Modification of Nutrient Requirements for a Four Crop-Based Cropping System to Increase System Productivity, Maintain Soil Fertility, and Achieve Sustainable Intensification
Abstract
1. Introduction
2. Materials and Methods
2.1. Description of the Site and Climatic Conditions
2.2. Land Preparation, Experimental Design, Treatment and Layout
2.3. Fertilizer Application
2.4. Seed Sowing/Seedling Transplanting and Harvesting
2.5. Crop Protection and Management
2.6. Data Collection
2.7. Soil and Plant Analysis
2.8. Determination of Nutrient Uptake
2.9. Cost and Return Analysis
2.10. Statistical Analysis
3. Results
3.1. Aus Rice
3.1.1. Yield and Yield Components of Aus Rice
3.1.2. Nutrient Content in Aus Rice
3.1.3. Nutrient Uptake by Aus Rice (Grain + Straw)
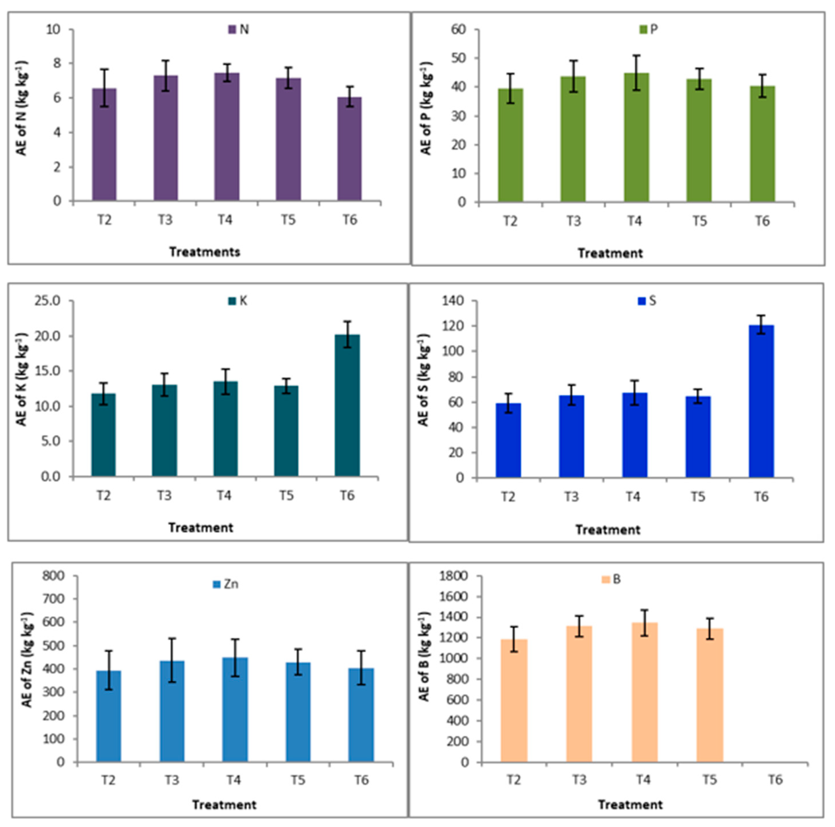
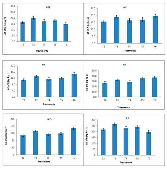
3.1.4. Agronomic Efficiency (AE) of Nutrients in Aus Rice
3.2. Aman Rice
3.2.1. Yield and Yield Components of Aman Rice
3.2.2. Nutrient Content in Aman Rice
3.2.3. Nutrient Uptake by Aman Rice (Grain + Straw)
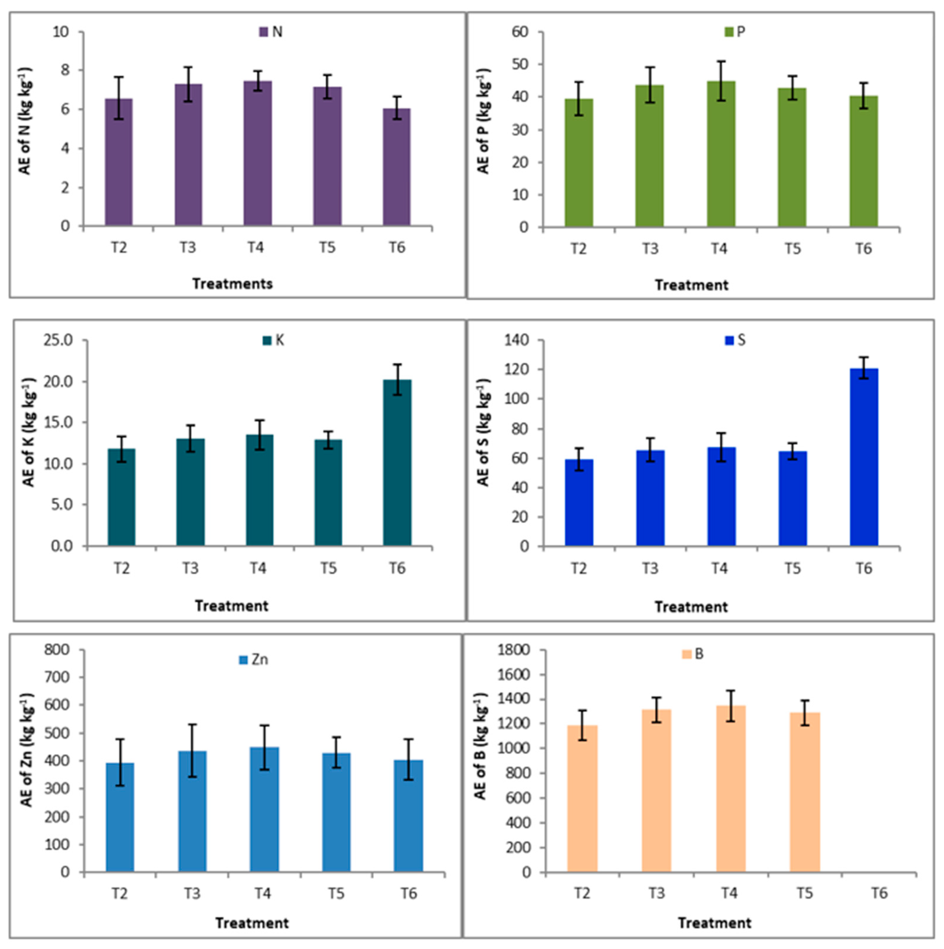
3.2.4. Agronomic Efficiency (AE) of Nutrients in Aman Rice
3.3. Lentil
3.3.1. Yield and Yield Components of Lentil
3.3.2. Nutrient Content in Lentil
3.3.3. Nutrient Uptake by Lentil (Seed + Stover)
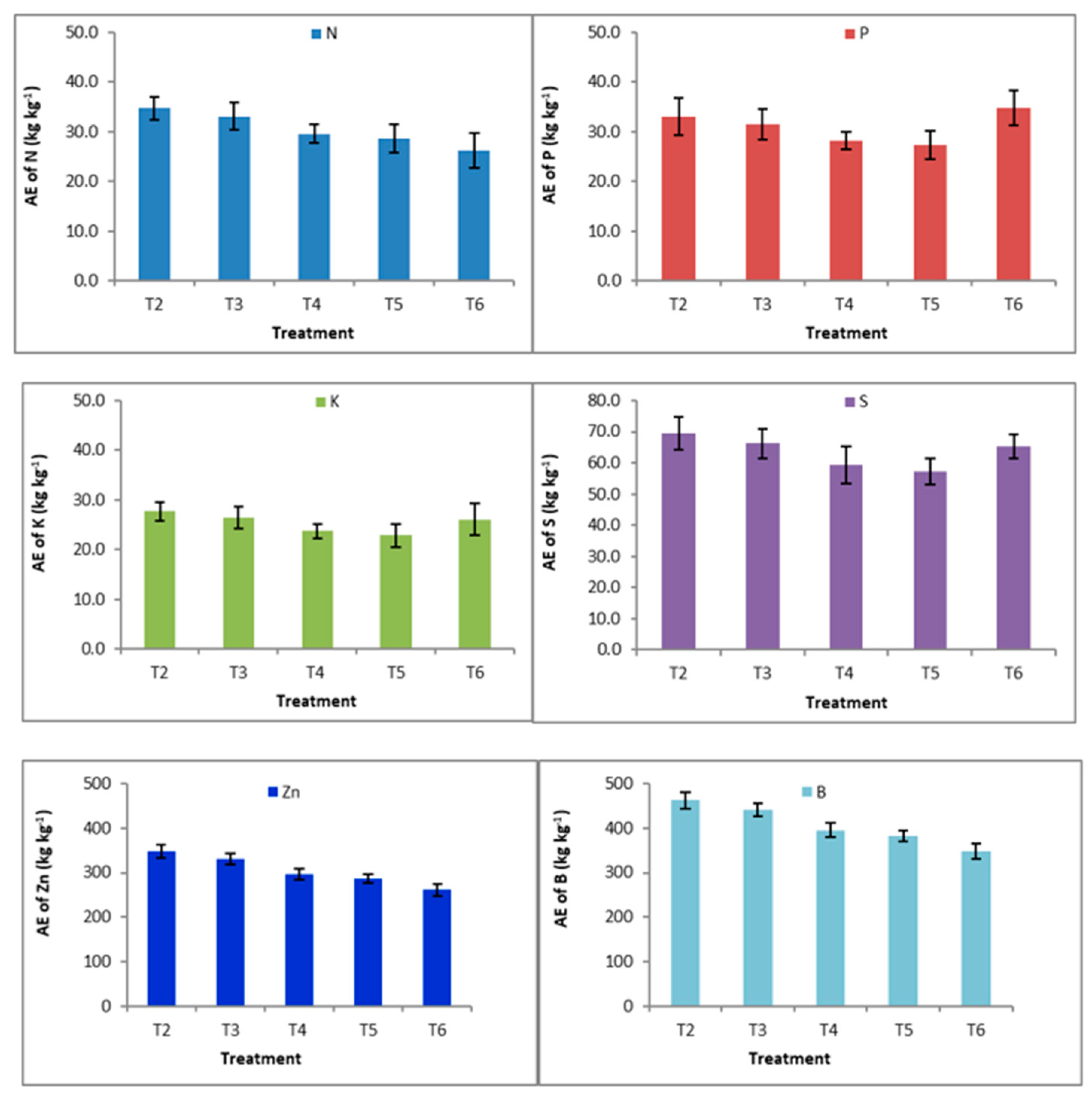
3.3.4. Agronomic Efficiency (AE) of Nutrients in Lentil
3.4. Mungbean
3.4.1. Yield and Yield Components of Mungbean
3.4.2. Nutrient Content in Mungbean
3.4.3. Nutrient Uptake by Mungbean (Seed + Stover)
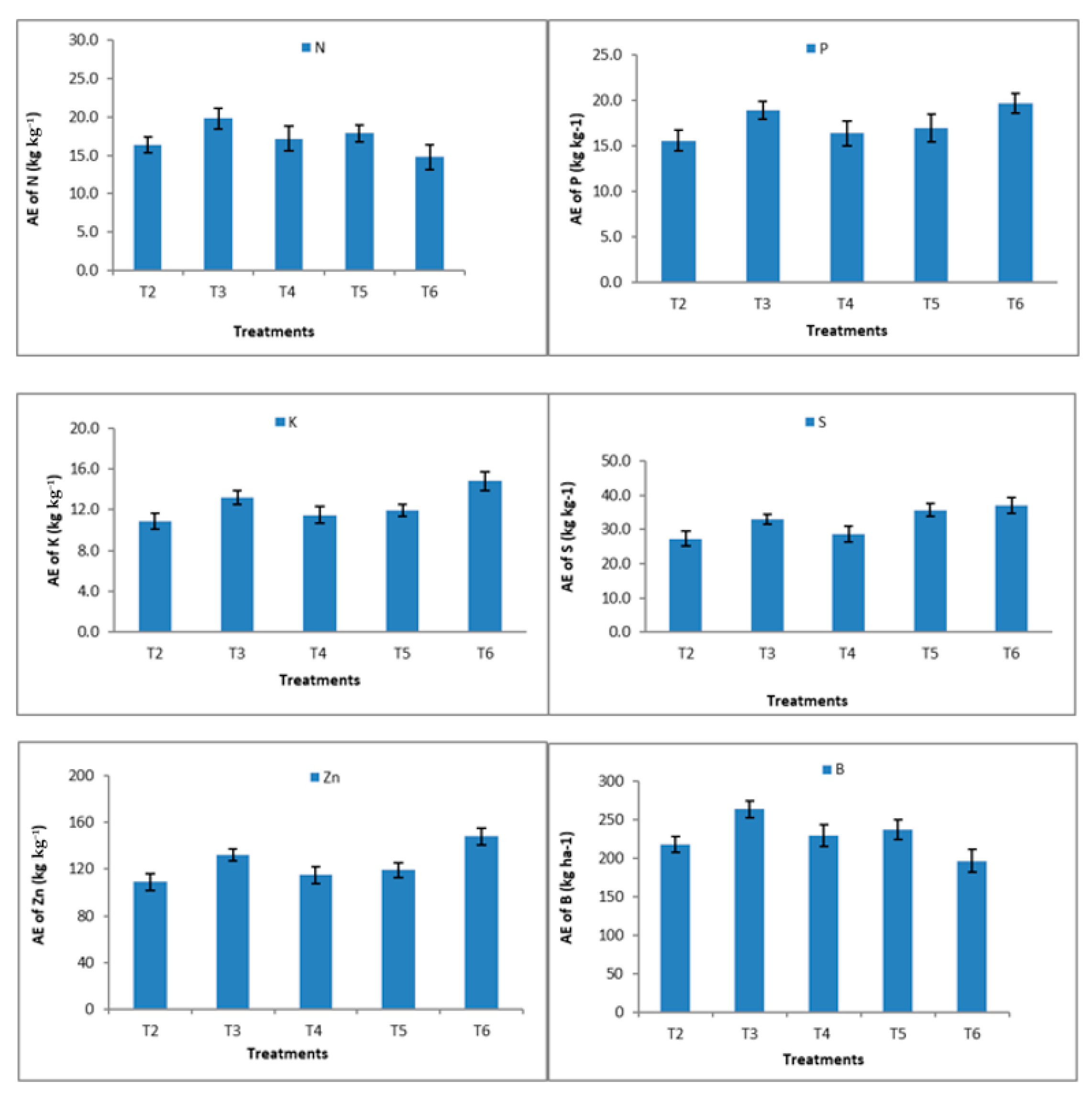
3.4.4. Agronomic Efficiency (AE) of Nutrients in Mungbean
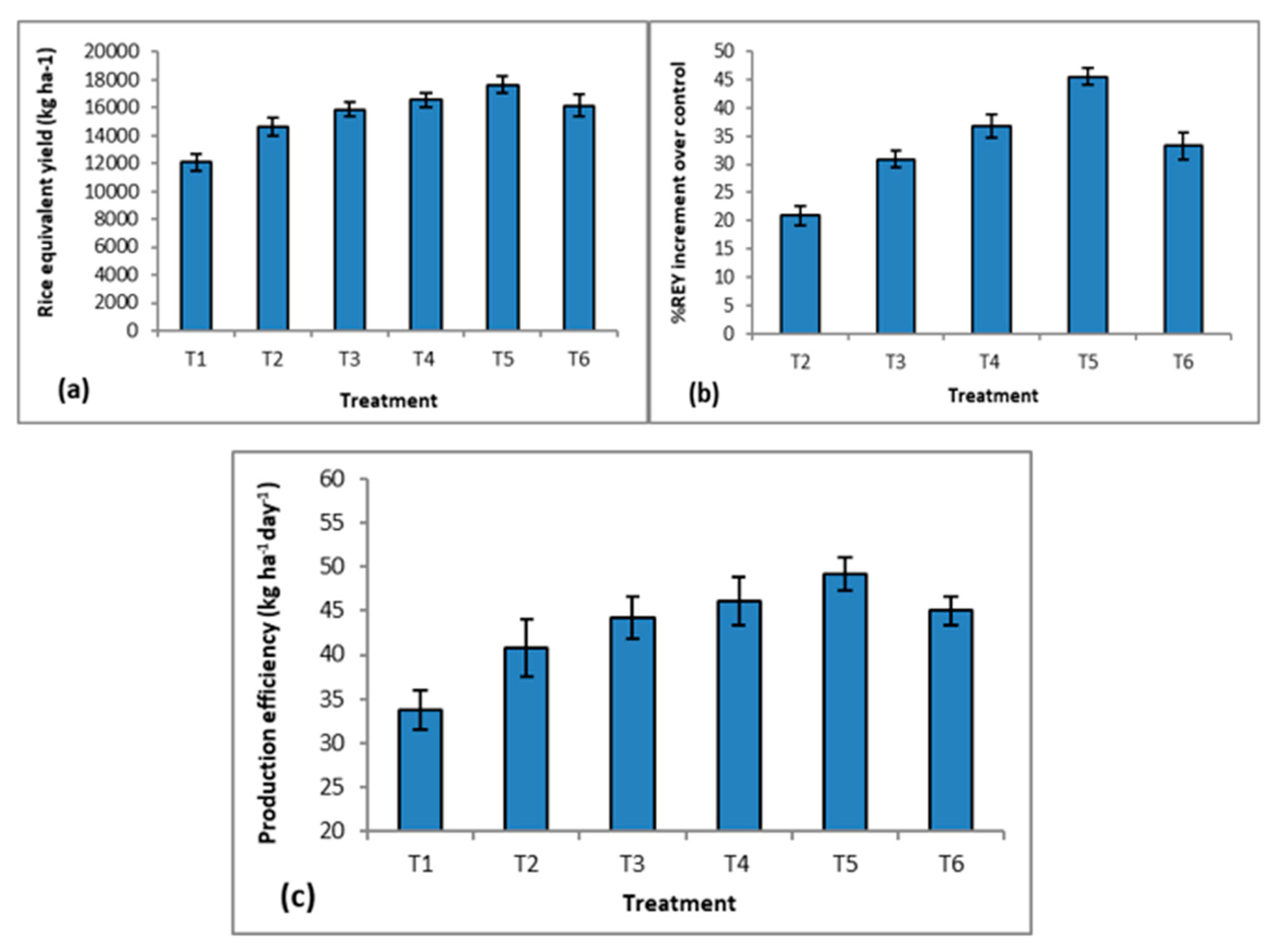
3.5. Rice Equivalent Yield and Production Efficiency
3.6. Total Nutrient Uptake and Apparent Nutrient Recovery Efficiency
3.7. Effect of Fertilizer Management Practices on Postharvest Soil Properties
3.8. Cost and Return Analysis
4. Discussion
4.1. Yields and Yield Attributes
4.2. Nutrient Uptake, Productivity Efficiency, and Soil Properties in the System
4.3. Sustainable Soil Fertility Management for Intensive Cropping
5. Conclusions
Author Contributions
Funding
Data Availability Statement
Acknowledgments
Conflicts of Interest
References
- Jones, D.L.; Cross, P.; Withers, P.J.A.; DeLuca, T.H.; Robinson, D.; Quilliam, R.; Harris, I.M.; Chadwick, D.R.; Edwards-Jones, G. Review: Nutrient Stripping: The Global Disparity between Food Security and Soil Nutrient Stocks. J. Appl. Ecol. 2013, 50, 851–862. [Google Scholar] [CrossRef]
- Pretty, J.; Bharucha, J.P. Sustainable Intensification in Agricultural Systems. Ann. Bot. 2014, 114, 1571–1596. [Google Scholar] [CrossRef]
- Rahman, M.S.; Islam, M.T.; Ali, M.S. Feasibility of Introducing Four Crops Based Cropping Patterns in Kushtia Area of Bangladesh. Agriculture 2020, 18, 94–102. [Google Scholar] [CrossRef]
- Islam, M.A.; Islam, M.J.; Ali, M.A.; Khan, A.S.M.M.R.; Hossain, M.F.; Moniruzzaman, M. Transforming Triple Cropping System to Four Crops Pattern: An Approach of Enhancing System Productivity through Intensifying Land Use System in Bangladesh. Int. J. Agron. 2018, 2018, 7149835. [Google Scholar] [CrossRef]
- Barman, A.; Shome, S.; Alam, M.J.; Akhtar, S.; Hossain, M.A. Fertilizer Recommendation for Four Crop Based Cropping Pattern: Potato- Boro- T. Aus-T. Aman Under AEZ-11. Bangladesh Agron. J. 2019, 22, 71–78. [Google Scholar] [CrossRef]
