Forests, as the most widespread terrestrial ecosystems, are frequent venues for outdoor recreation. Recreation activities in the forest are often combined with non-wood forest product gathering (e.g., mushroom and berry picking), suggesting a close synergy between certain kinds of cultural and provisioning ecosystem services [5]. In Latvia, the situation is similar: survey data from 2017 revealed that 43% of the population visits forests for recreational purposes. Synergies with mushroom and berry picking were also reported; in fact, these activities are often explicitly labelled as recreation. In one of the latest surveys, mushroom picking was even mentioned as the most popular forest recreation activity in summer, while walks were the most popular activity in other seasons [6].
The coronavirus (COVID-19) pandemic was declared a global health emergency in January 2020 [7]. To limit the spread of the virus, governments have implemented more or less stringent social distancing policies, which, along with voluntary behavioural changes, have significantly altered the everyday activities of the population. Among the most prominent changes are reduced domestic and international travel, limitations to business activities, as well as increased time spent at home [8]. While social distancing practices have proved to be effective in reducing the spread of the virus, they are likely to cause severe negative impacts on people’s mental health, such as anxiety, depression, and increased levels of loneliness [7]. The unprecedented situation caused by the pandemic has induced changes in the relationships people form with their environment. Green outdoor spaces have become increasingly important for recreation, exercise, and socialisation. The importance of nature areas and the significantly increased frequency of visits have been highlighted during the COVID-19 pandemic [9,10,11,12,13]. Access to and contact with outdoor spaces has helped people to cope with the negative effects of lockdown on mental health [14,15,16]. Some recent papers have even suggested that forest bathing may help strengthen the immune system against viral infections due to the biogenic volatile compounds (VOCs) emitted by plants [17,18].
In Latvia, during the time period covered by this paper, COVID-19 related emergency situations have been declared twice: on 12 March 2020 (lasting until 10 June 2020) and on 9 November (lasting until 6 April 2021). A number of social distancing requirements remained in place after the end of both periods, including limitations for in-person meetings and public events. During the first period, social distancing measures were introduced. Meetings of only two people at a distance of 2 m were allowed, the services of non-essential services and shops, as well as in-person sport and culture interest groups were suspended, all public events were forbidden, work from home was encouraged, international travel was suspended, and self-quarantine was in place in the case of contact with a person who had tested COVID-19 positive. During the second period, following a rise in the level of infection, increasingly severe restrictions were introduced, limiting in-person meetings to only two people from two households. All public events, as well as sport and culture interest groups were suspended, cultural venues were closed, catering services allowed only for take-away, and education was organised remotely, except for kindergartens [19].
During the pandemic, an increase in visitor frequency to nature areas has been widely reported in Europe, as well as in other regions [9,10,11,12,13]. The situation was similar in Latvia, where several nature trails had to be closed due to the increased visitor flow and impossibility to maintain social distancing measures due to specific infrastructure, for example, narrow trails or steps [20,21]. Kravalis et al. [22] analysed the offer of outdoor recreational activities in Latvia during COVID-19, as well as the change in visitor numbers to recreational venues (nature trails, skiing trails, and recreational horse-riding facilities). They concluded that the number of visitors substantially increased in all three types of studied recreational venues. The increased frequency of visits to nature areas during the pandemic has caused a number of problems. McGinlay et al. [23] highlight overcrowding, problematic behaviour, and conflicts between different user groups. Increased human presence in forests has altered the movement patterns of wild animals [24]. Other possible implications include increased soil erosion on steeper slopes, changes in plant communities due to trampling, soil compaction and trail widening, and uncharacteristic animal behaviour due to littering, all reported in nature areas both in Europe and overseas [25,26,27].
The aim of our study was to characterise the patterns of outdoor recreation in Latvia and to identify changes due to the COVID-19 pandemic. We stated the following research questions: What are the preferred types and locations of nature areas used for outdoor recreation in Latvia? What activities do people engage in there? Have their nature recreation preferences changed due to COVID-19?

2. Materials and Methods

Latvia is located in the hemiboreal zone, on the eastern shore of the Baltic Sea [28]. The length of the coastline is 496 km. The country’s land area equals 64,589 km2, 53% of it being forest land. The main tree species are Scots pine (dominant on 33% of the forest area), silver and downy birch (dominant on 30% of the forest area), and Norway spruce (dominant on 19% of the forest area) [29]. There is unlimited accessibility to state forest areas that comprise slightly more than one half of all forests, but private forest owners may limit visits to their forests, however, in such cases, barriers and/or informative signs must be used [30]. Forests are easily accessible: mean road network density (1.09 km km−2) corresponds to the mean index of the European Union [31], and road density in state forests even slightly exceeds the country average [32]. Visitor access may be prohibited in nature protection areas, especially strict protection regime zones.
Protected terrestrial nature areas in Latvia include, among others, four national parks, 42 nature parks, nine protected landscape regions, 261 nature reserves, and four strict nature reserves. There are 333 areas included in the European protected area network Natura 2000 that make up 12% of the total land area. There is also one biosphere reserve with a less stringent protection regime that occupies another 7% of the land area (Figure 1).
We were interested in nationwide trends; therefore, we chose to conduct a representative population survey, and due to costs and the pandemic, we opted for an online solution. The survey covered 1500 valid responses, which is a representative dataset for our desired national level scale (margin of error 3%). At the beginning of 2021, the total population in Latvia was 1,893,223 [33]. The survey questions were developed by researchers of the Latvian State Forest Research Institute ‘Silava’. The services of a professional survey company (KANTAR, Ltd., TNS Latvia, Rīga, Latvia) were used to distribute the survey and to obtain a representative dataset. No private or identifiable information about the respondents was shared with the research team, and all survey data were formatted according to the standard rules of EU GDPR regulations [34]. The survey was conducted between 24 February 2021 and 1 March 2021. The full survey consisted of 18 questions combining multiple-choice and open-ended questions pertaining to types of outdoor nature areas visited, purpose of the visits, frequency of visits and change of frequency during the last one and a half years, activities pursued, as well as overall satisfaction with the recreational amenities in the area, including suggestions for their improvement. One interactive question with a PPGIS element (public participatory geographic information system) was included—respondents were asked to locate their most often visited or favourite nature area on an interactive map (Open Street map embedded in the survey form) and to place a corresponding point or “pin”. This process created a set of coordinates, which were assigned uniquely to each respondent. In addition, we collected demographic data (age, gender, nationality, main language used at home, place of residence (rural, capital, or other cities), and education level). Our sample is representative of Latvia’s population in general (Table 1).
We used R for statistical analysis and visual representations of our results [35]. We assessed the impacts of COVID-19 on recreational habits of different respondent groups with the Pearson’s chi-squared test. This test is utilised for independence comparisons between two variables in a contingency table in order to find significant relations. From the total valid responses (n = 1500), the analysis would not be conducted on respondent answer rows which answered the first (validating) question (“Why do you visit nature areas?”) with the answer “I do not visit nature areas”, thus automatically skipping most of the relevant analysis questions—these rows would be considered as NA. The Tidyverse and CGP packages were used to conduct the cross tabulation and final analysis.
We utilised ArcGIS Pro software for analysing the spatial component of the survey. Raw point coordinate data was imported together with the relevant survey questions directly into ArcGIS. A quality check was done to ensure that respondents (who had previously answered the validating question with a positive answer) had placed their selected points within the borders of Latvia (removing false, error-based or irrelevant points for the purpose of our study). No other spatial data manipulations were made during the final import. Thus, the total number of valid public participatory GIS component data points in our survey was n = 1039.
To determine the spatial clustering of nature area visits, we utilised the Getis-Ord Gi* statistic through the Optimised Hotspot Analysis tool in ArcGIS Pro. The method identifies statistically significant spatial clusters of high values, or “hot spots”. Inputs in this study were the survey data points joined spatially with tessellated hexagon grids covering the whole study area (cell size: 10 km). The analysed field for determining hot spots was the count of data points in each hexagon cell. The distance band for determining hotspots in the grid was set to 10 km. This parameter determines the search area in the neighbourhood of adjacent hexagon cells. We chose this distance to have a broader visualisation of hotspot distribution—lowering this distance band value would increase the amount of more concentrated, smaller hotspots throughout the study area.
CORINE Land Cover 2018 was used to assess the spatial spread of respondent data points across aggregated land use categories. In total, 8 CORINE land cover classes were aggregated from a total number of 28 classes (Table 2). Additionally, to create visual material, we used data obtained from the Nature Protection Agency of Latvia, the LVM GEO platform, and the GIS Latvia dataset, developed by Envirotech.

