Intellectual Capital: A System Thinking Analysis in Revamping the Exchanging Information in University-Industry Research Collaboration
Abstract
1. Introduction
2. Literature Review and Hypothesis Development
3. Methodology
4. Results and Analysis
4.1. Assessment of Measurement Model
4.1.1. Assessment of Constructs Validity
4.1.2. Assessment of Indicators Validity
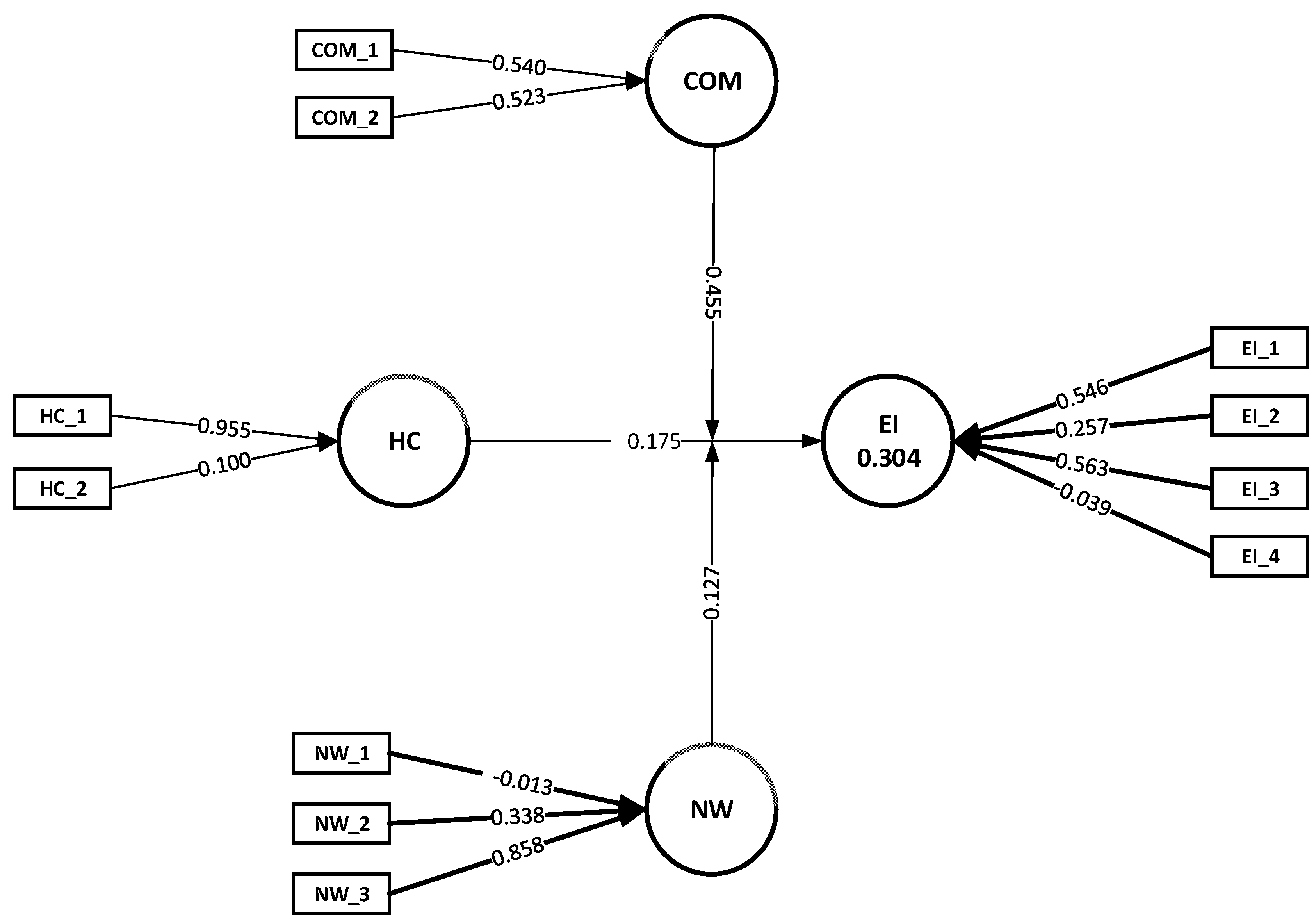
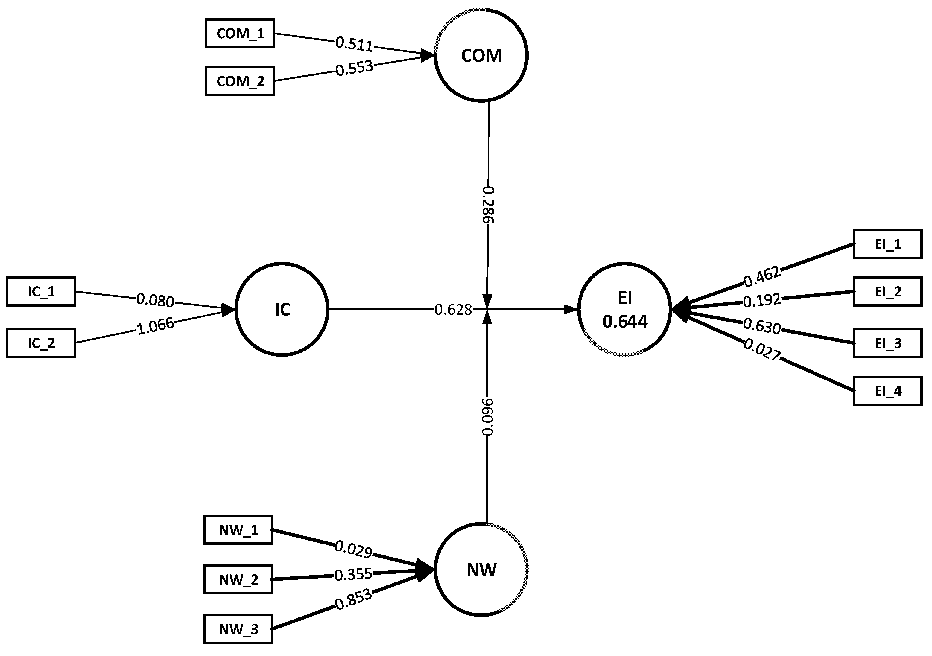
4.2. Assessment of Structural Model
Results of Hypothesis
5. Discussion and Conclusions
5.1. Discussion
5.2. Conclusions and Recommendations
Author Contributions
Funding
Conflicts of Interest
References
- Andres, B.; Poler, R.; Guzman, E. The Influence of Collaboration on Enterprises Internationalization Process. Sustainability 2022, 14, 2843. [Google Scholar] [CrossRef]
- Lin, J.Y.; Yang, C.H. Heterogeneity in industry–university R&D collaboration and firm innovative performance. Scientometrics 2020, 124, 1–25. [Google Scholar]
- Messeni Petruzzelli, A.; Murgia, G. University—Industry collaborations and international knowledge spillovers: A joint-patent investigation. J. Technol. Transf. 2020, 45, 958–983. [Google Scholar] [CrossRef]
- Jones, S.E.; Coates, N. A micro-level view on knowledge co-creation through university-industry collaboration in a multi-national corporation. J. Manag. Dev. 2020, 39, 723–738. [Google Scholar] [CrossRef]
- Ting, S.H.; Yahya, S.; Tan, C.L. Importance-Performance Matrix Analysis of the Researcher’s Competence in the Formation of University-Industry Collaboration Using Smart PLS. Public Organ. Rev. 2020, 20, 249–275. [Google Scholar] [CrossRef]
- Iqbal, A.M.; Khan, A.S.; Abdullah, J.; Kulathuramaiye, N.; Senin, A.A. Blended system thinking approach to strengthen the education and training in university-industry research collaboration. Technol. Anal. Strateg. Manag. 2021, 34, 447–460. [Google Scholar] [CrossRef]
- Iqbal, A.M. Influence of National Innovation System on University-Industry Research Collaboration. Ph.D. Thesis, Universiti Teknologi Malaysia, Skudai, Malaysia, 2018. [Google Scholar]
- Iqbal, A.M.; Khan, A.S.; Bashir, F.; Senin, A.A. Evaluating national innovation system of malaysia based on university-industry research collaboration: A system thinking approach. Asian Soc. Sci. 2015, 11, 45. [Google Scholar]
- Parmentola, A.; Ferretti, M.; Panetti, E. Exploring the university-industry cooperation in a low innovative region. What differences between low tech and high tech industries? Int. Entrep. Manag. J. 2021, 17, 1469–1496. [Google Scholar] [CrossRef]
- Tseng, F.C.; Huang, M.H.; Chen, D.Z. Factors of university–industry collaboration affecting university innovation performance. J. Technol. Transf. 2020, 45, 560–577. [Google Scholar] [CrossRef]
