Next Article in Journal
A Review on the Effect of Mechanical Properties and Durability of Concrete with Construction and Demolition Waste (CDW) and Fly Ash in the Production of New Cement Concrete
Next Article in Special Issue
An Application of Axiomatic Design to Improve Productivity in the Circular Economy Context—The Salt Production Example
Previous Article in Journal
Conditions Influencing Salary of the Automotive Industry in Mexico City—A Linguistic Fuzzy-Set Approach
Previous Article in Special Issue
Digitally Sustainable Information Systems in Axiomatic Design
 
 
Font Type:
Arial Georgia Verdana
Font Size:
Aa Aa Aa
Line Spacing:
Column Width:
Background:
Article

Energy Sustainability—Rebounds Revisited Using Axiomatic Design

1
NOVA School of Science and Technology, Campus de Caparica, NOVA University Lisbon, 2829-516 Caparica, Portugal
2
Naval Academy, Base Naval de Lisboa, Alfeite, 2810-001 Almada, Portugal
3
UNIDEMI, NOVA School of Science and Technology, Campus de Caparica, NOVA University Lisbon, 2829-516 Caparica, Portugal
4
CENSE, NOVA School of Science and Technology, Campus de Caparica, NOVA University Lisbon, 2829-516 Caparica, Portugal
*
Author to whom correspondence should be addressed.
Sustainability 2022, 14(11), 6737; https://doi.org/10.3390/su14116737
Submission received: 14 April 2022 / Revised: 10 May 2022 / Accepted: 14 May 2022 / Published: 31 May 2022
(This article belongs to the Special Issue Design for Sustainability—Axiomatic Design Science and Applications)

Abstract

Energy Sustainability has been addressed through advancing technology efficiency, which may increase the impact of the use of natural resources. However, the increase in efficiency makes services cheaper, which causes a rebound effect, direct or indirect, on energy consumption and materials. Moreover, the popular concept of recycling seems insufficient to reduce the use of critical raw materials to provide energy services. From the perspective of the Earth’s limited resources, the sustainability problem needs a design approach to tackle the rebound effect from efficiency. This work aims to create a theoretical holistic review regarding energy use linked to technology efficiency, to understand how rebound effects may be prevented. In this work, the Axiomatic Design (AD) theory creates the framework that defines the Energy Sustainability functions and identifies the couplings that create the rebounds. According to AD, cycles occur on coupled designs, classified as poor designs. Decoupling the design clarifies two possible and complementary policies to achieve sustainability goals regarding the use of resources. The first is the circular economy, with constraints on energy and raw materials. The second is the massive use of local renewable energies. Plausible solutions come from mandating efficiency and taxation, dematerializing the economy, and reducing, reusing, remanufacturing, and recycling materials from products and systems. These solutions impact economic, environmental, and societal behaviors. The novelty of this approach is the definition of a system model for Energy Sustainability in the frame of AD, while tackling the rebound effect from technological efficiency.