3. Results

3.1. Purpose of Nature Visits

Of all the respondents (n = 1500), 1152 (or 77%) people visit nature areas, but 348 people (or 23% of all respondents) do not. Of those who visit nature areas, an absolute majority (95%) visit them for recreational purposes. The other 6% who do not seek recreation in nature for themselves, visit nature areas to bring someone else there. For 3% of nature area visitors, visits are related to their work. A small number, 2% of nature area visitors, have listed other reasons: living in nature areas, picking berries and mushrooms, walking the dog, hunting, participating in orienteering competitions, exercising, taking photos, and geocaching (Figure 2). These can be considered duplicates for the next series of questions in the survey.
Despite the slightly higher representation of women in the respondent pool (52% vs. 48%), there is still a general trend of more women than men visiting nature areas (54% vs. 46%) in nearly all age groups, except 45–54 year olds, where the proportion of men visiting nature areas substantially exceeds that of women.
Respondents living in rural areas tend to be less interested in visiting nature areas, while inhabitants of the capital, Rīga, are most interested in nature visits. Of all respondents living in Rīga, 81% indicated that they visited nature areas. For other cities, this percentage was 77%, but for rural areas it was 72%. People who speak Latvian at home tend to visit nature areas more (58% of respondents, as compared to 41% of respondents who use the Russian language at home).

3.2. Frequency of Visits to Nature Areas

The most reported frequency of nature area visits is two-three times per month and also less than once a month (24% of respondents in both cases). A total of 19% of respondents visit nature areas several times per week, 18% of respondents—once a week, and 15% of respondents—once a month. Nature visits together with family and children are slightly more frequent, referring to 48% of those respondents who visit nature areas at least once a week, to 51% of those who visit nature areas one to three times per month, and to 44% of those who visit nature areas less frequently than once per month.
People living in Rīga tend to form the largest share of those who visit nature areas once a month or less frequently (38–41%), but among those who visit nature areas several times a week, inhabitants of rural areas constitute the highest share (42%).

3.3. Types of Visited Areas

Forest areas with and without specific recreational amenities are the most popular destinations of nature visits (mentioned by 30% and 27% of respondents, respectively), closely followed by the coast of the Baltic Sea (26%) and other waterbodies (21%). Forest parks (mostly located in urban or peri-urban areas) are the next most popular destinations (16%). Wetlands, grasslands and other nature areas are each mentioned by 4% of the respondents (Figure 3). “Other” was specified mainly as country cottages with gardens, parks, botanical gardens, roads with little traffic, cycling and skiing trails, as well as an industrial area (promenade along Riga hydropower plant).
Forest areas with specific amenities tend to be visited slightly more often. Families with children are the most frequent visitors to both types of forest areas, but areas with recreational amenities seem to be favoured to a greater extent. This group constitutes 52% of all visitors to areas with recreational amenities and 42% of all visitors to areas without recreational amenities. Areas without recreational amenities are more favoured by individual visitors as compared to areas with amenities (39% vs. 19%, respectively). Few respondents choose to visit both types of forest areas—only 3% of those visiting areas with amenities also visit areas without them, and the percentage is the same if the types of destinations are reversed. We asked respondents to indicate the two most frequently visited types of nature areas, and the most frequent pairings with forests with specific recreational amenities were the coast, forest parks, and other waterbodies, but the most frequent pairings with forests without specific recreational amenities were other waterbodies and the coast. Generally, pairings occurred less in the second case.