- Bohin, P. Effectiveness of innovative policies to enhance university- industry collaboration in developing countries. Towards technical university-industry links in Ghana. Br. J. Educ. 2018, 6, 54–70. [Google Scholar]
- Chen, K.; Lu, W.; Wang, J. University–industry collaboration for BIM education: Lessons learned from a case study. Ind. High. Educ. 2020, 34, 401–409. [Google Scholar] [CrossRef]
- Dooley, L.; Gubbins, C. Inter-organisational knowledge networks: Synthesising dialectic tensions of university-industry knowledge discovery. J. Knowl. Manag. 2019, 23, 2113–2134. [Google Scholar] [CrossRef]
- Brazile, T.; Hostetter, S.G.; Donough, C.M.; Citters, D.W. Promoting innovation: Enhancing transdisciplinary opportunities for medical and engineering students. Med. Teach. 2018, 40, 1264–1274. [Google Scholar] [CrossRef] [PubMed]
- Iqbal, A.M.; Khan, A.S.; Senin, A.A. Reinforcing the National Innovation System of Malaysia Based on University-Industry Research Collaboration: A System Thinking Approach. Int. J. Manag. Sci. Bus. Res. 2015, 4, 6–15. [Google Scholar]
- Iqbal, A.M.; Khan, A.S.; Iqbal, S.; Senin, A.A. Designing of success criteria-based evaluation model for assessing the research collaboration between university and industry. Int. J. Bus. Res. Manag. 2011, 2, 59–73. [Google Scholar]
- Iqbal, A.M.; Khan, A.S.; Senin, A.A. Determination of high impact evaluation metrics for evaluating the University-industry technological linkage. Int. J. Phys. Soc. Sci. 2012, 2, 111–122. [Google Scholar]
- Iqbal, S.; Iqbal, A.M.; Shahid, A.; Senin, A.A. A Modern Strategy for the Development of Academic Staff Based on University-Industry Knowledge Transfer Effectiveness& Collaborative Research. Sains Hum. 2013, 64. [Google Scholar] [CrossRef][Green Version]
- Chen, Y.; Han, J.; Xuan, Z.; Gao, W. Higher education’s role in Chinese national innovation system: A perspective of university-industry linkages. In Proceedings of the 17th International Conference on Scientometrics and Informetrics, ISSI 2019, Rome, Italy, 2–5 September 2019; Volume 1, pp. 573–583. [Google Scholar]
- Kafouros, M.; Wang, C.; Piperopoulos, P.; Zhang, M. Academic collaborations and firm innovation performance in China: The role of region-specific institutions. Res. Policy 2015, 44, 803–817. [Google Scholar] [CrossRef]
- Fuentes, D.C.; Dutrénit, G. Best channels of academia-industry interaction for long-term benefit. Res. Policy 2012, 41, 1666–1682. [Google Scholar] [CrossRef]
- Iqbal, A.M.; Khan, A.S.; Parveen, S.; Senin, A.A. An efficient evaluation model for the assessment of university-industry research collaboration in Malaysia. Res. J. Appl. Sci. Eng. Technol. 2015, 10, 298–306. [Google Scholar] [CrossRef][Green Version]