- BARC. Fertilizer Recommendation Guide (FRG); Bangladesh Agricultural Research Council: Dhaka, Bangladesh, 2018. [Google Scholar]
- Konrad, M.; Kirkby, E.; Kosengarten, H.; Appel, T. Principles of Plant Nutrition, 5th ed.; Kluwer Academic Publishers: Dordrecht, The Netherlands; Boston, MA, USA, 2001; ISBN 1-4020-0008-1. [Google Scholar]
- Saleque, M.A.; Abedin, M.J.; Bhuiyan, N.I.; Saman, S.K.; Panaullah, G.M. Long-Term Effects of Inorganic and Organic Fertilizer Sources on Yield and Nutrient Accumulation of Low Land Rice. Field Crops Res. 2004, 86, 53–65. [Google Scholar] [CrossRef]
- Yu, Y.; Xue, L.; Yang, L. Winter Legumes in Rice Crop Rotations Reduces Nitrogen Loss, and Improves Rice Yield and Soil Nitrogen Supply. Agron. Sustain. Dev. 2014, 34, 633–640. [Google Scholar] [CrossRef]
- Tirol-Padre, A.; Ladha, J.K.; Regmi, A.P.; Bhandari, A.L.; Inubushi, K. Organic Amendments Affect Soil Parameters in Two Long-Term Rice-Wheat Experiments. Soil Sci. Soc. Am. J. 2007, 71, 442–452. [Google Scholar] [CrossRef]
- Jonas, N.C.; Justina, N.C.; Franklin, M. Mineral Fertilizers in the Farming Systems of Sub-Saharan Africa. A Review. Agron. Sustain. Dev. 2012, 32, 545–566. [Google Scholar]
- Lucrezia, C.; Ronald, V.; Lies, W. Soils and Pulses: Symbiosis for Life; Food and Agriculture Organization of the United Nations: Rome, Italy, 2016; pp. 1–104. [Google Scholar]
- Stagnari, F.; Maggio, A.; Galieni, A.; Pisante, M. Multiple Benefits of Legumes for Agriculture Sustainability: An Overview. Chem. Biol. Technol. Agric. 2017, 4, 2. [Google Scholar] [CrossRef]
- Urmi, T.A.; Rahman, M.; Islam, M.; Islam, A.; Jahan, N.A.; Mia, A.B.; Akhter, S.; Siddiqui, M.H.; Kalaji, H.M. Integrated Nutrient Management for Rice Yield, Soil Fertility, and Carbon Sequestration. Plants 2022, 11, 138. [Google Scholar] [CrossRef] [PubMed]
- Berg, B.; McClaugherty, C. Plant Litter Decomposition Humus Formation. In Carbon Sequestration; Springer: Berlin/Heidelberg, Germany, 2003; p. 296. [Google Scholar]
- Sandhu, O.S.; Jat, M.L.; Gupta, R.K.; Thind, H.S.; Sidhu, H.S.; Singh, Y. Influence of Residue Type and Method of Placement on Dynamics of Decomposition and Nitrogen Release in Maize-Wheat-Mungbean Cropping on Permanent Raised Beds: A Litterbag Study. Sustainability 2022, 14, 864. [Google Scholar] [CrossRef]
- Tharanathan, R.N.; Mahadevamma, S. Grain Legumes—A Boon to Human Nutrition. Trends Food Sci. Technol. 2003, 14, 507–518. [Google Scholar] [CrossRef]
- Kumar, R.; Lal, M.; Naresh, R.K.; Kumar, M.; Yadav, S.; Kumar, R.; Chandra, M.S.; Rajput, P. Influence of Balanced Fertilization on Productivity, Nutrient Use Efficiency and Profitability of Rice in Inceptisol: A Review. Int. J. Curr. Microbiol. Appl. Sci. 2020, 9, 568–590. [Google Scholar] [CrossRef]
- Shil, N.C.; Saleque, M.A.; Islam, M.R.; Jahiruddin, M. Soil Fertility Status of Some of the Intensive Crop Growing Areas under Major Agro-Ecological Zones of Bangladesh. Bangladesh J. Agril. Res. 2016, 41, 735–757. [Google Scholar] [CrossRef]
- Clark, J. Fertilizer Recommendation Guide; Bangladesh Agricultural Research Council: Dhaka, Bangladesh, 2012. [Google Scholar]
