Abstract
This study’s objective is to examine the influence of entrepreneurial self-efficacy and internal locus of control on the entrepreneurial intention of small Saudi entrepreneurs during adverse times, with entrepreneurial resilience as a moderator. The study, which targeted a sample of 207 small entrepreneurs working in various sectors in Saudi Arabia, gathered data through an online questionnaire sent to respondents and analysed the results using PLS-SEM. The study revealed intriguing findings, such as the existence of a positive significant relationship between entrepreneurial self-efficacy, internal locus of control and entrepreneurial intention amongst small Saudi entrepreneurs. It also demonstrated that in times of adversity, such as during the COVID-19 pandemic and other environmental challenges, entrepreneurial resilience can act as a moderator between entrepreneurial intention and entrepreneurial self-efficacy. Entrepreneurial resilience, in particular, has the potential to strengthen the relationship between entrepreneurial self-efficacy and entrepreneurial intention. Accordingly, the government, along with other sectors and stakeholders in Saudi Arabia, should continue to support the psychological characteristics of small Saudi entrepreneurs, notably their internal locus of control, entrepreneurial self-efficacy, and entrepreneurial resilience to ensure greater sustainability and the continuity of their small businesses.
1. Introduction
Entrepreneurship and small and medium enterprises (SME) have been reported in the extant literature to be key drivers of economic growth and development that can create employment, mitigate poverty and improve people’s standard of living [1,2,3,4,5]. Accordingly, there have been many attempts to enhance entrepreneurship development by providing necessary infrastructural facilities and an adequate environment [6,7]. Furthermore, and in addition to attempts to improve the environmental factors for entrepreneurship, there has been a call to focus on developing entrepreneurs’ psychological characteristics, such as locus of control, self-efficacy, entrepreneurial resilience, risk taking, need for achievement, innovation, and proactivity, as these reportedly influence entrepreneurial activities [8,9,10,11].
Accordingly, the call to support entrepreneurship and the SME sector also alerted the government of Saudi Arabia of the need to develop strategies and actions for this purpose, particularly in consideration of the presence of a continuous decline and global fluctuation in oil prices, leading to a deficit in the state budget. Consequently, the Saudi government developed the so-called Saudi Vision 2030, which is a long-term comprehensive plan aiming to decrease the unemployment rate from 11.6% to 7% and to increase the contribution of the SME and entrepreneurship sector to the country’s GDP from 20% to 35% [12,13,14,15]. The government has further established different development and training programmes that are essential for improving the capabilities and skills of entrepreneurs in the country [16] and to meet possible future challenges.
Scholars have also contributed much to support entrepreneurship and SME development initiatives in Saudi Arabia by examining different prospects related to entrepreneurship such as entrepreneurial education, intellectual capital, the role of institutions, challenges for female entrepreneurs, saving behaviour, personal characteristics, environmental factors and others [6,7,13,17,18,19,20,21]. However, while observing government support and scholars’ contributions towards entrepreneurship in general and improving individuals’ entrepreneurial personal characteristics in particular, it should be noted that there is still a need for more entrepreneurship research, especially that related to the role of entrepreneurial resilience in entrepreneurial activities, which is considered as an essential motivator for entrepreneurial behaviour [22]. For this reason, and in response to filling this gap, in this research, we intend to investigate how internal locus of control, entrepreneurial self-efficacy and entrepreneurial resilience influence the development of entrepreneurial intentions during adverse times.
We focus on these psychological features because they are considered as key factors that may direct an individual’s decision to initiate entrepreneurial activity [11,23,24,25,26]. We also examine how the entrepreneurial resilience of individuals during challenging and adverse times can enhance the association between entrepreneurs’ self-efficacy and the continuation of entrepreneurial activities. This is because, first of all, the extant literature about the impact of entrepreneurial resilience during dangerous and adverse times is still scarce [27,28]. Particularly lacking is literature and empirical evidence that examines how entrepreneurial resilience can moderate the relationship between entrepreneurial self-efficacy and entrepreneurial intention. Self-efficacy is crucial as it is a cognitive factor that interacts with other subjective characteristics, such as gender, resilience and business experience [29]. More importantly, previous literature has ignored the effects of self-efficacy and individual resilience [28].
The second motivation for the study is that during adverse times, such as during the COVID-19 pandemic, various economic sectors in Saudi Arabia, including the SME, were dramatically affected. As a result, many SMEs were closed and entrepreneurs lost their enterprises [30]. In view of that, allowing small entrepreneurs to sustain and continue developing their entrepreneurial behaviour requires the enhancement of their personal characteristics, particularly—due to their importance in the development of entrepreneurial intent—their internal locus of control and level of self-efficacy [9,26,31,32,33,34]. Furthermore, despite the Saudi government’s extensive strategies and policies to assist the affected entrepreneurs, fruitful and rapid recovery would still rely heavily on the internal knowledge and traits of Saudi entrepreneurs. This includes individuals’ entrepreneurial resilience, which, according to social cognitive theory, is believed to be linked with self-efficacy and entrepreneurial behaviour [34,35,36].
The link between the three previously mentioned psychological features is believed to improve the skills and abilities of individuals both in developing entrepreneurial behaviour and in coping with challenges in adverse times, particularly given the continuous call of previous studies to continue investigating entrepreneurial behaviour in unstable and adverse times [37,38,39,40]. As a result, we argue that if we wish to stimulate entrepreneurial activity in a society plagued by adversity, we must engage in activities that increase people’s self-efficacy, internal locus of control, and entrepreneurial resilience.