3.4. Recreational Activities

The most frequently pursued recreational activities in outdoor areas are walks (also walks together with children or walks with dogs), nature observation, foraging, and meditation (Figure 4).
Generally, walks tended to be more popular among women than among men (58% vs. 42% of respondents), and exactly the same trend was true for walks with children. Cycling, as well as jogging and orienteering, tended to be more popular among men (57% vs. 43% and 56% vs. 44% of respondents). Foraging, nature observation and meditation, and contemplative practices were somewhat more popular among women, but the differences were hardly overwhelming (53% vs. 47%, 55% vs. 45%, and 56 vs. 44%, respectively). The recreational activity that was most explicitly gendered was hunting and fishing—pursued by 79% of male respondents and 21% of female respondents.
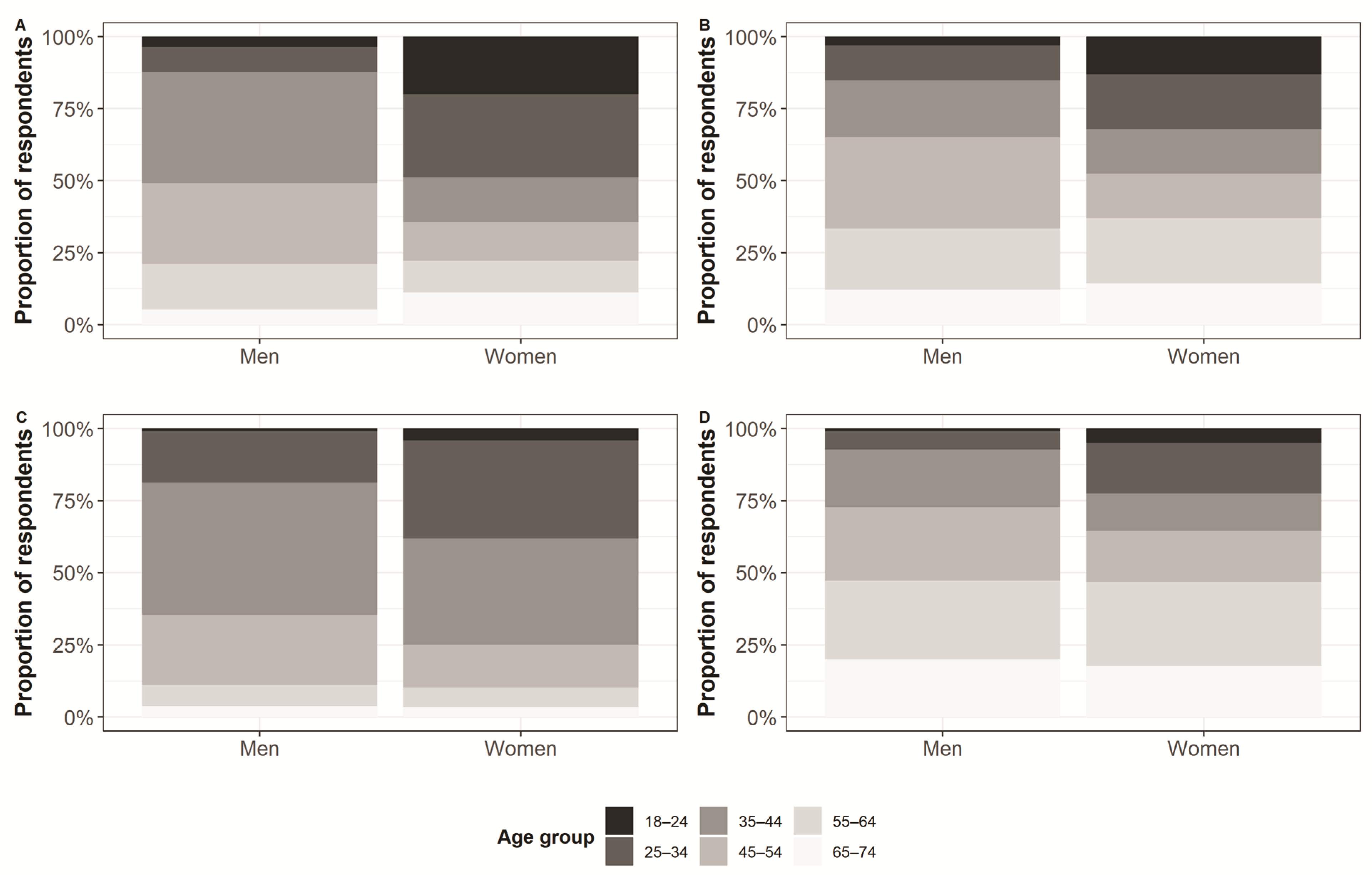
Different recreational activities are pursued to a different extent in various stages of life, moreover, trends differ by gender. For example, for women, engagement in meditation and contemplative practices is more evenly distributed across all age groups, while for men, this type of outdoor recreation seems to be most important at the age of 45–54 years (Figure 5B). In addition, interest in active recreation, taking cycling as an example, differs across age groups. Among men, it is most popular at the age of 35–44 years, but among women—in the previous life decade (Figure 5A). The interest and/or engagement in walks with children for women markedly rises in the age group 25–34 years and is even slightly higher during the next ten years. For men, there is a delay—engagement in this activity peaks at the age group 35–44 years (Figure 5C). Foraging for non-wood forest products (mainly berries and mushrooms) is more popular among older people of both genders, and at a younger age (18–35 years) it is pursued more often by women than by men (Figure 5D).

3.5. Observed and Stated Impacts of COVID-19 on Recreational Activity

We inquired whether the respondents had increased the number of visits to nature areas after March 2020 and examined four main possible factors for the distribution of answers: type of residence (capital city, other urban areas, and rural areas) and three demographical factors—gender, age, and education. We utilised cross-tabulated chi-square analysis and compared the resulting χ2, Cramer’s V and p values (Table 3). Even though Cramer’s V values were low to medium, the results indicated that, comparatively, the most important influencing factors for change in visits to nature areas after March 2020 were the respondents’ indicated type of residence (capital city Rīga, vs. other cities and rural areas) and age. Both of these factors are statistically significant (p < 0.001). Respondents from Rīga (capital city, major urban centre) reported both an increase and a decrease of nature visits more frequently than respondents from other types of residence.
We also asked respondents whether they have observed increased visitor numbers in nature areas. Slightly more than half (51%) of all respondents found that visitor numbers had increased in their favoured or most often visited nature area. 22% had observed no increase but 27% found it difficult to determine.

3.6. Spatial Analysis of Map Points of Respondents’ Most Visited Nature Areas

Out of 1039 survey data points representing respondents’ most visited nature areas in 2020, 277 were placed in nature protection areas (considered to be visited for their designation as such areas). A total of 301 points were in the vicinity of major urban areas (delineated by the polygon features of the municipality).
Based on the CORINE Land Cover 2018 raster data layer, we identified that 450 points were located in a combined land cover class of broadleaved/coniferous/mixed forest and transitional woodland-shrub, while 199 points were placed in areas defined as continuous or discontinuous urban fabric. A total of 193 points were placed in rural areas defined as non-irrigated arable lands, pastures, and complex cultivation patterns. Green urban area land cover accounted for the placement of 69 points. Water courses and water bodies had 50 points. Coastal areas (combined class of beaches, dunes, and sea areas) had 46 points. Peatland marshes and bogs accounted for 32 points. This analysis should not be compared directly to the respondents’ answers on their defined recreational area, but it provides a similar picture of the spatial spread of favourite/most visited nature areas—forest areas and urban areas are dominant throughout. Respondents indicating visits to urban areas, or some of the most popular nature areas generally indicated that they had observed increased visitor numbers (Figure 6).
The results of the spatial analysis clearly indicated several hotspots of nature visits (Figure 7). The hotspots concentrate in/around urban areas, most explicitly, the capital Rīga, but also the next largest cities Daugavpils, Liepāja, Ventspils, Jelgava, and Rēzekne. Another important type of recreational hotspot is located in nature parks and protected areas, for example, Gauja National Park, Ķemeri National Park, and also Engure Lake Nature Park. Another frequently visited venue is Tērvete Nature Park, located in a state forest and providing a wide range of recreational opportunities and zones with various degrees of recreational amenities. There is no clear indication of whether recreational points of interest (managed by state forests and other agencies) have an impact on the distribution of hotspots. Several nature park areas contained no generated hotspots.