- Ahmed, S.; Quddus, A.F.M.R.; Mohiuddin, M.; Islam, M.R.; Hossain, M.A. Performance of Lentil-Mungbean-T.aus Rice-T.aman Rice against existing Cropping Pattern Lentil-Jute-T.Eman Rice in Faridpur Region. Bangladesh J. Agric. Res. 2019, 44, 537–552. [Google Scholar] [CrossRef]
- Hossain, M.S.; Alam, S.M.M.; Abida, M.Y.; Hasan, M.K.; Khan, A.S.M.M.R. Productivity and Nutrient Balance of Lentil-Mungbean-T. aus-T. aman Rice Cropping Pattern in High Barind Tract. Bangladesh Agron. J. 2018, 21, 105–115. [Google Scholar] [CrossRef][Green Version]
- Page, A.L.; Miller, R.H.; Keeney, D.R. Methods of Soil Analysis. Part 2, Chemical and Microbial Properties; American Society of Agronomy: Madison, WI, USA, 1982. [Google Scholar]
- Gupta, P.K. Soil, Plant, Water and Fertilizer Analysis; Maharana Pratap University of Agriculture & Technology: Rajasthan, India, 2004. [Google Scholar]
- Jackson, M.L. Soil Chemical Analysis; Prentice Hall of India Pvt. Ltd.: New Delhi, India, 1973. [Google Scholar]
- Fox, R.L.; Olsen, R.A.; Rhoades, H.F. Evaluating the Sulphur Status of Soil by Plant and Soil Test. Soil Sci. Soc. Am. J. 1964, 28, 243–246. [Google Scholar] [CrossRef]
- Lindsay, W.; Norvell, W.A. Development of a DTPA soil test for Zn, Fe, Mn and Cu. Soil Sci. Soc. Am. J. 1978, 42, 421–428. [Google Scholar] [CrossRef]
- Piper, C.S. Soil and Plant Analysis; Adelaide University Press: Adelaide, Australia, 1964. [Google Scholar]
- Baligar, V.C.; Fageria, N.K.; He, Z.L. Nutrient Use Efficiency in Plants. Commun. Soil Sci. Plant Anal. 2001, 32, 921–950. [Google Scholar] [CrossRef]
- Analytical Software. Statistix 10; Analytical Software: Tallahassee, FL, USA, 1985. [Google Scholar]
- Mittal, S.; Sharma, S.K. Effect of Different Approaches of Fertilizer Recommendations on Yield, Nutrient Uptake and Economics of Rice under SRI. J. Pharmacogn. Phytochem. 2018, 7, 761–765. [Google Scholar]
- Singh, V.K.; Gautam, P.; Nanda, G.; Dhaliwal, S.S.; Pramanick, B.; Meena, S.S.; Alsanie, W.F.; Gaber, A.; Sayed, S.; Hossain, A. Soil Test Based Fertilizer Application Improves Productivity, Profitability and Nutrient Use Efficiency of Rice (Oryza sativa L.) under Direct Seeded Condition. Agronomy 2021, 11, 1756. [Google Scholar] [CrossRef]
- Bhuiyan, M.A.H.; Mian, M.H.; Islam, M.S.; Islam, M.R. Effects of Integrated Use of Fertilizers and Manure on Yield and Nutrient uptake of T.aus Rice and Mungbean in the Wheat-T.aus Rice/Mungbean-T.aman Rice Cropping Pattern. Bangladesh J. Agric. Res. 2011, 36, 697–710. [Google Scholar] [CrossRef]
- Islam, M.; Karim, R.; Oliver, M.H.; Urmi, T.A.; Hossain, A.; Haque, M.M. Impacts of Trace Element Addition on Lentil (Lens culinaris L.) Agronomy. Agronomy 2018, 8, 100. [Google Scholar] [CrossRef]
- Bhuiyan, M.A.H.; Mian, M.H.; Islam, M.S.; Islam, M.R. Integration of Organic and Inorganic Fertilizers on Yield of T. Aus and Mungbean in a Wheat-T. Aus/Mungbean-T. Aman Cropping Pattern. Bull. Inst. Trop. Agric. 2010, 33, 63–71. [Google Scholar]
- Chaudhary, S.K.; Singh, J.P.; Jhair, S. Effect of Integrated Nitrogen Management on Yield, Quality and Nutrient Uptake of Rice (Oryza sativa L.) under Different Dates of Planting. Indian J. Agron. 2011, 56, 228–231. [Google Scholar]
- Howlader, M.I.A.; Rahman, M.M. Integrated Plant Nutrition System for Mungbean-T. Aus-T. Aman Cropping Pattern in the Ganges Tidal Floodplain. Int. J. Innov. Res. 2020, 5, 8–17. [Google Scholar]
