Energy Return on Investment of Major Energy Carriers: Review and Harmonization
Abstract
:1. Introduction
2. Materials and Methods
2.1. EROI Definition
2.2. Supply Chain Boundary Mismatch
2.3. Temporal Boundary Mismatch
2.4. Focusing on Net Energy and the “Cliff”
2.5. Literature Review
2.5.1. Literature on EROI of Thermal Fuels
2.5.2. Literature on EROI of Electricity
2.6. EROI Harmonization
2.6.1. Harmonization of EROI Values of Thermal Fuels
2.6.2. Harmonization of EROI Values of Electricity
- (i)
- all “straight” EROI ratios were consistently multiplied by the same fixed 1/ηG value, thereby calculating the corresponding EROIPE-eq, as per Equation (6). Given the critical sensitivity associated to ηG (as discussed in Section 2.3), a sensitivity analysis was carried out by repeating such calculation twice, first by setting ηG = 0.3 (representative of deployment in most grid mixes dominated by conventional thermal generators), and then by setting ηG = 0.7 (representative of deployment in a typical “decarbonized” grid mix with a significant penetration of renewable energies [7]).
- (ii)
- All “weighted” EROI ratios were first divided by whatever weighting factor had originally been assumed by the authors, thereby essentially undoing any such weighting and reverting to the corresponding “straight” EROIs where the numerator is simply the electricity output. Then, the same procedure as for (i) was applied, so as to once again arrive at two sets of EROIPE-eq values, respectively based on assumed ηG = 0.3 and ηG = 0.7 life-cycle primary-to-electricity conversion factors.
3. Results
- -
- A total of 113 papers were found reporting EROI values, but, after screening them, the harmonization used only 31 papers.
- -
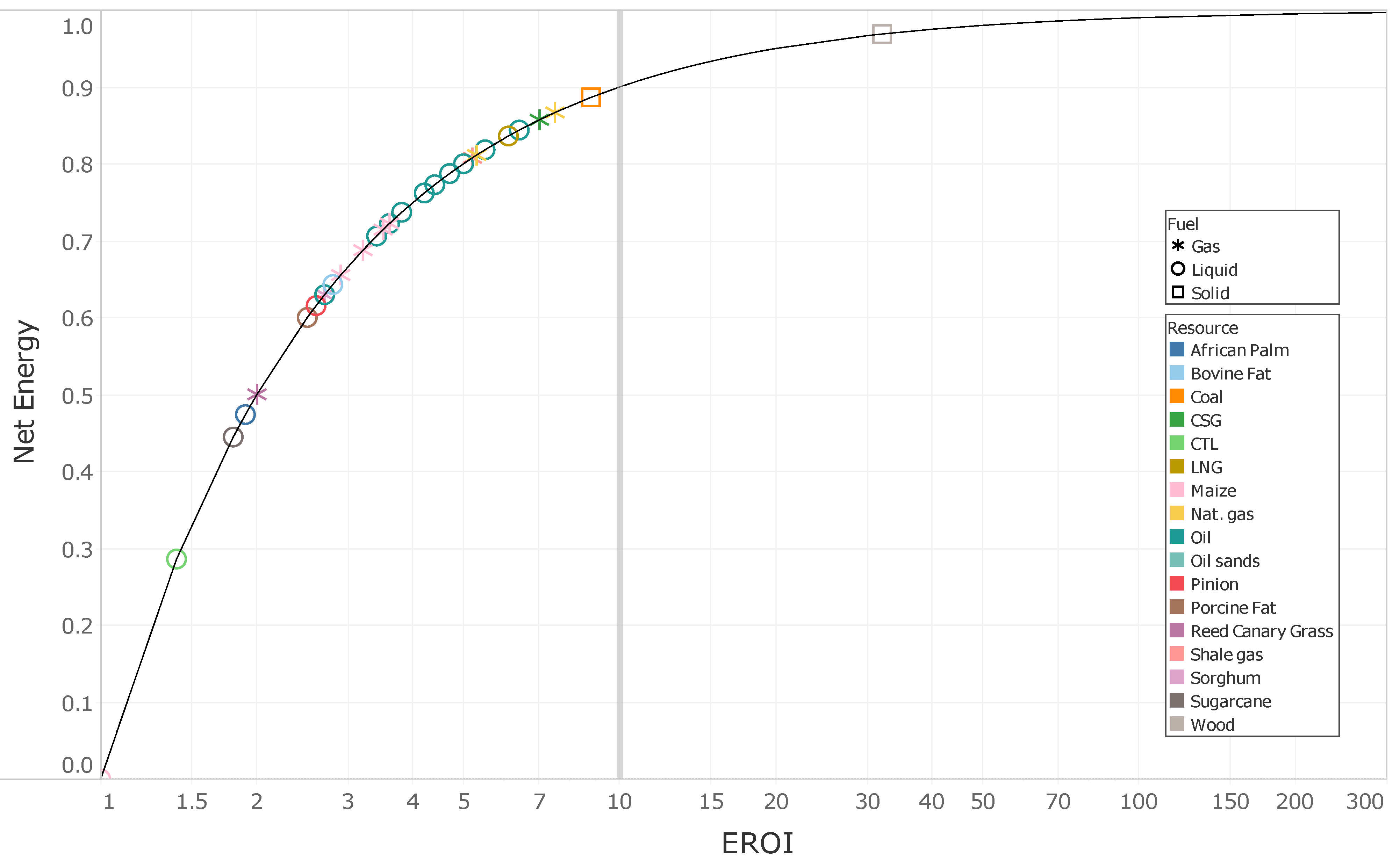
- Most thermal fuels, including biofuel, oil, and natural gas have EROIs well below 10 after accounting for the entire production chain to the point-of-use.