1. Introduction

The fundamental concepts of sustainability come from three milestones: the Daly approach to steady-state economy (1977—1st edition) [1], the Brundtland report (1987) “Our Common Future” [2], and Leonard Brooks’ (2000) [3] emphasis on the concept of energy rebound.
The steady-state economy (SSE) introduces limits for the economy. Instead of agreeing that using resources is always possible, SSE asks for the definition of limits for the environment, raw materials included. Natural sciences have constraints, and ethics and religions limit manners. Oddly, the economy seems able to use resources indefinitely. According to SSE, the sustainability models need to start by evaluating the available resources before allocating and distributing them. SSE does not mean a non-growing economy but imposes the constraint that the economy cannot change the hearth equilibrium of thermal energy and materials [1].
The three dimensions of sustainability are social, economic, and environmental. The Brundtland report put together the environment and the “economic and social progress” in the political agenda. Later, these dimensions were reinforced by the Rio report (1992).
Energy efficiency (EE) was declared in “Our Common Future” as the “cutting edge” for sustainable policies. For decades, states have focused on EE as a soft tool to achieve sustainability. However, the report correctly pointed out that EE was a way to “buy time” until renewable energies could be the “global energy structure” [2]. Common sense suggests that the increase in EE reduces resource consumption. However, by increasing efficiency, the marginal cost of the service decreases, therefore lowering the energy cost. A lower price raises the customer’s energy use. The circular effect that takes back part of the expected benefit is called the rebound effect. It happens due to the coupling between variables, energy efficiency, and energy use in the mentioned issue.
Leonard Brooks presented this concept in the UK Parliament in 2005, named “energy efficiency fallacies”. He first published the idea in 2000 [3], including energy efficiency in the more general concept of economic efficiency. Later, he improved the readability of his ideas with math and graphs [4]. However, the rebound effect was first stated in the nineteenth century by William Jevons. He declared that the improvement in the technology of the steam machine led to a global increase in the consumption of coal. It was called the “Jevons paradox” [5].
Similarly, Crafts [6] showed that the rise in technology efficiency during the 18th and 19th centuries decreased the cost of steam, making it more available. Thus, many empiric examples show that the rebound effect increases the consumption of resources. A historical evaluation regarding materials, freight, and energy services reveals that a rise in efficiency overcame the growth of materials in some periods. It supports that “efficiency mandates and price pressure” may reduce the use of resources [7]. The rebound effect can be as large as 20 to 30% regarding energy for space heating [8]. The question is does energy efficiency reduce energy use? The answer seems to be a resounding “no”.
Gross Domestic Product (GDP) growth depends on energy on a 1 to 0.75% rule. Thus, the increase in GDP releases carbon dioxide into the atmosphere. Therefore, the energy and price of products should reflect “all costs including pollution costs” [9]. The solution might be using renewable energies and increasing energy prices if necessary. Moreover, it is necessary to remove energy barriers to allow EE to rise to its physical ceiling. Both solutions impact the socio-technical system, so human behavior needs to be considered [9].
Sustainable models need to start with designing public policies, companies and value chains, and commercial and domestic buildings. Design for sustainability might address “strategical, tactical and operational” levels. However, the literature has no consensus on principles to follow, strategies to apply, or how to achieve this [10].
Technology is essential for different energy strategies to achieve “net-zero” emissions. Heat can be electrified through heat pumps, needs for heat reduced by insulation, and heat networks can be implemented in regions where heat is a significant need. Moreover, gas networks can be partially decarbonized using bio-methane or green hydrogen. The energy supply in 2050 may be lower than in 2015 because the electricity supply will come primarily from photovoltaic (PV), wind, and combined heat and power plants [11].
However, analysis of the sustainability achieved through technological evolution seldom considers the change of equipment and the resources embodied in its manufacturing, transportation, and installation. These values do not consider the energy use of raw materials. Nevertheless, in the last 50 years, the overall energy consumption in residential buildings of EU-15 remained constant (231 Mtoe in 1995 and 234 Mtoe in 2017, peaking at 267 Mtoe in 2010), despite doubling the EE due to efficiency policies [12].
The Energy Performance Building Directive (EPBD-2010) recast moved to increase the overall performance of buildings [12]. All new EU designs of buildings should aim to be nearly zero-energy buildings (nZEB) from 2020. Energy will be produced locally by renewable sources, limited by available renewable sources, turning EE into a local and decisive role regarding sufficiency.
The 2018 EPDB recast focuses on cost-effective measures of EE in a life cycle assessment. It aims to reach, in this decade, zero-emission buildings, focusing on decarbonization [13]. The strategies for energy reduction in office buildings have to consider passive and active measures. Some simple measures may have a substantial impact on energy use. LED lighting with control and window films to reduce entering radiation can have paybacks of 2.5 years in educational institutions in hot countries [14].
Moreover, the renovation of the building stock might consider climate change and local renewable energy availability, which requires substantial financial support. The refurbishing of office buildings should first use highly efficient internal loads and passive measures. Thus, local PV production can produce sufficient energy, depending on the available area. A PV area of 20% of the floor area is enough for a nearly zero condition of 100 kW·h/m2/y from the grid in a warm–temperate subtropical climate [15]. nZEB is an excellent example of how to handle sustainability.
Furthermore, humanity is achieving a constant improvement in classic technologies. For example, diesel technologies can use biodiesel and reduce particles and pollution with nanofluid additives [16]. Moreover, diesel engines with common rail direct injection improve their performance by introducing ZnO nanoparticles [17].
In this paper, we refer to Energy Sustainability as the minimization of the use of natural resources to provide energy services as demanded by any system (i.e., city, region, or nation). According to Zell-Ziegler [18], the Energy Sustainability strategies include energy efficiency, renewables, and energy sufficiency.
Sufficiency might be an essential element of the strategy for all sectors, including buildings, mobility, production, and agriculture. Energy sufficiency imposes a social shift to new low-energy services, such as cycling instead of driving. Moreover, it needs to limit the available energy and a taxation policy. EE and working time reduction do not necessarily lead to energy sufficiency, as persons consume more energy in their spare time. Moreover, financial incentives of sufficiency policies have the opposite effect due to rebounds. On the contrary, downshifting can make sufficiency possible at the cost of social inequalities [19]. Downshifting can be reduced by implementing a circular economy (CE) model, benefiting users while considering their habits. CE implements the 4R strategy—reducing materials and energy, reusing products, remanufacturing parts and compounds, and recycling waste materials [20]. CE requires closing and narrowing loops of materials. It needs a top-down approach, starting at the design phase. The policymakers need to change from focusing on recycling to believing that recycling is the last opportunity to put materials in the economic cycle. The 4R can be applied at macro, mezzo, and micro levels following the 17 Sustainable Design Goals [21]. These goals are used as indicators. Some authors use weighted indicators to define a sustainable design. However, circular indicators seldom represent all environmental implications and evaluate the rebound effects [22]. Most indicators regard products, components, materials, and energy but not the functions needed to be achieved [23].
Design Science should support the new CE, integrating design from the early stages of the design regarding organizations and products [24]. There are evaluations of materials, products, and companies about economic and technical feasibility, environmental relevance, and originality [25]. Circular indicators may help the design.
Axiomatic Design (AD) theory can be a fundamental piece of Design Science to address sustainability. Erwin Rauch [26] (pp. 484–485) uses AD as a tool for the sustainability of manufacturing enterprises and contributes to social sustainability by focusing on the employee role. Moreover, Nam P. Suh challenges the scientific community to use AD to solve some of the XXI century problems. It includes creating a forest in North Africa, new renewable applications, transport with low emissions, solving the methane emission problem, promoting seawater desalination, controlling the weather pattern, promoting better education, improving the health system, designing a democratic government, etc. [27] (pp. 659–680).
Sustainability can be a working space with no rules other than its boundaries. The so-called three bottom lines (3BL) on the environment, economy, and society have been drawn upon in sustainability approaches. The 3BL approach works at the local or company levels but cannot help to express a policy. The design of a mezzo or macro policy for sustainability has to define the requirements to fulfill.
Sustainability indicators for buildings and other applications have guided the design. Indicators may work to help the design if the design has no coupled relations between them. Otherwise, they cannot express the effect of connected relationships.
This paper aims to help define the sustainability requirements, from the perspective of natural resource use, and address their fulfillment within the context of energy production and use. It explains the need to avoid rebound effects caused by couplings to achieve a good design. A good policy design is achieved by freezing the rebounds between the variables, efficiency, technology, and resources. AD allows one to define the model framework and define what a good design is. The framework allows the development of policies of member states, countries, regions, and enterprises. The ideal AD design for sustainability corresponds to the CE and renewables policies.
The work emphasizes the following:
-
In a market in equilibrium, EE is a function of the amount of the energy services desired and consumed;
-
New policies need to be implemented to reduce the depletion of resources, which include but do not end with EE;
-
Near-zero energy services and the circular economy are two complementary solutions to achieve sustainability.
The following section presents the AD principles. Then, Section 3 shows an AD approach to the sustainability problem. The application allows the clarification of the definition of future energy policies. Finally, the Discussion and Conclusions explain the suitability of the solutions in the broader geopolitical and energetical environment. Nomenclature table in back matter shows the acronyms and descriptions to improve paper readability.

