How Knowledge Sharing Affects Business Model Innovation: An Empirical Study from the Perspective of Ambidextrous Organizational Learning
Abstract
:1. Introduction
2. Literature Review and Research Hypothesis
2.1. Knowledge Sharing Effect on Business Model Innovation
2.2. Knowledge Sharing Effect on Ambidextrous Organizational Learning
2.3. Ambidextrous Organizational Learning Effect on Business Model Innovation
3. Research Methodology
3.1. Sampling and Data Collection
3.2. Variable Measurement
3.3. Data Analysis Method
4. Results
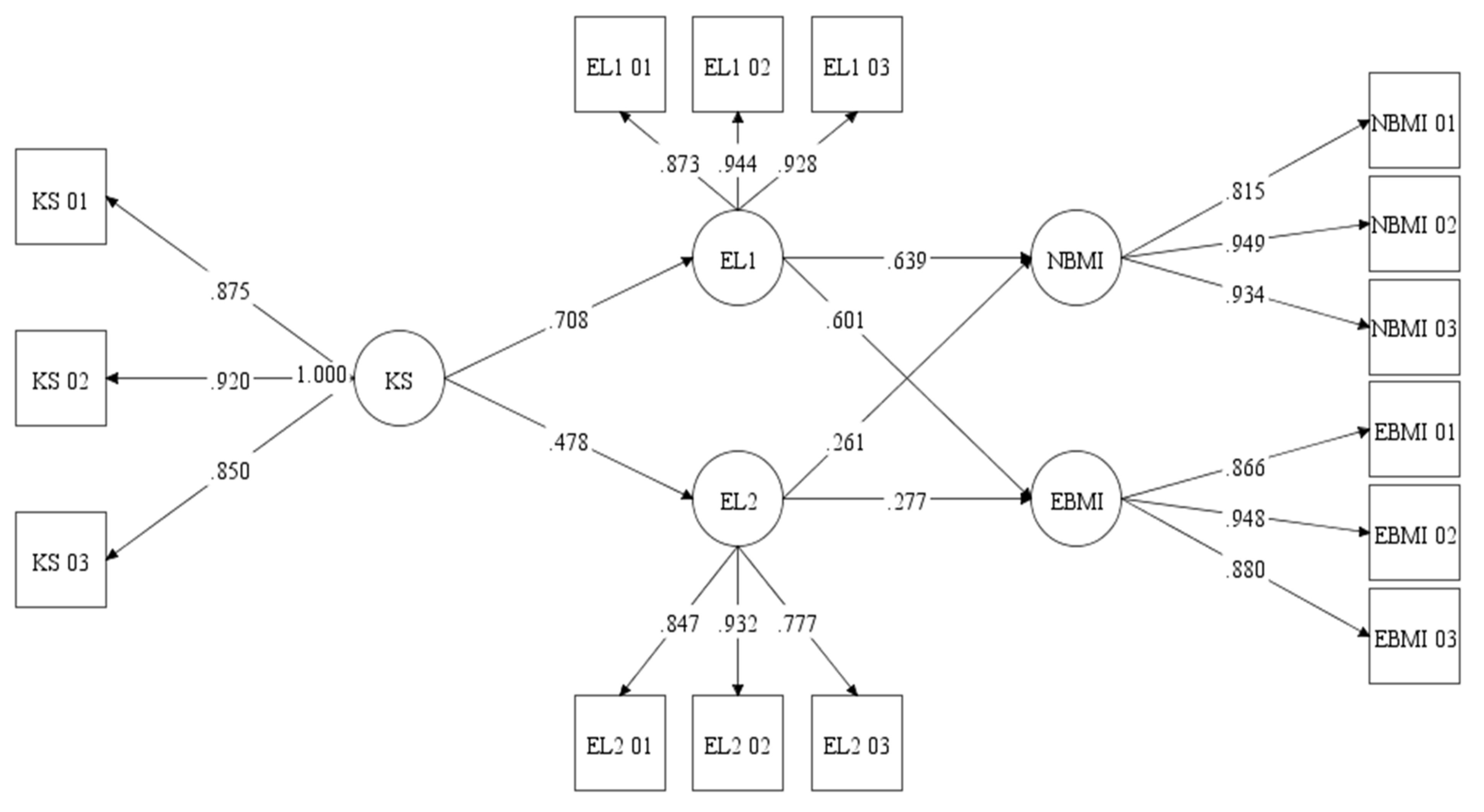
4.1. Reliability and Validity
| Variable | Measurement Item | Factor Loading | Cronbach’s α | AVE | CR |
|---|---|---|---|---|---|
| Knowledge Sharing (KS) | KS 01. Knowledge sharing contributes to the improvement of knowledge level. | 0.843 | 0.911 | 0.669 | 0.859 |
| KS 02. Sharing knowledge with colleagues is faster than doing work on your own. | 0.829 | ||||
| KS 03. I am willing to share my knowledge. | 0.781 | ||||
| Explorative learning (EL1) | EL1 01. My company can effectively create or externally search for innovative technologies and new knowledge. | 0.672 | 0.937 | 0.555 | 0.788 |
| EL1 02. My company can effectively disseminate and share innovative technologies and knowledge. | 0.785 | ||||
| EL1 03. My company can effectively integrate and apply innovative technologies and new knowledge created or acquired. | 0.773 | ||||
| Exploitative learning (EL2) | EL2 01. My company focuses on leveraging existing technology, knowledge, and capabilities. | 0.845 | 0.883 | 0.728 | 0.889 |
| EL2 02. My company focuses on collecting market information and business opportunities related existing products. | 0.898 | ||||
| EL2 03. My company focuses on learning how to fully utilize and integrate the technical knowledge and information of the existing resources of the organization. | 0.815 | ||||
| Novelty business model innovation (NBMI) | NBMI 01. The business model of my company can enable new ways to transact on both sides. | 0.724 | 0.924 | 0.676 | 0.861 |
| NBMI 02. The business model of my company can combine products, information, and services in new ways. | 0.874 | ||||
| NBMI 03. My company continues to introduce innovative ideas or behaviors into its existing business model. | 0.860 | ||||
| Efficient business model innovation (EBMI) | EBMI 01. The business model of my company can reduce the cost of partners. | 0.813 | 0.922 | 0.699 | 0.874 |
| EBMI 02. The business model of my company can ensure that partners have sufficient information to make decisions. | 0.876 | ||||
| EBMI 03. The business model of my company can make transactions faster and more efficient. | 0.818 |
| Variable | Mean | SD | 1 | 2 | 3 | 4 | 5 |
|---|---|---|---|---|---|---|---|
| knowledge sharing | 3.812 | 0.969 | 0.836 | ||||
| Explorative learning | 3.755 | 1.072 | 0.666 ** | 0.745 | |||
| Exploitative learning | 3.291 | 0.839 | 0.451 ** | 0.326 ** | 0.853 | ||
| Novel business model innovation | 3.621 | 1.099 | 0.560 ** | 0.710 ** | 0.478 ** | 0.822 | |
| Efficient business model innovation | 3.471 | 0.979 | 0.567 ** | 0.666 ** | 0.458 ** | 0.483 ** | 0.836 |