- Freitas, I.M.B.; Geuna, A.; Rossi, F. Finding the right partners: Institutional and personal modes of governance of university–industry interactions. Res. Policy 2013, 42, 50–62. [Google Scholar] [CrossRef]
- Razorenov, Y.I.; Vodenko, K.V. Innovative development of the national university system in Russia: Trends and key elements. Int. J. Sociol. Soc. Policy 2021, 41, 253–262. [Google Scholar] [CrossRef]
- Melamed-Varela, E.; Navarro-Vargas, L.; Blanco-Ariza, A.B.; Olivero-Vega, E. University-Industry-Government linkage to promote innovation at regional systems: Documentary research. Rev. Estud. Reg. 2019, 114, 147–169. [Google Scholar]
- Wilson, L.E.; Gahan, M.E.; Lennard, C.; Robertson, J. Why do we need a systems thinking approach to military forensic science in the contemporary world? Aust. J. Forensic Sci. 2020, 52, 323–336. [Google Scholar] [CrossRef]
- Allender, S.; Brown, A.D.; Bolton, K.A.; Fraser, P.; Lowe, J.; Hovmand, P. Translating systems thinking into practice for community action on childhood obesity. Obes. Rev. 2019, 20, 179–184. [Google Scholar] [CrossRef] [PubMed]
- Befus, D.R.; Lich, K.H.; Kneipp, S.M.; Bettger, J.P.; Coeytaux, R.R.; Humphreys, J.C. A qualitative, systems thinking approach to study self-management in women with migraine. Nurs. Res. 2018, 67, 395–403. [Google Scholar] [CrossRef]
- Sarriot, E.; Morrow, M.; Langston, A.; Weiss, J.; Landegger, J.; Tsuma, L. A causal loop analysis of the sustainability of integrated community case management in Rwanda. Soc. Sci. Med. 2015, 131, 147–155. [Google Scholar] [CrossRef]
- Santos-rodrigues, H.; Dorrego, P.F.; Jardon, C.F. The influence of human capital on the innovativeness of firms. Int. Bus. Econ. Res. J. 2010, 9, 53–63. [Google Scholar] [CrossRef]
- Gössling, T.; Rutten, R. Innovation in Regions. European Planning Studies; Taylor & Francis Group: Tilburg, ND, USA, 2007; Volume 15, pp. 253–270. [Google Scholar]
- Esham, M. Strategies to develop university-industry linkages in Sri Lanka. In Research Studies on Tertiary Education Sector, Study Series 4; National Education Commission: Colombo, Sri Lanka, 2008. [Google Scholar]
- Cohen, W.M.; Nelson, R.R.; Walsh, J.P. Links and impacts: The influence of public research on industrial R&D. Manag. Sci. 2002, 48, 1–23. [Google Scholar]
- Rebne, D. Faculty consulting and scientific knowledge—A traditional university–industry linkage. Educ. Adm. Q. 1989, 25, 338–357. [Google Scholar] [CrossRef]
- Perkmann, M.; Walsh, K. How firms source knowledge from universities: Partnerships versus contracting (forthcoming). In Creating Wealth from Knowledge: Meeting the Innovation Challenge; Bessant, J., Venables, T., Eds.; Edward Elgar: Cheltenham, UK, 2007. [Google Scholar]
- Saleh, Z. Reforming Public Sector Accounting: Meeting the Challenges of the Knowledge Economy: Exploring Globalization in Accounting Education and Financial Accounting and Reporting; KPMG: Kuala Lumpur, Malaysia, 2008; pp. 14–36. [Google Scholar]