2. The Design Theory

Professor Nam P. Suh first published AD in 1990 [28]. Axioms are truths that cannot be proved but are self-evident. The theory accepts that there are sound principles for a design expressed by axioms, in the same way as in Mechanics, Thermodynamics, Chemistry, Geometry, Mathematics, and other Sciences.
AD has two axioms, the axiom of independence and the axiom of information. They can be stated as follows:
First axiom: “Maintain the independence of functional requirements”.
Second axiom: “Minimize the information content” [28] (p. 9).
The design develops through four adjacent domains, the “Customer Domain”, “Functional Domain”, “Physical Domain”, and “Process Domain”. Each domain maps into the adjacent one. The Customer Needs (CN) are defined in the Customer Domain. It expresses the needs or, in other words, the problem to solve. The Functional Requirements (FR) belong to the Functional Domain and describe the problem in a neutral environment by a reflexive verb of action and a noun. The FRs map to the Physical Domain into the Design Parameters (DP). The set of DPs defines the physical realization of the design. Finally, if necessary, the DPs are manufactured by PVs of the Process Domain.
A design starts with the identification of the CNs. Thus, the high-level FRs and DPs are defined. Then, the design proceeds in an interplay between the FRs and the DPs. An FR maps to a DP, and each DP at a certain level of decomposition maps back to the Functional Domain to reach lower-level FRs, the children FRs. The children FRs build children DPs. The set of children FRs exhaustively defines the parent FR in the same way that the children DPs exhaustively describe the parent DP.
The mentioned process of decomposition is the so-called zigzagging. At a certain level of decomposition, the choice of any FR or DP impacts all FRs or DPs at lower levels.
Constraints (Cs) are boundaries for the choice of FRs and DPs. Constraints can be input Cs or system Cs. Input Cs typically are weight, dimensions, cost, legal, ethical, etc. System Cs come with the design, raised by choices of FRs and DPs.
The design equation relates the FR to DP (Equation (1)). Oddly, DPs are unknown parameters.
F R = A D P
The shape of the matrix [A], the design matrix (DM), defines the quality of the design. If [A] is diagonal, the design is uncoupled. It is the ideal design. The design is called decoupled if it can be reduced to a lower or upper triangular matrix. In all other cases, the design is coupled and classified as poor.
The design with the least information should be chosen from all good designs, uncoupled or decoupled. The design with the lowest information content has the highest probability of success.
The probability of success varies with tolerances and causes deviations and uncertainties. The differential of Equation (1) allows evaluation of the deviations similarly to other engineering applications [29]. For three FR and three DP designs, it is possible to evaluate the information content of the design geometrically [30]. Moreover, the Dempster–Shafer theory can be an essential tool for evaluating uncertainty at a high level of decomposition [31].
Understanding the couplings may bring new ideas to the designers. A possible means of decoupling is to freeze the relationships, a technique used in this work. If the design remains coupled, it may be discharged or changed into an uncoupled or decoupled design.
It is possible to derive theorems from the axioms that help guide the design. A broad list of theorems can be found in Complexity [32] (pp. 44–51). For the purpose of this work, Theorems 4 and 5 are of paramount importance.
Theorem 4 states, “In an Ideal Design, the number of DPs is equal to the number of FRs and the FRs are always maintained independent of each other”. Theorem 5 states, “When a given set of FRs is changed by the addition of a new FR, by substitution of one of the FRs with a new one, or by selection of an entirely different set of FRs, the design solution given by the original DPs cannot satisfy the new set of FRs. Consequently, a new design solution must be sought”.
To achieve Theorem 4, the DM might be diagonal. A triangular DM is acceptable as long as the designer perceives the order of adjusting the DPs.
A young AD practitioner may find the above AD summary too challenging to follow. They can read a detailed and comprehensive description of AD in a book recently published, entitled Design Engineering and Science [33].
Figure 1, Figure 2, Figure 3, Figure 4 and Figure 5 show the design equation on the left side (a) and the graph of the FRs on the right (b). If the DM is diagonal, each FR is independent of the others. Thus, the FR fulfillment is parallel, each DP tuning the corresponding FR.
If the DM is fully triangular, as with the one depicted on the left side of Figure 2, then FR1 precedes all others, and FR2 is tuned before FR3.
Figure 3 shows a slightly different DM that allows FR1 and FR2 to be tuned independently and after FR3 is fulfilled.
Regarding decoupled designs, Figure 4 finally shows the DM, and the graph of FRs tuned in the sequence, FR1, FR2, FR3.
Figure 5 shows a coupled design similar to the previous example but with cycles that link FR3 to FR1 and FR2. It shows the rebound effects between the FRs, or cycles, as depicted in the right part of Figure 5.
Because of the cross effects, coupled designs are difficult to tune. It may not be easy to find the correct DP to satisfy an FR if it influences all other FRs. Therefore, the design needs many iterations until a solution is found [33] (p. 377). In addition, the DM may be stiff at any operating mode, causing the design to show unexpected behaviors.
Identifying cycles allows the raising of solutions—changing DPs, altering FRs or ranges of FR, or simply putting together the coupling DPs in an assemblage. Graph theory can identify rebound effects using the DM with (1) instead of X and creating the adjacency matrix to detect the cycles [34].
Determining the coupling on EE could have anticipated some energy policies. AD theory can help to define what Energy Sustainability is. There are many sustainability descriptions and definitions. However, the choice of the high-level FRs creates the precise meaning of Energy Sustainability in the context of this paper. Moreover, raising the design equation allows for classifying the design. The DM clearly shows which cycles create the coupling if the design is coupled. The policy creators can obtain new solutions that remove the couplings by determining the DM.
Moreover, the DM identifies how the system works. The use of indicators (sustainability, circular economy, etc.) without knowing the DM is worthless. It can be of great help to substitute indicators by the probability of success of the system. The probability of success can be computed if the DM is known. The probability can be very low if the design is coupled.

3. The Sustainability Model

There is no consensus about what sustainability means and the actions to achieve it. However, the literature review raised some propositions.
-
The world has a limited quantity of raw materials and availability of fuel;
-
Energy efficiency is part of economic efficiency, and both cause rebound effects;
-
The choice of technology depends on the efficiency and working hours;
-
Renewables and energy electrification create an environment for a carbon-free economy;
-
Sufficiency is a policy of sustainability;
-
Circular economy (CE) is a tool to address sufficiency and sustainability, based on the so-called 4R strategy—reduce, reuse, remanufacture, and recycle;
-
CE has a social impact;
-
EE, renewables, and CE can be addressed at different levels—strategical, mezzo, and micro levels.
The following subsection presents the current development model with cycle effects that may cause rebounds. Then, two possible solutions are presented in Section 3.2 that avoid rebounds by eliminating cycles.

