Numerical Study and Structural Optimization of Vehicular Oil Cooler Based on 3D Impermeable Flow Model
Abstract
:1. Introduction
2. Equivalent Theory
2.1. Non-Uniform Permeable Flow Model
2.2. Local Thermal Non-Equilibrium Model
3. Numerical Model of Oil Cooler
3.1. Heat Exchange Unit Model
3.2. Grid Dependence Analysis
3.3. Nonlinear Fitting Correlation
3.4. Establishment of Equivalent Model
3.5. Boundary Conditions and Thermophysical Parameters
4. Experimental Verification
4.1. Experimental Rig Construction and Error Analysis
4.2. The Results Discussed
5. Result and Discussion
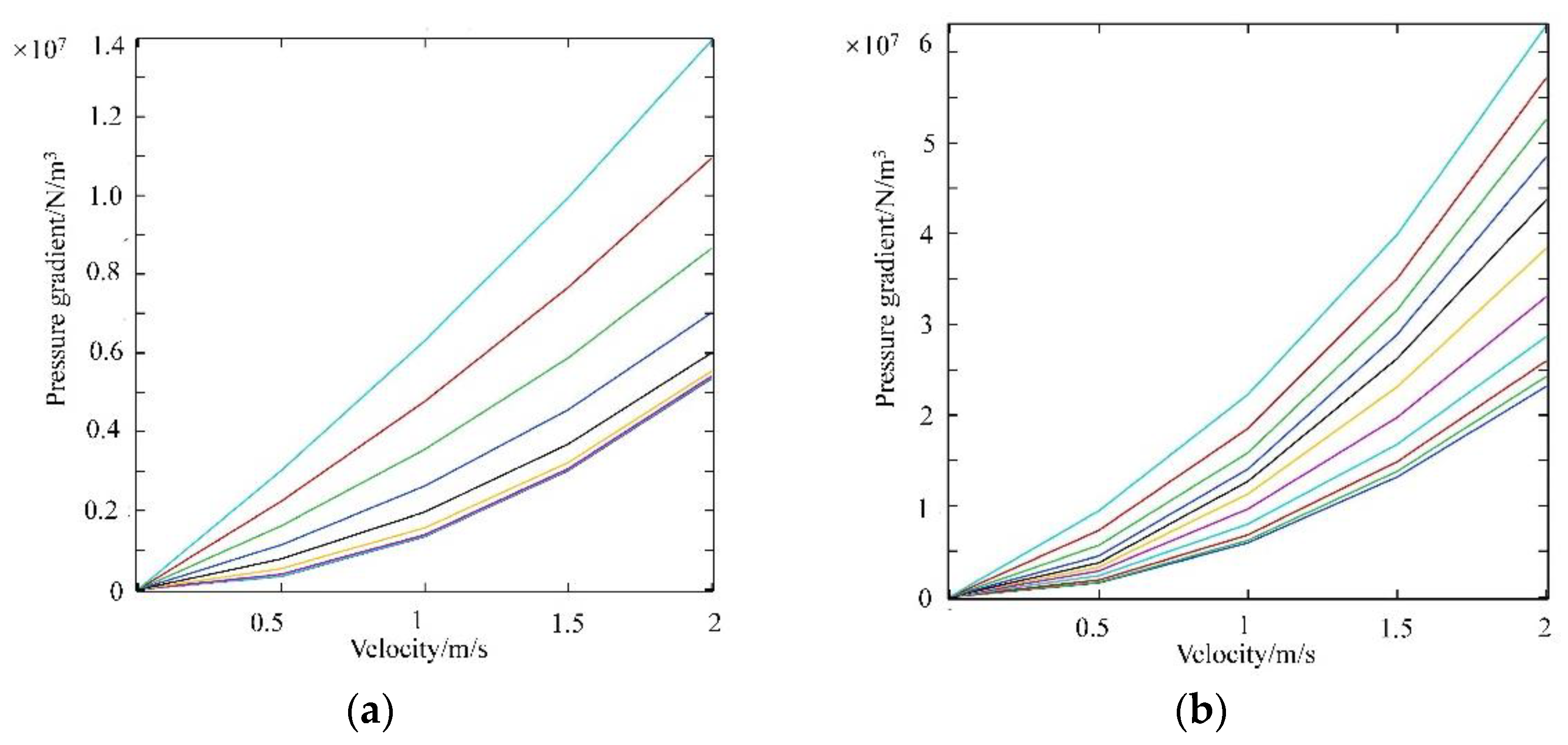
5.1. Flow Heat Transfer Performance Analysis
5.2. Performance at Different Cross-Sectional Areas
5.3. Performance at Different Flow Path Lengths
5.4. Performance with Different Number of Flow Channel Layers
5.5. Optimization of Structural Parameters
6. Conclusions
- (1)
- First, a multi-scale coupling method based on unit heat transfer model is proposed to simulate the flow and heat transfer performance of heat exchanger. The flow of the whole heat exchanger is simulated by the non-uniform seepage flow model, and the heat transfer is simulated by the local thermal non-equilibrium model.