- Sheikh, M.H.R.; Khan, M.S.; Hannan, A.; Huda, A.; Rahman, M.T. Sustainable Crop Production Retaining Soil Fertility and Environment through Mustard-Mungbean-T.aman Cropping Pattern. J. Soil. Nat. 2009, 3, 10–14. [Google Scholar]
- Taliee, A.; Sayadian, K. Effect of Supplemental Irrigation and Plant Nutrient in Chickpea (Dry Farming). J. Agron. Crop Sci. 2000, 2, 12–19. [Google Scholar]
- Fatima, K.F.; Ganie, S.A.; Kumar, Y.; Masoodi, T.H.; Shah, A. Effect of Organic and Inorganic Fertilizer Doses on Growth and Yield of Lentil under Cold Arid Conditions of Ladakh. Int. J. Curr. Microbiol. Appl. Sci. 2018, 7, 1449–1455. [Google Scholar] [CrossRef]
- Nasir, M.; Khalatbari, M.; Farahani, H.M. Zn-foliar Application Influence on Quality and Quality Features in Phaseolus Vulgaris under Different Levels of N and K Fertilizers. Adv. Environ. Biol. 2011, 5, 839–846. [Google Scholar]
- Yadav, S.; Yadav, R.B.; Nanher, A.H.; Tyagi, S. Effect of Nutrient Management on Yield and Nutrient Status on Soil in Mungbean (Vigna radiata L. Wilczek). Trends Biosci. 2015, 8, 406–414. [Google Scholar]
- Elia, A.; Conversa, G. Agronomic and Physiological Responses of a Tomato Crop to Nitrogen Input. Eur. J. Agron. 2012, 40, 64–74. [Google Scholar] [CrossRef]
- Saha, P.K.; Islam, M.N.; Islam, M.S. Updating Nutrient Requirements for Rice-Based Cropping Systems in Nonsaline Tidal Flood Ecosystem. Int. J. Biol. Pap. 2016, 1, 6–11. [Google Scholar]
- Zhang, J.; Li, W.; Zhou, Y.; Ding, Y.; Xu, L.; Jiang, Y.; Li, G. Long-Term Straw Incorporation Increases Rice Yield Stability under High Fertilization Level Conditions in the Rice–Wheat System. Crop J. 2021, 9, 1191–1197. [Google Scholar] [CrossRef]
- Blanchart, E.; Villenave, C.; Viallatoux, A.; Barthès, B.; Girardin, C.; Azontonde, A.; Feller, C. Long-Term Effect of a Legume Cover Crop (Mucuna pruriens var. utilis) on the Communities of Soil Macrofauna and Nematofauna under Maize Cultivation, in Southern Benin. Eur. J. Soil Biol. 2005, 42, 136–144. [Google Scholar] [CrossRef]
- Garrity, D.P.; Akinnifesi, F.K.; Ajayi, O.C.; Weldesemayat, S.G.; Mowo, J.G.; Kalinganire, A.; Larwanou, M.; Bayala, J. Evergreen Agriculture: A Robust Approach to Sustainable Food Security in Africa. Food Secur. 2010, 2, 197–214. [Google Scholar] [CrossRef]







| Parameters and Unit | pH | CEC Cmol Kg−1 | Total N (G Kg−1) | OC (G Kg−1) | Ca | K | P | S | Zn | B |
|---|---|---|---|---|---|---|---|---|---|---|
| Meq. 100 G−1 | Mg Kg−1 | |||||||||
| Results | 8.2 | 6.9 | 0.78 | 8.58 | 18.0 | 0.13 | 14 | 15.2 | 0.83 | 0.15 |
| Critical level | 1.2 | 2.0 | 0.12 | 10 | 10 | 0.60 | 0.20 | |||
| Interpretation | slightly alkaline | very low | low | high | low | medium | medium | medium | low | |
| Months | Average Temperature (°C) | Average Humidity (%) | Precipitation (Mm) | |||||||||
|---|---|---|---|---|---|---|---|---|---|---|---|---|
| 2016 | 2017 | 2018 | 2016 | 2017 | 2018 | 2016 | 2017 | 2018 | ||||
| Min T | Max T | Min T | Max T | Min T | Max T | |||||||
| January | 10.4 | 23.9 | 11.2 | 26.6 | 8.93 | 24.3 | 78.4 | 75.7 | 69.4 | 1.7 | 0.0 | 0.0 |
| February | 15.7 | 27.1 | 13.7 | 30.1 | 15.4 | 30.3 | 80.5 | 76.8 | 66.3 | 15 | 0.0 | 3.0 |
| March | 18.6 | 30.4 | 19.3 | 32.5 | 20.5 | 34.6 | 84.4 | 76.9 | 65.3 | 20 | 7.9 | 12 |
| April | 24.6 | 37.9 | 23.5 | 35.7 | 22.7 | 34.9 | 79.8 | 78.4 | 70.7 | 45 | 107 | 207 |