3.1. Energy Sustainability—Current Model

It seems agreed that sustainability requires needs to be fulfilled in the social, economic, and environmental fields. The so-called three bottom lines (3BL) are most likely to be translated into CNs and FRs in the AD theory rather than into Cs.
If the 3BL are Cs, it allows a coupled design to work in the allowed region. A coupled design may turn unstable, causing it to work outside the boundaries. Some developments regarding EE seem to be important in the mentioned context.
This work proposes three CNs:
-
CN1—Society needs for energy;
-
CN2—Economic development;
-
CN3—Environment protection.
Each CN maps into the Functional Domain depicted by its FR. FRs create the definition of the design. “No design is better than its FRs” is commonly stated within the AD community.
Table 1 shows the Energy Sustainability design at the first level of decomposition. It shows the FRs and the DPs, their designation, and symbols.
According to this approach, Energy Sustainability is a way to provide energy services for the population at a low price, with the minimum depletion of raw materials. Raw materials include all materials that cannot grow again in a limited period.
To “provide energy services”, “technology” is used. Efficiency is an economic driver that helps to reduce the price per unit of energy services. The total quantity of resources allows for evaluating the depletion of raw materials.
Equation (2) expresses the relationships between FRs and DPs, showing that the design is a coupled design. On the first line of the matrix, technology is a way to “provide an energy service” and needs fuel and other resources (Q) to be accomplished.
On the second line, the unit price for the energy service, Ui, depends on technology, efficiency, and quantity of energy service use. A low price for an energy service leads to system-wide availability. We will see in the next subsection that FR2 can be derived from the life cycle cost evaluation.
Finally, FR3, “reduce the depletion of resources”, needs technology changes, system efficiency, and a reduction in the volume of resources involved, fuel included, Q.
F R 1 F R 2 F R 3 = X X X X X X X X D P 1 D P 2 D P 3
EE impacts the use of resources, making the marginal cost of a unit of energy cheaper, and hence increasing energy use.
The technology expenditure of more efficient technology is higher than a less efficient one on the technology side. Therefore, the user tends to increase Q to profit from the investment. With time, new efficient technologies tend to decrease their price, as was observed with LED lamps. This way, more and more users have access to the new technology because it is profitable for their user profile. In any case, it causes an increase in the depletion of resources. Therefore, RDp increases.
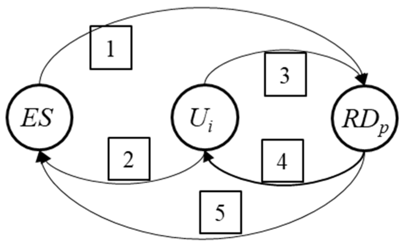
The design matrix (DM) is also a graph relationship between the FRs. As mentioned before, it can turn into the adjacency matrix between the FR entities. Figure 6 shows the graph relations between the three FRs, expressed by four arcs numbered from 1 to 5. The first line of the design matrix indicates that FR1—“provide an energy service”—relates to FR3—“reduce depletion of resources”—by the “quantity of resources in the energy service” (arc 1).
The FR graph clearly shows that efficiency ε is a means to “Reduce price per energy service unit” (Ui). Ui influences the energy service provided (ES) (arc 2) and the depletion of resources (RDp) (arc 3). However, reducing energy use reduces the price per service unit, which turns back to increasing the depletion (arc 4). Efficiency makes changes in technology (arc 2). Thus, the feedback improves the use of resources (arc 1). New technologies arise to reduce depletion (arc 5), increasing the use of resources. An example of the above description is the use of batteries for electric cars.
Consequently, efficiency is a starting point for describing an energy policy and has an economic effect, but it is not enough to reduce energy use. An energy policy needs to use efficiency with other strategies, including constraints and taxes. It may require difficult political decisions.
Feedbacks need to be avoided so as not to increase the depletion of resources. In other words, it is necessary to remove the rebound effects, which happens by decoupling the design matrix. Therefore, new policy models regarding increasing economy and well-being without depletion of resources are of paramount importance for the development of humanity.
The Levelized Cost of Energy (LCOE) is a well-known model to discuss energy investments that can be used for cost-effectiveness in the life cycle assessment.

3.2. Levelized Cost of Energy

The LCOE is an economic model that allows for explaining some consumer behaviors. For decades, customers have used technologies with different efficiencies performing the same energy service. Therefore, technology cost needs to account for the energy cost and efficiency in the equation. The technology needs investment It and maintenance and operations expenditure Mt at each time t. Moreover, the energy service may require a fuel expenditure Ft. Fuel expenditure may include acquisition, transportation, and storage costs. The useful fuel cost Fut depends on the total fuel expenditure and global efficiency of the energy service by the equation F u t = F t ε t .
LCOE is the net present value of the average cost of energy for investment in n periods at a project rate r given by:
L C O E = t = 1 n I t + M t + F t ( 1 + r ) t t = 1 n Q t ( 1 + r ) t
Let us define the net present values of technology cost T c = t = 1 n I t + M t ( 1 + r ) t , energy service use Q = t = 1 n Q t ( 1 + r ) t , and fuel F = t = 1 n F u t / ε t ( 1 + r ) t . For an average efficiency ε , the LCOE is close to U, the cost of a unit of energy service, given by Equation (4):
U = T c + F u / ε Q = T c Q + f u ε
with f u = F u Q , ε is the overall efficiency of the primary to final energy of the conventional fuel service, and F is the overall net present value of fuel expenditure from production to delivery. Regarding renewable energies, F is the overall expenditure in storage and efficiency, the relationship between primary energy storage and final energy use. LCOE can address renewable energies by considering storage and distribution [35].
Suppose that a market has “tn” technologies Ti (i = 1, 2, 3, …, tn) to produce the same energy service, from the least efficient technology T1 to the most efficient Ttn.
Let Tci be the cost of technology “i”. According to the mentioned sequence, Tci < Tci+1. For two technologies that provide the same energy service, the less efficient technology needs to have a lower price or it will be removed from the market. Over time, a cost-efficient technology can become less pricy. The car batteries of electric vehicles are examples of a pricy technology becoming less and less expensive.
Equation (4) stresses that the unitary cost depends not on the efficiency exhibited by the technology but on the cost of the technology and the amount of “Q” units of energy service provided.
Thus, users who consume more units of energy service will change from a Ti to technology Tj for j > i if they can afford to pay the Tcj. A rational decision to switch to a new technology results from a higher energy service and does not necessarily decrease the resources used. Consequently, the unitary energy cost depends on technology, resources used, and efficiency, which are the parameters of the second row of Equation (2).
LCOE with constraints on technology and resources may provide a valuable approach to a sustainable model. However, LCOE only represents the second line of the DM of Equation (2). Therefore, the LCOE model is insufficient in defining itself as a policy. There are other relations to take into account.