Accordingly, this research is crucial because it will enable us to better understand how self-efficacy, internal locus of control and entrepreneurial resilience enhance entrepreneurial behaviour, particularly during adverse times. The findings of this study will allow us to develop necessary training programmes and strategies for improving those entrepreneurial features that will ultimately reflect on entrepreneurs’ entrepreneurial behaviour. Accordingly, the following questions have been developed:
Does the internal locus of control and entrepreneurial self-efficacy of small entrepreneurs influence entrepreneurs’ entrepreneurial intention?
Can entrepreneurial resilience moderate the connection between entrepreneurial intention and entrepreneurial self-efficacy during adverse times?
The study starts with an introduction, continues with a literature review and hypotheses development, and then describes the methodology of the study. Data analysis and interpretation, results, discussion, implications, and conclusion then follow, in that order.
2. Theoretical Background
Entrepreneurial Intention
According to [24], strategic behaviours are essentially intentional; thus, intention is the most accurate predictor of entrepreneurial behaviour [41]. Entrepreneurial intention is the willingness to start a business, either in cooperation with a group of people or individually [42]. This is significant because it enables us to comprehend and forecast the behaviour of a small venture. Entrepreneurial intention also involves a person’s cognitive state and a self-admitted desire to start one’s own firm, which stem from a prior perception of the desirability and feasibility of entrepreneurial behaviour [28]. Accordingly, different theories, such as the theory of planned behaviour [41] and social cognitive theory [33,43], have emphasized that certain characteristics or factors influence an individual’s intention and direct that intention towards venture creation. These factors also influence the ways in which individuals think and perceive the business establishment. Consequently, this study is based on the theory of planned behaviour and social cognitive theory [33,43], which emphasize the effect of certain factors on the intent of individuals. Consequently, there has been a continuous call to investigate the influence of individuals’ characteristics on entrepreneurial intention in general, and particularly in adverse times [37,38,40].
3. Formulation of Hypotheses
3.1. Entrepreneurial Self-Efficacy and Entrepreneurial Intention
The concept of self-efficacy, which goes back to [43,44], indicates the intensity of a person’s belief in their ability to carry out a particular job or entrepreneurial activity [9,45,46]. Self-efficacy is similar to Ajzen’s concept of perceived behaviour control [41] and is considered one component of the psychological traits that influence the behaviour of individuals [47]. It has been reported that self-efficacy positively influences the entrepreneurial intention of individuals towards establishing small ventures [7,8,39,46,48,49,50]. Furthermore, individuals with high self-efficacy who perceive themselves as able to perform certain activities have a high likelihood of developing a desire to execute them. Individuals with a strong sense of self-efficacy and entrepreneurial resilience are more inclined to produce necessary coping strategies, deal with challenges more effectively, and thrive in adverse environments. These individuals are referred to as entrepreneurs, while individuals with low self-efficacy are called non-entrepreneurs [28]. Accordingly, and based on the preceding discussion, we assume the below hypothesis:
Hypothesis H1:
Individuals with high self-efficacy are more likely than those with low self-efficacy to engage in entrepreneurial intention during times of adversity.
3.2. Internal Locus of Control and Entrepreneurial Intention
The notion of locus of control, which can be traced back to Rotter’s pioneering work on personality traits [33], refers to a person’s perception of the underlying principal reasons for life occurrences [33]. While locus of control is generally defined as the extent to which people believe they have control over what happens [51], internal locus of control refers to people who believe that they have control over their surroundings and who assume that their fate is also ascertained by their own efforts, which they can govern [33]. The ways in which people think and behave influence their decisions in general, and in particular, their decision to become entrepreneurs. Individuals with a high internal locus of control have a better chance of success in developing entrepreneurial behaviour, intention and venture creation [32,50,51,52]. Furthermore, individuals with a higher internal locus of control ability can face challenges positively and find meaningful solutions to obstacles in adverse or challenging times [34,53]. Despite the fact that some existing literature supports a positive relationship between internal locus of control and entrepreneurial behaviour, other studies, such as those of [48,54], found no effect. We may conclude that internal locus of control plays a key role in strengthening individuals’ behaviour in becoming entrepreneurs, and that it can also help them manage their SMEs during adverse and challenging periods. Therefore, we assume the following hypothesis:
Hypothesis H2:
Individuals who have a more internal locus of control exhibit more entrepreneurial intention during times of adversity.
3.3. The Moderating Effect of Entrepreneurial Resilience
In general, resilience is defined as the capability to carry on with life—or to keep living a meaningful life—in the face of adversity or hard times [55]. Resilience can be developed by individuals with time, by accepting the surrounding reality and by having a strong belief that life has meaning [56]. Resilience is also sometimes understood as a resource which can be employed by people during stressful and challenging times [57].
Resilience is an important concept in the daily life of the individual, and even more so in the daily life of an entrepreneur. However, resilience has not yet received much attention in the field of entrepreneurship research, particularly as it concerns individual analysis in adverse times [28]. Accordingly, there is still a need to develop a model that explains the relationship between entrepreneurial resilience and psychological traits [34]. Resilience is important for entrepreneurs; when a person develops the skill of entrepreneurial resilience, they tend to develop positive emotions and outcomes that can be used to combat anxiety, and which allow them to develop optimism and to persevere in the face of crises and adversities [58,59,60].
Furthermore, people with high entrepreneurial resilience can quickly develop measures to alleviate challenges and constraints and reduce fear. Unlike those with lower entrepreneurial resilience, they can also make effective and quick decisions in dangerous environments and in the face of adversity [55,61]. Individuals with greater entrepreneurial resilience and self-efficacy can develop more entrepreneurial behaviour and intention [28]. They can also take part in the actions necessary to start and grow businesses [62]. Therefore, we argue that resilient entrepreneurs can develop better business skills—skills that allow them to defend against environmental challenges and constraints during adverse times, and which also allow them to either continue carrying out their business in a sustainable manner or restart a new business [63]. Thus, we assume the below hypothesis:
Hypothesis H3:
Entrepreneurial resilience moderates the relationship between self-efficacy and entrepreneurial intention.
