Theoretical and Experimental Analysis of a New Intelligent Charging Controller for Off-Board Electric Vehicles Using PV Standalone System Represented by a Small-Scale Lithium-Ion Battery
Abstract
:1. Introduction
- (a)
- Proposed the NNPC–LSTM controller that combined the advantages of the NN and MPC controllers and was supported by the LSTM model for fast-charging the lithium-ion batteries.
- (b)
- Utilized the LSTM network model in the offline forecasting of the PV output power, which was fed to the NNPC as training data. In addition, the LSTM was a flagger to the charging process if the PV output power was not sufficient for implementing the MSCC protocol.
- (c)
- Investigated the system dynamic behavior during the charging process under various circumstances, while presenting the proposed NNPC-LSTM with respect to the FL controller and the conventional PID controller based on the MSCC protocol as a complement to our research in [20];
- (d)
- Emphasized the superiority of the proposed controller during the lithium-ion battery charging process by an experimental implementation that was in good agreement with the simulated results.
2. The Controllable Fast-Charging System Understudy
2.1. Parasitic Buck Converter Model
2.2. Charging System Understudy
2.3. Conventional and Proposed Controllers of the DC–DC Buck Converter
2.3.1. PID Controller
2.3.2. Fuzzy Logic Controller (FLC)
2.3.3. Neural Network Predictive Controller (NNPC)
Long-Short Term Memory (LSTM) Model
3. Theoretical and Experimental Analysis of the PID, FLC, and NNPC–LSTM Controllers
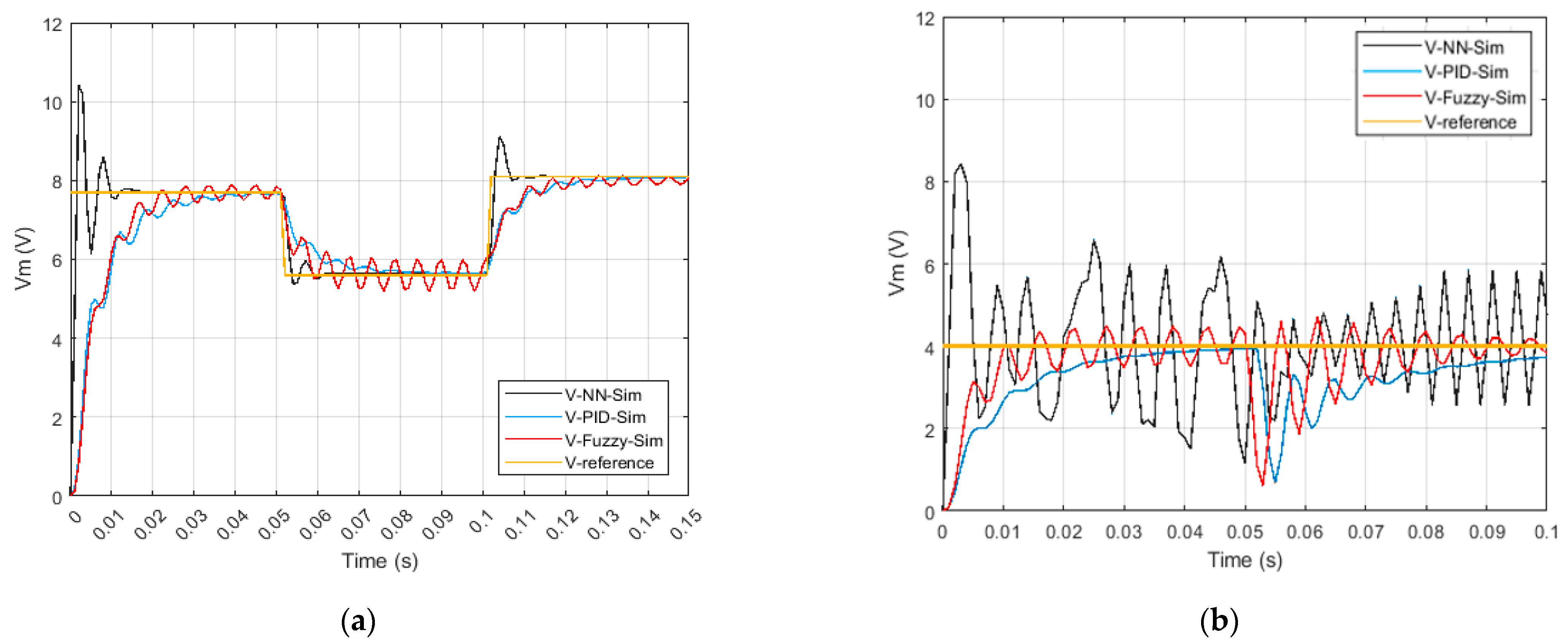
3.1. Simulated Results
3.2. Experimental Validation
3.2.1. PV Output Power Based on the Solar Climate and Module Characteristics
3.2.2. Experimental Analysis
4. Conclusions
Author Contributions
Funding
Institutional Review Board Statement
Informed Consent Statement
Data Availability Statement
Acknowledgments
Conflicts of Interest
References
- İnci, M.; Büyük, M.; Demir, M.H.; İlbey, G. A review and research on fuel cell electric vehicles: Topologies, power electronic converters, energy management methods, technical challenges, marketing and future aspects. Renew. Sustain. Energy Rev. 2021, 137, 110648. [Google Scholar] [CrossRef]
- Ahrabi, M.; Abedi, M.; Nafisi, H.; Mirzaei, M.A.; Mohammadi-Ivatloo, B.; Marzband, M. Evaluating the effect of electric vehicle parking lots in transmission-constrained AC unit commitment under a hybrid IGDT-stochastic approach. Int. J. Electr. Power Energy Syst. 2021, 125, 106546. [Google Scholar] [CrossRef]
- Dong, W.; Li, S.; Fu, X.; Li, Z.; Fairbank, M.; Gao, Y. Control of a buck DC/DC converter using approximate dynamic programming and artificial neural networks. IEEE Trans. Circuits Syst. I Regul. Pap. 2021, 68, 1760–1768. [Google Scholar] [CrossRef]
- Xia, Z.; Qahouq, J.A.A. State-of-charge balancing of lithium-ion batteries with state-of-health awareness capability. IEEE Trans. Ind. Appl. 2020, 57, 673–684. [Google Scholar] [CrossRef]