3.3. The Proposed Models

Equation (5) shows the first solution, solution A. It decouples the DM of Equation (2) by freezing the lower relations of Equation (2), marked with circled dots. It leads to an upper triangular matrix. For simplicity of reading, Equation (5) shows FRs and DPs by the symbols of Table 1. In this energy model, “Providing an energy service” needs resources (fuel) expressed by Q. To decouple the first column, reduce the price of Ui, and the depletion of resources cannot depend on technology (T). Therefore, the relationship needs to freeze. The rebound effect needs to be avoided by creating taxes that freeze the effect of ε on the depletion of resources. Moreover, to solve Equation (5), Q needs to be defined prior to ε and T. The equation shows that the resources must be limited first, as preconized in the SSE.
E S U i R D p = X X X X X T ε Q
Solution A is a policy that limits the resources used:
-
Generate energy services from existing materials—this means to reduce the use of materials, reuse, remanufacture, and recycle—the 4R strategy;
-
Define an available amount of resources;
-
Tax new technologies depending on Q;
-
Tax Q to freeze the effect of increasing ε on the depletion of resources.
This solution needs to have updated Cs on bottom efficiency from time to time so that lower-efficiency technologies (cheaper technologies) will no longer stay in the market. It also asks for modularity and the reuse of equipment. Therefore, solution A includes the so-called circular economy. In addition, this solution contains the Daly approach for allocating and distributing a limited amount of resources. A system constraint can define the maximum amount of Q available for use.
Solution A is a Daly model with Cs about Q, circular economy, and taxation on new T and ε. It may lead to difficult political decisions, but it is a feasible means of dealing with Energy Sustainability.
Another means of decoupling the equation is to freeze the two upper elements on the third column (solution B). The DM is also a triangular matrix.
It states that to “provide an energy service”, no “quantity of resources” Q is needed. Zero-energy solutions are close to this approach, and nearly zero-energy buildings (nZEB) are an example. Moreover, efficiency cannot affect Ui. Thus, a taxation policy must increase fuel prices according to efficiency. Furthermore, a constraint on a lower efficiency needs to be re-defined and updated so as not to stop economic development.
E S U i R D p = X X X X X X T ε Q
Solution B is a renewable policy with the following:
-
All energy systems from renewables or near zero. It is a sufficiency policy that produces the energy locally. However, it is difficult to avoid the use of new resources for the development of new technologies.
-
A taxation policy of fuels that depends on efficiency.
The design defines the technology that “provides the energy service”, which helps to achieve Ui. Depletion depends on technology and a small quantity of Q to run the energy service.
It is beyond the scope of this paper to discuss the economic aspects of both solutions. Nevertheless, any solution requests supplementary tax creation and newly designed Cs. Therefore, a laissez-faire model cannot lead to a world of sustainability.
Solution B is not unsuited to the previous one. Solution A and B can be implemented together, making the design an uncoupled design (Equation (7)). It creates an energy model with an energy service not depending on Q, and RDp independent of technology (T). Both solutions, taxes, and Cs are the necessary inputs for defining a new economic model of development independent of raw materials.
E S U i R D p = X X X T ε Q
All five X of Equation (2) were replaced by dotted circles, creating an uncoupled design, which is the ideal design according to the AD theory.

4. Discussion

The efficiency rebound is not the only rebound effect in the Energy Sustainability design. More rebounds arise due to links between technology, efficiency, and resources, fuel included. Therefore, in the next several decades, we foresee, in iteration, the solution of a problem and creation of another until humanity reaches an uncoupled design.
Technology will have a major role in reaching an uncoupled design. Technology always has a social impact and changes the way in which society behaves. On the other hand, education and learning help in the use of technology. The behavior of consumers, as well as the type of household, define the ways in which persons use energy [36]. Further works to decompose the proposed design need to consider education as a child of FR1.
EE, belonging to economic efficiency, has a social impact as well. EE has physical and technological limits that create boundaries for efficiency mandates [7]. Therefore, the pressure on the economy by efficiency has a limit. Nevertheless, the digital economy is a major factor for future development due to low physical limitations.
The shift to the proposed Energy Sustainability concept will last decades and need to have locally defined, step-by-step progress. In the following decades, the main environmental problem for all countries is global warming, and thus, currently, the focus on Energy Sustainability is the reduction in the emission of greenhouse gases (GHG). Policies may rely on mitigation options such as EE and a shift to electricity, as it allows the use of low-carbon technologies [37]. Unfortunately, new electrical technologies need critical virgin raw materials. Therefore, the world is far from having the GHG problem solved without a further depletion of resources.
The Paris Agreement of the United Nations Framework Convention on Climate Change (UN-FCCC) targeted a temperature increase of 1.5 °C (art. 2) on the Earth until the end of this century, compared with the values of the pre-industrial era. This target calls for the strong leadership of rich countries in reducing energy use (art. 4) [38]. Moreover, developed countries must help countries under development to reach a green economy without passing through the fossil-based industry era. The developed countries committed to donating USD 100 billion/year starting in 2020 to countries that are developing, but, unfortunately, this has been postponed [39].
Global carbon neutrality should be achieved by 2070; the EU’s objective is to reach it by 2050. In the EU, the cap-and-trade instrument gave rise to the European Trading Scheme (ETS), in force since 1 January 2005. ETS influences investments in new technologies, but the industry still needs incentives [40]. The 2020 European Climate Law [41] imposes a reduction in emissions and the creation of a “more sustainable, fairer, more resilient and more sustainable for future generations”. Mobility and comfort are becoming electrical, with increased efficiency. However, high-energetic industries such as cement, ceramics, plastics, and high-volume transportation are difficult to decarbonize [42].
The world needs new renewables and ways to store energy. Solar and wind power are intermittent throughout the day, the year, and from one year to another. This may cause security problems in the energy supply [43]. Each country’s energy types reflect its strategy [44]. The security of the energy supply in some countries, based on carbon, may change to the safety of production by local renewables.
The circular economy concept has been applied to renewable and hybrid energy production [45] and illustrated in conferences with hundreds of contributions. However, most improvements focus on using the idea of a CE to achieve renewable energies [46] or focus on biochemical, biofuels, and energy storage [47]. The holistic view of the economy, technology, and raw materials, fuel included, is missing.
More than an economic issue, energy contributes to freedom and world development. In fact, the economic development of the last century was based on energy. Energy allowed the production increase, globalization, and the improvement of the standard of living. The world population living on less than 75 GJ/p has decreased from 76% in 1999 to 57% in 2019 [48] (p. 12). Nonetheless, 84% of the world’s energy still relies on fossil fuels [48] (p. 9).
The nations’ leadership will be fundamental for the world to change, as huge investments and funds for R&D and regulations are needed. Moreover, the paradigm of policy action has changed from limiting emissions to including adaptation and resilience. In this context, the public protection of the population will become essential.
The proposed designs depicted by Equations (5)–(7) help to define the direction to pursue, a key asset for an energy policy. EE is not enough to reach Energy Sustainability—it simply gives us time to act. All new solutions, renewables, and all-electric ask for the use of new materials. This paper presents a broader view, rather than focusing only on EE, or energy production through CE. It also takes into account technology and resources. Moreover, it identifies additional rebound effects than the ones caused by EE. The work also defines how to decouple the design. Decoupling asks for a CE strategy and the use of renewable sources of energy.
Energy security needs to be taken into account during the transition from the current model to the uncoupled model of Energy Sustainability. Furthermore, the best strategy to reach the new model of sustainability needs to be defined according to each region and application.