- -
- EROIs from electricity production from hydro, wind, and PV are all at or above 10, once they are consistently expressed as “primary energy equivalent” (EROIPE-eq).
3.1. Literature Screening
3.2. Harmonization Analysis
3.2.1. EROIs of Thermal Fuels at Point of Use
3.2.2. EROIs of Electricity at Point of Use
- Hydroelectricity exhibits the highest EROIPE-eq results by far. The second highest-ranking group of technologies in terms of harmonized EROIPE-eq comprise: nuclear, wind, and—in some cases—PVs (see point 2. below for caveats on the latter). CSP and geothermal electricity can then be grouped together as the third “block” of results in descending order of EROIPE-eq. Broadly speaking, all electricity generation technologies listed thus far are characterized by harmonized EROIPE-eq values greater than 10, when calculated assuming a primary energy to electricity life-cycle conversion factor ηG = 0.3. Oceanic electricity straddles this symbolic EROIPE-eq = 10 line.
- The EROIPE-eq values for PV electricity (and to a lesser extent also for geothermal electricity) span a fairly wide range. This appears to be primarily due to intrinsic differences in the assessed supply chains and technologies. Specifically, for the case of PV, the technological differences among the various technologies (sc-Si, mc-Si, CdTe and CIGS) are compounded by the large effect of variations in assumed solar irradiation (from approximately 1000 kWh·m−2·yr−1 for northern latitudes e.g., Germany, to over 2300 kWh·m−2·yr−1 for southern latitudes e.g., Chile). However, the deliberate choice was made not to attempt any harmonization for the latter, since it represents a real-world variable and not a methodological inconsistency per se. The important take-home message in these cases is that it is unreasonable to expect to arrive at a single value (or a very tight range of estimates) for the EROIPE-eq of these technologies, due to the intrinsic variability ranges that characterize them.
- The EROIPE-eq values for thermal electricity from the combustion of fossil fuels (coal and natural gas) are both in the range of 10–12, when calculated using ηG = 0.3.
- Thermal electricity from biogas and BECCS is characterized by comparatively low EROIPE-eq values of 2–5, when calculated using ηG = 0.3. While these results may appear to contradict some higher estimates in the previous literature, it seems likely that in those earlier studies some of the supply chain investments identified in Table 2 may have been missed. For instance, Raugei et al. [23] caveated their results for biomass- and biogas-fired electricity by stating that “EROI results for these technologies are affected by a larger margin of uncertainty, due to a combination of older inventory data and (for biomass and biogas) possible inaccuracies in the modelling of the feedstock supply chains”.
- Finally, the calculated EROIPE-eq values for biomass-fired electricity using wood chips is comparatively high at 16 (assuming ηG = 0.3). However, as discussed in Section 3.2.1 for wood chips as a fuel stock, this result is only valid for this particular biomass fuel, whereas it would be considerably lower if a blend of woodchips and wood pellets were employed instead (as is the case in the UK, for instance [22]).