- Dodgson, M.; Mathews, J.; Kastelle, T.; Hu, M.-C. The evolving nature of Taiwan’s national innovation system: The case of biotechnology innovation networks. Res. Policy 2008, 37, 430–445. [Google Scholar] [CrossRef]
- Kaymaz, K.; Eryiğit, K.Y. Determining factors hindering university-industry collaboration: An analysis from the perspective of academicians in the context of Entrepreneurial Science Paradigm. Int. J. Soc. Inq. 2011, 4, 185–213. [Google Scholar]
- Iqbal, A.M.; Iqbal, S.; Khan, A.S.; Senin, A.A. A novel cost efficient evaluation model for assessing research-based technology transfer between university and industry. J. Teknol. 2013, 64. [Google Scholar] [CrossRef][Green Version]
- Iqbal, A.M.; Aslan, A.S.; Khan, A.S.; Iqbal, S. Research Collaboration Agreements: A Major Risk Factor Between University-Industry Collaboration. An Analysis Approach. In Proceedings of the 3rd International Graduate Conference on Engineering, Science and Humanities (IGCESH2010), Johor Bahru, Malaysia, 2–4 November 2010. [Google Scholar]
- Iqbal, A.M.; Aslan, A.S.; Khan, A.S. Innovation Oriented Constraints between University-industry Technological Collaboration. Proc. ICPE-4 2010, 4, 24. [Google Scholar]
- Schultz, T.W. The economic importance of human capital in modernization. Educ. Econ. 1993, 1, 13–19. [Google Scholar] [CrossRef]
- Marimuthu, M.; Arokiasamy, L.; Ismail, M. Human Capital Development and Its Impact on Firm Performance: Evidence from Development Economics. J. Int. Soc. Res. 2009, 2, 265–272. [Google Scholar]
- Iqbal, A.M. Evaluation of Research Collaboration between University-Industry. Master’s Thesis, Universiti Teknologi Malaysia, Skudai, Malaysia, 2012. [Google Scholar]
- Mallana, M.F.B.A.; Iqbal, A.M.; Iqbal, S.; Khan, A.S.; Senin, A.A. The critical factors for the successful transformation of technology from developed to developing countries. J. Teknol. 2013, 64. [Google Scholar] [CrossRef][Green Version]
- Edvinsson, L.; Sullivan, P. Developing a model for managing intellectual capital. Eur. Manag. J. 1996, 14, 356–364. [Google Scholar] [CrossRef]
- Roose, G.; Pike, S.; Fernstorm, L. Managing Intellectual Capital in Practice; Elsvier Butterworth-Heinemann: Burlington, MA, USA, 2005. [Google Scholar]
- Subramanian, M.; Youndt, M.A. The influence of intellectual capital on the type of innovative capabilities. Acad. Manag. J. 2005, 48, 450–463. [Google Scholar]
- Stewart, T.A. Intellectual Capital: The New Wealth of Organizations; Bantam Double Leady Dell Publishing Group Inc.: New York, NY, USA, 1997. [Google Scholar]
- Galbraith, J.K. The Affluent Society; Houghton Mifflin Company: London, UK, 1969; Volume 2. [Google Scholar]