5. Conclusions

This paper presents a broad approach to an Energy Sustainability policy. The policy measures need to act on technology, efficiency, and resources. The unitary cost structure indicates that surpassing a given amount of energy service leads to a viable, new, and more efficient technology. Energy efficiency (EE) reduces the price of the energy service, therefore making the service widely available. Thus, it does not reduce by itself the depletion of fuel resources. The rebound effect due to EE globally increases the use of energy.
In this paper, we adopted the concept of Energy Sustainability as a way to provide energy services for the population at an affordable price with the minimum depletion of raw materials. There are two complementary solutions to solve this problem:
i.
One solution is a circular economy (CE) with constraints (Cs). The Cs consider the lowest efficiency enforced in laws or guidelines and the total use of resources. The policy needs to include taxation on technologies and resources.
ii.
The other solution is renewable energies, with near-zero energy systems and policy on efficiency constraints. It requires increasing fuel taxation as a function of efficiency.
iii.
Both solutions tackle the rebound effect of energy efficiency options and can be applied in order to create an economy independent of raw materials as much as possible.
In addition, the following statements can be raised:
iv.
New energy policies need to adopt other instruments than economics. Energy directives need to consider the role of raw materials in the technologies, including their scarcity.
v.
The Levelized Cost of Energy (LCOE) has been part of the sustainability problem, although it is a limited concept. New equations for technology and energy resources must be added to define new policies.
vi.
Without understanding the design equation, indicators for sustainability can be insufficient for defining the problem because they do not consider the rebound effects.
The proposed model identifies that there are couplings that can cause rebound effects other than the one regarding EE. Due to the number of couplings, the transition from the current economy to renewables plus CE needs many steps. Sufficiency of energy and energy security need to be considered during the transition period from the current model to the uncoupled one. Finally, the solutions show the usefulness of applying an Axiomatic Design (AD) to the design of a policy, allowing us to define a holistic view of sustainability by considering not only the role of technology but mostly the raw materials, in addition to energy efficiency. It is a new way to address sustainability, as far as the literature review shows us.
Future works can include decomposing the proposed model into a second and additional levels to define the policy for a country, region, or enterprise. Each policy will be a new design with lower-level FRs, which requires the inclusion of all local Cs.

Author Contributions

Conceptualization, J.F. and M.C.; methodology, M.C.; validation, M.C. and J.S.; formal analysis, J.S.; investigation, J.F.; writing—original draft preparation, J.F., M.C.; writing—review and editing, M.C. and J.S.; visualization, J.F.; supervision, J.S.; project administration, M.C.; funding acquisition, M.C. All authors have read and agreed to the published version of the manuscript.

Funding

The authors thank the participants of the 14th International Conference on Axiomatic Design (ICAD 2021) that was held in Lisbon, Portugal, 23–25 June 2021, for their valuable comments. This research was funded by CENSE—Center for Environmental and Sustainability Research, NOVA School of Science and Technology, by FCT (Fundação Portuguesa para a Ciência e Tecnologia) (UIDB/04085/2020), as well the support of UNIDEMI, NOVA School of Science and Technology, by FCT (UIDB/00667/2020).

Institutional Review Board Statement

Not applicable.

Informed Consent Statement

Not applicable.

Acknowledgments

The authors acknowledge the grant for publishing provided by the Axiomatic Design Research Foundation (ADRF), funded by B. J. Park.

Conflicts of Interest

The authors declare no conflict of interest. The funders had no role in the design of the study, in the collection, analyses, or interpretation of data, in the writing of the manuscript, or in the decision to publish the results.

Nomenclature

3BLThree Bottom Lines
4RReduce, Reuse, Remanufacture, Recycle
ADAxiomatic Design
CECircular Economy
CNCustomer Needs
CsConstraints
DMDesign Matrix
DPDesign Parameters
EEEnergy Efficiency
EPBDEnergy Performance Building Directive
ETSEuropean Trading Scheme
FRFunctional Requirements
GDPGross Domestic Product
GHGGreen House Gases
LCOELevelized Cost of Energy
nZEBNearly Zero Energy Buildings
PVPhotovoltaics
PVProcess Variables
SSESteady-State Economy
UN-FCCCUnited Nations Framework Convention on Climate Changes

