Next Article in Journal
Towards More Balanced Territorial Relations—The Role (and Limitations) of Spatial Planning as a Governance Approach
Next Article in Special Issue
Investigating the Effectiveness of Using a Technological Approach on Students’ Achievement in Mathematics–Case Study of a High School in a Caribbean Country
Previous Article in Journal
Nature Ideas Exchange: Education of Sustainable Business Principles Based on Parallels with Forest Ecosystem
Previous Article in Special Issue
A Personality-Driven Recommender System for Cross-Domain Learning Based on Holland Code Assessments
 
 
Font Type:
Arial Georgia Verdana
Font Size:
Aa Aa Aa
Line Spacing:
Column Width:
Background:
Article

COVID-19: An Outcome of Biodiversity Loss or a Conspiracy? Investigating the Attitudes of Environmental Students

by
Georgios Tsantopoulos
1,*,
Aristotelis C. Papageorgiou
2 and
Evangelia Karasmanaki
1
1
Department of Forestry and Management of the Environment and Natural Resources, Democritus University of Thrace, 68200 Orestiada, Greece
2
Department of Molecular Biology and Genetics, School of Health Sciences, Democritus University of Thrace, Dragana, 68100 Alexandroupolis, Greece
*
Author to whom correspondence should be addressed.
Sustainability 2021, 13(9), 5307; https://doi.org/10.3390/su13095307
Submission received: 4 April 2021 / Revised: 22 April 2021 / Accepted: 5 May 2021 / Published: 10 May 2021
(This article belongs to the Collection Science Education Promoting Sustainability)

Abstract

The global environment is being constantly degraded, placing humans at increased risk for outbreaks of infectious diseases. In this regard, environmental quality must be enhanced in order to prevent pandemics in the future. However, it is unknown whether future environmental experts are aware of the intricate relationship between environmental degradation and infectious diseases. This question is important because if they lack awareness about this relationship, they may not be able to contribute to biodiversity conservation which, in turn, can prevent outbreaks of infectious diseases. Hence, the aim of this paper is to investigate the attitudes of environmental students towards the pandemic. The primary objective is to examine their views on the origin of COVID-19 and a secondary objective is to discover the factors that affect the endorsement of conspiracy and non-conspiracy theories on the origin of COVID-19. Our findings indicated that an alarmingly high percentage of students endorsed the conspiracy theory that COVID-19 is a man-made virus for which there was a vaccine before it emerged, whereas only one in five students perceived that the virus is associated with climate change. These students are the future scientists who will be responsible for biodiversity conservation and climate change mitigation. Therefore, it is necessary to pay more attention to environmental students, both in Greece and elsewhere, and examine if such perceptions stem from any deficiencies in curricula or from the effects of the media.

1. Introduction

COVID-19 is most likely to leave a permanent mark on our society and, for many people, the scale of the coronavirus crisis calls to mind major crises (such as wars and famines) which reshaped society in lasting ways, ranging from how we work and travel, to the level of surveillance we are surrounded by. The new virus has already earned the title of the most lethal and fast-moving pandemic and, at the time of this writing (22 April 2021), there have been about 142,557,268 confirmed cases globally, including 3,037,398 deaths [1].
Since the outbreak of the pandemic, little attention has been paid to the relationship between environmental change and infectious disease emergence, despite growing evidence of causally links between these two phenomena [2,3]. However, biodiversity loss and climate crisis are interconnected, and one seems to have an aggravating effect on the other; whereas climate change is a major driver of biodiversity loss and the loss of species has detrimental effects on the climate. Indicatively, climate change is exacerbated by deforestation which increases the amount of atmospheric carbon dioxide, altering the climate and leading to further biodiversity loss [4].
While comparative analysis of genomic data showed very early that SARS-CoV-2 is not a laboratory construct or an intentionally manipulated virus [5], studies have indicated that considerable shares of citizens in different countries believe in conspiracy theories which explain the origins of COVID-19 [6,7,8,9,10,11]. Although most studies have focused on citizens, more attention should be paid to university students’ views on the origin of COVID-19. More specifically, the graduates of environmental faculties are entrusted with the crucial role to contribute to the solution of environmental issues and to raise public environmental awareness. To fulfill these duties, however, they should have adequate knowledge and not be affected by irresponsible and superficial views of non-experts on crucial issues such as pandemics. If, however, they endorse conspiracy theories and other speculations, they will not be able to fulfill their important task.
Hence, the aim of this paper is to investigate the attitudes of environmental students towards the pandemic. Moreover, the primary objective is to examine their views on the origin of COVID-19 and a secondary objective is to discover the factors that affect the endorsement of conspiracy and non-conspiracy theories on the origin of COVID-19. Our expectation is that these students will not express any degree of endorsement of conspiracy theories and will exhibit sufficient knowledge about the relationship between biodiversity loss and the emergence of infectious diseases. If this expectation is fulfilled, then the university community can rest assured that the quality of current study programs is high. However, if the study brings to surface an undesirable situation, then drastic action must be taken by actors involved and engaged in higher education. The findings will possibly point to the decisions to ensure that the future environmental experts are characterized by high-level scientific knowledge and are not susceptible to false speculations and conspiracy theories.