4. Discussion and Conclusions
Supplementary Materials
Author Contributions
Funding
Institutional Review Board Statement
Informed Consent Statement
Conflicts of Interest
References
- Hall, C.A.S.; Balogh, S.; Murphy, D.J.R. What Is the Minimum EROI That a Sustainable Society Must Have? Energies 2009, 2, 25–47. [Google Scholar] [CrossRef]
- Fizaine, F.; Court, V. Energy Expenditure, Economic Growth, and the Minimum EROI of Society. Energy Policy 2016, 95, 172–186. [Google Scholar] [CrossRef]
- Brandt, A.R. How Does Energy Resource Depletion Affect Prosperity? Mathematics of a Minimum Energy Return on Investment (EROI). BioPhysical Econ. Resour. Qual. 2017, 2, 2. [Google Scholar] [CrossRef] [Green Version]
- Lambert, J.G.; Hall, C.A.S.; Balogh, S.; Gupta, A.; Arnold, M. Energy, EROI and Quality of Life. Energy Policy 2014, 64, 153–167. [Google Scholar] [CrossRef] [Green Version]
- Hall, C.A.S.; Lavine, M.; Sloane, J. Efficiency of Energy Delivery Systems: Part 1 An Economic and Energy Analysis. Environ. Manag. 1979, 3, 493–504. [Google Scholar] [CrossRef]
- Bhandari, K.P.; Collier, J.M.; Ellingson, R.J.; Apul, D.S. Energy Payback Time (EPBT) and Energy Return on Energy Invested (EROI) of Solar Photovoltaic Systems: A Systematic Review and Meta-Analysis. Renew. Sustain. Energy Rev. 2015, 47, 133–141. [Google Scholar] [CrossRef]
- Raugei, M.; Peluso, A.; Leccisi, E.; Fthenakis, V. Life-Cycle Carbon Emissions and Energy Return on Investment for 80% Domestic Renewable Electricity with Battery Storage in California. Energies 2020, 13, 3934. [Google Scholar] [CrossRef]
- Ferroni, F.; Hopkirk, R.J. Energy Return on Energy Invested (ERoEI) for Photovoltaic Solar Systems in Regions of Moderate Insolation. Energy Policy 2016, 94, 336–344. [Google Scholar] [CrossRef] [Green Version]
- Prieto, P.A.; Hall, C. Spain’s Photovoltaic Revolution: The Energy Return on Investment; Springer: New York, NY, USA, 2013. [Google Scholar]
- Raugei, M.; Frischknecht, R.; Olson, C.; Sinha, P.; Heath, G. Methodological Guidelines on Net Energy Analysis of Photovoltaic Electricity; International Energy Agency: Paris, France, 2016. [Google Scholar]
- Raugei, M.; Frischknecht, R.; Olson, C.; Sinha, P.; Heath, G. Methodological Guidelines on Net Energy Analysis of Photovoltaic Electricity, 2nd ed.; International Energy Agency: Paris, France, 2021. [Google Scholar]
- Murphy, D.J.; Carbajales-Dale, M.; Moeller, D. Comparing Apples to Apples: Why the Net Energy Analysis Community Needs to Adopt the Life-Cycle Analysis Framework. Energies 2016, 9, 917. [Google Scholar] [CrossRef]
- Carbajales-Dale, M. When Is EROI Not EROI? BioPhysical Econ. Resour. Qual. 2019, 4, 16. [Google Scholar] [CrossRef] [Green Version]
- Court, V.; Fizaine, F. Long-Term Estimates of the Energy-Return-on-Investment (EROI) of Coal, Oil, and Gas Global Productions. Ecol. Econ. 2017, 138, 145–159. [Google Scholar] [CrossRef]
- Raugei, M. Net Energy Analysis Must Not Compare Apples and Oranges. Nat. Energy 2019, 4, 86–88. [Google Scholar] [CrossRef]