4.2. Mediation Effect
| First Step | Second Step | Third Step | Results | |||||||
|---|---|---|---|---|---|---|---|---|---|---|
| Regression of EL1 and KS | Regression of NBMI and KS | Regression of NBMI, EL1, EL2, and KS | EL1 plays a complete mediating role | |||||||
| EL1 | EL2 | KS | ||||||||
| β | t | β | t | β | t | β | t | β | t | |
| 0.666 ** | 14.27 | 0.560 ** | 10.79 | 0.593 ** | 10.76 | 0.265 ** | 5.74 | 0.045 | 0.77 | |
| Regression of EL2 and KS | Regression of EBMI and KS | Regression of EBMI, EL1, EL2, and KS | EL2 plays a complete mediating role | |||||||
| EL1 | EL2 | KS | ||||||||
| β | t | β | t | β | t | β | t | β | t | |
| 0.451 ** | 8.06 | 0.567 ** | 10.99 | 0.507 ** | 8.64 | 0.237 ** | 4.84 | 0.122 | 1.96 | |
4.3. Main Effect
| Index | χ2 | df | χ2/df | CFI | TLI | RMSEA | SRMR |
|---|---|---|---|---|---|---|---|
| Standard value | / | / | 1~2 | >0.9 | >0.9 | <0.05 | <0.05 |
| Output value | 132.354 | 83 | 1.595 | 0.986 | 0.982 | 0.048 | 0.038 |
5. Discussion
5.1. Interpretation of Results
5.2. Theoretical Contribution
5.3. Practical Implication
6. Conclusions
Author Contributions
Funding
Institutional Review Board Statement
Informed Consent Statement
Data Availability Statement
Conflicts of Interest
References
- Molina-Castillo, F.J.; Sinkovics, N.; Sinkovics, R.R. Sustainable Business Model Innovation: Review, Analysis and Impact on Society. Sustainability 2021, 13, 8906. [Google Scholar] [CrossRef]
- Bocken, N.M.; Short, S.W.; Rana, P. A literature and practice review to develop sustainable business model archetypes. J. Clean. Prod. 2014, 65, 42–56. [Google Scholar] [CrossRef] [Green Version]
- Lüdeke-Freund, F.; Dembek, K. Sustainable Business Model Research and Practice: Emerging Field or Passing Fancy? J. Clean. Prod. 2017, 168, 1668–1678. [Google Scholar] [CrossRef]
- Schaltegger, S.; Lüdeke-Freund, F.; Hansen, E.G. Business cases for sustainability: The role of business model innovation for corporate sustainability. Int. J. Innov. Sustain. 2012, 6, 95–119. [Google Scholar] [CrossRef]
- Lumpkin, G.T.; Dess, G.G. E-Business Strategies and Internet Business Models. Organ. Dyn. 2004, 33, 161–173. [Google Scholar] [CrossRef]
- Chesbrough, H. Business Model Innovation: Opportunities and Barriers. Long Range Plann. 2010, 43, 354–363. [Google Scholar] [CrossRef]
- Czachorowski, K.V. Cleaning Up Our Act: Systems Engineering to Promote Business Model Innovation for the Offshore Exploration and Production Supply Chain Operations. Sustainability 2021, 13, 2113. [Google Scholar] [CrossRef]
- Åström, J.; Reim, W.; Parida, V. Value creation and value capture for AI business model innovation: A three-phase process framework. Rev. Manag. Sci. 2022, 6, 1–23. [Google Scholar] [CrossRef]
- Amit, Z.R. Business Model Design and the Performance of Entrepreneurial Firms. Organ. Sci. 2007, 18, 165–335. [Google Scholar]
- Nonaka, I.; Takeuchi, H. The Knowledge Creating Company. Harvard Bus. Rev. 1998, 12, 175–187. [Google Scholar]
- Pagano, R. Knowledge Management and Business Model Innovation. Eur. J. Inform. Syst. 2002, 11, 296–297. [Google Scholar] [CrossRef]