- Uddin, K.; Moore, A.D.; Barai, A.; Marco, J. The effects of high frequency current ripple on electric vehicle battery performance. Appl. Energy 2016, 178, 142–154. [Google Scholar] [CrossRef] [Green Version]
- De Breucker, S.; Engelen, K.; D’hulst, R.; Driesen, J. Impact of current ripple on Li-ion battery ageing. World Electr. Veh. J. 2013, 6, 532–540. [Google Scholar] [CrossRef] [Green Version]
- Makeen, P.; Ghali, H.A.; Memon, S. A Review of Various Fast Charging Power and Thermal Protocols for Electric Vehicles Represented by Lithium-Ion Battery Systems. Future Transp. 2022, 2, 15. [Google Scholar] [CrossRef]
- Sujitha, N.; Krithiga, S. RES based EV battery charging system: A review. Renew. Sustain. Energy Rev. 2017, 75, 978–988. [Google Scholar] [CrossRef]
- Duru, K.K.; Karra, C.; Venkatachalam, P.; Betha, S.A.; Madhavan, A.A.; Kalluri, S. Critical Insights Into Fast Charging Techniques for Lithium-Ion Batteries in Electric Vehicles. IEEE Trans. Device Mater. Reliab. 2021, 21, 137–152. [Google Scholar] [CrossRef]
- Ucer, E.; Koyuncu, I.; Kisacikoglu, M.C.; Yavuz, M.; Meintz, A.; Rames, C. Modeling and analysis of a fast charging station and evaluation of service quality for electric vehicles. IEEE Trans. Transp. Electrif. 2019, 5, 215–225. [Google Scholar] [CrossRef]
- Xiao, Y.; Liu, C.; Yu, F. An integrated on-board EV charger with safe charging operation for three-phase IPM motor. IEEE Trans. Ind. Electron. 2018, 66, 7551–7560. [Google Scholar] [CrossRef]
- Lee, C.-H.; Chen, M.-Y.; Hsu, S.-H.; Jiang, J.-A. Implementation of an SOC-based four-stage constant current charger for Li-ion batteries. J. Energy Storage 2018, 18, 528–537. [Google Scholar] [CrossRef]
- Hsieh, G.-C.; Chen, L.-R.; Huang, K.-S. Fuzzy-controlled Li-ion battery charge system with active state-of-charge controller. IEEE Trans. Ind. Electron. 2001, 48, 585–593. [Google Scholar] [CrossRef]
- Chen, L.-R.; Hsu, R.C.; Liu, C.-S. A design of a grey-predicted Li-ion battery charge system. IEEE Trans. Ind. Electron. 2008, 55, 3692–3701. [Google Scholar] [CrossRef]
- Bayati, M.; Abedi, M.; Farahmandrad, M.; Gharehpetian, G.B.; Tehrani, K. Important Technical Considerations in Design of Battery Chargers of Electric Vehicles. Energies 2021, 14, 5878. [Google Scholar] [CrossRef]
- Bayati, M.; Abedi, M.; Farahmandrad, M.; Gharehpetian, G.B. Delivering smooth power to pulse-current battery chargers: Electric vehicles as a case in point. IEEE Trans. Power Electron. 2020, 36, 1295–1302. [Google Scholar] [CrossRef]
- Khan, A.B.; Choi, W. Optimal charge pattern for the high-performance multistage constant current charge method for the Li-ion batteries. IEEE Trans. Energy Convers. 2018, 33, 1132–1140. [Google Scholar] [CrossRef]
- Li, Y.; Li, K.; Xie, Y.; Liu, J.; Fu, C.; Liu, B. Optimized charging of lithium-ion battery for electric vehicles: Adaptive multistage constant current–constant voltage charging strategy. Renew. Energy 2020, 146, 2688–2699. [Google Scholar] [CrossRef]