- Hall, C.A.S.; Day, J.W. Revisiting the Limits to Growth After Peak Oil. Am. Sci. 2009, 97, 230–237. [Google Scholar] [CrossRef]
- Murphy, D.J.; Hall, C.A.S. Year in Review—EROI or Energy Return on (Energy) Invested. N. Y. Ann. Sci. 2010, 1185, 102–118. [Google Scholar] [CrossRef]
- Odum, H.T. Systems Ecology: An Introduction; John Wiley and Sons, Inc.: New York, NY, USA, 1983. [Google Scholar]
- Cleveland, C.J. Energy Quality and Energy Surplus in the Extraction of Fossil Fuels in the U.S. Ecol. Econ. 1992, 6, 139–162. [Google Scholar] [CrossRef]
- Brandt, A.R. Oil Depletion and the Energy Efficiency of Oil Production: The Case of California. Sustainability 2011, 3, 1833–1854. [Google Scholar] [CrossRef] [Green Version]
- Rahman, M.M.; Canter, C.; Kumar, A. Well-to-Wheel Life Cycle Assessment of Transportation Fuels Derived from Different North American Conventional Crudes. Appl. Energy 2015, 156, 159–173. [Google Scholar] [CrossRef]
- Raugei, M.; Leccisi, E. A Comprehensive Assessment of the Energy Performance of the Full Range of Electricity Generation Technologies Deployed in the United Kingdom. Energy Policy 2016, 90, 46–59. [Google Scholar] [CrossRef] [Green Version]
- Raugei, M.; Leccisi, E.; Fthenakis, V.; Escobar Moragas, R.; Simsek, Y. Net Energy Analysis and Life Cycle Energy Assessment of Electricity Supply in Chile: Present Status and Future Scenarios. Energy 2018, 162, 659–668. [Google Scholar] [CrossRef] [Green Version]
- Aguirre-Villegas, H.A.; Benson, C.H. Case History of Environmental Impacts of an Indonesian Coal Supply Chain. J. Clean. Prod. 2017, 157, 47–56. [Google Scholar] [CrossRef]
- Yáñez, E.; Ramírez, A.; Uribe, A.; Castillo, E.; Faaij, A. Unravelling the Potential of Energy Efficiency in the Colombian Oil Industry. J. Clean. Prod. 2018, 176, 604–628. [Google Scholar] [CrossRef]
- Moeller, D.; Murphy, D. Net Energy Analysis of Gas Production from the Marcellus Shale. BioPhysical Econ. Resour. Qual. 2016, 1, 5. [Google Scholar] [CrossRef]
- Raugei, M.; Leccisi, E.; Azzopardi, B.; Jones, C.; Gilbert, P.; Zhang, L.; Zhou, Y.; Mander, S.; Mancarella, P. A Multi-Disciplinary Analysis of UK Grid Mix Scenarios with Large-Scale PV Deployment. Energy Policy 2018, 114, 51–62. [Google Scholar] [CrossRef]
- Brockway, P.E.; Owen, A.; Brand-Correa, L.; Hardt, L. Estimation of Global Final-Stage Energy-Return-on-Investment for Fossil Fuels with Comparison to Renewable Energy Sources. Nat. Energy 2019, 4, 612–621. [Google Scholar] [CrossRef] [Green Version]
- Murphy, D.J. The Implications of the Declining Energy Return on Investment of Oil Production. Philos. Trans. R. Soc. A 2014, 372, 20130126. [Google Scholar] [CrossRef]
- Averson, A.; Hertwich, E.G. More Caution Is Needed When Using Life Cycle Assessment to Determine Energy Return on Investment (EROI). Energy Policy 2015, 76, 1. [Google Scholar]
- Frischknecht, R.; Stolz, P.; Heath, G.; Raugei, M.; Sinha, P.; de Wild-Scholten, M.; Fthenakis, V.; Kim, H.C.; Alsema, E.; Held, M. Methodology Guidelines on Life Cycle Assessment of Photovoltaic Electricity; PVPS Task 12; International Energy Agency (IEA): Paris, France, 2020. [Google Scholar]