- (2)
- Next, a vehicular oil cooler is used to verify the effectiveness of this method. By comparing with the experimental results, the maximum error of this equivalent simulation model for flow and heat transfer under different working conditions is 9.2%, which proves the validity of the equivalent model.
- (3)
- Finally, the flow and heat transfer performance under different structural parameters was studied. At the same time, the best structural parameters could applicable to the present oil cooler are proposed, namely: cross-sectional area of mm2, length of 90 mm, number of layers is 11. Comparing with the original structure, the heat transfer performance is increased by 47%, while the total pressure drop increased by only 30%.
Author Contributions
Funding
Institutional Review Board Statement
Informed Consent Statement
Data Availability Statement
Conflicts of Interest
Abbreviations
| μ | Dynamic viscosity |
| u | Velocity vector |
| Fluid density | |
| p | Pressure |
| I | Identity orthogonal matrix |
| εp | Void fraction |
| κ | Permeability of porous media |
| Specific heat capacity | |
| Inlet temperature | |
| Quality of the source | |
| F | Volume force |
| κ | Porosity matrix |
| Dimensionless Faux-Hemmel | |
| Volume fraction of a solid | |
| Thermal conductivity of solids | |
| Thermal conductivity of a liquid | |
| Outlet temperature | |
| T | Temperature |
| Q | Heat exchange amount, total heat exchange of heat exchanger |
| Solid density | |
| Liquid density | |
| m | Mass quality |
| K | Heat transfer coefficient of fluid |
| A | Heat exchange area, cross-sectional area |
| Temperature difference between the inlet and outlet of the hot side of the oil cooler | |
| Nu | Nusselt number |
| Re | Reynolds number |
| Pr | Prandtl number |
| Average velocity of the fluid in the flow channel | |
| L | Length of flow channel |
| Pressure difference on both sides of the flow passage |
References
- Wang, Y.; Wang, L. Influence of fin material on the conjugate heat transfer characteristics of flat tube bank fin heat exchanger. J. Basic Sci. Eng. 2017, 25, 824–834. [Google Scholar] [CrossRef]
- Yang, J.; Ma, L.; Liu, J.; Liu, W. Thermal–hydraulic performance of a novel shell-and-tube oil cooler with multi-fields synergy analysis. Int. J. Heat Mass Tran. 2014, 77, 928–939. [Google Scholar] [CrossRef]
- Wang, J.; Bian, H.; Cao, X.; Ding, M. Numerical performance analysis of a novel shell-and-tube oil cooler with wire-wound and crescent baffles. Appl. Therm. Eng. 2021, 184, 116298. [Google Scholar] [CrossRef]
- Qasem, N.A.A.; Zubair, S.M. Compact and microchannel heat exchangers: A comprehensive review of air-side friction factor and heat transfer correlations. Energ. Convers. Manag. 2018, 173, 555–601. [Google Scholar] [CrossRef]
- Aydın, A.; Engin, T.; Yasar, H.; Yeter, A.; Perut, A.H. Computational fluid dynamics analysis of a vehicle radiator using porous media approach. Heat Transfer Eng. 2020, 8, 904–916. [Google Scholar] [CrossRef]
- Mortean, M.V.V.; Cisterna, L.H.R.; Paiva, K.V.; Mantelli, M.B.H. Thermal and hydrodynamic analysis of a cross-flow compact heat exchanger. Appl. Therm. Eng. 2019, 150, 750–761. [Google Scholar] [CrossRef]
- Qiu, S.; Xu, C.; Yang, Z.; He, H.; Xia, E.; Xue, Z.; Li, L. One-dimension and three-dimension collaborative simulation study of the influence of non-uniform inlet airflow on the heat transfer performance of automobile radiators. Appl. Therm. Eng. 2021, 196, 117319. [Google Scholar] [CrossRef]