References

  1. Daly, H.E. The Concept of steady-state economy. In Steady—State Economics, 2nd ed.; Island Press: Washington, DC, USA, 1990. [Google Scholar]
  2. United Nations. Report of the World Commission on Environment and Development—Our Common Future; The Brundtland Report; United Nations General Assembly document A/42/427; World Commission on Environment and Development: New York, NY, USA, 1987. [Google Scholar]
  3. Brookes, L. Energy efficiency fallacies revisited. Energy Policy 2000, 28, 6–7. [Google Scholar] [CrossRef]
  4. Brookes, L. Energy efficiency fallacies revisited—A postscript. Energy Policy 2004, 32, 945–947. [Google Scholar] [CrossRef]
  5. Jevons Paradox. Available online: https://en.wikipedia.org/wiki/Jevons_paradox (accessed on 10 January 2022).
  6. Crafts, N. Steam as a General Purpose Technology: A Growth Accounting Perspective. Econ. J. 2004, 114, 338–351. [Google Scholar] [CrossRef]
  7. Dahmus, B.J.; Gutowski, T.G. Can Efficiency Improvements Reduce Resource Consumption? A Historical Analysis of Ten Activities. J. Ind. Ecol. 2014, 18, 883–897. [Google Scholar] [CrossRef]
  8. Hass, R.; Biermayr, P. The Rebound Effect for Space Heating—Empirical Evidence from Austria. Energy Policy 2000, 28, 403–410. [Google Scholar] [CrossRef]
  9. Sorrell, S. Reducing energy demand: A review of issues, challenges and approaches. Renew. Sustain. Energy Rev. 2015, 47, 74–82. [Google Scholar] [CrossRef]
  10. Rocha, C.; Antunes, P.; Partidário, P. Design for sustainability models: A multiperspective review. J. Clean. Prod. 2019, 234, 1428–1445. [Google Scholar] [CrossRef]
  11. Chaudry, M.; Jayasuriya, L.; Jenkins, N. Modelling of integrated local energy systems: Low-carbon energy supply strategies for the Oxford-Cambridge arc region. Energy Policy 2021, 157, 112474. [Google Scholar] [CrossRef]
  12. Economidou, M.; Todeschi, V.; Bertoldi, P.; D’Agostino, D.; Zangheri, P.; Castellazzi, L. Review of 50 years of EU energy efficiency policies for buildings. Energy Build. 2020, 225, 110322. [Google Scholar] [CrossRef]
  13. European Parliament and of the Council, Directive (EU) 2018/844. Off. J. Eur. Union 2018, 156, 75–91.
  14. Rashdi, S.; Sudhir, C.V.; Basha, J.; Saleel, C.; Soudagar, M.; Yusuf, A.; El-Shafay, A.; Afzal, A. A case study on the electrical energy auditing and saving techniques in an educational institution (IMCO, Sohar, Oman). Case Stud. Therm. Eng. 2022, 31, 101820. [Google Scholar] [CrossRef]
  15. Cavique, M.; Flores, J.; Amado, M.; Gonçalves-Coelho, A.; Mourão, A.P. A Preliminary Check of the Refurbishing Large Office Buildings to a Zero Energy Condition. Procedia CIRP 2015, 34, 193–198. [Google Scholar] [CrossRef][Green Version]
  16. Khan, H.M.; Soudagar, M.; Kumar, R.; Safaei, M.; Farooq, M.; Khidmatgar, A.; Banapurmath, N.; Farade, R.; Abbas, M.; Afzal, A.; et al. Effect of Nano-Graphene Oxide and n-Butanol Fuel Additives Blended with Diesel—Nigella sativa Biodiesel Fuel Emulsion on Diesel Engine Characteristics. Symmetry 2020, 12, 961. [Google Scholar] [CrossRef]
  17. Soudagar, M.; Banapurmath, N.; Afzal, A.; Hossain, N.; Abbas, M.; Haniffa, M.; Naik, B.; Ahmed, W.; Nizamuddin, S.; Mubarak, N. Study of diesel engine characteristics by adding nanosized zinc oxide and diethyl ether additives in Mahua biodiesel–diesel fuel blend. Nat. Res. Sci. Rep. 2020, 10, 15326. [Google Scholar] [CrossRef] [PubMed]
  18. Zell-Ziegler, C.; Thema, J.; Best, B.; Wiese, F.; Lage, J.; Schmidt, A.; Toulouse, E.; Stagl, S. Enough? The role of Sufficiency in European energy and climate plans. Energy Policy 2021, 157, 112483. [Google Scholar] [CrossRef]
  19. Sorrell, S.; Gatersleben, B.; Druckman, A. The limits of energy sufficiency: A review of the evidence for rebound effects and negative spillovers from behavioural change. Energy Res. Soc. Sci. 2020, 64, 101439. [Google Scholar] [CrossRef]
  20. Bressanelli, G.; Saccani, N.; Pigosso, D.; Perona, M. Circular Economy in the WEEE industry: A systematic literature review and a research agenda. Sustain. Prod. Consum. 2020, 23, 174–188. [Google Scholar] [CrossRef]
  21. Nikolaou, I.; Tsagarakis, K. An introduction to circular economy and Sustainability: Some existing lessons and future directions. Sustain. Prod. Consum. 2021, 28, 600–609. [Google Scholar] [CrossRef]
  22. Harris, S.; Martin, M.; Diener, D. Circularity for circularity’s sake? Scoping review of assessment methods for environmental performance in the circular economy. Sustain. Prod. Consum. 2021, 26, 172–186. [Google Scholar] [CrossRef]
  23. Moraga, G.; Huysveld, S.; Mathieux, F.; Blengini, G.; Alaerts, L.; Acker, K.; Meester, S.; Dewulf, J. Circular economy indicators: What do they measure? Resour. Conserv. Recycl. 2019, 146, 452–461. [Google Scholar] [CrossRef]
  24. Pigosso, D.; McAloone, T. How can Design Science contribute to a circular economy? In Proceedings of the 21st International Conference on Engineering Design, ICED17, Vancouver, CA, Canada, 21–25 August 2017. [Google Scholar]
  25. Saidani, M.; Kim, H.; Cluzel, F.; Leroy, Y.; Yannou, B. Product circularity indicators: What contributions in designing for a circular economy? In Proceedings of the DESIGN Conference, Dubrovnik, Croatia, 26–29 October 2020; pp. 2129–2138. [Google Scholar] [CrossRef]
  26. Matt, D.; Rauch, E. Application of Axiomatic Design for the Design of Flexible and Agile Manufacturing Systems. In Design Engineering and Science; Suh, N.P., Cavique, M., Foley, J., Eds.; Springer Nature Switzerland AG: Cham, Switzerland, 2021; ISBN 978-3-030-49231-1. [Google Scholar]
  27. Suh, N.P. Future Design Challenges. In Design Engineering and Science; Suh, N.P., Cavique, M., Foley, J., Eds.; Springer Nature Switzerland AG: Cham, Switzerland, 2021; ISBN 978-3-030-49231-1. [Google Scholar]
  28. Suh, N.P. The Principles of Design; Oxford University Press: New York, NY, USA, 1990; ISBN 9780195043457. [Google Scholar]
  29. Soudagar, M.; Mujtaba, M.; Safaei, M.; Afzal, A.; Raju, D.; Ahmed, W.; Banapurmath, N.; Hossain, N.; Bashir, S.; Badruddin, I.; et al. Effect of Sr@ZnO nanoparticles and Ricinus communis biodiesel-diesel fuel blends on modified CRDI diesel engine characteristics. Energy 2021, 215, 119094. [Google Scholar] [CrossRef]
  30. Fradinho, J.; Cavique, M.; Gabriel-Santos, A.; Mourão, A.; Gonçalves-Coelho, A. How to Compute the Information Content of 3-FR, 3-DP Decoupled Designs with Uniform Probability Density Functions for Their FRs. MATEC Web Conf. 2017, 127, 01004. [Google Scholar] [CrossRef]