| May | 23.5 | 36.6 | 24.9 | 36.2 | 24.3 | 34.2 | 82.2 | 81.4 | 75.9 | 165 | 148 | 167 |
| June | 25.9 | 31.4 | 25.3 | 34.5 | 26.4 | 35.1 | 84.6 | 82.6 | 76.5 | 149 | 156 | 101 |
| July | 26.5 | 30.4 | 26.3 | 32.4 | 26.6 | 33.5 | 87.1 | 82.5 | 80.4 | 285 | 664 | 430 |
| August | 25.6 | 31.6 | 26.9 | 33.5 | 26.7 | 33.9 | 84.4 | 79.4 | 79.8 | 229 | 311 | 113 |
| September | 22.8 | 31.0 | 26.5 | 34.6 | 26.0 | 34.6 | 81.5 | 78.3 | 78.2 | 65 | 196 | 75 |
| October | 20.2 | 28.0 | 24.6 | 32.2 | 21.8 | 32.9 | 79.0 | 80.1 | 74.8 | 18.5 | 359 | 74 |
| November | 15.6 | 25.7 | 17.6 | 30.4 | 16.8 | 31.0 | 77.9 | 71.6 | 70.3 | 0.0 | 28 | 1.0 |
| December | 13.0 | 22.6 | 13.5 | 27.1 | 11.8 | 25.8 | 76.2 | 71.5 | 68.6 | 0.0 | 30 | 11 |
| Aus | Aman | Lentil | Mungbean |
|---|---|---|---|
| T1 = Control (native nutrient) | T1 = Control (native nutrient) | T1 = Control (native nutrient) | T1 = Control (native nutrient) |
| T2 = * N45P7.5K20S5Zn0.75 B0.25 | T2 = N45P7.5K25S5Zn0.75 B0.25 | T2 = N10P10.5K12.5S5Zn1B0.75 | T2 = N10P10.5K15S6Zn1.5B0.75 |
| T3 = N67.5P11.25K30S7.5Zn1.125B0.375 | T3 = N67.5P11.25K37.5S7.5Zn1.125B0.375 | T3 = N15P15.75K18.75S7.5Zn1.5B1.125 | T3 = N15P15.75K22.5S9Zn2.25B1.125 |
| T4 = N90P15K40S10Zn1.5B0.5 | T4 = N90P15K50S10Zn1.5B0.5 | T4 = N20P 21K25S10Zn2B1.5 | T4 = N20P 21K30S12Zn3B1.5 |
| T5 = N112.5P18.75K50S12.5Zn1.875B0.625 | T5 = N112.5P18.75K62.5S12.5Zn1.875B0.625 | T5 = N25P26.25K31.25S12.5Zn2.5B1.875 | T5 = N25P26.25K37.5S12.5Zn3.75B1.875 |
| T6 = N90P15K30S5Zn1.5 | T6 = N100P15K30S5Zn1.5 | T6 = N20P15K20S8Zn2B1.5 | T6 = N20P15K20S8 Zn2B1.5 |
| Treatment | Plant Height (Cm) | Florets Panicle−1 | 1000-Grain Weight (G) | Rice Grain Yield (Kg Ha−1) | Rice Straw Yield (Kg Ha−1) |
|---|---|---|---|---|---|
| T1 = Control | 87.5 d | 70.0 c | 23.6 c | 3326 c | 3713 c |
| T2 = 50% RDF | 93.8 cd | 82.2 b | 25.9 b | 3950 b | 4184 b |
| T3 = 75% RDF | 96.4 bc | 83.3 b | 26.7 b | 4040 b | 4359 b |
| T4 = 100% RDF | 103 ab | 89.0 a | 27.2 ab | 4156 ab | 4522 ab |
| T5 = 125% RDF | 107 a | 92.8 a | 28.9 a | 4399 a | 4658 a |
| T6 = FP | 99.2 bc | 88.1 b | 25.9 b | 4087 b | 4384 b |
| Treatments | N | P | K | S | Zn | B |
|---|---|---|---|---|---|---|
| G Kg−1 | ||||||
| Grain | ||||||
| T1 = Control | 8.99 c | 1.68 | 2.64 c | 0.81 d | 0.0263 d | 0.0105 e |
| T2 = 50% RDF | 9.24 bc | 1.77 | 2.77 bc | 0.86 c | 0.0271 cd | 0.0130 d |
| T3 = 75% RDF | 9.54 a–c | 1.81 | 2.81 bc | 0.89 b | 0.0276 bc | 0.0144 c |
| T4 = 100% RDF | 9.77 ab | 1.82 | 2.95 ab | 0.92 b | 0.0282 ab | 0.0152 b |
| T5 = 125% RDF | 10.0 a | 1.88 | 3.17 a | 0.94 a | 0.0289 a | 0.0162 a |
| T6 = FP | 9.56 a–c | 1.79 | 2.92 b | 0.86 a | 0.0270 cd | 0.0151 bc |
| Straw | ||||||
| T1 = Control | 5.76 b | 0.69 e | 16.4 c | 1.12 b | 0.0452 d | 0.0112 e |
| T2 = 50% RDF | 5.87 ab | 0.72 d | 17.5 b | 1.16 ab | 0.0482 c | 0.0119 cd |
| T3 = 75% RDF | 5.91 ab | 0.76 c | 17.6 b | 1.18 ab | 0.0485 c | 0.0123 c |
| T4 = 100% RDF | 5.99 a | 0.79 b | 17.9 ab | 1.20 ab | 0.0497 ab | 0.0130 b |
| T5 = 125% RDF | 6.03 a | 0.85 a | 18.2 a | 1.23 a | 0.0503 a | 0.0143 a |
| T6 = FP | 5.88 ab | 0.77 c | 17.5 b | 1.21 ab | 0.0489 ac | 0.0115 de |
| Treatment | N | P | K | S | Zn | B |
|---|---|---|---|---|---|---|
| Kg Ha−1 | ||||||
| T1 = Control | 51.3 c | 8.14 c | 69.6 c | 6.85 c | 0.254 c | 0.077 d |