4. Discussion

In general, positive effects of outdoor recreation on health have been recognised in a number of studies globally [36,37,38] and also in Latvia where a health study of elderly people provided evidence that cycling, skiing, or Nordic walking increased positive emotions (joy, excitement) and reduced negative emotions (anger, sadness) [39]. Another, more recent study by Mezgaile et al. [40] that conducted on-line surveys and focus group discussions among youth groups visiting a biosphere reserve in Latvia indicated that nature visits help respondents to socialise and escape from their daily routine, as well as serve as a stress-reducing activity. Our results and research premise were focused on a clear understanding of the beneficial effects of outdoor recreational activities in the context of social distancing and other COVID-19 pandemic pressures in Latvia.
A number of recent studies globally [10,41,42] indicate an increase in nature visits during the pandemic and its restrictions. This is true in Latvia as well; and, according to our results, nature visits are especially important for urban dwellers, markedly so for inhabitants of the capital city Rīga, even though their visits may be slightly less frequent than those from other types of residence. Nearly a quarter of all our respondents have tended to spend more time in nature since March 2020. Half of all respondents also indicated that they have noticed an increase in visitor numbers in the nature area they mostly use for recreation. Specific comments received as responses to open-ended questions pointed in several directions, as related to the change in recreational habits of those respondent groups who experienced them. Several comments indicated that going into nature helped “to clear one’s head” when working remotely. Another motivation for visiting outdoor areas was the inaccessibility of other recreational venues. There were comments related to the overall beneficial nature of outdoor visits, as well as a remark that nature areas, especially forests, provide a higher level of safety during the pandemic. Some respondents, however, admitted that they avoid more popular recreation areas due to large visitor numbers and increased epidemiological risks.
Mateer et al. [43] identify five psychosocial factors—perceived risk, social norms, recommendations from authority, health benefits, and lifestyle adjustments—as constructs determining individuals’ outdoor recreation behaviours during COVID-19. The comments received in our survey point towards two of these constructs—health benefits and perceived risk. The study by Lenaerts et al. [11] in Belgium indicated significant mental and emotional wellbeing aspects, showing that half of the respondents felt more relaxed and less anxious after visits, regardless of the type of nature area they visited, and our results point towards similar effects. In the UK, results from Robinson et al. [13] highlight the increased importance of green spaces and overall positive effects on mental health resulting from nature area visits during the pandemic. Being in nature has positively impacted the subjectively perceived well-being of university students in Finland, especially when confronted with unprecedented stressors, such as COVID-19 [15]. Similar positive effects were observed among adolescents in the United States [16].
With the onset of the pandemic and resulting restrictions, people’s mobility has been negatively impacted all over the world [44]. Rice et al. [45] concluded that due to mobility restrictions, the frequency of visits to nature areas decreased, especially for urban dwellers. While longer distance travel has been significantly suspended, recreation venues located closer to urban areas, or even within urban spaces, have become increasingly popular [12], also for specific activities such as, for example, bird-watching [46]. Our results confirmed the importance of the accessibility of the recreational venue and, to some extent, also the existence of certain traditions in the choice of place to visit. People mostly choose either popular, established recreational venues, such as nature parks, or areas close to large cities and major roads. Consequently, these areas bear the greatest impact of increased visitor flows and are subject to a number of negative impacts, such as littering or infrastructure damage. Several respondents mentioned in the open-ended comments of this survey the increase in visitor numbers as a negative effect. Another study by Jūrmalis et al. [47] found that during the winter holiday season 2020/2021, littering, along with forest felling, was one of the most often observed negative aspects observed by the visitors of forest recreational areas.
The engagement of the respondents in different recreational activities depends on their participation in other aspects of life. Our data suggest that engagement in all types of outdoor recreation activities for women markedly drops after the age of 34 years. This trend is likely related to other duties—involvement in family life and raising children. Generally, differences in engagement tended to diminish with age, and, contrary to Sjögren and Stjernberg [48], who found that, after the age of 66, increasing age affects the ability of women to engage in outdoor recreation activities more negatively than that of men, we did not detect lower participation rates of elderly women (aged 65–74 years) in most of the outdoor recreation activities.
According to Fagerholm et al. [49], outdoor recreation during the pandemic has mostly increased in places offering varied cultural ecosystem service benefits. This, again, highlights the importance of forests, as forest areas either offer multiple ecosystem services on their own or constitute part of larger nature areas, such as nature parks, often designed and maintained to fulfil various ecosystem functions. Forests are definitely among the most frequently visited nature areas in Europe, as indicated by, for example, Pichlerová et al. [27], Weinbrenner et al. [50], and Derks et al. [9]. During the onset of the pandemic, the importance of forest areas, especially urban and peri-urban forests, has markedly increased [27,42,51]. Our data support these findings. Considering the already observed changes in the meaning and perception of outdoor nature areas, generally, and forests, specifically [50], further studies should increasingly apply an interdisciplinary approach, striving to better understand the formation and shift of links between people and their environment. In addition, future research should provide practical knowledge how to manage the green spaces for multiple benefits and avoid or mitigate excessive pressures.
Cultural ecosystem services, including recreational activity opportunities provided by forests, are intangible and, to a much greater extent, dependent on social constructs than the other ecosystem service groups [52]. Therefore, their studies are often interdisciplinary and involve approaches commonly used both in environmental and social sciences. This is highlighted in our study by employing environmental and geographic data and employing social studies aspects for the survey.
The existing studies on recreation trends, especially the recent ones focusing on the impacts of the COVID-19 pandemic, employ datasets of varying coverage and complexity and utilise different combinations of methods. Surveys are the most frequently utilised means of data collection, and they may be addressed either to the visitors of specific nature areas as in the study by, e.g., Grima et al. [10], or to the general population of a country or region, as, for example, in Morse et al. [12]. In our case, a comprehensive and nationally representative dataset was available, and we used both descriptive analysis of survey responses, as well as spatial statistics for identifying the hotspots of most visited nature areas.
Largely depending on the research aim and focus area, the approaches to survey deployment and respondent group coverage differ markedly. Some studies share survey links or paper forms in specific social media spheres, use e-mail lists, or conduct in person (on-site) interviews, but other studies, including ours, utilise a professional platform that avoids constraining gathered data to certain specialist or niche groups of respondents. Instead of focusing on the visitors of some specific recreational area or a group of people engaged in some specific activity, we were interested in general trends in outdoor recreation on a national level. Certain issues of a biased population sample still include the online/electronic aspect, since any kind of computer or smartphone web survey will exclude parts of the population that do not utilise such devices and services. Skewness of population distribution in Latvia caused the spatial aspect of our data to be “absolute”—urban populations in Riga dominate the respondent base, thus, not allowing us to explore nuanced issues in smaller urban centres and rural areas, which can be considered a drawback, though use of specifically targeted regional surveys can be deployed in the future to examine specific areas of Latvia’s nature tourism and recreational preferences.
A complex set of statistical methods and remote sensing technologies have also been applied by other studies, for example, by Robinson et al. [13], who encompassed spatial elements of recreational preference demands and supply, utilising postal code geolocations of survey respondents and remote sensing technologies, for assessing natural vegetation around each buffered spatial point of the respondent’s postal code. Considering the GIS element of our research, we can find similar approaches used in multiple examples [49,51], though there are no singular ways of gathering recreational activity data. As compared with data gathering methods such as GPS point collection through trackers or apps, and sophisticated use of big data (cellular service activity, social media posts), targeted, representative map-based surveys can be cost-effective and provide complex blocks of answers for each individual respondent on a national scale. In terms of spatial data quality, the respondent might place a point with some degree of error or uncertainty on their part, but this potential negative can be offset by combining all the other questionnaire blocks (qualitative textual comments, for example).
Our data highlight the heterogeneous nature of the spatial distribution of recreational activities on a national scale, suggesting that attention needs to be focused on peri-urban forests and other natural ecosystems near the major urban centres. Popularisation of more remote areas could be a solution for balancing recreational pressures on a national scale. These issues are clearly amplified by the COVID-19 pandemic and serve as possible precursors for further events. We do not explicitly distinguish between protected/managed nature areas and public/private areas, to avoid biasing our research towards a certain type of visitor or type of area. This could provide a broader, holistic view on our data. Moreover, Latvian results might, to an extent, be attributed to some neighbouring countries or, at least, serve as a basis for comparison.