  31. Dodun, O.; Cavique, M.; Slătineanu, L.; Duşa, P. Using the Axiomatic Design in Engineering, In Advances in Product Design Engineering; Springer Nature Switzerland AG: Cham, Switzerland, 2022; ISBN 978-3-030-98123-5. [Google Scholar] [CrossRef]
  32. Suh, N. Complexity: Theory, and Applications; Oxford University Press: New York, NY, USA, 2005; ISBN 9780195178760. [Google Scholar]
  33. Suh, N.P.; Cavique, M.; Foley, J. Design Engineering and Science; Springer Nature Switzerland AG: Cham, Switzerland, 2021; ISBN 978-3-030-49231-1. [Google Scholar]
  34. Lee, T.; Jeziorek, P.N. Understanding the value of eliminating an off-diagonal term in a design matrix. In Proceedings of the 4th International Conference on Axiomatic Design (ICAD), Florence, Italy, 13–16 June 2006. [Google Scholar]
  35. Pawel, I. The cost of storage—how to calculate the levelized cost of stored energy (LCOE) and applications to renewable energy generation. In Energy Procedia, Proceedings of the 8th International Renewable Energy Storage Conference and Exhibition, IRES 2013, Berlin, Germany, 18–20 November 2013; Elsevier: Amsterdam, The Netherlands, 2014; Volume 46, pp. 68–77. [Google Scholar] [CrossRef]
  36. Gouveia, J.; Seixas, J.; Long, G. Mining households’ energy data to disclose fuel poverty: Lessons for Southern Europe. J. Clean. Prod. 2018, 178, 534–550. [Google Scholar] [CrossRef]
  37. Fortes, P.; Simões, S.; Seixas, J.; Regemorter, D.; Ferreira, F. Top-down and bottom-up modelling to support low-carbon scenarios: Climate policy implications. Clim. Policy 2013, 13, 285–304. [Google Scholar] [CrossRef]
  38. United Nations-Framework Convention on Climate Change (UN-FCCC). Report of the Conference of the Parties on Its Twenty-First Session; United Nations: Paris, France, 2015. [Google Scholar]
  39. Adow, M. The Climate Debt, What the West Owes the Rest. Foreign Aff. 2020, 99, 60–68. [Google Scholar]
  40. Egenhofer, C.; Alessi, M.; Georgiev, A.; Fujiwara, N. The EU Emissions Trading System and Climate Policy Towards 2050, Real Incentives to Reduce Emissions and Drive Innovation; Centre for European Policy Studies (CEPS): Brussels, Belgium, 2011. [Google Scholar]
  41. European Parliament and of the Council. Regulation (EU) 2018/1999 on the Governance of the Energy Union and Climate Action. 2018. Available online: https://eur-lex.europa.eu/eli/reg/2018/1999 (accessed on 12 April 2022).
  42. Azevedo, I.; Davidson, M.; Jenkins, J.; Karplus, V.; Victor, D. The Path to Net Zero, How Technology Can Save the Planet. Foreign Aff. 2020, 99, 18–27. [Google Scholar]
  43. Gouveia, J.; Dias, L.; Martins, I.; Seixas, J. Effects of renewables penetration on the security of Portuguese electricity supply. Appl. Energy 2012, 123, 438–447. [Google Scholar] [CrossRef]
  44. Shaffer, B. A Guide to the Application of Energy Data for Intelligence Analysis. Stud. Intell. 2017, 4, 201761. [Google Scholar]
  45. Bist, N.; Sircar, A.; Yadav, K. Holistic review of hybrid renewable energy in circular economy for valorization and management. Environ. Technol. Innov. 2020, 20, 101054. [Google Scholar] [CrossRef]
  46. Olabi, A. Circular economy and renewable energy. Energy 2019, 181, 450–454. [Google Scholar] [CrossRef]
  47. Conference editorial, Life cycle to Pinch Analysis and 100% renewable energy systems in a circular economy at sustainable development of energy, Water and Environment Systems. Renew. Sustain. Energy Rev. 2019, 108, 572–577. [CrossRef]
  48. BP. Statistical Review of World Energy, 69th ed.; BP p.l.c.: London, UK, 2020. [Google Scholar]
Figure 1. An uncoupled design—(a) the DM, (b) graph of an uncoupled design.
Figure 1. An uncoupled design—(a) the DM, (b) graph of an uncoupled design.
Sustainability 14 06737 g001
Figure 2. A decoupled design—(a) a fully triangular DM, (b) graph of a decoupled design.
Figure 2. A decoupled design—(a) a fully triangular DM, (b) graph of a decoupled design.
Sustainability 14 06737 g002
Figure 3. A decoupled DM with independent tuning of FR1 and FR2—(a) the DM, (b) graph of the decoupled design of the equation on the left side.
Figure 3. A decoupled DM with independent tuning of FR1 and FR2—(a) the DM, (b) graph of the decoupled design of the equation on the left side.
Sustainability 14 06737 g003
Figure 4. A decoupled DM with a sequence FR1, FR2, FR3—(a) DM, (b) graph of a decoupled design expresses a sequence of fulfillment.
Figure 4. A decoupled DM with a sequence FR1, FR2, FR3—(a) DM, (b) graph of a decoupled design expresses a sequence of fulfillment.
Sustainability 14 06737 g004
Figure 5. A coupled DM with cycle sequence—(a) the DM, (b) graph of the coupled design, showing the cycles.
Figure 5. A coupled DM with cycle sequence—(a) the DM, (b) graph of the coupled design, showing the cycles.
Sustainability 14 06737 g005
Figure 6. Graph of FRs, from the DM of Equation (3).
Figure 6. Graph of FRs, from the DM of Equation (3).
Sustainability 14 06737 g006
Table 1. Energy Sustainability–FRDP decomposition at the first level.
Table 1. Energy Sustainability–FRDP decomposition at the first level.
FRFR NameSymbolDPDP NameSymbol
FR1Provide an energy serviceESDP1TechnologyT
FR2Reduce price per energy service unitUiDP2System and equipment efficiencyε
FR3Reduce depletion of raw materialRDpDP3Quantity of resources and fuel in the energy serviceQ
Publisher’s Note: MDPI stays neutral with regard to jurisdictional claims in published maps and institutional affiliations.

Share and Cite

MDPI and ACS Style

Flores, J.; Cavique, M.; Seixas, J. Energy Sustainability—Rebounds Revisited Using Axiomatic Design. Sustainability 2022, 14, 6737. https://doi.org/10.3390/su14116737

AMA Style

Flores J, Cavique M, Seixas J. Energy Sustainability—Rebounds Revisited Using Axiomatic Design. Sustainability. 2022; 14(11):6737. https://doi.org/10.3390/su14116737

Chicago/Turabian Style

Flores, João, Miguel Cavique, and Júlia Seixas. 2022. "Energy Sustainability—Rebounds Revisited Using Axiomatic Design" Sustainability 14, no. 11: 6737. https://doi.org/10.3390/su14116737

APA Style

Flores, J., Cavique, M., & Seixas, J. (2022). Energy Sustainability—Rebounds Revisited Using Axiomatic Design. Sustainability, 14(11), 6737. https://doi.org/10.3390/su14116737

Note that from the first issue of 2016, this journal uses article numbers instead of page numbers. See further details here.

Article Metrics

Back to TopTop