3.4. Conceptual Model
Figure 1 illustrates the hypothesized relationships between the study concepts. In this model, we consider both self-efficacy and internal locus of control as independent variables, while entrepreneurial intention is a dependent variable. Furthermore, entrepreneurial resilience is considered as a moderating variable that moderates the relationship between self-efficacy and entrepreneurial intention.
Figure 1.
The Hypothesized Model. Source: Author’s elaboration.
4. Research Methodology
4.1. Procedures and Participants
This is a quantitative study based on a self-administered questionnaire distributed to small entrepreneurs in Saudi Arabia. The sample size included 207 male and female participants, all of whom were small entrepreneurs carrying out different activities in different parts of Saudi Arabia during the current challenge of the COVID-19 pandemic. The study used authentic measures from previous studies. The researcher developed an online questionnaire. A pilot study with 15 respondents was then conducted to evaluate the questionnaire’s quality, after which the questionnaire link was sent to the study’s respondents. The findings of the pilot study showed no problems with the questionnaire measures. They were then sent to the respondents and kept online for one month.
4.2. Demographic Information of the Respondents
Table 1 summarizes the demographic details of the study participants.
Table 1.
Respondents’ Demographic Information.
According to Table 1, male respondents accounted for 83.1% of the total number of respondents, while female respondents accounted for 16.9%. Most respondents (58%) were between the ages of 18 and 27. Furthermore, 78.7% of those polled reported having less than ten years of experience. Finally, the services sector employed the greatest proportion of respondents, accounting for 30.4% of the total sample.
4.3. Measures of the Study
The measures used in the study are listed in Table 2.
Table 2.
Measurement Sources.
The questionnaire items were assessed using a 5-point Likert scale, with 1 disclosing ‘total disagreement’ and 5 representing ‘absolute agreement’.
4.4. Measurement Model
In the measurement model, we carefully examined the reliability and convergent validity of the measures used in the study. The indicator loadings were assessed first. In this test, a loading value of 0.70 or higher was suggested. If this were the case, the measured construct could be proposed to predict 50% of the variation in the item, exhibiting adequate consistency [66]. On the other hand, removing items with loading values of less than 0.70 should not be undertaken unless this removal maximises the composite reliability level. Nevertheless, indicators or items with a loading value of 0.50 are considered acceptable for exploratory research. On the other hand, indicators with less than 0.40 loading values must be avoided [67,68]. Furthermore, once examination of the loadings of the items was completed, we then evaluated the composite reliability, which is considered as the second step in the measurement model that assesses the reliability of internal consistency. Achieving greater composite reliability values indicates more reliability in the study items. Composite reliability between 60 and 70 is regarded as satisfactory [68]. The third step was to assess convergent validity, which is the degree to which one item compares favourably to another item of the same construct. We used the average variance extracted (AVE) for this step. The recommended AVE value is 0.50 or above, as it shows the ability of the constructs to explain more than 50% of the variance in the constructs’ item [66,67]. The results of the indicator factor loadings, AVE, and composite reliability are presented in Table 3.
Table 3.
Reliability and Convergent Validity.
Table 3 illustrates that all of the findings were consistent with the guideline level, indicating that their reliability and validity were adequate.
With step 3 completed, we moved to step 4 in the measurement model, which involves determining the discriminant validity of concepts in the study. This step demonstrated how one construct differed from the others in the structural model [66].
The heterotrait-monotrait ratio (HTMT), as shown in Table 4, refers to how constructs in the structural model differ empirically from one another. It also implies that the sum of all model construct variances must not be more significant than their individual variances. According to our results, as the values of HTMT have not exceeded 0.90, there is sufficient discriminate validity in the study constructs [69].
Table 4.
Heterotrait-monotrait ratio (HTMT).
4.5. Structural Model
4.5.1. The Collinearity Issue
Following the examination of the measurement model, we proceeded to the evaluation of the structural model. However, before investigating the structural relationships, the issue of collinearity had to be checked to ensure no bias in the regression results. In this case, the variance inflation factor (VIF) was used to investigate collinearity. A VIF higher than 5 indicates a problem of collinearity in the study constructs [70]. Table 5 summarizes the key results regarding collinearity.
Table 5.
Collinearity Results.
In Table 5, all values were found to be below 3, showing no collinearity.
4.5.2. Explanatory Power
The next step after examining collinearity was to check the R², or explanatory power, of the model. Accordingly, the coefficient of determination (R²), which is the total influence of exogenous variables on the endogenous variable, was used to validate the explanatory power of the structural model.
In Table 6, because the R² was higher than 0.25, the model’s explanatory power was deemed adequate. This means that the study’s model can predict about 25% of the variation in entrepreneurial intention. In fact, there is no rule of thumb for R² because the outcome can vary based on the field of study and the context.
Table 6.
Coefficient of Determination (R²).
4.5.3. Construct Cross-Validated Redundancy
Table 7 shows the constructs’ cross-validated redundancy. Because the 1-SSE/SSO values were greater than zero, the study’s model had adequate predictive power.
Table 7.
Construct Cross-Validated Redundancy.
4.5.4. Results and Hypotheses Testing
This section is considered the most important as it presents the bootstrapping procedure, which was used to test the hypotheses with 5000 resamples. The study’s findings are summarised in Table 8.
Table 8.
Path Coefficients.