- IEA. Sankey Diagram; IEA: Paris, France, 2018. [Google Scholar]
- Murphy, D.; Raugei, M. The Energy Transition in New York: A Greenhouse Gas, Net Energy, and Life-Cycle Energy Analysis. Energy Technol. 2020, 8, 1901026. [Google Scholar] [CrossRef]
- Raugei, M.; Kamran, M.; Hutchinson, A. A Prospective Net Energy and Environmental Life-Cycle Assessment of the UK Electricity Grid. Energy Technol. 2020, 13, 2207. [Google Scholar] [CrossRef]
- Raugei, M. Energy Pay-Back Time: Methodological Caveats and Future Scenarios. Prog. Photovolt. Res. Appl. 2013, 21, 797–801. [Google Scholar] [CrossRef] [Green Version]
- Fthenakis, V.; Leccisi, E. Updated Sustainability Status of Crystalline Silicon-Based Photovoltaic Systems: Life-Cycle Energy and Environmental Impact Reduction Trends. Prog. Photovolt. Res. Appl. 2021, 29, 1068–1077. [Google Scholar] [CrossRef]
- Raugei, M. Energy Return on Investment: Setting the Record Straight. Joule 2019, 3, 1810–1811. [Google Scholar] [CrossRef]
- Tripathi, V.S.; Brandt, A.R. Estimating Decades-Long Trends in Petroleum Field Energy Return on Investment (EROI) with an Engineering-Based Model. PLoS ONE 2017, 12, e0171083. [Google Scholar] [CrossRef]
- Feng, J.; Feng, L.; Wang, J. Analysis of Point-of-Use Energy Return on Investment and Net Energy Yields from China’s Conventional Fossil Fuels. Energies 2018, 11, 313. [Google Scholar] [CrossRef] [Green Version]
- Huang, C.; Gu, B.; Chen, Y.; Tan, X.; Feng, L. Energy Return on Energy, Carbon, and Water Investment in Oil and Gas Resource Extraction: Methods and Applications to the Daqing and Shengli Oilfields. Energy Policy 2019, 134, 110979. [Google Scholar] [CrossRef]
- Salehi, M.; Khajehpour, H.; Saboohi, Y. Extended Energy Return on Investment of Multiproduct Energy Systems. Energy 2020, 192, 116700. [Google Scholar] [CrossRef]
- Chen, Y.; Feng, L.; Tang, S.; Wang, J.; Huang, C.; Höök, M. Extended-Exergy Based Energy Return on Investment Method and Its Application to Shale Gas Extraction in China. J. Clean. Prod. 2020, 260, 120933. [Google Scholar] [CrossRef]
- Kong, Z.; Lu, X.; Dong, X.; Jiang, Q.; Elbot, N. Re-Evaluation of Energy Return on Investment (EROI) for China’s Natural Gas Imports Using an Integrative Approach. Energy Strategy Rev. 2018, 22, 179–187. [Google Scholar] [CrossRef]
- Qu, J.-L.W.-X.F.B.-Y.F. A Review of Physical Supply and EROI of Fossil Fuels in China. Pet. Sci. 2017, 14, 806–821. [Google Scholar] [CrossRef] [Green Version]
- Solé, J.; García-Olivares, A.; Turiel, A.; Ballabrera-Poy, J. Renewable Transitions and the Net Energy from Oil Liquids: A Scenarios Study. Renew. Energy 2018, 116, 258–271. [Google Scholar] [CrossRef]
- King, L.C.; Van Den Bergh, J.C.J.M. Implications of Net Energy-Return-on-Investment for a Low-Carbon Energy Transition. Nat. Energy 2018, 3, 334–340. [Google Scholar] [CrossRef] [Green Version]
- Wang, K.; Vredenburg, H.; Wang, J.; Xiong, Y.; Feng, L. Energy Return on Investment of Canadian Oil Sands Extraction from 2009 to 2015. Energies 2017, 10, 614. [Google Scholar] [CrossRef] [Green Version]