- Yao, C. Knowledge Interaction, Adaptive Learning, Value Co-Creation and Business Model Innovation. In Proceedings of the PICMET ‘11: Technology Management in the Energy Smart World (PICMET), Portland, OR, USA, 31 July–4 August 2011; pp. 1–8. [Google Scholar]
- Scaringella, L. Initial and further business development: Highlights from business model, open innovation, and knowledge management perspectives. Int. Entrep. Manag. J. 2018, 22, 103–125. [Google Scholar]
- Hock, M.; Clau, T.; Kraus, S.; Cheng, C.F. Knowledge management capabilities and organizational risk-taking for business model innovation in SMEs. J. Bus. Res. 2021, 130, 683–697. [Google Scholar] [CrossRef]
- Vihari, N.S. Effects of business model innovation on corporate sustainability: Intervening role of organizational learning and strategic flexibility. Int. J. Innov. Learn. 2019, 26, 131–154. [Google Scholar] [CrossRef]
- Tsai, Y.H.; Joe, S.W.; Lin, C.P. Modeling knowledge sharing among high-tech professionals in culturally diverse firms: Mediating mechanisms of social capital. Knowl. Manag. Res. Pract. 2017, 15, 225–237. [Google Scholar] [CrossRef]
- Rudawska, A. Knowledge Sharing and Creativity: Individual and Organizational Perspective. In Contemporary Challenges in Cooperation and Coopetition in the Age of Industry 4.0; Springer: Cham, Germany, 2020; Volume 14, pp. 107–121. [Google Scholar]
- Sumiati, S.; Nikmah, K. The Role of Organizational Communication and Organizational Learning to Human Resources Performance through Knowledge Sharing; Springer: Cham, Germany, 2020; pp. 398–407. [Google Scholar]
- Zulfiqar, S.; Khan, M.S. Organizational identification and knowledge sharing behavior: Mediating role of organizational citizenship behavior and moderating role of collectivism and leader–member exchange. Knowl. Man Res. Pract. 2021, 28, 388–398. [Google Scholar] [CrossRef]
- Lindgren, P. Continuous Knowledge Sharing in the Third Phase of a Critical and Risky Network-Based Business Model Innovation Project. In Proceedings of the 2017 Global Wireless Summit (GWS), Cape Town, South Africa, 15–18 October 2017; pp. 1–5. [Google Scholar]
- Mika, L.A.; Jukkapekka, B.A.; Ari, J.B. Knowledge Sharing in the Open Innovation Process—Case: Grid Computing. In Proceedings of the 6th European Conference on Organizational Knowledge, Learning and Capabilities, Boston, MA, USA, 17–19 March 2005. [Google Scholar]
- Hafkesbrink, J.; Schroll, M. Ambidextrous Organizational and Individual Competencies in Open Innovation: The Dawn of a new Research Agenda. Parkinsonism Relat. D 2014, 19, 81–85. [Google Scholar] [CrossRef] [Green Version]
- Amit, R.; Zott, C. Value Creation in E-Business. Strategic Manag. J. 2001, 22, 493–520. [Google Scholar] [CrossRef]
- Rappa, M.A. The utility business model and the future of computing services. IBM Syst. J. 2004, 43, 34–42. [Google Scholar] [CrossRef] [Green Version]
- Casadesus-Masanell, R.; Zhu, F. Business model innovation and competitive imitation: The case of sponsor-based business models. Strategic Manag. J. 2013, 34, 464–482. [Google Scholar] [CrossRef] [Green Version]
- Osterwalder, A.; Pigneur, Y. Clarifying Business Models: Origins, Present, and Future of the Concept. Commun. Assoc. Inf. Syst. 2005, 16, 1. [Google Scholar] [CrossRef] [Green Version]