- Makeen, P.; Ghali, H.; Memon, S. Controllable Electric Vehicle Fast Charging Approach Based on Multi-Stage Charging Current Methodology. In Proceedings of the 2020 IEEE International Conference on Power and Energy (PECon), Penang, Malaysia, 7–8 December 2020; pp. 398–403. [Google Scholar]
- Makeen, P.; Ghali, H.A.; Memon, S. Experimental and theoretical analysis of the fast charging polymer lithium-ion battery based on Cuckoo Optimization Algorithm (COA). IEEE Access 2020, 8, 140486–140496. [Google Scholar] [CrossRef]
- Chen, T.; Fu, P.; Chen, X.; Dou, S.; Huang, L.; He, S.; Wang, Z. An Optimal Control Algorithm with Reduced DC-Bus Current Fluctuation for Multiple Charging Modes of Electric Vehicle Charging Station. World Electr. Veh. J. 2021, 12, 107. [Google Scholar] [CrossRef]
- Kelly, N.A.; Gibson, T.L. Solar photovoltaic charging of high voltage nickel metal hydride batteries using DC power conversion. J. Power Sources 2011, 196, 10430–10441. [Google Scholar] [CrossRef]
- Bhatti, A.R.; Salam, Z.; Aziz, M.J.B.A.; Yee, K.P. A critical review of electric vehicle charging using solar photovoltaic. Int. J. Energy Res. 2016, 40, 439–461. [Google Scholar] [CrossRef]
- Balci, S.; Kayabasi, A.; Yildiz, B. ANN-based estimation of the voltage ripple according to the load variation of battery chargers. Int. J. Electron. 2020, 107, 17–27. [Google Scholar] [CrossRef]
- Silva, W.W.A.; Oliveira, T.R.; Donoso-Garcia, P.F. An improved voltage-shifting strategy to attain concomitant accurate power sharing and voltage restoration in droop-controlled DC microgrids. IEEE Trans. Power Electron. 2020, 36, 2396–2406. [Google Scholar] [CrossRef]
- Sadabadi, M.S. A distributed control strategy for parallel DC-DC converters. IEEE Control Syst. Lett. 2020, 5, 1231–1236. [Google Scholar] [CrossRef]
- Al-Baidhani, H.; Kazimierczuk, M.K.; Reatti, A. Nonlinear modeling and voltage-mode control of DC-DC boost converter for CCM. In Proceedings of the 2018 IEEE International Symposium on Circuits and Systems (ISCAS), Florence, Italy, 27–30 May 2018; IEEE: Piscataway, NJ, USA, 2018; pp. 1–5. [Google Scholar]
- Al-Baidhani, H.; Salvatierra, T.; Ordonez, R.; Kazimierczuk, M.K. Simplified Nonlinear Voltage-Mode Control of PWM DC-DC Buck Converter. IEEE Trans. Energy Convers. 2020, 36, 431–440. [Google Scholar] [CrossRef]
- Roy, P.; Banerjee, K.; Saha, S. Comparison study on the basis of transient response between Voltage Mode Control (VMC) & Current Mode Control (CMC) of buck converter. In Proceedings of the 2018 International Symposium on Devices, Circuits and Systems (ISDCS), Howrah, India, 29–31 March 2018; IEEE: Piscataway, NJ, USA, 2018; pp. 1–4. [Google Scholar]
- Liu, Z.; Xie, L.; Bemporad, A.; Lu, S. Fast linear parameter varying model predictive control of buck DC-DC converters based on FPGA. IEEE Access 2018, 6, 52434–52446. [Google Scholar] [CrossRef]