- Walmsley, M.R.W.; Walmsley, T.G.; Atkins, M.J. Linking Greenhouse Gas Emissions Footprint and Energy Return on Investment in Electricity Generation Planning. J. Clean. Prod. 2018, 200, 911–921. [Google Scholar] [CrossRef]
- Kis, Z.; Pandya, N.; Koppelaar, R.H.E.M. Electricity Generation Technologies: Comparison of Materials Use, Energy Return on Investment, Jobs Creation and CO2 Emissions Reduction. Energy Policy 2018, 120, 144–157. [Google Scholar] [CrossRef]
- Walmsley, T.G.; Walmsley, M.R.W.; Varbanov, P.S.; Klemeš, J.J. Energy Ratio Analysis and Accounting for Renewable and Non-Renewable Electricity Generation: A Review. Renew. Sustain. Energy Rev. 2018, 98, 328–345. [Google Scholar] [CrossRef]
- Kong, Z.; Dong, X.; Jiang, Q. The Net Energy Impact of Substituting Imported Oil with Coal-to-Liquid in China. J. Clean. Prod. 2018, 198, 80–90. [Google Scholar] [CrossRef]
- Sandouqa, A.; Al-Hamamre, Z. Energy Analysis of Biodiesel Production from Jojoba Seed Oil. Renew. Energy 2019, 130, 831–842. [Google Scholar] [CrossRef]
- Farid, M.A.A.; Roslan, A.M.; Hassan, M.A.; Hasan, M.Y.; Othman, M.R.; Shirai, Y. Net Energy and Techno-Economic Assessment of Biodiesel Production from Waste Cooking Oil Using a Semi-Industrial Plant: A Malaysia Perspective. Sustain. Energy Technol. Assess. 2020, 39, 100700. [Google Scholar] [CrossRef]
- Barbera, E.; Naurzaliyev, R.; Asiedu, A.; Bertucco, A.; Resurreccion, E.P.; Kumar, S. Techno-Economic Analysis and Life-Cycle Assessment of Jet Fuels Production from Waste Cooking Oil via in Situ Catalytic Transfer Hydrogenation. Renew. Energy 2020, 160, 428–449. [Google Scholar] [CrossRef]
- Sales, E.A.; Ghirardi, M.L.; Jorquera, O. Subcritical Ethylic Biodiesel Production from Wet Animal Fat and Vegetable Oils: A Net Energy Ratio Analysis. Energy Convers. Manag. 2017, 141, 216–223. [Google Scholar] [CrossRef] [Green Version]
- Chiriboga, G.; Rosa, A.D.L.; Molina, C.; Velarde, S. Energy Return on Investment (EROI) and Life Cycle Analysis (LCA) of Biofuels in Ecuador. Heliyon 2020, 6, e04213. [Google Scholar] [CrossRef]
- Carneiro, M.L.N.M.; Pradelle, F.; Braga, S.L.; Gomes, M.S.P.; Martins, A.R.F.A.; Turkovics, F.; Pradelle, R.N.C. Potential of Biofuels from Algae: Comparison with Fossil Fuels, Ethanol and Biodiesel in Europe and Brazil through Life Cycle Assessment (LCA). Renew. Sustain. Energy Rev. 2017, 73, 632–653. [Google Scholar] [CrossRef]
- Pragya, N.; Sharma, N.; Gowda, B. Biofuel from Oil-Rich Tree Seeds: Net Energy Ratio, Emissions Saving and Other Environmental Impacts Associated with Agroforestry Practices in Hassan District of Karnataka, India. J. Clean. Prod. 2017, 164, 905–917. [Google Scholar] [CrossRef]
- Kaur, M.; Kumar, M.; Sachdeva, S.; Puri, S.K. An Efficient Multiphase Bioprocess for Enhancing the Renewable Energy Production from Almond Shells. Energy Convers. Manag. 2020, 203, 112235. [Google Scholar] [CrossRef]
- Krzystek, L.; Wajszczuk, K.; Pazera, A.; Matyka, M.; Slezak, R.; Ledakowicz, S. The Influence of Plant Cultivation Conditions on Biogas Production: Energy Efficiency. Waste Biomass Valorization 2020, 11, 513–523. [Google Scholar] [CrossRef] [Green Version]