- Richardson, J. The business model: An integrative framework for strategy execution. Strateg. Chang. 2008, 17, 133–144. [Google Scholar] [CrossRef]
- Osterwalder, A. The Business Model Ontology—A Proposition in a Design Science Approach; Université de Lausanne, Faculté des Hautes Études Commerciales: Lausanne, Switzerland, 2004. [Google Scholar]
- Kogut, B.; Zander, U. Knowledge of the Firm, Combinative Capabilities, and the Replication of Technology. Organ. Sci. 1992, 3, 383–397. [Google Scholar] [CrossRef]
- Delft, S.V.; Leker, J. The Role of Organizational Learning and Strategic Flexibility in Business Model Innovation: A Capability-Perspective. In Proceedings of the 33rd Annual International Conference of the Strategic Management Society: Strategy and Sustainability, Atlanta, GA, USA, 28 September–1 October 2013. [Google Scholar]
- Zhao, J.; Wang, M.; Zhu, L.; Ding, J. Corporate Social Capital and Business Model Innovation: The Mediating Role of Organizational Learning. Front. Bus. Res. China 2014, 4, 500–528. [Google Scholar]
- Ricciardi, F.; Zardini, A.; Rossignoli, C. Organizational dynamism and adaptive business model innovation: The triple paradox configuration. J. Bus. Res. 2016, 69, 5487–5493. [Google Scholar] [CrossRef]
- Kim, E.J.; Park, S. Transformational leadership, knowledge sharing, organizational climate and learning: An empirical study. Leadersh. Org. Dev. J. 2020, 41, 761–775. [Google Scholar] [CrossRef]
- Balle, A.R.; Oliveira, M.; Curado, C. Knowledge sharing and absorptive capacity: Interdependency and complementarity. J. Knowl. Manag. 2020, 24, 51–59. [Google Scholar] [CrossRef]
- March, J.G. Exploration and Exploitation in Organizational Learning. Organ. Sci. 1991, 2, 71–87. [Google Scholar] [CrossRef]
- Yuan, C.; Xue, D.; He, X. A balancing strategy for ambidextrous learning, dynamic capabilities, and business model design, the opposite moderating effects of environmental dynamism. Technovation 2021, 103, 102225. [Google Scholar] [CrossRef]
- Woodfield, P.J.; Husted, K. How does knowledge share across generations impact innovation? Int. J. Innov. Manag. 2019, 23, 1940004. [Google Scholar] [CrossRef]
- Lin, Z.F.; Lu, X. Research on the Influence of Knowledge Sharing on Business Model Innovation. Market Wkly 2013, 7, 3. [Google Scholar]
- Bashir, M.; Farooq, R. The synergetic effect of knowledge management and business model innovation on firm competence A systematic review. Int. J. Innov. Sci. 2019, 11, 362–387. [Google Scholar] [CrossRef]
- Yy, A.; Yu, C.A.; Dan, L.B. Stakeholder ties, organizational learning, and business model innovation: A business ecosystem perspective. Technovation 2022, 114, 102445. [Google Scholar]
- Khan, S.H.; Majid, A.; Yasir, M. Social capital and business model innovation in SMEs: Do organizational learning capabilities and entrepreneurial orientation really matter? Eur. J. Innov. Manag. 2020, 24, 191–212. [Google Scholar] [CrossRef]
- Xie, D.M. An Empirical Study on Influencing Factors of Business Model Innovation of High-tech Enterprises—Based on Knowledge Perspective. Res. Manag. 2015, 36, 10–21. [Google Scholar]