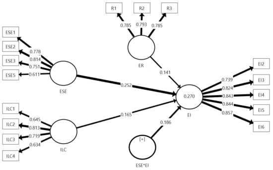
A significant positive relationship between entrepreneurial self-efficacy and entrepreneurial intention was revealed (β = 0.252, p < 0.05), after which the alternative hypothesis was confirmed (H1). The table also shows that entrepreneurial resilience moderates the relationship between entrepreneurial self-efficacy and entrepreneurial intention (β = 0.186, p < 0.05), confirming the hypothesis that entrepreneurial resilience plays a moderating role (H3). Finally, it was revealed that internal locus of control has a significant positive relationship with entrepreneurial intention (β = 0.165, p < 0.05), thereby supporting the proposed hypothesis (H2).
4.5.5. Moderation Analysis
According to Figure 2, entrepreneurial resilience reinforces the positive relationship between entrepreneurial intention and entrepreneurial self-efficacy. More self-resilience will lead to greater entrepreneurial intent.
Figure 2.
Moderator Representation. Source: Primary data.
4.5.6. Pictorial Representation of Path Coefficients
Figure 3 depicts the findings of the structural relationships and their path coefficients.
Figure 3.
Path Coefficients. Source: Primary data.
5. Discussion
This is one of the few studies to examine the influence of certain psychological traits on entrepreneurial intention and take into account the moderating effect of entrepreneurial resilience during difficult times, such as the COVID-19 pandemic. Accordingly, this study investigated how the most important personal characteristics of small Saudi entrepreneurs can influence the establishment of their businesses, and also what role entrepreneurial resilience could play in enhancing their entrepreneurial intention and business continuation in adverse times. Therefore, and based on previous studies, a set of assumed hypotheses were developed, and an intensive literature review was conducted. The study demonstrated interesting results, as follows.
The first hypothesis (H1), which was developed to examine the relationship between entrepreneurial self-efficacy and entrepreneurial intention, was examined and a positive significant result was found, confirming the influence of entrepreneurial self-efficacy in enhancing small business entrepreneurs in Saudi Arabia. This is, in fact, a logical result, as those individuals with a higher level of entrepreneurial self-efficacy tend to develop more confidence, get involved in high-risk activities and develop new and attractive ideas, leading to the attainment of a competitive business advantage. Furthermore, individuals with high self-efficacy who believe they can perform certain activities are more likely to develop a desire to do so. Individuals with a strong sense of self-efficacy and entrepreneurial resilience are more likely to develop necessary coping strategies, address challenges more efficiently and successfully, and thrive in adversity. Individuals with high self-efficacy are referred to as entrepreneurs, while those with low self-efficacy are referred to as non-entrepreneurs. The finding of (H1) is supported and in line with many previous studies [8,39,47,48,49,50,71].
The second hypothesis (H2), claiming a positive relationship between internal locus of control and the entrepreneurial intention, was also tested and found to be a significant positive. This finding is intriguing because people with a high internal locus of control believe they have power over their surroundings and that their fate is ascertained by their efforts, which they can control. They are also more inclined to respond positively to problems and barriers, finding meaningful solutions to issues in adverse or challenging circumstances. Furthermore, people with a high internal locus of control have a good chance of developing entrepreneurial behaviour and intention and creating new ventures. They can also face challenges optimistically and obtain valuable solutions in difficult times. The finding of hypothesis two is in line with several studies [51,52,72].
Finally, the study also examined the role of entrepreneurial resilience in moderating the relationship between entrepreneurial self-efficacy and entrepreneurial intention in adverse times (H3). The study reported that the entrepreneurial resilience of small Saudi business owners could play a partial moderating role between their entrepreneurial self-efficacy and entrepreneurial intention in adverse times, such as the COVID-19 pandemic and other challenges. This makes sense because resilience is critical for entrepreneurs. It allows them to develop positive emotions and outcomes that can be used to combat anxiety, as well as optimism and perseverance in the face of crises and adversities [58,59,60]. Furthermore, individuals with decent entrepreneurial resilience can quickly devise solutions to challenges and constraints and reduce fear. They can also make effective and quick decisions in dangerous environments and in the face of adversity, unlike those with lower entrepreneurial resilience. Additionally, those people with higher entrepreneurial resilience and self-efficacy are more likely to develop entrepreneurial behaviour and intention. They can also participate in the activities required to start and grow businesses [28].
6. Implications
This research makes an important contribution to the available literature on entrepreneurship as it provides empirical evidence concerning the influence of selected psychological traits—entrepreneurial self-efficacy and internal locus of control—on entrepreneurial intention and considers the interaction of entrepreneurial resilience as a moderator in the analysis. The results of this study reveal that there is a positive relationship between internal locus of control, entrepreneurial self-efficacy, and entrepreneurial intention and also confirm the positive role played by entrepreneurial resilience in moderating the relationship between entrepreneurial self-efficacy and entrepreneurial intention. It explicitly demonstrates that entrepreneurial resilience strengthens the connection between entrepreneurial self-efficacy and entrepreneurial intention.
As the findings of the study are in line with previously conducted studies, it is expected that the study will provide guidelines for various stakeholders in Saudi Arabia related to the importance of developing the psychological characteristics of small entrepreneurs, particularly their entrepreneurial resilience [2,14,28,47,51]. That is to say, to help small entrepreneurs succeed in general in their business endeavours, particularly during adverse times. Various stakeholders—such as governmental bodies, policy makers, universities, incubators and other developmental programmes and organisations—should work to develop an attractive entrepreneurial environment capable of enhancing the psychological features and skills necessary for entrepreneurs to sustain their businesses in times of adversity. There is also a need to develop recovery from crises programmes directed at small entrepreneurs who are affected by COVID-19 and other challenges in the surrounding environment, thus allowing them to rebuild their self-efficacy and hope of succeeding with their small firms.