- Hu, M.-C.; Mathews, J.A. National innovative capacity in East Asia. Res. Policy 2005, 34, 1322–1349. [Google Scholar] [CrossRef]
- Nasierowski, W.; Arcelus, F.J. On the efficiency of national innovation systems. Socio-Econ. Plan. Sci. 2003, 37, 215–234. [Google Scholar] [CrossRef]
- Pan, T.-W.; Hung, S.-W.; Lu, W.-M. DEA performance measurement of the national innovation system in Asia and Europe. Asia-Pac. J. Oper. Res. 2010, 27, 369–392. [Google Scholar] [CrossRef]
- Bontis, N. Intellectual capital: An exploratory study that develops measures and models. Manag. Decis. 1998, 36, 63–76. [Google Scholar] [CrossRef]
- Rehman, W.U.; Rehman, C.A.; Rehman, H.U.; Zahid, A. Intellectual Capital Performance and Its Impact on Corporate Performance: An Empirical Evidence from Modaraba Sector of Pakistan. Aust. J. Bus. Manag. Res. 2011, 1, 8–16. [Google Scholar] [CrossRef]
- Bin Ahmad, S.; Mushraf, A.M. The Relationship between Intellectual capital and Business Performance: An empirical study in Iraqi industry. In International Conference on Management and Artificial Intelligence; IACSIT Press: Bali, Indonesia, 2011; pp. 104–109. [Google Scholar]
- Chin, C.M.M.; Yap, E.H.; Spowage, A.C. Project management methodology for university-industry collaborative projects. Rev. Int. Comp. Manag. 2011, 12, 901–918. [Google Scholar]
- Hamdan, H.; Yusof, F.; Omar, D.; Abdullah, F.; Nasrudin, N.; Abullah, I.C. University Industrial Linkages: Relationship Towards Economic Growth and Development in Malaysia. Int. J. Econ. Manag. Eng. 2011, 5, 1284–1291. [Google Scholar]
- Mora-Valentin, E.; Montoro-Sanches, A.; Guerras-Martin, L. Determining Factors in the Success of R&D Cooperative Agreements between Firms and Research Organizations. Res. Policy 2004, 33, 17–40. [Google Scholar]
- Lee, K.; Ohta, T.; Kakehi, K. Formal boundary spanning by industry liaison offices and the changing pattern of university–industry cooperative research: The case of the University of Tokyo. Technol. Anal. Strateg. Manag. 2010, 22, 189–206. [Google Scholar] [CrossRef]
- Butcher, J.; Jeffrey, P. A view from the coal face: UK research student perceptions of successful and unsuccessful collaborative projects. Res. Policy 2007, 36, 1239–1250. [Google Scholar] [CrossRef]
- Ceci, F.; Iubatti, D. Personal relationships and innovation diffusion in SME networks: A content analysis approach. Res. Policy 2012, 41, 565–579. [Google Scholar] [CrossRef]
- Elmuti, D.; Abebe, M.; Nicolosi, M. An overview of strategic alliances between universities and corporations. Albuquerque: University of New Mexico, Department of Communication and Journalism, Report to the Mitsubishi International Corporation. J. Workplace Learn. 2005, 17, 115–129. [Google Scholar] [CrossRef]