- Wang, B.; Kanamarlapudi, V.R.K.; Xian, L.; Peng, X.; Tan, K.T.; So, P.L. Model predictive voltage control for single-inductor multiple-output DC–DC converter with reduced cross regulation. IEEE Trans. Ind. Electron. 2016, 63, 4187–4197. [Google Scholar] [CrossRef]
- Yilmaz, U.; Kircay, A.; Borekci, S. PV system fuzzy logic MPPT method and PI control as a charge controller. Renew. Sustain. Energy Rev. 2018, 81, 994–1001. [Google Scholar] [CrossRef]
- Levine, W.S.; Grüne, L.; Goebel, R.; Rakovic, S.V.; Mesbah, A.; Kolmanovsky, I.; Di Cairano, S.; Allan, D.A.; Rawlings, J.B.; Sehr, M.A. Handbook of Model Predictive Control; Birkhäuser: Cham, Switzerland, 2018. [Google Scholar]
- Danayiyen, Y.; Altas, I.; Sahin, E. Model Predictive Control of a DC-DC Buck Converter. Sigma J. Eng. Nat. Sci. 2017, 8, 91–97. [Google Scholar]
- Xu, Q.; Yan, Y.; Zhang, C.; Dragicevic, T.; Blaabjerg, F. An offset-free composite model predictive control strategy for DC/DC buck converter feeding constant power loads. IEEE Trans. Power Electron. 2019, 35, 5331–5342. [Google Scholar] [CrossRef]
- Liang, L.; Ye, H.; Li, G.Y. Toward intelligent vehicular networks: A machine learning framework. IEEE Internet Things J. 2018, 6, 124–135. [Google Scholar] [CrossRef] [Green Version]
- Tong, W.; Hussain, A.; Bo, W.X.; Maharjan, S. Artificial intelligence for vehicle-to-everything: A survey. IEEE Access 2019, 7, 10823–10843. [Google Scholar] [CrossRef]
- Shibl, M.; Ismail, L.; Massoud, A. Machine learning-based management of electric vehicles charging: Towards highly-dispersed fast chargers. Energies 2020, 13, 5429. [Google Scholar] [CrossRef]
- Shahriar, S.; Al-Ali, A.; Osman, A.H.; Dhou, S.; Nijim, M. Machine learning approaches for EV charging behavior: A review. IEEE Access 2020, 8, 168980–168993. [Google Scholar] [CrossRef]
- Dabbaghjamanesh, M.; Moeini, A.; Kavousi-Fard, A. Reinforcement learning-based load forecasting of electric vehicle charging station using Q-learning technique. IEEE Trans. Ind. Inform. 2020, 17, 4229–4237. [Google Scholar] [CrossRef]
- Danté, A.W.; Agbossou, K.; Kelouwani, S.; Cardenas, A.; Bouchard, J. Online modeling and identification of plug-in electric vehicles sharing a residential station. Int. J. Electr. Power Energy Syst. 2019, 108, 162–176. [Google Scholar] [CrossRef]
- Dang, Q.; Wu, D.; Boulet, B. A Q-learning based charging scheduling scheme for electric vehicles. In Proceedings of the 2019 IEEE Transportation Electrification Conference and Expo (ITEC), Detroit, MI, USA, 19–21 June 2019; IEEE: Piscataway, NJ, USA, 2019; pp. 1–5. [Google Scholar]
- Attia, P.M.; Grover, A.; Jin, N.; Severson, K.A.; Markov, T.M.; Liao, Y.-H.; Chen, M.H.; Cheong, B.; Perkins, N.; Yang, Z. Closed-loop optimization of fast-charging protocols for batteries with machine learning. Nature 2020, 578, 397–402. [Google Scholar] [CrossRef] [Green Version]