The provision of management and developmental skills and crisis management programmes for small entrepreneurs in Saudi Arabia will enable them to deal with uncertainties, increase their self-confidence and maximise their inner belief that they can respond to crises and continue operating. Entrepreneurs need resilience, as those who develop this skill tend to develop positive emotions and outcomes that can be used to combat anxiety, allowing them to develop optimism and to persevere in times of crisis and adversity [58,59,60].
The government in Saudi Arabia should also work to provide the necessary compensation funds to affected people so that they might rebuild their level of self-confidence, allowing them to either continue with their existing businesses or develop new innovative ones. Educational institutions should also work on introducing skills development topics—such as personal traits and entrepreneurial education [7,73,74]—into their syllabi. This would ensure that potential entrepreneurs who join as regular students receive skills development courses or programmes, while interested non-students could also benefit from such programmes. These entrepreneurial programmes would provide individuals with necessary business knowledge, marketing and business plans, recovery strategies, financial awareness and other important concepts related to business sustainability.
This study is also of significant importance to researchers and research institutions in the fields of management and entrepreneurship and other similar streams as it provides them with guidelines on researching the area of entrepreneurial resilience and its connection to individuals’ psychological factors. Hopefully, it will encourage them to expand the area and study model and expand the research sample size. It may also direct them to compare their studies with other international studies to check the validity of the hypothesised model and other relationships studied. The study also provides them with a summary of the previous literature and a precise review of the most significant findings related to selected psychological traits and entrepreneurial resilience during adverse times in Saudi Arabia.
7. Conclusions
SMEs and entrepreneurship play a key role in the development and growth of economies in both developing and developed countries. In fact, they provide job opportunities, mitigate poverty, and increase individuals’ self-efficacy and self-reliance. Despite playing this positive role, they have received little attention in the extant literature, particularly concerning the role of personal traits in supporting entrepreneurial intention and the influence of entrepreneurial resilience during adverse and challenging times. Accordingly, this study aimed to explore the connection between selected personal traits and the entrepreneurial intention of Saudi entrepreneurs, considering entrepreneurial resilience as a moderator.
The results of the study show that both internal locus of control and entrepreneurial self-efficacy influence the entrepreneurial intention of small Saudi entrepreneurs. It was also found that the entrepreneurial resilience of those small entrepreneurs moderated the relationship between entrepreneurial self-efficacy and entrepreneurial intention. In particular, it strengthened the relationship between the previously mentioned relationships. That is, the presence of individuals with high self-efficacy, internal locus of control and entrepreneurial resilience will increase the likelihood of continuing business operations or starting new business activities during adverse times such as the COVID-19 pandemic and other environmental challenges. This is one of the few studies discussing how entrepreneurial self-efficacy, internal locus of control, and entrepreneurial resilience influence the behaviour of small Saudi entrepreneurs during adverse times. Thus, it provides empirical evidence of the model’s applicability in the context of the study. It also offers a theoretical contribution to various stakeholders interested in the research subject. It further encourages scholars to continue investigating other essential factors that may influence small Saudi entrepreneurial activities during adverse times. The study is also considered significant as it provides a slew of recommendations for the government and other stakeholders in Saudi Arabia and emphasizes the need to work together to support and enhance the personal traits of individuals, as well as their entrepreneurial resilience, to ensure greater sustainability and the continuity of their small businesses. The government and other developmental organizations in the country could take many steps to develop the entrepreneurial personal traits and skills required to successfully contend with adversity, such as providing intensive entrepreneurship training and skills to small entrepreneurs and increasing self-efficacy levels.
8. Limitations of the Study
Finally, despite all this effort, this study has some limitations. For example, the limited number of samples may affect the generalization of the results as well as the limited number of psychological concepts used in the study that measure and explain the entrepreneurial intentions of the respondents. Accordingly, future studies should attempt to increase the number of respondents and include more concepts. Future research may also have some control variables such as age, gender, the respondents’ experience, the sector to which the firms belong, and other variables. Researchers might also consider conducting comparative studies with other countries on the same topic of this study.
Funding
This work was supported by the Deanship of Scientific Research, Vice Presidency for Graduate Studies and Scientific Research, King Faisal University, Saudi Arabia [Project No. 185].
Institutional Review Board Statement
The study was conducted according to the guidelines of the Declaration of Helsinki and approved by King Faisal University (No.185, 1 February 2022).
Informed Consent Statement
Informed consent was obtained from all subjects involved in the study.
Data Availability Statement
Not applicable.
Conflicts of Interest
The authors declare that they have no conflict
of interest.