5. Conclusions

Visiting frequency to nature areas in Latvia has increased due to the COVID-19 pandemic, and forests, as areas providing multiple ecosystem services, are especially important green spaces for recreation.
Among the varied activities people pursue in nature areas, walks are evidently the most popular. Engagement in different recreational activities depends on the respondent’s age and gender.
Recreational activities are unevenly distributed on a spatial scale in Latvia, concentrating around urban centres and some of the most popular nature parks, revealing accessibility and certain cultural traditions as influencing factors.

Author Contributions

Conceptualization, Z.L. and E.J.; methodology, E.J.; software, E.J.; writing—original draft preparation, Z.L., E.J. and A.B.; writing—review and editing, Z.L. and E.J.; visualization, E.J.; supervision, Z.L.; project administration, A.B. All authors have read and agreed to the published version of the manuscript.

Funding

This research was funded by the Latvian Council of Science, project “Forest management challenges under increased recreational pressure in the time of COVID-19 crisis”, project No. lzp-2020/2-0167.

Institutional Review Board Statement

Not applicable.

Informed Consent Statement

Informed consent was obtained from all subjects involved in the study.

Data Availability Statement

Opensource data set of aggregated survey respondent placed points, identifying potential hotspots of nature area popularity and intensity of visits is available on https://www.researchgate.net/project/Forest-management-challenges-under-increased-recreational-pressure-in-the-time-of-COVID-19-crisis/update/61efd66db3729f0f61a3df29 (accessed on 22 May 2022).

Conflicts of Interest

The authors declare no conflict of interest.