- Ahmadian, A.; Mohammadi-Ivatloo, B.; Elkamel, A. A review on plug-in electric vehicles: Introduction, current status, and load modeling techniques. J. Mod. Power Syst. Clean Energy 2020, 8, 412–425. [Google Scholar] [CrossRef]
- Alaoui, C. Hybrid vehicle energy management using deep learning. In Proceedings of the 2019 International Conference on Intelligent Systems and Advanced Computing Sciences (ISACS), Taza, Morocco, 26–27 December 2019; IEEE: Piscataway, NJ, USA, 2019; pp. 1–5. [Google Scholar]
- Vosoogh, M.; Rashidinejad, M.; Abdollahi, A.; Ghaseminezhad, M. An Intelligent Day Ahead Energy Management Framework for Networked Microgrids Considering High Penetration of Electric Vehicles. IEEE Trans. Ind. Inform. 2020, 17, 667–677. [Google Scholar] [CrossRef]
- Saadatmand, S.; Shamsi, P.; Ferdowsi, M. The Voltage Regulation of a Buck Converter Using a Neural Network Predictive Controller. In Proceedings of the 2020 IEEE Texas Power and Energy Conference (TPEC), College Station, TX, USA, 6–7 February 2020; IEEE: Piscataway, NJ, USA, 2020; pp. 1–6. [Google Scholar]
- Cui, C.; Yan, N.; Zhang, C. An Intelligent Control Strategy for buck DC-DC Converter via Deep Reinforcement Learning. arXiv 2020, arXiv:2008.04542. [Google Scholar]
- Maruta, H.; Mitsutake, D.; Kurokawa, F. A neural network based reference modified PID control with simple duration design for digitally controlled dc-dc converters. Int. J. Renew. Energy Res. 2016, 6, 550–560. [Google Scholar]
- Abbas, G.; Farooq, U.; Asad, M.U. Application of neural network based model predictive controller to power switching converters. In Proceedings of the The 2011 International Conference and Workshop on Current Trends in Information Technology (CTIT 11), Dubai, United Arab Emirates, 26–27 October 2011; IEEE: Piscataway, NJ, USA, 2011; pp. 132–136. [Google Scholar]
- Rojas-Dueñas, G.; Riba, J.-R.; Kahalerras, K.; Moreno-Eguilaz, M.; Kadechkar, A.; Gomez-Pau, A. Black-Box Modelling of a DC-DC Buck Converter Based on a Recurrent Neural Network. In Proceedings of the 2020 IEEE International Conference on Industrial Technology (ICIT), Buenos Aires, Argentina, 26–28 February 2020; IEEE: Piscataway, NJ, USA, 2020; pp. 456–461. [Google Scholar]
- Hinov, N.; Hranov, T.; Gilev, B. Comparsion of Different Methods for Controlling DC-DC Converters in Constant Current Mode. In Proceedings of the 2020 21st International Symposium on Electrical Apparatus & Technologies (SIELA), Bourgas, Bulgaria, 3–6 June 2020; IEEE: Piscataway, NJ, USA, 2020; pp. 1–5. [Google Scholar]
- Rajamani, M.; Rajesh, R.; Willjuice Iruthayarajan, M. Design and experimental validation of PID controller for buck converter: A multi-objective evolutionary algorithms based approach. IETE J. Res. 2021, 1–12. [Google Scholar] [CrossRef]
- Dehghanzadeh, A.; Farahani, G.; Vahedi, H.; Al-Haddad, K. Model predictive control design for DC-DC converters applied to a photovoltaic system. Int. J. Electr. Power Energy Syst. 2018, 103, 537–544. [Google Scholar] [CrossRef]