| T2 = 50% RDF | 61.2 b | 10.0 b | 84.1 b | 8.22 b | 0.309 b | 0.101 c |
| T3 = 75% RDF | 64.8 ab | 10.7 ab | 88.2 b | 8.78 ab | 0.324 b | 0.113 b |
| T4 = 100% RDF | 67.7 ab | 11.1ab | 93.2 ab | 9.21 ab | 0.342 ab | 0.122 b |
| T5 = 125% RDF | 72.2 a | 12.2 a | 98.7 a | 9.88 a | 0.361 a | 0.138 a |
| T6 = FP | 65.8 ab | 10.8 ab | 89.0 b | 8.90 ab | 0.327 ab | 0.114 b |
| Treatment | Plant Height (Cm) | Florets Panicle−1 | 1000-Grain Weight (G) | Rice Grain Yield (Kg Ha−1) | Rice Straw Yield (Kg Ha−1) |
|---|---|---|---|---|---|
| T1 = Control | 88.6 c | 72.8 c | 17.4 b | 2092 d | 2200 e |
| T2 = 50% RDF | 97.5 b | 86.9 b | 18.3 a | 2388 c | 2459 d |
| T3 = 75% RDF | 100 b | 98.7 b | 18.7 a | 2584 bc | 2693 c |
| T4 = 100% RDF | 104 a | 107 a | 18.8 a | 2765 ab | 2940 ab |
| T5 = 125% RDF | 106 a | 116 a | 19.0 a | 2897 a | 3088 a |
| T6 = FP | 98.9 b | 92.3 b | 18.7 a | 2700 b | 2851 b |
| Treatments | N | P | K | S | Zn | B |
|---|---|---|---|---|---|---|
| G Kg−1 | ||||||
| Grain | ||||||
| T1 = Control | 11.2 c | 2.21 b | 2.43 | 0.95 | 0.0245 b | 0.0105 b |
| T2 = 50% RDF | 11.7 bc | 2.41 ab | 2.56 | 0.97 | 0.0253 ab | 0.0112 b |
| T3 = 75% RDF | 11.9 ab | 2.63 ab | 2.62 | 0.97 | 0.0258 ab | 0.0121 ab |
| T4 = 100% RDF | 12.1 ab | 2.67 ab | 2.68 | 0.98 | 0.0265 a | 0.0137 ab |
| T5 = 125% RDF | 12.3 a | 2.80 a | 2.74 | 0.99 | 0.0269 a | 0.0149 a |
| T6 = FP | 11.8 ab | 2.67 ab | 2.61 | 0.96 | 0.0256 ab | 0.0138 ab |
| Straw | ||||||
| T1 = Control | 6.71 b | 0.674 | 21.2 d | 1.10 b | 0.0495 d | 0.0092 e |
| T2 = 50% RDF | 6.79 b | 0.679 | 22.7 c | 1.15 ab | 0.0503 d | 0.0101 d |
| T3 = 75% RDF | 6.85 ab | 0.681 | 23.4 bc | 1.17 ab | 0.0514 c | 0.0115 ab |
| T4 = 100% RDF | 6.93 ab | 0.689 | 23.9 ab | 1.19 a | 0.0529 ab | 0.0110 bc |
| T5 = 125% RDF | 7.11 a | 0.693 | 24.5 a | 1.21 a | 0.0531 a | 0.0121 a |
| T6 = FP | 6.82 ab | 0.684 | 23.3 bc | 1.19 a | 0.0520 bc | 0.0103 cd |
| Treatments | N | P | K | S | Zn | B |
|---|---|---|---|---|---|---|
| Kg ha−1 | ||||||
| T1 = Control | 38.1 d | 6.09 c | 51.7 e | 4.41 d | 0.159 d | 0.031 d |
| T2 = 50% RDF | 44.6 c | 7.44bc | 61.9 d | 5.14 cd | 0.183 cd | 0.036 cd |
| T3 = 75% RDF | 49.2 bc | 8.07 b | 69.8 c | 5.65 bc | 0.205 bc | 0.042 bc |
| T4 = 100% RDF | 54.0 ab | 9.03 ab | 77.7 ab | 6.21 ab | 0.228 ab | 0.046 ab |
| T5 = 125% RDF | 57.6 a | 10.2 a | 83.6 a | 6.68 a | 0.242 a | 0.052 a |
| T6 = FP | 51.3 b | 9.42 a | 73.5 bc | 5.98 ab | 0.217 ab | 0.043 b |
| Treatments | Plant Height (Cm) | Pods Plant−1 | 1000-Seed Weight (G) | Seed Yield (Kg Ha−1) | Stover Yield (Kg Ha−1) |
|---|---|---|---|---|---|
| T1 = Control | 33.3 b | 45.5 d | 21.1 b | 1000 d | 1626 d |
| T2 = 50% RDF | 34.3 b | 54.2 c | 21.5 ab | 1347 c | 1963 c |
| T3 = 75% RDF | 35.7 b | 63.8 b | 22.0 a | 1467 bc | 2252 b |
| T4 = 100% RDF | 37.5 ab | 64.6 b | 22.0 a | 1543 b | 2405 b |
| T5 = 125% RDF | 40.6 a | 73.7 a | 22.1 a | 1716 a | 2600 a |
| T6 = FP | 36.6 ab | 63.4 b | 21.6 ab | 1503 b | 2442 b |
| Treatments | N | P | K | S | Zn | B |
|---|---|---|---|---|---|---|
| G Kg−1 | ||||||
| Seed | ||||||
| T1 = Control | 37.8 c | 4.30 d | 5.60 e | 1.40 d | 0.0663 e | 0.0331 f |
| T2 = 50% RDF | 41.2 b | 4.80 c | 5.90 d | 1.60 cd | 0.0687 d | 0.0349 d |
| T3 = 75% RDF | 41.8 ab | 5.00 c | 6.30 c | 1.70 bc | 0.0705 c | 0.0358 c |