References
- Alharasi, A.H.; Rahim, S.H.; Al-Shammari, S.A.; Abdulrab, M.; Almamary, Y.H.; Alshebami, A. The Impact of Social Entrepreneurial Personality on Social Entrepreneurial Intention among University Graduates in Yemen: A Conceptual Framework. Holos 2021, 1, 1–17. [Google Scholar]
- Alshebami, A.S. The Influence of Psychological Capital on Employees’ Innovative Behavior: Mediating Role of Employees’ Innovative Intention and Employees’ Job Satisfaction. SAGE Open 2021, 11, 1–14. [Google Scholar] [CrossRef]
- Murad, L.C.; Ashraf, M.S.F.; Naz, S. Impact of dark tetrad personality traits on nascent entrepreneurial behavior: The mediating role of entrepreneurial intention. Front. Bus. Res. China 2021, 15, 1–19. [Google Scholar]
- Chew, T.C.; Tang, Y.K.; Buck, T. The Interactive Effect of Cultural Values and Government Regulations on Firms’ Entrepreneurial Orientation. J. Small Bus. Enterp. Dev. 2021, 29, 221–240. [Google Scholar] [CrossRef]
- Alshebami, A.S.; Seraj, A.H. Exploring the Influence of Potential Entrepreneurs’ Personality Traits on Small Venture Creation: The Case of Saudi Arabia Personal Traits and Entrepreneurial. Front. Psychol. 2022, 13, 1–9. [Google Scholar] [CrossRef]
- Ali, I.; Ali, M.; Badghish, S. Symmetric and Asymmetric Modeling of Entrepreneurial Ecosystem in Developing Entrepreneurial Intentions among Female university Students in Saudi Arabia. Int. J. Gend. Entrep. 2019, 11, 435–458. [Google Scholar] [CrossRef]
- Alshebami, A.; Al-Jubari, I.; Alyoussef, A.; Raza, M. Entrepreneurial Education as a Predicator of Community College of Abqaiq students’ Entrepreneurial Intention. Manag. Sci. Lett. 2020, 10, 3605–3612. [Google Scholar] [CrossRef]
- Rauch, A.; Frese, M. Let’s put the person back into entrepreneurship research: A meta-analysis on the relationship between business owners’ personality traits, business creation, and success. Eur. J. Work Organ. Psychol. 2007, 16, 353–385. [Google Scholar] [CrossRef]
- Koh, H.C. Testing Hypotheses of Entrepreneurial Characteristics A Study of Hong Kong MBA students. J. Manag. Psychol. 1996, 11, 12–25. [Google Scholar]
- Rayawan, W.; Efrata, T. The Effect Locus of Control and Need for Achievement Towards Entrepreneurial Performance. Rev. Manag. Entrep. 2017, 1, 36–49. [Google Scholar]
- Drnovsek, M.; Wincent, J.; Cardon, M.S. Entrepreneurial self-efficacy and business start-up: Developing a multi-dimensional definition. Int. J. Entrep. Behav. Res. 2010, 16, 329–348. [Google Scholar] [CrossRef] [Green Version]
- Alshebami, A.; Seraj, A. The Impact of Intellectual Capital on the Establishment of Ventures for Saudi Small Entrepreneurs: GEM Data Empirical Scrutiny. Rev. Int. Geogr. Educ. 2021, 11, 129–142. [Google Scholar]
- Aljarodi, A. Female Entrepreneurial Activity in Saudi Arabia: An Empirical Study. Ph.D. Thesis, Universitat Autonoma de Barcelona, Cerdanyola Del Valles, Spain, 2020. [Google Scholar]
- Elnadi, M.; Gheith, M. Entrepreneurial Ecosystem, Entrepreneurial Self-efficacy, and Entrepreneurial Intention in Higher Education: Evidence from Saudi Arabia. Int. J. Manag. Educ. 2021, 19, 1–12. [Google Scholar] [CrossRef]
- Khan, K.; Alsharif, N.N. SMEs and Vision 2030. In Jadwa Investment Report; Jadwa Investment Firm: Riyadh, Saudi Arabia, 2019. [Google Scholar]
- Elnadi, M.; Gheith, M.H.; Farag, T. How Does the Perception of Entrepreneurial Ecosystem Affect Entrepreneurial Intention Among University Students In Saudi Arabia? Int. J. Entrep. 2020, 24, 1–16. [Google Scholar]
- Alhothali, G.T. Women Entrepreneurs Doing Business from Home: Motivational Factors of Home-based Business in Saudi Arabia. Adalya J. 2020, 9, 1242–1274. [Google Scholar]
- Alkwifi, O.S.; Khoa, T.T.; Ongsakul, V.; Ahmed, A. Determinants of Female Entrepreneurship Success across Saudi Arabia. J. Transnatl. Manag. 2020, 25, 3–29. [Google Scholar] [CrossRef]
- Bhatti, M.; AlDoghan, M.; Saat, S.; Juhari, A.; Alshagawi, M. Entrepreneurial Intentions among Women: Does Entrepreneurial Training and Education Matters? Pre- and Post-evaluation of Psychological Attributes and its Effects on Entrepreneurial Intention. J. Small Bus. Enterp. Dev. 2021, 28, 167–184. [Google Scholar] [CrossRef]
- Naushad, M. A study on the Antecedents of Entrepreneurial Intentions among Saudi Students. Entrep. Sustain. Cent. 2018, 3, 600–617. [Google Scholar] [CrossRef] [Green Version]
- Alshebami, A.; Seraj, A. The Antecedents of Saving Behavior and Entrepreneurial Intention of Saudi Arabia University Students. Educ. Sci. Theory Pract. 2021, 21, 67–84. [Google Scholar]
- Nasser, W.H. Innovation capital, sustainable entrepreneurial orientation, and the moderating role of entrepreneurial resilience. Entrep. Bus. Econ. Rev. 2021, 9, 74–85. [Google Scholar] [CrossRef]
- Naktiyok, A.; Karabey, C.N.; Gulluce, A.C. Entrepreneurial self-efficacy and entrepreneurial intention: The Turkish case. Int. Entrep. Manag. J. 2009, 6, 419–435. [Google Scholar] [CrossRef]