- Teece, D. Profiting from technological innovation: Implications for integration collaboration, licensing and public policy. Res. Policy 1986, 15, 285–305. [Google Scholar] [CrossRef]
- Baum, J.A.C.; Calabrese, T.; Silverman, B.S. Don’t go it alone: Alliance network composition and startups’ performance in canadian biotechnology. Strateg. Manag. J. 2000, 21, 267–294. [Google Scholar] [CrossRef]
- Miotti, L.; Sachwald, F. Co-operative R&D: Why and with whom? Res. Policy 2003, 32, 1481–1499. [Google Scholar]
- Mohnen, P.; Hoareau, C. What type of enterprise forges close links with universities and government labs? Evidence from CIS 2. Manag. Decis. Econ. 2003, 24, 133–145. [Google Scholar] [CrossRef]
- Kleinknecht, A.; Reijnen, J.O.N. Why do firms cooperate on R&D? An empirical study. Res. Policy 1992, 21, 347–360. [Google Scholar]
- Becker, W.; Dietz, J. R&D cooperation and innovation activities of firms—Evidence for the German manufacturing industry. Res. Policy 2004, 33, 209–223. [Google Scholar]
- Hagedoorn, J.; Schakenraad, J. The Effect of Strategic Technology Alliances on Company Performance. Strateg. Manag. J. 1994, 15, 291–309. [Google Scholar] [CrossRef]
- Powell, W.W.; Koput, K.W.; Smith-Doerr, L. Interorganizational collaboration and the locus of innovation: Networks of learning in biotechnology. Adm. Sci. Q. 1996, 41, 116–145. [Google Scholar] [CrossRef]
- Mitchell, W.; Singh, K. Survival of businesses using collaborative relationships to commercialize complex goods. Strateg. Manag. J. 1996, 17, 169–195. [Google Scholar] [CrossRef]
- Ahuja, G. The Duality of Collaboration: Inducements and Opportunities in the Formation of Interfirm Linkages. Strateg. Manag. J. 2000, 21, 317–343. [Google Scholar] [CrossRef]
- Uzzi, B. Social Structure and Competition in Interfirm Networks: The Paradox of Embeddedness. Adm. Sci. Q. 1997, 42, 35–67. [Google Scholar] [CrossRef]
- Phillips, D.C.; Burbules, N.C. Postpositivism and Educational Research; Rowman & Littlefield: New York, NY, USA, 2000. [Google Scholar]
- Park, Y.S.; Konge, L.; Artino, A.R. The Positivism Paradigm of Research. Acad. Med. 2020, 95, 690–694. [Google Scholar] [CrossRef] [PubMed]
- Krejcie, R.V.; Morgan, D.W. Determining sample size for research activities. Educ. Psychol. Meas. 1970, 30, 607–610. [Google Scholar] [CrossRef]
- Hair, J.F.; Sarstedt, M.; Ringle, C.M.; Gudergan, S.P. Advanced Issues in Partial Least Squares Structural Equation Modeling, 3rd ed.; Sage: Thousand Oaks, CA, USA, 2018. [Google Scholar]
- Merrill, W. Models and Applications in the Decisions Science: Best Papers from the 2015 Annual Conference; Decision Science Institute: Atlanta, GA, USA, 1995. [Google Scholar]
- Hair, J.F.; Sarstedt, M.; Hopkins, L.; Kuppelwieser, V.G. Partial least squares structural equation modeling (PLS-SEM): An emerging tool in business research. Eur. Bus. Rev. 2014, 26, 106–121. [Google Scholar] [CrossRef]