| T4 = 100% RDF | 42.4 ab | 5.40 b | 6.80 b | 1.90 ab | 0.0723 b | 0.0380 b |
| T5 = 125% RDF | 43.1 a | 5.90 a | 7.30 a | 2.10 a | 0.0731 a | 0.0392 a |
| T6 = FP | 40.9 b | 4.90 c | 6.50 c | 1.60 cd | 0.0659 e | 0.0335 e |
| Stover | ||||||
| T1 = Control | 11.4 c | 5.60 d | 4.80 d | 2.70 d | 0.0428 c | 0.0302 d |
| T2 = 50% RDF | 12.0 bc | 6.10 c | 5.30 c | 3.10 c | 0.0431 c | 0.0316 c |
| T3 = 75% RDF | 12.5 bc | 6.70 b | 5.70 bc | 3.20 bc | 0.0452 b | 0.0322 c |
| T4 = 100% RDF | 13.2 ab | 7.10 ab | 6.00 ab | 3.50 ab | 0.0464 a | 0.0334 b |
| T5 = 125% RDF | 13.8 a | 7.50 a | 6.40 a | 3.60 a | 0.0470 a | 0.0347 a |
| T6 = FP | 12.1 bc | 6.20 c | 5.60 bc | 3.30 a–c | 0.0431 c | 0.0308 d |
| Treatment | N | P | K | S | Zn | B |
|---|---|---|---|---|---|---|
| Kg Ha−1 | ||||||
| T1 = Control | 56.3 d | 13.4 e | 13.3 d | 5.77 e | 0.136 d | 0.074 d |
| T2 = 50% RDF | 79.2 c | 18.5 d | 18.3 c | 8.27 d | 0.177 c | 0.109 c |
| T3 = 75% RDF | 90.8 bc | 22.5 c | 22.2 bc | 9.80 cd | 0.207 b | 0.126 bc |
| T4 = 100% RDF | 101 ab | 26.4 ab | 25.7 ab | 11.8 ab | 0.231 ab | 0.144 ab |
| T5 = 125% RDF | 110 a | 29.4 a | 29.2 a | 13.0 a | 0.248 a | 0.158 a |
| T6 = FP | 92.9 b | 23.2 bc | 24.1 b | 10.8 bc | 0.210 b | 0.129 bc |
| Treatments | Plant Height (Cm) | Pods Plant−1 | 1000-Seed Weight (G) | Seed Yield (Kg Ha−1) | Stover Yield (Kg Ha−1) |
|---|---|---|---|---|---|
| T1 = Control | 42.5 c | 17.8 c | 43.2 c | 1203 c | 1607 c |
| T2 = 50% RDF | 50.8 b | 26.6 b | 45.2 bc | 1367 bc | 1850 b |
| T3 = 75% RDF | 53.6 b | 25.9 b | 46.3 ab | 1501 b | 2006 b |
| T4 = 100% RDF | 56.9 a | 29.0 ab | 46.9 ab | 1548 ab | 2156 a |
| T5 = 125% RDF | 58.8 a | 31.0 a | 48.7 a | 1650 a | 2253 a |
| T6 = FP | 53.9 b | 26.9 b | 46.4 ab | 1499 b | 2081 b |
| Treatments | N | P | K | S | Zn | B |
|---|---|---|---|---|---|---|
| G Kg−1 | ||||||
| Seed | ||||||
| T1 = Control | 32.3 c | 3.40 d | 12.3 c | 1.90 d | 0.023 e | 0.0266 f |
| T2 = 50% RDF | 34.6 b | 3.70 bc | 12.7 b | 2.10 cd | 0.0242 d | 0.0287 d |
| T3 = 75% RDF | 35.1 ab | 3.60 cd | 12.8 ab | 2.20 bc | 0.0254 c | 0.0291 c |
| T4 = 100% RDF | 35.5 ab | 3.90 ab | 12.9 ab | 2.40 ab | 0.0261 b | 0.0308 b |
| T5 = 125% RDF | 35.9 a | 4.10 a | 13.0 a | 2.60 a | 0.0275 a | 0.0313 a |
| T6 = FP | 32.5 c | 3.70 bc | 12.7 b | 2.20 bc | 0.0238 d | 0.0269 e |
| Stover | ||||||
| T1 = Control | 13.5 d | 2.10 c | 13.4 b | 1.50 c | 0.0224 d | 0.0272 c |
| T2 = 50% RDF | 14.5 cd | 2.20 c | 13.8 ab | 1.70 bc | 0.0236 c | 0.0289 bc |
| T3 = 75% RDF | 15.1 bc | 2.30 bc | 13.9 ab | 1.80 ab | 0.0245 b | 0.0275 c |
| T4 = 100% RDF | 15.7 ab | 2.50 ab | 14.1 a | 1.90 ab | 0.0249 ab | 0.0310 ab |
| T5 = 125% RDF | 16.2 a | 2.60 a | 14.3 a | 2.00 a | 0.0253 a | 0.0328 a |
| T6 = FP | 14.2 cd | 2.30 bc | 13.8 ab | 1.90 ab | 0.0227 d | 0.0280 bc |
| Treatments | N | P | K | S | Zn | B |
|---|---|---|---|---|---|---|
| Kg Ha−1 | ||||||
| T1 = Control | 60.7 b | 7.46 c | 36.2 b | 4.71 c | 0.0637 c | 0.0753 c |
| T2 = 50% RDF | 74.3 ab | 9.15 bc | 42.9 ab | 6.05 bc | 0.0767 bc | 0.0930 bc |
| T3 = 75% RDF | 82.9 a | 10.0 a–c | 47.1 ab | 6.92 a–c | 0.0870 ab | 0.0990 bc |
| T4 = 100% RDF | 88.8 a | 11.4 ab | 50.3 a | 7.81 ab | 0.0940 ab | 0.1147 ab |
| T5 = 125% RDF | 95.7 a | 12.6 a | 53.7 a | 8.87 a | 0.1027 a | 0.1260 a |
| T6 = FP | 78.4 ab | 10.3 ab | 47.8 ab | 7.29 ab | 0.0833 a–c | 0.0990 bc |