- Krueger, N.F.J.; Reilly, M.D.; Carsrud, A.L. Competing Models of Entrepreneurial Intentions. J. Bus. Ventur. 2000, 15, 411–432. [Google Scholar] [CrossRef]
- Shinnar, R.S.; Giacomin, O.; Janssen, F. Entrepreneurial Perceptions and Intentions: The Role of Gender and Culture. Entrep. Theory Pract. 2012, 36, 465–493. [Google Scholar] [CrossRef]
- Tsai, K.H.; Chang, H.C.; Peng, C.Y. Refining the linkage between perceived capability and entrepreneurial intention: Roles of perceived opportunity, fear of failure, and gender. Int. Entrep. Manag. J. 2016, 12, 1127–1145. [Google Scholar] [CrossRef]
- Branzei, O.; Abdelnour, S. Another day, another dollar: Enterprise resilience under terrorism in developing countries. J. Int. Bus. Stud. 2010, 41, 804–825. [Google Scholar] [CrossRef]
- Bullough, A.; Renko, M.; Myatt, T. Danger Zone Entrepreneurs: The Importance of Resilience and Self-Efficacy for Entrepreneurial Intentions. Entrep. Theory Pract. 2014, 38, 473–499. [Google Scholar] [CrossRef]
- Lent, R.W.; Brown, S.D. Social Cognitive Approach to Career Development: An Overview. Career Dev. Q. 1996, 44, 310–321. [Google Scholar] [CrossRef]
- Alhawal, H.M.; Nurunnabi, M.; Al-Yousef, N. The Impact of COVID-19 on SME in Saudi Arabia: A Large-Scale Survey. White Paper 2020, 2, 1–32. [Google Scholar] [CrossRef]
- Karabulut, A.T. Personality Traits on Entrepreneurial Intention. Procedia Soc. Behav. Sci. 2016, 229, 12–21. [Google Scholar] [CrossRef] [Green Version]
- Lefcourt, H. Locus of Control: Current Trends in Theory and Research, Second. Psychol. Press 2014. [Google Scholar]
- Rotter, J.B. Generalized Expectancies for Internal Versus External Control of Reinforcement. Psychol. Monogr. Gen. Appl. 1966, 80, 1–28. [Google Scholar] [CrossRef] [Green Version]
- Zhao, H.; Wibowo, A. Entrepreneurship Resilience: Can Psychological Traits of Entrepreneurial Intention Support Overcoming Entrepreneurial Failure? Front. Psychol. 2021, 12, 1–12. [Google Scholar] [CrossRef]
- Benight, C.; Bandura, A. Social Cognitive Theory of Posttraumatic Recovery: The Role of Perceived Self-Efficacy. Behav. Res. Ther. 2004, 42, 1129–1148. [Google Scholar] [CrossRef]
- Linley, P.A.; Joseph, S. Positive Change Following Trauma and Adversity: A Review. J. Trauma. Stress 2004, 17, 11–21. [Google Scholar] [CrossRef]
- Douglas, E.; Shepherd, D. Self-Employment as a Career Choice: Attitudes, Entrepreneurial Intentions, and Utility Maximization. Entrep. Theory Pract. 2002, 26, 81–90. [Google Scholar] [CrossRef]
- Gupta, V.K.; Turban, T.B.; Wasti, S.A.; Sikdar, S. The Role of Gender Stereotypes in Perceptions of Entreprenuers and Becoming an Entrepreneurs. Entrep. Theory 2009, 617, 387–406. [Google Scholar]
- Liñán, F.; Chen, Y.W. Development and Cross-Cultural Application of a Specific Instrument to Measure Entrepreneurial Intentions. Entrep. Theory Pract. 2009, 33, 593–617. [Google Scholar] [CrossRef]
- Manolova, T.S.; Eunni, R.V.; Gyoshev, B.S. Institutional Environments for Entrepreneurship: Evidence from Emerging Economies in Eastern Europe. Entrep. Theory Pract. 2008, 32, 203–218. [Google Scholar] [CrossRef]
- Ajzen, I. The Theory of Planned Behavior. Organ. Behav. Hum. Decis. Process. 1991, 50, 179–211. [Google Scholar] [CrossRef]
- Krueger, N. The Impact of Prior Entrepreneurial Exposure on Perceptions of New Venture Feasibility and Desirability. Entrep. Theory Pract. 1993, 18, 5–21. [Google Scholar] [CrossRef]
- Bandura, A. Self-Efficacy Mechanism in Human Agency. Am. Psychol. 1982, 37, 122–147. [Google Scholar] [CrossRef]
- Bandura, A. Self-Efficacy: The Exercise of Control; W. H. Freeman: New York, NY, USA; Henry Holt & Co.: New York, NY, USA, 1997. [Google Scholar]
- Hsu, D.K.; Burmeister-Lamp, K.; Simmons, S.A.; Foo, M.-D. I know I can, but I don’t fit’: Perceived fit, self-efficacy, and entrepreneurial intention. J. Bus. Ventur. 2019, 34, 311–326. [Google Scholar] [CrossRef]
- Soomro, B.A.; Shah, N. Entrepreneurship education, entrepreneurial self-efficacy, need for achievement and entrepreneurial intention among commerce students in Pakistan. Educ. Train. 2021, 64, 107–125. [Google Scholar] [CrossRef]
- Nasip, S.; Amirul, S.S., Jr. Psychological Characteristics and Entrepreneurial Intention A Study among University Students in North Borneo, Malaysia. Educ. Train. 2017, 59, 825–840. [Google Scholar] [CrossRef]
- Dinis, A.; Ferreira, P.J.; Raposo, M.; Rodrigues, R. Psychological Characteristics and Entrepreneurial Intentions among Secondary Students. Educ. Train. 2013, 55, 763–780. [Google Scholar] [CrossRef]
- Wilson, F.; Kickul, J.; Marlino, D. Gender, Entrepreneurial Self-Efficacy, and Entrepreneurial Career Intentions: Implications for Entrepreneurship Education. Entrep. Theory Pract. 2007, 31, 387–406. [Google Scholar] [CrossRef]