- Tian, Q.F.; Zhang, Y.Y.; Ma, P. Research on the Influence of Enterprise Strategic Orientation and Organizational Learning on Business Model Innovation. Tech. Manag. Res. 2018, 38, 15–23. [Google Scholar]
- Mouritsen, J.; Larsen, H.T. The 2nd wave of knowledge management: The management control of knowledge resources through intellectual capital information. Manag. Account. Res. 2005, 16, 371–394. [Google Scholar] [CrossRef]
- Nonaka, I. A Dynamic Theory of Organizational Knowledge Creation. Organ. Sci. 1994, 5, 14–37. [Google Scholar] [CrossRef] [Green Version]
- Nonaka, I.; Toyama, R.; Konno, N. SECI, Ba and Leadership: A Unified Model of Dynamic Knowledge Creation. Long Range Plann. 2001, 33, 5–34. [Google Scholar] [CrossRef]
- Wu, Z.Y.; Yi, R.H. How Can Entrepreneurial Firms Motivate Business Model Innovation? Perspective of External and Internal Knowledge. China Soft Sci. 2018, 3, 133–140. [Google Scholar]
- Bevan, D.; Kowta, S.; Chitale, C.M. Collaborative knowledge sharing strategy to enhance organizational learning. J. Knowl. Dev. 2012, 31, 308–322. [Google Scholar] [CrossRef]
- Gruber, T.R. Toward principles for the design of ontologies used for knowledge sharing? Int. J. HumComput. St. 1995, 43, 907–928. [Google Scholar] [CrossRef]
- Dixon, N.M. Common knowledge: How companies thrive by sharing what they know. Train. Dev. 2000, 54, 63–64. [Google Scholar]
- Huber, G.P.; Cohen, M.D.; Sproull, L.S. Organizational learning: The contributing processes and literatures. Organ. Sci. 1996, 2, 88–115. [Google Scholar] [CrossRef]
- Zhan, L.L.; Huo, F.F.; Huo, C.G. The Differences of Business Model Innovation between Gender—From the Perspective of Knowledge Management. East China Econ. Manag. 2017, 31, 128–135. [Google Scholar]
- Chesbrough, H.; Rosenbloom, R.S. The role of the business model in capturing value from innovation: Evidence from Xerox Corporation’s technology spin-off companies. Soc. Sci. Elec. Pub. 2002, 11, 529–555. [Google Scholar] [CrossRef] [Green Version]
- Raymond, L.; Bergeron, F.; Croteau, A.M. Information technology-enabled explorative learning and competitive performance in industrial service SMEs: A configurational analysis. J. Knowl. Manag. 2020, 24, 1625–1651. [Google Scholar] [CrossRef]
- Tho, N.D.; Duc, L.A. Team psychological capital and innovation: The mediating of team exploratory and exploitative learning. J. Knowl. Manag. 2020, 25, 1745–1759. [Google Scholar] [CrossRef]
- Hamel, G. Leading the revolution. Strateg. Lead 2001, 29, 4–10. [Google Scholar] [CrossRef]
- Zott, C.; Amit, R. The fit between product market strategy and business model: Implications for firm performance. Strateg. Manag. J. 2008, 29, 1–26. [Google Scholar] [CrossRef] [Green Version]
- Collins, C.J.; Smith, K.G. Knowledge Exchange and Combination: The Role of Human Resource Practices in the Performance of High-Technology Firms. Acad. Manag. J. 2006, 49, 544–560. [Google Scholar] [CrossRef] [Green Version]
- Tian, L.F. High-commitment work system drives knowledge sharing: The mediating role of trust relationship and the moderating role of gender. Manag. Rev. 2015, 6, 12. [Google Scholar]