| Treatments | N | P | K | S | Zn | B |
|---|---|---|---|---|---|---|
| Kg Ha−1 | ||||||
| T1 = Control | 206 d | 35.1 d | 171 d | 21.7 d | 0.614 d | 0.256 d |
| T2 = 50% RDF | 259 c | 45.1 c | 207 c | 27.6 c | 0.747 c | 0.339 c |
| T3 = 75% RDF | 288 bc | 51.8 bc | 227 bc | 31.1 bc | 0.824 bc | 0.380 bc |
| T4 = 100% RDF | 311 ab | 58.0 ab | 247 ab | 35.0 ab | 0.896 ab | 0.427 ab |
| T5 = 125% RDF | 335 a | 64.6 a | 265 a | 38.4 a | 0.955 a | 0.473 a |
| T6 = FP | 288 bc | 53.8 b | 234 bc | 33.0 bc | 0.838 bc | 0.385 bc |
| Treatments | Ph | OC (G Kg−1) | Total N (G Kg−1) | Ca | K | P | S | Zn | B |
|---|---|---|---|---|---|---|---|---|---|
| Meq. 100 G−1 | Mg Kg−1 | ||||||||
| Opening | 8.2 | 8.58 | 0.78 | 18.0 | 0.13 | 14.0 | 14.7 | 0.81 | 0.15 |
| T1 = Control | 8.03 a | 9.53 d | 0.84 c | 17.5 a | 0.12 ab | 14.1 b | 14.3 b | 0.80 d | 0.13 c |
| T2 = 50% RDF | 7.93 ab | 9.67 bc | 0.87 b | 17.2 bc | 0.11 b | 14.0 b | 14.9 a | 0.83 bc | 0.14 bc |
| T3 = 75% RDF | 7.80 b | 9.78 c | 0.87 b | 17.3 b | 0.11 b | 15.0 a | 15.0 a | 0.83 bc | 0.16 ab |
| T4 = 100% RDF | 7.90 ab | 10.0 a | 0.88 b | 17.2 bc | 0.14 b | 15.0 a | 14.9 a | 0.82 c | 0.15 a–c |
| T5 = 125% RDF | 7.76 b | 10.2 a | 0.90 a | 17.1 c | 0.15 a | 15.2 a | 15.0 a | 0.84 a | 0.17 a |
| T6 = FP | 7.76 b | 9.9 bc | 0.89 ab | 17.2 bc | 0.12 ab | 15.0 a | 14.9 a | 0.83 bc | 0.14 bc |
Publisher’s Note: MDPI stays neutral with regard to jurisdictional claims in published maps and institutional affiliations. |
© 2022 by the authors. Licensee MDPI, Basel, Switzerland. This article is an open access article distributed under the terms and conditions of the Creative Commons Attribution (CC BY) license (https://creativecommons.org/licenses/by/4.0/).
Share and Cite
Quddus, M.A.; Anwar, M.B.; Alam, M.K.; Ahmed, R.; Sarker, K.K.; Islam, M.A.; Islam, M.T.; Kobeasy, M.I.; Gaber, A.; Ahmed, S. Modification of Nutrient Requirements for a Four Crop-Based Cropping System to Increase System Productivity, Maintain Soil Fertility, and Achieve Sustainable Intensification. Sustainability 2022, 14, 7194. https://doi.org/10.3390/su14127194
Quddus MA, Anwar MB, Alam MK, Ahmed R, Sarker KK, Islam MA, Islam MT, Kobeasy MI, Gaber A, Ahmed S. Modification of Nutrient Requirements for a Four Crop-Based Cropping System to Increase System Productivity, Maintain Soil Fertility, and Achieve Sustainable Intensification. Sustainability. 2022; 14(12):7194. https://doi.org/10.3390/su14127194
Chicago/Turabian StyleQuddus, Md. Abdul, Md. Babul Anwar, Md. Khairul Alam, Razu Ahmed, Khokan Kumer Sarker, Md. Anarul Islam, Md. Torikul Islam, Mohamed I. Kobeasy, Ahmed Gaber, and Sharif Ahmed. 2022. "Modification of Nutrient Requirements for a Four Crop-Based Cropping System to Increase System Productivity, Maintain Soil Fertility, and Achieve Sustainable Intensification" Sustainability 14, no. 12: 7194. https://doi.org/10.3390/su14127194
APA StyleQuddus, M. A., Anwar, M. B., Alam, M. K., Ahmed, R., Sarker, K. K., Islam, M. A., Islam, M. T., Kobeasy, M. I., Gaber, A., & Ahmed, S. (2022). Modification of Nutrient Requirements for a Four Crop-Based Cropping System to Increase System Productivity, Maintain Soil Fertility, and Achieve Sustainable Intensification. Sustainability, 14(12), 7194. https://doi.org/10.3390/su14127194