- Henseler, J.; Chin, W.W. A Comparison of Approaches for the Analysis of Interaction Effects Between Latent Variables Using Partial Least Squares Path Modeling. Struct. Equ. Modeling 2009, 17, 82–109. [Google Scholar] [CrossRef]
- Tenenhaus, M.; Esposito Vinzi, V. PLS regression, PLS path modeling and generalized procrustean analysis: A combined approach for multiblock analysis. J. Chemom. 2005, 19, 145–153. [Google Scholar] [CrossRef]
- Brimble, P.; Doner, R.F. University-Industry Linkages and Economy Development: The case of Thailand. World Dev. 2007, 35, 1021–1036. [Google Scholar] [CrossRef]
- Xu, D. Research on Improving the Technological Innovation Capability of SMEs by University-Industry Collaboration. J. Eng. Sci. Technol. Rev. 2013, 6, 100–104. [Google Scholar] [CrossRef]
- Li, X. Sources of external technology, absorptive capacity, and innovation capability in Chinese state-owned high-tech enterprises. World Dev. 2011, 39, 1240–1248. [Google Scholar] [CrossRef]
- Azizan, S.A. Strengthening Malaysia’s Scientific and Technological Development through Human Capital Development. Procedia Soc. Behav. Sci. 2013, 91, 648–653. [Google Scholar] [CrossRef][Green Version]
- Alexander, C.; Yuriy, H. Problems and Perspectives of Performance of Higher education institutions in the Development of Russian Innovative System (regional aspect). Procedia-Soc. Behav. Sci. 2018, 166, 497–504. [Google Scholar] [CrossRef][Green Version]
- Richmond, B. System Dynamics Review. Summer-Fall 1994, 10, 140. [Google Scholar]







| Variables | Constructs | N | Items |
|---|---|---|---|
| DV | EI | 1 | Sharing information expertise and advice on innovative organizations. |
| 2 | Experts’ mobility amongst research organizations. | ||
| 3 | Exchanging intellectual ideas and methodologies amongst research organizations. | ||
| 4 | Conferences and seminars amongst collaborative organizations. | ||
| IDV | HC | 1 | Number of educated people for research and innovation. |
| 2 | Number of skilled personals for research and innovation. | ||
| IC | 1 | Talents and intelligence in innovations. | |
| 2 | Utilizing knowledge and expertise in innovations. | ||
| RF | NW | 1 | Voluntary collaboration amongst actors of innovation. |
| 2 | Cooperative behavior amongst actors of innovation. | ||
| 3 | Strategic research and social alliances amongst the actors of innovation. | ||
| COM | 1 | Frequent communication among the actors of innovation | |
| 2 | Exchanging information among the actors of innovation. |
| Collinearity Statistics | |||
|---|---|---|---|
| Constructs | Indicators | Tolerance | VIF |
| Exchanging Information | EI_1 | 0.332 | 3.012 |
| EI_2 | 0.820 | 1.220 | |
| EI_3 | 0.757 | 1.320 | |