References

  1. Frumkin, H.; Bratman, G.N.; Breslow, S.J.; Cochran, B.; Kahn, P.H.; Lawler, J.J., Jr.; Levin, P.S.; Tandon, P.S.; Varanasi, U.; Wolf, K.L. Nature contact and human health: A research agenda. Environ. Health Perspect. 2017, 125, 075001. [Google Scholar] [CrossRef] [PubMed] [Green Version]
  2. Hartig, T.; Mitchell, R.; de Vries, S.; Frumkin, H. Nature and health. Annu. Rev. Public Health 2014, 36, 207–228. [Google Scholar] [CrossRef] [PubMed] [Green Version]
  3. Wolsko, C.; Lindberg, K.; Reese, R. Nature-based physical recreation leads to psychological well-being: Evidence from five studies. Ecopsychology 2019, 11, 222–235. [Google Scholar] [CrossRef]
  4. Millennium Ecosystem Assessment. In Ecosystems and Human Well-Being: Synthesis; Island Press: Washington, DC, USA, 2005; 155p.
  5. Kettunen, M.; Vihervaara, P.; Kinnunen, S.; D’Amato, D.; Badura, T.; Argimon, M.; Ten Brink, P. Socio-Economic Importance of Ecosystem Services in the Nordic Countries; TemaNord: Copenhagen, Denmark, 2012; Volume 559, p. 290. [Google Scholar]
  6. Donis, J. Recreation preferences in different seasons. In The Impact of Forest Management on Forest and Related Ecosystem Services; Lībiete, Z., Ed.; Report on 2018 Results of the Research Program; LSFRI: Silava, Latvia, 2019; 225p. (In Latvian) [Google Scholar]
  7. Mental Health and COVID-19. Available online: https://www.euro.who.int/en/health-topics/health-emergencies/coronavirus-covid-19/publications-and-technical-guidance/noncommunicable-diseases/mental-health-and-covid-19 (accessed on 23 May 2022).
  8. Soga, M.; Evans, M.J.; Cox, D.T.C.; Gaston, K.J. Impacts of the COVID-19 pandemic on human-nature interactions: Pathways, evidence and implications. People Nat. 2021, 3, 518–527. [Google Scholar] [CrossRef]
  9. Derks, J.; Giessen, L.; Winkel, G. COVID-19-induced visitor boom reveals the importance of forests as critical infrastructure. For. Policy Econ. 2020, 118, 102253. [Google Scholar] [CrossRef]
  10. Grima, N.; Corcoran, W.; Hill-James, C.; Langton, B.; Sommer, H.; Fisher, B. The importance of urban natural areas and urban ecosystem services during the COVID-19 pandemic. PLoS ONE 2020, 15, e0243344. [Google Scholar] [CrossRef]
  11. Lenaerts, A.; Heyman, S.; De Decker, A.; Lauwers, L.; Sterckx, A.; Remmen, R.; Bastiaens, H.; Keune, H. Vitamin nature: How coronavirus disease 2019 has highlighted factors contributing to the frequency of nature visits in Flanders, Belgium. Front. Public Health 2021, 9, 646568. [Google Scholar] [CrossRef]
  12. Morse, J.W.; Gladkikh, T.M.; Hackenburg, D.M.; Gould, R.K. COVID-19 and human-nature relationships: Vermonters’ activities in nature and associated nonmaterial values during the pandemic. PLoS ONE 2020, 15, e0243697. [Google Scholar] [CrossRef]
  13. Robinson, J.M.; Brindley, P.; Cameron, R.; MacCarthy, D.; Jorgensen, A. Nature’s role in supporting health during the COVID-19 pandemic: A geospatial and socioecological study. Int. J. Environ. Res. Public Health 2021, 18, 2227. [Google Scholar] [CrossRef]
  14. Pouso, S.; Borja, Á.; Fleming, L.E.; Gómez-Baggethun, E.; White, M.P.; Uyarra, M.C. Contact with blue-green spaces during the COVID-19 pandemic lockdown beneficial for mental health. Sci. Total Environ. 2021, 756, 143984. [Google Scholar] [CrossRef]
  15. Puhakka, R. University students’ participation in outdoor recreation and the perceived well-being effects of nature. J. Outdoor Recreat. Tour. 2021, 36, 100425. [Google Scholar] [CrossRef]
  16. Jackson, S.B.; Stevenson, K.T.; Larson, L.R.; Peterson, M.N.; Seekamp, E. Outdoor activity participation improves adolescents’ mental health and well-being during the COVID-19 pandemic. Int. J. Environ. Res. Public Health 2021, 18, 2506. [Google Scholar] [CrossRef]
  17. Roviello, V.; Roviello, G.N. Lower COVID-19 mortality in Italian forested areas suggests immunoprotection by Mediterranean plants. Environ. Chem. Lett. 2020, 19, 699–710. [Google Scholar] [CrossRef]
  18. Roviello, V.; Roviello, G.N. Less COVID-19 deaths in southern and insular Italy explained by forest bathing, Mediterranean environment, and antiviral plant volatile organic compounds. Environ. Chem. Lett. 2021, 20, 7–17. [Google Scholar] [CrossRef] [PubMed]
  19. End of State of Emergency, Multiple Restrictions to Remain. Available online: https://www.lsm.lv/raksts/zinas/latvija/latvija-beidzas-covid-19-arkarteja-situacija-daudzi-ierobezojumi-paliek-speka.a363101/ (accessed on 23 May 2022).
  20. Closing of Nature Trails and Observation Towers Due to COVID-19. Available online: https://www.lvm.lv/jaunumi/4998-drosa-atputa-lvm-mezos-sledz-sauras-purva-takas-un-skatu-tornus (accessed on 23 May 2022).
  21. Lockdown on Several Recreational Objects. Available online: https://www.varam.gov.lv/lv/jaunums/covid-19-mazinasanai-noteikto-ierobezojumu-del-slegtas-vairakas-dabas-takas-un-skatu-torni (accessed on 23 May 2022).
  22. Kravalis, I.; Ciekurs, K.; Ropa, A. Offer of outdoor recreational activities in Latvia during COVID-19 pandemic. LASE J. Sport Sci. 2021, 11, 86–100. [Google Scholar]
  23. McGinlay, J.; Gkoumas, V.; Holtvoeth, J.; Fuertes, R.F.A.; Bazhenova, E.; Benzoni, A.; Botsch, K.; Martel, C.C.; Sánchez, C.C.; Cervera, I.; et al. The Impact of COVID-19 on the Management of European Protected Areas and Policy Implications. Forests 2020, 11, 1214. [Google Scholar] [CrossRef]
  24. Olejarz, A.; Faltusová, M.; Güldenpfennig, J.; Silovský, V.; Ježek, M.; Podgórski, T. Movements in the forest during COVID-19 lockdown in the Czech Republic: Interaction between humans and wild boars. In Proceedings of the 1st ACM SIGSPATIAL International Workshop on Animal Movement Ecology and Human Mobility: HANIMOB ’21, Beijing, China, 2 November 2021. [Google Scholar] [CrossRef]
  25. Jacobs, L.A.; Sidder, S.A.; Baker, J.; Bredeweg, E.M.; Allende, R.; D’Antonio, A. A recreation ecology perspective on the COVID-19 (SARS-CoV-2) pandemic: Potential parks and protected area impacts relating to visitor spatial use, terrestrial flora and fauna, and management. Parks Steward. Forum 2021, 37, 368–378. [Google Scholar] [CrossRef]
  26. Miller-Rushing, A.J.; Athearn, N.; Blackford, T.; Brigham, C.; Cohen, L.; Cole-Will, R.; Edgar, T.; Ellwood, E.R.; Fisichelli, N.; Pritz, C.F.; et al. COVID-19 pandemic impacts on conservation research, management, and public engagement in US national parks. Biol. Conserv. 2021, 257, 109038. [Google Scholar] [CrossRef]
  27. Pichlerová, M.; Önkal, D.; Bartlett, A.; Výbošt’ok, J.; Pichler, V. Variability in forest visit numbers in different regions and population segments before and during the COVID-19 pandemic. Int. J. Environ. Res. Public Health 2021, 18, 3469. [Google Scholar] [CrossRef]
  28. Latvia Climate. Available online: https://videscentrs.lvgmc.lv/lapas/latvijas-klimats (accessed on 23 May 2022).
  29. Forest Sector Statistics and Facts. Available online: https://www.zm.gov.lv/public/ck/files/ZM/mezhi/buklets/skaitlifakti_LV_2021.pdf (accessed on 23 May 2022).
  30. Law on Forests. Available online: https://likumi.lv/ta/en/en/id/2825 (accessed on 23 May 2022).
  31. Road Classifications in Latvia. Available online: https://lvceli.lv/en/road-network/construction-and-maintenance/classification-of-roads/ (accessed on 23 May 2022).
  32. Forest Infrastructure. Available online: https://www.lvm.lv/biznesa-partneriem/profesionaliem/infrastruktura/infrastrukturas-attistiba-gravji-celi/mac-mms-attistiba-mms-uzturesana (accessed on 23 May 2022).
  33. Results of External Migration Survey. Available online: https://www.csb.gov.lv/en/statistics/statistics-by-theme/population/migration/search-in-theme/392-results-external-migration-survey (accessed on 23 May 2022).
  34. Regulation (EU) 2016/679 (General Data Protection Regulation). Available online: https://gdpr.eu/tag/gdpr/ (accessed on 23 May 2022).
  35. R Core Team. R, release 3.4.3 (November 2017) for Windows. In R: A Free Software Environment for Statistical Computing and Graphics; R Foundation for Statistical Computing: Vienna, Austria, 2017; Available online: https://www.r-project.org (accessed on 15 February 2022).
  36. Korpela, K.; Ylén, M.; Tyrväinen, L.; Silvennoinen, H. Favorite green, waterside and urban environments, restorative experiences and perceived health in Finland. Health Promot. Int. 2010, 25, 200–209. [Google Scholar] [CrossRef] [Green Version]
  37. Mitchell, R.; Popham, F. Effect of exposure to natural environment on health inequalities: An observational population study. Lancet 2008, 372, 1655–1660. [Google Scholar] [CrossRef] [Green Version]