- Ding, S.; Zheng, W.X.; Sun, J.; Wang, J. Second-order sliding-mode controller design and its implementation for buck converters. IEEE Trans. Ind. Inform. 2017, 14, 1990–2000. [Google Scholar] [CrossRef]
- Vidal-Idiarte, E.; Marcos-Pastor, A.; Giral, R.; Calvente, J.; Martinez-Salamero, L. Direct digital design of a sliding mode-based control of a PWM synchronous buck converter. IET Power Electron. 2017, 10, 1714–1720. [Google Scholar] [CrossRef]
- Sain, C.; Banerjee, A.; Biswas, P.K.; Babu, T.S.; Dragicevic, T. Updated PSO optimised fuzzy-PI controlled buck type multi-phase inverter-based PMSM drive with an over-current protection scheme. IET Electr. Power Appl. 2020, 14, 2331–2339. [Google Scholar] [CrossRef]
- Saoudi, M.; El-Sayed, A.; Metwally, H. Design and implementation of closed-loop control system for buck converter using different techniques. IEEE Aerosp. Electron. Syst. Mag. 2017, 32, 30–39. [Google Scholar] [CrossRef]
- Soriano-Sánchez, A.G.; Rodríguez-Licea, M.A.; Pérez-Pinal, F.J.; Vázquez-López, J.A. Fractional-order approximation and synthesis of a PID controller for a buck converter. Energies 2020, 13, 629. [Google Scholar] [CrossRef] [Green Version]
- Madani, S.S.; Schaltz, E.; Knudsen Kær, S. An Electrical Equivalent Circuit Model of a Lithium Titanate Oxide Battery. Batteries 2019, 5, 31. [Google Scholar] [CrossRef] [Green Version]
- Makeen, P.; Memon, S.; Elkasrawy, M.; Abdullatif, S.O.; Ghali, H.A. Smart green charging scheme of centralized electric vehicle stations. Int. J. Green Energy 2021, 19, 490–498. [Google Scholar] [CrossRef]
- Nishat, M.M.; Faisal, F.; Evan, A.J.; Rahaman, M.M.; Sifat, M.S.; Rabbi, H.F. Development of genetic algorithm (ga) based optimized PID controller for stability analysis of DC-DC buck converter. J. Power Energy Eng. 2020, 8, 8. [Google Scholar] [CrossRef]
- Zadeh, L.A. Fuzzy sets. In Fuzzy Sets, Fuzzy Logic, and Fuzzy Systems: Selected Papers by Lotfi A Zadeh; World Scientific: Singapore, 1996; pp. 394–432. [Google Scholar]
- Ilyas, A.; Khan, M.R.; Ayyub, M. FPGA based real-time implementation of fuzzy logic controller for maximum power point tracking of solar photovoltaic system. Optik 2020, 213, 164668. [Google Scholar] [CrossRef]
- Lin, C.-M.; La, V.-H.; Le, T.-L. DC–DC converters design using a type-2 wavelet fuzzy cerebellar model articulation controller. Neural Comput. Appl. 2020, 32, 2217–2229. [Google Scholar] [CrossRef]
- Cheng, C.-H.; Cheng, P.-J.; Wu, M.-T. Fuzzy logic design of self-tuning switching power supply. Expert Syst. Appl. 2010, 37, 2929–2936. [Google Scholar] [CrossRef]
- Gadari, S.K.; Kumar, P.; Mishra, K.; Bhowmik, A.R.; Chakraborty, A.K. Detailed analysis of Fuzzy Logic Controller for Second order DC-DC Converters, 2019 8th International Conference on Power Systems (ICPS), Jaipur, India, 20–22 December 2019; IEEE: Piscataway, NJ, USA, 2019; pp. 1–6. [Google Scholar]