| EI_4 | 0.315 | 3.171 | |
| Human Capital | HC_1 | 0.831 | 1.203 |
| HC_2 | 0.831 | 1.203 | |
| Intellectual Capital | IC_1 | 0.307 | 3.262 |
| 1C_2 | 0.307 | 3.262 | |
| Networking | NW_1 | 0.874 | 1.145 |
| NW_2 | 0.920 | 1.087 | |
| NW_3 | 0.830 | 1.205 | |
| Communication | COM_1 | 0.410 | 2.440 |
| COM_2 | 0.410 | 2.440 | |
| Constructs | Indicators | Indicators Weight (t-V) | Indicators Loading (t-V) |
|---|---|---|---|
| Exchanging Information | EI_1 | 0.3450 | 0.8027 |
| EI_2 | 0.2550 | 0.6018 | |
| EI_3 | 0.4054 | 0.7338 | |
| EI_4 | 0.3272 | 0.8316 | |
| Human Capital | HC_1 | 0.9319 | 0.9906 |
| HC_2 | 0.1445 | 0.5318 | |
| Intellectual Capital | IC_1 | −0.0476 | 0.8178 |
| 1C_2 | 0.0393 | 0.9997 | |
| Networking | COL_1 | 0.6093 | 0.5138 |
| COL_2 | −0.3969 | 0.7512 | |
| COL_3 | 0.6450 | 0.5268 | |
| Communication | COM_1 | −0.4262 | 0.7131 |
| COM_2 | 0.2895 | 0.9966 |
| N | Hypothesis | Path Coefficient | Standard Error | t-Statistics |
|---|---|---|---|---|
| H1 | HC → ET | −0.201 | 0.052 | −3.55 |
| H1a | COM → EI | 0.455 | 0.037 | 3.977 |
| H2a | NW → EI | 0.127 | 0.042 | 3.155 |
| H2 | IC → EI | 0.505 | 0.028 | 13.08 |
| H1b | COM → EI | 0.286 | 0.045 | 5.872 |
| H2b | NW → EI | 0.096 | 0.171 | 1.723 |
Publisher’s Note: MDPI stays neutral with regard to jurisdictional claims in published maps and institutional affiliations. |
© 2022 by the authors. Licensee MDPI, Basel, Switzerland. This article is an open access article distributed under the terms and conditions of the Creative Commons Attribution (CC BY) license (https://creativecommons.org/licenses/by/4.0/).
Share and Cite
Iqbal, A.M.; Kulathuramaiyer, N.; Khan, A.S.; Abdullah, J.; Khan, M.A. Intellectual Capital: A System Thinking Analysis in Revamping the Exchanging Information in University-Industry Research Collaboration. Sustainability 2022, 14, 6404. https://doi.org/10.3390/su14116404
Iqbal AM, Kulathuramaiyer N, Khan AS, Abdullah J, Khan MA. Intellectual Capital: A System Thinking Analysis in Revamping the Exchanging Information in University-Industry Research Collaboration. Sustainability. 2022; 14(11):6404. https://doi.org/10.3390/su14116404
Chicago/Turabian StyleIqbal, Abeda Muhammad, Narayanan Kulathuramaiyer, Adnan Shahid Khan, Johari Abdullah, and Mussadiq Ali Khan. 2022. "Intellectual Capital: A System Thinking Analysis in Revamping the Exchanging Information in University-Industry Research Collaboration" Sustainability 14, no. 11: 6404. https://doi.org/10.3390/su14116404
APA StyleIqbal, A. M., Kulathuramaiyer, N., Khan, A. S., Abdullah, J., & Khan, M. A. (2022). Intellectual Capital: A System Thinking Analysis in Revamping the Exchanging Information in University-Industry Research Collaboration. Sustainability, 14(11), 6404. https://doi.org/10.3390/su14116404