- Deng, J. Improved correlations of the thermal-hydraulic performance of large size multi-louvered fin arrays for condensers of high power electronic component cooling by numerical simulation. Energ. Convers. Manag. 2017, 153, 504–514. [Google Scholar] [CrossRef]
- Bhutta, M.; Hayat, N.; Bashir, M.H.; Khan, A.R.; Ahmad, K.N.; Khan, S. CFD applications in various heat exchangers design: A review. Appl. Therm. Eng. 2012, 32, 1–12. [Google Scholar] [CrossRef]
- Zhou, D.; Tong, G. Research on performance analysis method of automobile radiator based on iterative calculation. J. Mech. Strength 2018, 40, 499–504. [Google Scholar] [CrossRef]
- Du, J.; Zhao, H. Numerical simulation of a plate-fin heat exchanger with offset fins using porous media approach. Heat Mass Transfer 2018, 54, 745–755. [Google Scholar] [CrossRef]
- Wang, J.; Yan, T.; Zhang, Z. Numerical simulation and experimental research on engine room heat dissipation performance of a hybrid car. Mat. Sci. Eng. 2021, 1194, 012005. [Google Scholar]
- Teodor, S. Heat transfer and pressure drop analysis of automotive HVAC condensers with two phase flows in mini-channels. Eng. Manag. Prod. Serv. 2021, 13, 174–188. [Google Scholar]
- Mongibello, L.; Bianco, N.; Somma, M.D.; Graditi, G. Experimental validation of a tool for the numerical simulation of a Commercial Hot Water Storage Tank. Energy Procedia 2017, 105, 4266–4273. [Google Scholar] [CrossRef]
- Shen, M.; Gao, Q.; Wang, Y.; Zhang, T. Design and analysis of battery thermal management system for electric vehicle. J. Zhejiang Univ. (Eng. Sci.) 2019, 53, 1398–1406. [Google Scholar] [CrossRef]
- Yu, S.C. Performance analysis of a dual-loop cooling system for engineering vehicles. Trans. Can. Soc. Mech. Eng. 2020, 44, 161–169. [Google Scholar] [CrossRef]
- Awais, M.; Bhuiyan, A.A. Heat and mass transfer for compact heat exchanger (CHXs) design: A state-of-the-art review. Int. J. Heat Mass Tran. 2018, 127, 359–380. [Google Scholar] [CrossRef]
- Su, F.; Feng, W.; Yuan, X. Numerical simulation of an oil Cooler based on multi-scale method. J. South China Univ. Technol. (Nat. Sci. Ed.) 2020, 48, 112–117. [Google Scholar] [CrossRef]
- Huang, Y.; Liu, Z.; Lu, G.; Yu, X. Multi-scale thermal analysis approach for the typical heat exchanger in automotive cooling systems. Int. Commun. Heat Mass. 2014, 59, 75–87. [Google Scholar] [CrossRef]
- Saravanan, V.; Hithaish, D.; Umesh, C.K.; Seetharamu, K.N. Numerical investigation of thermo-hydrodynamic performance of triangular pin fin heat sink using nano-fluids. Therm. Sci. Eng. Prog. 2021, 21, 100768. [Google Scholar] [CrossRef]
- Oltmanns, J.; Sauerwein, D.; Dammel, F.; Stephan, P.; Kuhn, C. Potential for waste heat utilization of hot-water-cooled data centers: A case study. Energy Sci. Eng. 2020, 8, 1793–1810. [Google Scholar] [CrossRef]
- Starace, G.; Fiorentino, M.; Longo, M.P.; Carluccio, E. A hybrid method for the cross flow compact heat exchangers design. Appl. Therm. Eng. 2016, 111, 1129–1142. [Google Scholar] [CrossRef]
- Greiciunas, E.; Borman, D.; Summers, J.; Smith, S. A multi-scale conjugate heat transfer modelling approach for corrugated heat exchangers. Int. J. Heat Mass Transfer 2019, 139, 928–937. [Google Scholar] [CrossRef]
- Wen, T.; Zhu, G.; Lu, L. Experimental and artificial neural network based study on the heat transfer and flow performance of zno-eg/water nanofluid in a mini-channel with serrated fins. Int. J. Therm. Sci. 2021, 170, 107149. [Google Scholar] [CrossRef]
- Le Bars, M.; Worster, M.G. Interfacial conditions between a pure fluid and a porous medium: Implications for binary alloy solidification. J. Fluid Mech. 2006, 550, 149–173. [Google Scholar] [CrossRef] [Green Version]