- Kumar, S. Fuzzy Logic Controller on Buck Converter; MATLAB Central File Exchange; The MathWorks Inc.: Natick, MA, USA, 2022. [Google Scholar]
- Li, G.; Xie, S.; Wang, B.; Xin, J.; Li, Y.; Du, S. Photovoltaic Power Forecasting With a Hybrid Deep Learning Approach. IEEE Access 2020, 8, 175871–175880. [Google Scholar] [CrossRef]
- Yadav, A.K.; Chandel, S. Solar radiation prediction using Artificial Neural Network techniques: A review. Renew. Sustain. Energy Rev. 2014, 33, 772–781. [Google Scholar] [CrossRef]
- Kim, T.; Ko, W.; Kim, J. Analysis and impact evaluation of missing data imputation in day-ahead PV generation forecasting. Appl. Sci. 2019, 9, 204. [Google Scholar] [CrossRef] [Green Version]
- Khatib, T.; Ghareeb, A.; Tamimi, M.; Jaber, M.; Jaradat, S. A new offline method for extracting IV characteristic curve for photovoltaic modules using artificial neural networks. Sol. Energy 2018, 173, 462–469. [Google Scholar] [CrossRef]
- Song, K.-B.; Baek, Y.-S.; Hong, D.H.; Jang, G. Short-term load forecasting for the holidays using fuzzy linear regression method. IEEE Trans. Power Syst. 2005, 20, 96–101. [Google Scholar] [CrossRef]
- Hernandez, L.; Baladron, C.; Aguiar, J.M.; Carro, B.; Sanchez-Esguevillas, A.J.; Lloret, J.; Massana, J. A survey on electric power demand forecasting: Future trends in smart grids, microgrids and smart buildings. IEEE Commun. Surv. Tutor. 2014, 16, 1460–1495. [Google Scholar] [CrossRef]
- Yan, K.; Shen, H.; Wang, L.; Zhou, H.; Xu, M.; Mo, Y. Short-term solar irradiance forecasting based on a hybrid deep learning methodology. Information 2020, 11, 32. [Google Scholar] [CrossRef] [Green Version]
- Hochreiter, S.; Schmidhuber, J. LSTM can solve hard long time lag problems. Adv. Neural Inf. Process. Syst. 1997, 473–479. [Google Scholar]
- Jung, Y.; Jung, J.; Kim, B.; Han, S. Long short-term memory recurrent neural network for modeling temporal patterns in long-term power forecasting for solar PV facilities: Case study of South Korea. J. Clean. Prod. 2020, 250, 119476. [Google Scholar] [CrossRef]
- Mishra, M.; Dash, P.B.; Nayak, J.; Naik, B.; Swain, S.K. Deep learning and wavelet transform integrated approach for short-term solar PV power prediction. Measurement 2020, 166, 108250. [Google Scholar] [CrossRef]
- Wang, K.; Qi, X.; Liu, H. Photovoltaic power forecasting based LSTM-Convolutional Network. Energy 2019, 189, 116225. [Google Scholar] [CrossRef]
- Van Houdt, G.; Mosquera, C.; Nápoles, G. A review on the long short-term memory model. Artif. Intell. Rev. 2020, 53, 5929–5955. [Google Scholar] [CrossRef]
- Zhou, H.; Zhang, Y.; Yang, L.; Liu, Q.; Yan, K.; Du, Y. Short-term photovoltaic power forecasting based on long short term memory neural network and attention mechanism. IEEE Access 2019, 7, 78063–78074. [Google Scholar] [CrossRef]









| Type of Controller | Steady-State Error (V) | Peak Overshoot (V) | Output Ripple Voltage (V) | Settling Time (ms) | Input Voltage (V) | Load |