  38. Richardson, E.A.; Mitchell, R.; Hartig, T.; de Vries, S.; Astell-Burt, T.; Frumkin, H. Green cities and health: A question of scale? J. Epidemiol. Community Health 2012, 66, 160–165. [Google Scholar] [CrossRef] [PubMed] [Green Version]
  39. Kundziņa, I.; Grants, J. Outdoor recreation and well-being of 45–55 years old people. LASE J. Sport Sci. 2014, 5, 110–116. [Google Scholar] [CrossRef]
  40. Mezgaile, A.; Grinberga, K.; Singh, N.; Livina, A. A Study on youth behavior towards the North Vidzeme Biosphere Reserve in Latvia. J. Environ. Manag. Tour. 2021, 12, 1171–1178. [Google Scholar] [CrossRef]
  41. Lu, Y.; Zhao, J.; Wu, X.; Lo, S.M. Escaping to nature during a pandemic: A natural experiment in Asian cities during the COVID-19 pandemic with big social media data. Sci. Total Environ. 2021, 777, 146092. [Google Scholar] [CrossRef]
  42. Venter, Z.S.; Barton, D.N.; Gundersen, V.; Figari, H.; Nowell, M. Urban nature in a time of crisis: Recreational use of green space increases during the COVID-19 outbreak in Oslo, Norway. Environ. Res. Lett. 2020, 15, 104075. [Google Scholar] [CrossRef]
  43. Mateer, T.J.; Rice, W.L.; Taff, B.D.; Lawhon, B.; Reigner, N.; Newman, P. Psychosocial factors influencing outdoor recreation during the COVID-19 pandemic. Front. Sustain. Cities 2021, 3, 621029. [Google Scholar] [CrossRef]
  44. Nouvellet, P.; Bhatia, S.; Cori, A.; Ainslie, K.E.C.; Baguelin, M.; Bhatt, S.; Boonyasiri, A.; Brazeau, N.F.; Cattarino, L.; Cooper, L.V.; et al. Reduction in mobility and COVID-19 transmission. Nat. Commun. 2021, 12, 1090. [Google Scholar] [CrossRef]
  45. Rice, W.L.; Mateer, T.J.; Reigner, N.; Newman, P.; Lawhon, B.; Taff, B.D. Changes in recreational behaviors of outdoor enthusiasts during the COVID-19 pandemic: Analysis across urban and rural communities. J. Urban. Ecol. 2020, 6, juaa020. [Google Scholar] [CrossRef]
  46. Randler, C.; Tryjanowski, P.; Jokimäki, J.; Kaisanlahti-Jokimäki, M.-L.; Staller, N. SARS-CoV2 (COVID-19) pandemic lockdown influences nature-based recreational activity: The case of Birders. Int. J. Environ. Res. Public Health 2020, 17, 7310. [Google Scholar] [CrossRef]
  47. Jūrmalis, E.; Bārdule, A.; Lībiete, Z. COVID-19 induced changes in outdoor recreation habits in Latvia during winter holiday season of 2020/2021. In Proceedings of the 10th International Scientific Conference “Rural Development 2021: Challenges for Sustainable Bioeconomy and Climate Change, Kaunas, Lithuania, 21–23 September 2021; Vytautas Magnus University Agriculture Academy: Kaunas, Lithuania, 2021; pp. 220–225. [Google Scholar] [CrossRef]
  48. Sjögren, K.; Stjernberg, L. A gender perspective on factors that influence outdoor recreational physical activity among the elderly. BMC Geriatr. 2010, 10, 34. [Google Scholar] [CrossRef] [PubMed] [Green Version]
  49. Fagerholm, N.; Eilola, S.; Arki, V. Outdoor recreation and nature’s contribution to well-being in a pandemic situation—Case Turku, Finland. Urban For. Urban Green. 2021, 64, 127257. [Google Scholar] [CrossRef] [PubMed]
  50. Weinbrenner, H.; Breithut, J.; Hebermehl, W.; Kaufmann, A.; Klinger, T.; Palm, T.; Wirth, K. “The forest has become our new living room”—The critical importance of urban forests during the COVID-19 pandemic. Front. For. Glob. Chang. 2021, 4, 672909. [Google Scholar] [CrossRef]
  51. Korpilo, S.; Kajosaari, A.; Rinne, T.; Hasanzadeh, K.; Raymond, C.M.; Kyttä, M. Coping with crisis: Green space use in Helsinki before and during the COVID-19 pandemic. Front. Sustain. Cities 2021, 3, 713977. [Google Scholar] [CrossRef]
  52. Daniel, T.; Muhar, A.; Arnberger, A.; Aznar, O.; Boyd, J.; Chan, K.; Costanza, R.; Elmqvist, T.; Flint, C.; Gobster, P.; et al. Contributions of cultural services to the ecosystem services agenda. Proc. Natl. Acad. Sci. USA 2012, 109, 8812–8819. [Google Scholar] [CrossRef] [Green Version]
Figure 1. Location and main spatial characteristics of the study area.
Figure 1. Location and main spatial characteristics of the study area.
Sustainability 14 08478 g001
Figure 2. Purpose of nature area visits in Latvia.
Figure 2. Purpose of nature area visits in Latvia.
Sustainability 14 08478 g002
Figure 3. Most frequently visited types of nature areas for recreation in Latvia.
Figure 3. Most frequently visited types of nature areas for recreation in Latvia.
Sustainability 14 08478 g003
Figure 4. Main activities pursued in outdoor nature areas in 2020 in Latvia. Percentage of cases from multiple choices.
Figure 4. Main activities pursued in outdoor nature areas in 2020 in Latvia. Percentage of cases from multiple choices.
Sustainability 14 08478 g004
Figure 5. Examples of recreational activities pursued by men and women in different stages of life. (A)—cycling, (B)—meditation and contemplative practices, (C)—walks with children, (D)—foraging.
Figure 5. Examples of recreational activities pursued by men and women in different stages of life. (A)—cycling, (B)—meditation and contemplative practices, (C)—walks with children, (D)—foraging.
Sustainability 14 08478 g005
Figure 6. Spatial distribution of respondents’ most visited nature areas in 2020 in Latvia. Data points reflect the spatial distribution of most frequently visited areas and visitors’ observations concerning the trends in visitor numbers.
Figure 6. Spatial distribution of respondents’ most visited nature areas in 2020 in Latvia. Data points reflect the spatial distribution of most frequently visited areas and visitors’ observations concerning the trends in visitor numbers.
Sustainability 14 08478 g006
Figure 7. Hotspots of nature visits in 2020 in Latvia. Getis-Ord Gi* hotspot analysis results. 1. Gauja National Park, 2. Piejūra Nature Park, 3. Ķemeru National Park, 4. Tērvetes Nature Park.
Figure 7. Hotspots of nature visits in 2020 in Latvia. Getis-Ord Gi* hotspot analysis results. 1. Gauja National Park, 2. Piejūra Nature Park, 3. Ķemeru National Park, 4. Tērvetes Nature Park.
Sustainability 14 08478 g007
Table 1. Demographic characteristics of survey respondents and comparison to the CSB data on Latvia’s population.
Table 1. Demographic characteristics of survey respondents and comparison to the CSB data on Latvia’s population.
CharacteristicSurvey Sample
(n = 1500)
Latvia’s Population in 2021
(At the Beginning of the Year) 1
Age (years)
18–248%9% 2
25–3419%13%
35–4420%13%
45–5419%14%
55–6419%14%
65–7414%21%
Gender
Female52%54%
Male48%46%
Nationality
Latvian59%63%
Other41%37%
Main language used at home
Latvian60%61% 3
Russian39%38% 3
Other1%1% 3
Population by place of residence
Urban territories69% (Riga—33%, other cities—35%)68% (Riga—32%, other cities—36%)
Rural territories31%32%
Highest education level attained
Basic education (ISCED level 2)3%15% 4
Secondary education, vocational education, professional secondary education (ISCED level 2–3)43%53% 4
Higher education (ISCED level 5–8)54%29% 4
1 Source: CSP, 2021; 2 Age group; 15–24 years; 3 in 2017; 4 Population aged 15 and over by educational attainment at the beginning of 2020 (excludes 3% of population aged 15 who have not yet attained the basic education level).
Table 2. Aggregated CORINE landcover classes used in the study.
Table 2. Aggregated CORINE landcover classes used in the study.
Combined CORINE Class UsedOriginal CORINE Classes
Urban areasContinuous urban fabric/Discontinuous urban fabric/Industrial or commercial units/Road and rail networks and associated land/Ports
Green urban areasGreen urban areas
Agricultural areasNon-irrigated arable land/Fruit trees and berry plantations/Pastures/Complex cultivation patterns/Land principally occupied by agriculture, with significant areas of natural vegetation
Forest areasBroad-leaved forest/Coniferous forest/Mixed forest/Transitional woodland-shrub
Natural grasslandsNatural grasslands
Coastal areasBeaches, dunes, sands/Sea and ocean
PeatlandsInland marshes/Peat bogs
Water bodiesWater courses/Water bodies
Table 3. Evaluation of the changes of frequency of nature visits due to COVID-19.
Table 3. Evaluation of the changes of frequency of nature visits due to COVID-19.
Increased FrequencyNo ChangeDecreased Frequencyχ2Cramer’s Vp Value
Region20.030.09<0.001
Rīga (n = 406)30%52%19%
Rural areas (n = 338)20%67%13%
Other cities (n = 408)22%64%14%
Age47.880.14<0.001
18–24 (n = 104)29%60%12%
25–34 (n = 239)32%56%13%
35–44 (n = 245)31%57%12%
45–54 (n = 226)25%60%15%
55–64 (n = 201)13%63%24%
65–74 (n = 137)12%71%18%
Gender9.050.090.011
Male (n = 534)21%65%14%
Female (n = 618)27%56%17%
Education10.170.070.038
Primary (n = 32)28%53%19%
Secondary (n = 464)20%61%18%
Higher (n = 656)27%60%13%
Publisher’s Note: MDPI stays neutral with regard to jurisdictional claims in published maps and institutional affiliations.