- Zhao, H.; Hills, G.E.; Seibert, S.E. The mediating role of self-efficacy in the development of entrepreneurial intentions. J. Appl. Psychol. 2005, 90, 1265–1272. [Google Scholar] [CrossRef] [PubMed] [Green Version]
- Arkorful, H.; Hilton, S.K. Locus of control and entrepreneurial intention: A study in a developing economy. J. Econ. Adm. Sci. 2021, 38, 333–344. [Google Scholar] [CrossRef]
- Vodă, A.I.; Florea, N. Impact of Personality Traits and Entrepreneurship Education on Entrepreneurial Intentions of Business and Engineering Students. Sustainability 2019, 11, 1–34. [Google Scholar] [CrossRef] [Green Version]
- Kusumawijaya, I. The Prediction of Need for Achievement to Generate Entrepreneurial Intention: A Locus of Control Mediation. Int. Rev. Manag. Mark 2019, 9, 1–9. [Google Scholar] [CrossRef] [Green Version]
- Ferreira, J.; Raposo, M.; Rodrigues, R.; Dinis, A.; Paco, A. A Model of Entrepreneurial Intention An application of the Psychological and Behavioral Approaches. J. Small Bus. Enterp. Dev. 2012, 19, 424–440. [Google Scholar] [CrossRef]
- Tedeschi, R.; Calhoun, L. Posttraumatic Growth: Conceptual Foundations and Empirical Evidence. Psychol. Inq. 2004, 5, 1–18. [Google Scholar] [CrossRef]
- Coutu, D. How Resilience Works. Harv. Bus. Rev. 2002, 80, 46–55. [Google Scholar]
- Hobfoll, S.E. Social and Psychological Resources and Adaptation. Rev. Gen. Psychol. 2002, 6, 307–324. [Google Scholar] [CrossRef]
- Fredrickson, B.L.; Tugade, M.M.; Waugh, C.E.; Larkin, G.R. What Good Are Positive Emotions in Crises? A Prospective Study of Resilience and Emotions Following the Terrorist Attacks on the United States on 11 September 2001. J. Pers. Soc. Psychol. 2003, 84, 365–376. [Google Scholar] [CrossRef]
- Baron, R.; Markman, G. Beyond Social Capital:How Social Skills Can Enhance Entrepreneurs’ Success. Acad. Manag. Exec. 2000, 14, 106–115. [Google Scholar]
- Westphal, M.; Bonanno, G.A. Posttraumatic Growth and Resilience to Trauma: Different Sides of the Same Coin or Different Coins? Appl. Psychol. Int. Rev. 2007, 56, 417–427. [Google Scholar] [CrossRef]
- Folkman, S.; Moskowitz, J.T. Positive Affand the Other Side of Coping. Am. Psychol. 2000, 55, 647–654. [Google Scholar] [CrossRef]
- Krueger, N.F. The Cognitive Infrastructure of Opportunity Emergence. Entrep. Theory Pract. 2000, 25, 5–23. [Google Scholar] [CrossRef]
- Hayward, M.L.A.; Forster, W.R.; Sarasvathy, S.D.; Fredrickson, B.L. Beyond hubris: How highly confident entrepreneurs rebound to venture again. J. Bus. Ventur. 2010, 25, 569–578. [Google Scholar] [CrossRef]
- Muller, S.; Thomas, A. Culture and Entrepreneurial Potential: A nine Country Study of Locus of Control and Innovativeness. J. Bus. Ventur. 2001, 16, 51–75. [Google Scholar] [CrossRef]
- Mcgee, J.E.; Mueller, S.L.; Sequeira, J.M. Self-Efficacy: Refining the Measure. Entrep. Theory Pract. 2009, 33, 965–988. [Google Scholar] [CrossRef]
- Hair, K.; Risher, J.; Sarstedt, M.; Ringle, C. When to use and how to report the results of PLS-SEM. Eur. Bus. Rev. 2019, 31, 2–24. [Google Scholar] [CrossRef]
- Hair, J.F.; Ringle, C.; Sarstedt, M. PLS-SEM: Indeed a Silver Bullet. J. Mark. Theory Pract. 2011, 19, 139–152. [Google Scholar] [CrossRef]
- Hair, J.J.; Hult, G.T.; Ringle, C.; Sarstedt, M. A Primer on Partial Least Squares Structural Equation Modeling (PLS-SEM), 2nd ed.; SAGE Publications Ltd.: London, UK, 2017. [Google Scholar]
- Henseler, J.; Ringle, C.M.; Sarstedt, M. A new criterion for assessing discriminant validity in variance-based structural equation modeling. Int. J. Res. Method Educ. 2015, 43, 115–135. [Google Scholar] [CrossRef] [Green Version]
- Becker, J.-M.; Ringle, C.; Sarstedt, M.; Völckner, F. How collinearity affects mixture regression results. Mark. Lett. 2015, 26, 643–659. [Google Scholar] [CrossRef]
- Alshebami, A.; Alamri, M. The Role of Emotional Intelligence in Enhancing the Ambition Level of the Students:Mediating Role of Students’ Commitment to University. Talent Dev. Excell. 2020, 12, 2275–2287. [Google Scholar]
- Lefcourt, H. Locus of Control, Current Trends in Theory and Research, 2nd ed.; BN3 2FA Psychology; Psychology Press: East Sussex, UK, 2014. [Google Scholar]
- Al-Jubari, I.; Mosbah, A.Z.; Talib, Z.; Khalid, M.A.; Azman, N. How do entrepreneurship education and self- efficacy influence entrepreneurship intention? Int. J. Innov. Creat. Chang. 2019, 5, 949–966. [Google Scholar]
- Raza, M.; Manurung, D.T.H.; Alshebami, A. Impact of education and training on performance of women entrepreneurs in Indonesia: Moderating effect of personal characteristics. Manag. Sci. Lett. 2020, 10, 3923–3930. [Google Scholar] [CrossRef]
Publisher’s Note: MDPI stays neutral with regard to jurisdictional claims in published maps and institutional affiliations. |
© 2022 by the author. Licensee MDPI, Basel, Switzerland. This article is an open access article distributed under the terms and conditions of the Creative Commons Attribution (CC BY) license (https://creativecommons.org/licenses/by/4.0/).