- Cheng, F.; Porter, M.D.; Colosi, L.M. Is Hydrothermal Treatment Coupled with Carbon Capture and Storage an Energy-Producing Negative Emissions Technology? Energy Convers. Manag. 2020, 203, 112252. [Google Scholar] [CrossRef]
- Melara, A.J.; Singh, U.; Colosi, L.M. Is Aquatic Bioenergy with Carbon Capture and Storage a Sustainable Negative Emission Technology? Insights from a Spatially Explicit Environmental Life-Cycle Assessment. Energy Convers. Manag. 2020, 224, 113300. [Google Scholar] [CrossRef]
- Fajardy, M.; Dowell, N.M. The Energy Return on Investment of BECCS: Is BECCS a Threat to Energy Security? Energy Environ. Sci. 2018, 11, 1581–1594. [Google Scholar] [CrossRef] [Green Version]
- Trainer, T. Estimating the EROI of Whole Systems for 100% Renewable Electricity Supply Capable of Dealing with Intermittency. Energy Policy 2018, 119, 648–653. [Google Scholar] [CrossRef]
- Wang, C.; Cheng, X.; Shuai, C.; Huang, F.; Zhang, P.; Zhou, M.; Li, R. Evaluation of Energy and Environmental Performances of Solar Photovoltaic-Based Targeted Poverty Alleviation Plants in China. Energy Sustain. Dev. 2020, 56, 73–87. [Google Scholar] [CrossRef]
- Dupont, E.; Koppelaar, R.; Jeanmart, H. Global Available Solar Energy under Physical and Energy Return on Investment Constraints. Appl. Energy 2020, 257, 113968. [Google Scholar] [CrossRef]
- Zhou, Z.; Carbajales-Dale, M. Assessing the Photovoltaic Technology Landscape: Efficiency and Energy Return on Investment (EROI). Energy Environ. Sci. 2018, 11, 603–608. [Google Scholar] [CrossRef] [Green Version]
- Feng, J.; Feng, L.; Wang, J.; King, C.W. Evaluation of the Onshore Wind Energy Potential in Mainland China—Based on GIS Modeling and EROI Analysis. Resour. Conserv. Recycl. 2020, 152, 104484. [Google Scholar] [CrossRef]
- Palmer, G. A Framework for Incorporating EROI into Electrical Storage. BioPhys. Econ. Resour. Qual. 2017, 2, 6. [Google Scholar] [CrossRef] [Green Version]
- Zhang, J.; Zhang, J.; Cai, L.; Ma, L. Energy Performance of Wind Power in China: A Comparison among Inland, Coastal and Offshore Wind Farms. J. Clean. Prod. 2017, 143, 836–842. [Google Scholar] [CrossRef]
- Walmsley, T.G.; Walmsley, M.R.W.; Atkins, M.J. Energy Return on Energy and Carbon Investment of Wind Energy Farms: A Case Study of New Zealand. J. Clean. Prod. 2017, 167, 885–895. [Google Scholar] [CrossRef]
- Huang, Y.-F.; Gan, X.-J.; Chiueh, P.-T. Life Cycle Assessment and Net Energy Analysis of Offshore Wind Power Systems. Renew. Energy 2017, 102, 98–106. [Google Scholar] [CrossRef]
- Ecoinvent Centre for Life Cycle Inventories. EcoInvent Life Cycle Inventory Database; Ecoinvent: Zurich, Switzerland, 2021. [Google Scholar]








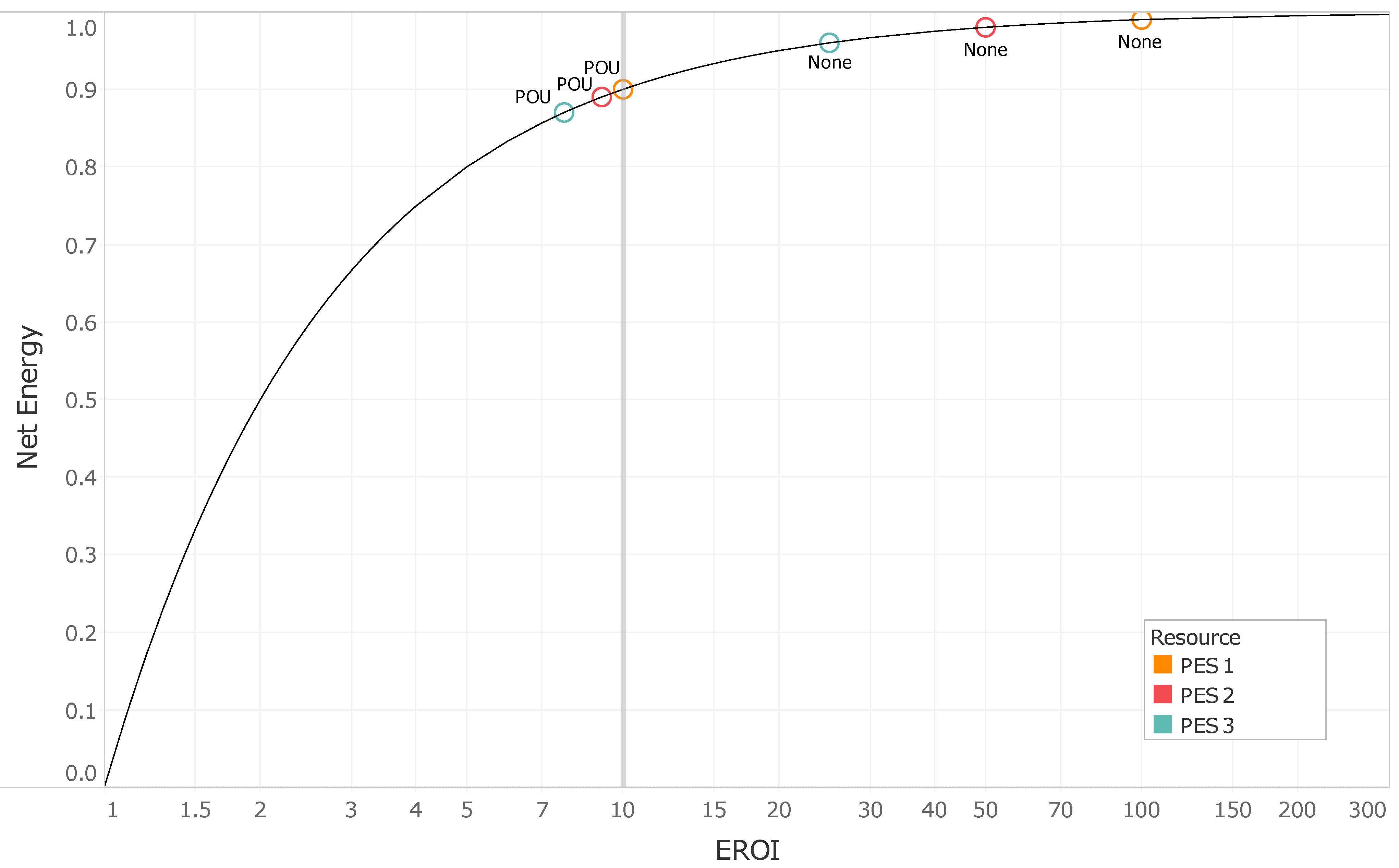
| Energy Resource | Inv1 | PE | EROI “at Point of Extraction” = PE/Inv1 | Inv2 | EC | EROI “at Point of Use” = EC/(Inv1 + Inv2) |
|---|---|---|---|---|---|---|
| PES1 | 1 | 100 | 100 | 9 | 100 | 10 |
| PES2 | 2 | 100 | 50 | 9 | 100 | 9.1 |