Share and Cite

MDPI and ACS Style

Jūrmalis, E.; Lībiete, Z.; Bārdule, A. Outdoor Recreation Habits of People in Latvia: General Trends, and Changes during the COVID-19 Pandemic. Sustainability 2022, 14, 8478. https://doi.org/10.3390/su14148478

AMA Style

Jūrmalis E, Lībiete Z, Bārdule A. Outdoor Recreation Habits of People in Latvia: General Trends, and Changes during the COVID-19 Pandemic. Sustainability. 2022; 14(14):8478. https://doi.org/10.3390/su14148478

Chicago/Turabian Style

Jūrmalis, Edgars, Zane Lībiete, and Arta Bārdule. 2022. "Outdoor Recreation Habits of People in Latvia: General Trends, and Changes during the COVID-19 Pandemic" Sustainability 14, no. 14: 8478. https://doi.org/10.3390/su14148478

APA Style

Jūrmalis, E., Lībiete, Z., & Bārdule, A. (2022). Outdoor Recreation Habits of People in Latvia: General Trends, and Changes during the COVID-19 Pandemic. Sustainability, 14(14), 8478. https://doi.org/10.3390/su14148478

Note that from the first issue of 2016, this journal uses article numbers instead of page numbers. See further details here.

Article Metrics

Back to TopTop