- Allaire, G.; Bernard, O.; Dufrêche, J.F.; Mikelić, A. Ion transport through deformable porous media: Derivation of the macroscopic equations using upscaling. Comput. Appl. Math. 2017, 36, 1431–1462. [Google Scholar] [CrossRef]
- Albojamal, A.; Vafai, K. Analysis of particle deposition of nanofluid flow through porous media. Int. J. Heat Mass Tran. 2020, 161, 120227. [Google Scholar] [CrossRef]
- Fu, J.; Sunden, B. Comparative Analysis of Flow and Heat Transfer for Vehicular Independent Cooling Modules. Heat Transfer Eng. 2021, 1–11. [Google Scholar] [CrossRef]
- Guo, Z.; Liu, Z.; Fu, J. Experimental study on air flow characteristics of detached cooling system. J. Mech. Electr. Eng. 2016, 33, 298–456. [Google Scholar]
- Haibullinam, A.I.; Sabitov, L.S.; Hayrullin, A.R.; Ilyin, V.K. Energy efficiency of pulsating flows at heat-transfer enhancement in a shell-and-tube water oil cooler. Mater. Sci. Eng. 2018, 412, 1088–1099. [Google Scholar] [CrossRef]














| Number | Oil Inlet Temperature (°C) | Cold Test Inlet Temperature (°C) | Oil Flow Rate (kg/min) | Cold Side Flow Rate (kg/min) |
|---|---|---|---|---|
| 1 | 100 | 70 | 12.25 | 12.75 |
| 2 | 100 | 70 | 12.25 | 15.75 |
| 3 | 100 | 70 | 6.75 | 8.75 |
| 4 | 100 | 70 | 6.75 | 12.75 |
| 5 | 100 | 70 | 6.75 | 16.00 |
| 6 | 100 | 70 | 10.00 | 16.00 |
| 7 | 100 | 70 | 10.00 | 13.00 |
| 8 | 100 | 70 | 10.00 | 8.25 |
| 9 | 100 | 70 | 12.75 | 8.25 |
| 10 | 130 | 90 | 12.00 | 15.25 |
| 11 | 130 | 90 | 12.00 | 12.25 |
| 12 | 130 | 90 | 12.00 | 8.25 |
| 13 | 130 | 90 | 9.50 | 8.00 |
| 14 | 130 | 90 | 10.00 | 12.50 |
| 15 | 130 | 90 | 10.00 | 15.50 |
| 16 | 130 | 90 | 6.50 | 15.50 |
| 17 | 130 | 90 | 6.50 | 12.50 |
| 18 | 130 | 90 | 6.50 | 8.00 |
| Density /kg/m3 | |
| Constant pressure heat capacity/J/(kg °C) | |
| Dynamic viscosity/Pa · s | |
| Coefficient of thermal conductivity/W/(m · °C) |
| Density /kg/m3 | |
| Constant pressure heat capacity/J/(kg °C) | |
| Dynamic viscosity/Pa · s | |
| Coefficient of thermal conductivity/W/(m · °C) |
| The Length of the Channel | Channel Width | Oil Domain Channel Height | Water Channel Height | Number of Layer |
|---|---|---|---|---|
| 90 mm | 60 mm | 6 mm | 6 mm | 6 |
Publisher’s Note: MDPI stays neutral with regard to jurisdictional claims in published maps and institutional affiliations. |
© 2022 by the authors. Licensee MDPI, Basel, Switzerland. This article is an open access article distributed under the terms and conditions of the Creative Commons Attribution (CC BY) license (https://creativecommons.org/licenses/by/4.0/).
Share and Cite
Fu, J.; Hu, Z.; Zhang, Y.; Lu, G. Numerical Study and Structural Optimization of Vehicular Oil Cooler Based on 3D Impermeable Flow Model. Sustainability 2022, 14, 7757. https://doi.org/10.3390/su14137757
Fu J, Hu Z, Zhang Y, Lu G. Numerical Study and Structural Optimization of Vehicular Oil Cooler Based on 3D Impermeable Flow Model. Sustainability. 2022; 14(13):7757. https://doi.org/10.3390/su14137757
Chicago/Turabian StyleFu, Jiahong, Zhecheng Hu, Yu Zhang, and Guodong Lu. 2022. "Numerical Study and Structural Optimization of Vehicular Oil Cooler Based on 3D Impermeable Flow Model" Sustainability 14, no. 13: 7757. https://doi.org/10.3390/su14137757
APA StyleFu, J., Hu, Z., Zhang, Y., & Lu, G. (2022). Numerical Study and Structural Optimization of Vehicular Oil Cooler Based on 3D Impermeable Flow Model. Sustainability, 14(13), 7757. https://doi.org/10.3390/su14137757