| PES3 | 4 | 100 | 25 | 9 | 100 | 7.7 |
| Supply Chain Stage | (2) Preparation | (3) Transmission | (4) Refining | (5) Purification | (6) Distribution | ||||||||||
|---|---|---|---|---|---|---|---|---|---|---|---|---|---|---|---|
| Fuel | Inv2 | EROI2,MAX | Inv3 | EROI3,MAX | Inv4 | EROI4,MAX | Inv5 | EROI5,MAX | Inv6 | EROI6,MAX | |||||
| Oil | 0 | 0 | ∞ | 1.5% | 1.5% | 67 | 8.9% | 10.4% | 9.6 | 0 | 0 | 9.6 | 1.1% | 11.5% | 8.7 |
| Gas | 0 | 0 | ∞ | 7.7% | 7.7% | 13 | 0 | 7.7% | 13 | 0 | 7.7% | 13 | 10.2% | 17.9% | 5.6 |
| Coal | 4.2% | 4.2% | 24 | 5.6% | 9.8% | 10 | 0 | 9.8% | 10 | 0 | 9.8% | 10 | 0 | 9.8% | 10 |
| Bioethanol (Maize) | 0 | 0 | ∞ | 0 | 0 | ∞ | 61% | 61% | 1.7 | 2.2% | 62.6% | 1.6 | 1.5% | 64.1% | 1.6 |
| Bioethanol (Sugarcane) | 0 | 0 | ∞ | 0 | 0 | ∞ | 2.5% | 2.5% | 39 | 2.2% | 4.7% | 21 | 0 | 4.7% | 21 |
| Bioethanol | 0 | 0 | ∞ | 0 | 0 | ∞ | 33.6% | 33.6% | 3.0 | 2.2% | 35.8% | 2.8 | 0 | 35.8% | 2.8 |
| Biogas | 0 | 0 | ∞ | 0.2% | 0.2% | 420 | 0 | 0.2% | 420 | 15.3% | 15.5% | 6.4 | 0.4% | 15.9% | 6.3 |
| Biodiesel | 3.3% | 3.3% | 31 | 1.7% | 4.9% | 20 | 5.4% | 10.3% | 10 | 0 | 10.3% | 10 | 0 | 10.3% | 10 |
| Wood Pellets | 51% | 51% | 2.0 | 0 | 51% | 2.0 | 0 | 51% | 2.0 | 0 | 51% | 2.0 | 11.7% | 63% | 1.6 |
| Papers by Resource Type | Initial Tally | Post-Screening Tally |
|---|---|---|
| Thermal fuels | ||
| Biofuels (including biodiesel, bioethanol, biogas) | 8 | 3 |
| Coal (including CSG and CTL) | 9 | 2 |
| Natural Gas (including shale gas and LNG) | 10 | 5 |
| Oil (including Oil Sands) | 11 | 9 |
| Electricity | ||
| BECCS | 3 | 2 |
| Biogas | 4 | 0 |
| Concentrated Solar Power | 2 | 1 |
| Geothermal | 5 | 2 |
| Hydropower | 7 | 2 |
| Oceanic | 1 | 1 |
| Nuclear Power | 3 | 1 |
| Photovoltaics | 11 | 4 |
| Wind Power | 10 | 5 |
Publisher’s Note: MDPI stays neutral with regard to jurisdictional claims in published maps and institutional affiliations. |
© 2022 by the authors. Licensee MDPI, Basel, Switzerland. This article is an open access article distributed under the terms and conditions of the Creative Commons Attribution (CC BY) license (https://creativecommons.org/licenses/by/4.0/).
Share and Cite
Murphy, D.J.; Raugei, M.; Carbajales-Dale, M.; Rubio Estrada, B. Energy Return on Investment of Major Energy Carriers: Review and Harmonization. Sustainability 2022, 14, 7098. https://doi.org/10.3390/su14127098
Murphy DJ, Raugei M, Carbajales-Dale M, Rubio Estrada B. Energy Return on Investment of Major Energy Carriers: Review and Harmonization. Sustainability. 2022; 14(12):7098. https://doi.org/10.3390/su14127098
Chicago/Turabian StyleMurphy, David J., Marco Raugei, Michael Carbajales-Dale, and Brenda Rubio Estrada. 2022. "Energy Return on Investment of Major Energy Carriers: Review and Harmonization" Sustainability 14, no. 12: 7098. https://doi.org/10.3390/su14127098
APA StyleMurphy, D. J., Raugei, M., Carbajales-Dale, M., & Rubio Estrada, B. (2022). Energy Return on Investment of Major Energy Carriers: Review and Harmonization. Sustainability, 14(12), 7098. https://doi.org/10.3390/su14127098