- Feng, X.B. Research on the Relationship between Quality Management Practice, Organizational Learning and Enterprise Performance: An Empirical Analysis Based on Zhejiang Manufacturing Enterprises. Manag. Rev. 2015, 28, 11. [Google Scholar]
- Li, Z.D.; Jin, H. Enterprise Product Innovation and Network Embedding: The Mediating Role of Organizational Learning. Manag. Rev. 2016, 28, 11. [Google Scholar]
- Liu, Z. Stimulating and Educating Engineers to Innovate through Individual Continuous Learning. Sustainability 2020, 12, 843. [Google Scholar] [CrossRef] [Green Version]
- Vehkalahti, K. Structural Equation Modeling with Mplus: Basic Concepts, Applications, and Programming by Barbara M. Byrne. Int. Stat. Rev. 2014, 82, 141–159. [Google Scholar] [CrossRef]
- Golafshani, N. Understanding Reliability and Validity in Qualitative Research. Qual. Rep. 2003, 8, 597–607. [Google Scholar] [CrossRef]
- Fitzner, K. Reliability and validity: A quick review. Diabetes Educ. 2007, 33, 775–780. [Google Scholar] [CrossRef]
- Baron, R.M.; Kenny, D.A. The moderator-mediator variable distinction in social psychological research: Conceptual, strategic, and statistical considerations. J. Pers. Soc. Psychol. 1986, 51, 1173–1182. [Google Scholar] [CrossRef]
- Svensson, G. Contemporary process to test the theory of a research model through covariance-based structural equation modeling in business research. Eur. Bus. Rev. 2015, 27, 447–458. [Google Scholar] [CrossRef]
- Tran, K.T.; Nguyen, P.V.; Pham, N.H. The roles of transformational leadership, innovation climate, creative self-efficacy, and knowledge sharing in fostering employee creativity in the public sector in Vietnam. Int. J. Bus. Continu. R. Manag. 2021, 11, 95–113. [Google Scholar] [CrossRef]
- Soares, M.E.; Mosquera, P.; Cid, M. Antecedents of innovative behavior: Knowledge sharing, open innovation climate and internal communication. Int. J. Inov. Learn. 2021, 30, 241–257. [Google Scholar] [CrossRef]
- Scuotto, V.; Beatrice, O.; Valentina, C. Uncovering the micro-foundations of knowledge sharing in open innovation partnerships: An intention-based perspective of technology transfer. Technol. Forecast. Soc. 2020, 152, 119906. [Google Scholar] [CrossRef]
- Molodchik, M.; Jardon, C.; Yachmeneva, E. Multilevel analysis of knowledge sources for product innovation in Russian SMEs. Eurasian. Econ. Rev. 2021, 11, 247–266. [Google Scholar] [CrossRef]
- Papakiriakopoulos, D.A.; Poylumenakou, A.K.; Doukidis, G.J. Building e-Business Models: An Analytical Framework and Development Guidelines. In Proceedings of the 14th Bled Electronic Commerce Conference, Bled, Slovenia, 25–26 June 2001; pp. 446–464. [Google Scholar]
- Smuttrasen, K.; Heo, D. The impact of leader roles on cross-border knowledge management and the development of boundaryless business models: A case study of Thai construction companies. Knowl. Process Manag. 2020, 27, 53–62. [Google Scholar] [CrossRef]
- Mezger, F. Toward a capability-based conceptualization of business model innovation: Insights from an explorative study. R&D Manag. 2014, 44, 429–449. [Google Scholar] [CrossRef]