|---|---|---|---|---|---|---|
| MNSGA-II based PID [53] | 0 | 0 | 0.06 | 1.34 | Variable 25 V–18 V | Resistive |
| NSGA-II based PID [53] | 1.2 | 5 | 0.8 | 5.32 | Variable 25 V–18 V | Resistive |
| Offset-free model predictive controller [35] | 0 | 2 | NA | 2 | Variable 200 V–400 V | Resistive |
| Model predictive controller [54] | NA | 0 | NA | 1.4 | Variable 26.04 V–30.38 V | Battery |
| Second-order sliding mode [55] | NA | NA | 0.1 | ~10 | Variable 30 V–20 V | Resistive |
| Sliding mode-based control [56] | 0 | 0.1 | NA | 0.15 | Constant 10 V | Resistive |
| Artificial neural network (ANN)-based approximate dynamic programming (ADP) [3] | 0 | 2 | NA | 3 | Variable 42 V–47 V | Resistive |
| PSO-optimized fuzzy PI controller [57] | NA | NA | 2.5 | ~5 | Constant 24 V | PMSM motor |
| Tuned fuzzy logic controller (TFLC) [58] | 0.01 | 0 | NA | 7 | Constant 15 V | Resistive |
| Fractional-order PID controller [59] | 0 | 0.6 | NA | 0.02 | Constant 100 V | Resistive |
| Proposed controller (NNPC–LSTM) | 0 | 0 | 0.001 | 1 | Random variation 25 V–12 V | Polymer lithium-ion battery |
| Error (E)/Change in Error (CE) | NB | NS | ZE | PS | PB |
|---|---|---|---|---|---|
| NB | PB | PB | PS | PS | PS |
| NS | PB | PS | PS | PS | ZE |
| ZE | PS | PS | ZE | NS | NS |
| PS | ZE | NS | NS | NS | NB |
| PB | NS | NS | NS | NB | NB |
Publisher’s Note: MDPI stays neutral with regard to jurisdictional claims in published maps and institutional affiliations. |
© 2022 by the authors. Licensee MDPI, Basel, Switzerland. This article is an open access article distributed under the terms and conditions of the Creative Commons Attribution (CC BY) license (https://creativecommons.org/licenses/by/4.0/).
Share and Cite
Makeen, P.; Ghali, H.A.; Memon, S. Theoretical and Experimental Analysis of a New Intelligent Charging Controller for Off-Board Electric Vehicles Using PV Standalone System Represented by a Small-Scale Lithium-Ion Battery. Sustainability 2022, 14, 7396. https://doi.org/10.3390/su14127396
Makeen P, Ghali HA, Memon S. Theoretical and Experimental Analysis of a New Intelligent Charging Controller for Off-Board Electric Vehicles Using PV Standalone System Represented by a Small-Scale Lithium-Ion Battery. Sustainability. 2022; 14(12):7396. https://doi.org/10.3390/su14127396
Chicago/Turabian StyleMakeen, Peter, Hani A. Ghali, and Saim Memon. 2022. "Theoretical and Experimental Analysis of a New Intelligent Charging Controller for Off-Board Electric Vehicles Using PV Standalone System Represented by a Small-Scale Lithium-Ion Battery" Sustainability 14, no. 12: 7396. https://doi.org/10.3390/su14127396
APA StyleMakeen, P., Ghali, H. A., & Memon, S. (2022). Theoretical and Experimental Analysis of a New Intelligent Charging Controller for Off-Board Electric Vehicles Using PV Standalone System Represented by a Small-Scale Lithium-Ion Battery. Sustainability, 14(12), 7396. https://doi.org/10.3390/su14127396