- Ali, M. Imitation or innovation: To what extent do exploitative learning and exploratory learning foster imitation strategy and innovation strategy for sustained competitive advantage? Technol. Forecast. Soc. 2020, 165, 120527. [Google Scholar] [CrossRef]
- Koh, J.; Kim, Y.G. Knowledge sharing in virtual communities: An e-business perspective. Expert. Syst. Appl. 2004, 26, 155–166. [Google Scholar] [CrossRef]
- Kazemi, A.; Ghasvari, M.; Eshlaghi, L.E. A Model for Measuring the Impact of Organizational Factors on the Effectiveness of the Knowledge Sharing System. J. Inf. Knowl. Manag. 2020, 19, 2050037. [Google Scholar] [CrossRef]
- Li, C.R.; Yeh, C.H. Leveraging the benefits of exploratory learning and exploitative learning in NPD: The role of innovation field orientation. R&D Manag. 2017, 47, 484–497. [Google Scholar] [CrossRef]



| Feature | Number | Percentage | |
|---|---|---|---|
| Gender | Male | 127 | 49.4% |
| Female | 130 | 50.6% | |
| Education | Below college degree | 21 | 8.2% |
| College degree | 35 | 13.6% | |
| Bachelor’s degree | 159 | 61.9% | |
| Master’s degree and above | 42 | 16.3% | |
| Post | Production | 28 | 10.9% |
| Research and Development | 48 | 18.7% | |
| Administration | 92 | 35.8% | |
| Marketing | 59 | 22.9% | |
| Technology | 30 | 11.7% | |
| Enterprise size | <100 employees | 76 | 29.6% |
| 100–499 employees | 83 | 32.3% | |
| 500–999 employees | 43 | 16.7% | |
| >1000 employees | 55 | 21.4% | |
| Industry | Manufacturing | 54 | 21% |
| Logistics and Warehousing | 46 | 17.9% | |
| Wholesale and Retail | 39 | 15.2% | |
| Accommodation and Meals | 28 | 10.9% | |
| Finance and Real Estate | 21 | 8.2% | |
| Education and Medical | 33 | 12.8% | |
| Internet | 13 | 5.1% | |
| Culture, Sports | 6 | 2.3% | |
| Other industry | 17 | 6.6% |
Publisher’s Note: MDPI stays neutral with regard to jurisdictional claims in published maps and institutional affiliations. |
© 2022 by the authors. Licensee MDPI, Basel, Switzerland. This article is an open access article distributed under the terms and conditions of the Creative Commons Attribution (CC BY) license (https://creativecommons.org/licenses/by/4.0/).
Share and Cite
Li, X.; Qiang, Q.; Huang, L.; Huang, C. How Knowledge Sharing Affects Business Model Innovation: An Empirical Study from the Perspective of Ambidextrous Organizational Learning. Sustainability 2022, 14, 6157. https://doi.org/10.3390/su14106157
Li X, Qiang Q, Huang L, Huang C. How Knowledge Sharing Affects Business Model Innovation: An Empirical Study from the Perspective of Ambidextrous Organizational Learning. Sustainability. 2022; 14(10):6157. https://doi.org/10.3390/su14106157
Chicago/Turabian StyleLi, Xiangqian, Qiang Qiang, Li Huang, and Cunquan Huang. 2022. "How Knowledge Sharing Affects Business Model Innovation: An Empirical Study from the Perspective of Ambidextrous Organizational Learning" Sustainability 14, no. 10: 6157. https://doi.org/10.3390/su14106157
APA StyleLi, X., Qiang, Q., Huang, L., & Huang, C. (2022). How Knowledge Sharing Affects Business Model Innovation: An Empirical Study from the Perspective of Ambidextrous Organizational Learning. Sustainability, 14(10), 6157. https://doi.org/10.3390/su14106157