2. Theoretical Background

2.1. Conspiracy Theories and COVID-19

In times of crises, the overwhelming uncertainty surrounding human life fosters an ideal breeding ground for conspiracy theories which can be detrimental to official crisis management plans. According to scholarly articles, conspiracy theories explain events or circumstances as the outcomes of secret conspiracies by sinister and powerful groups, who plot for their own benefit and against the common good [12,13,14,15,16,17]. In essence, these theories consist causal explanations and act as a form of misinformation while many of them combine some level of truth with fabricated components [12,18]. Conspiracy theories are underpinned by “conspiracy mentality”; that is, the propensity to endorse theories blaming a conspiracy of mean-spirited people or groups for significant societal phenomena [19]. This characteristic can explain why individuals endorsing one conspiracy theory have the tendency to endorse many others [20].
The question that emerges is what drives individuals to subscribe to conspiracy theories and beliefs. According to Douglas et al. [15], during crises, people feel powerless because they perceive that they have no control over the situation. Conspiracy theories provide answers to the causes of events and this knowledge alleviates individuals’ emotions of powerlessness by offering them an illusory sense of control. For this reason, conspiracy theories thrive, and people are more susceptible to them in times of societal crises including pandemics, wars and natural disasters [21,22].
Unfortunately, the endorsement of conspiracy theories can have negative and far-reaching outcomes. Most importantly, it undermines citizens’ support and compliance with government policies, initiatives and guidelines [22] while decreasing their trust in authorities and institutions [23]. At the same time, authoritative information is undermined, and incorrect beliefs and prejudices are encouraged [24]. Imhoff et al. [25] have recently indicated that the adherence to conspiracy theories and worldviews can not only lower individuals’ willingness to engage in normative (legal) political acts (such as voting) but also increase the intention to participate in non-normative (illegal) political acts (such as violent protesting). When it comes to health, conspiracy beliefs can manifest as defiance of prevention measures and refusal of biomedical treatments [23]. For instance, individuals endorsing anti-vaccine conspiracy theories can be less willing to vaccinate their children [23] putting at risk the health of their children and other people around them. In addition, the adherence to conspiracy theories explaining climate change can decrease individuals’ willingness to take steps to reduce their carbon footprint [23].
The COVID-19 pandemic provided the ideal context for fabricating conspiracy theories and, as soon as the authorities announced the emergence of a new infectious disease, an unprecedented amount of speculations and conspiracy theories flooded the Internet. According to the most widely held theories, the virus causing COVID-19 was bioengineered in a laboratory and was then deliberately spread or is a biological weapon used for political and economic gains or is a scheme to control the global population [5,26]. Two other broadly circulated conspiracy theories claim that the COVID-19 pandemic was plotted by specific pharmaceutical corporations and government agencies or that the symptoms of the disease are associated with the radiation emitted by 5G mobile networks [27]. Other theories claim that COVID-19 is only as dangerous as the common flu and suspect that authorities state otherwise in order to achieve their malevolent objectives (such as the destruction of national economies) [5].
The above theories seem to be appealing to the public. In the United States, where the highest number of confirmed cases in the world is reported, a nation-wide study found that as many as 49% of Americans perceived that COVID-19 is a man-made virus, 44% perceived that the risk posed by the virus is exaggerated for political reasons and 13% were convinced that coronavirus is a hoax [6]. In a study conducted in France, a considerable share of respondents (by 26%) endorsed the conspiracy theory that the virus was created in a laboratory. In England, 25% of respondents expressed some degree of endorsement of conspiracy theories, 15% exhibited a consistent pattern of endorsement, and 10% had very high levels of endorsement [7]. In Greece, a nation-wide study showed that 22% of citizens perceived that this crisis is an organized effort of powerful interests and another 20% believed that the virus was created—intentionally or unintentionally—in a laboratory [8]. Another large-scale study conducted by Pulse RC found that only 37% of Greek citizens believed the official explanation about the origins of COVID-19 provided by WHO, according to which, the virus has emerged naturally. Over half of the citizens (52%) believed that the new virus is man-made. Of the citizens endorsing this theory, 30% believed that the virus was intentionally created for a specific purpose and this purpose might be the performance of an experiment and the remaining 22% believed that the virus was accidentally created, maybe after an incident in a lab. The same research reached a very significant discovery: the lower the educational and economic level of citizens, the higher the resistance to the official explanation of the origin of COVID-19. Other results indicated that 33% of citizens considered that COVID-19 was used to intimidate the public, another 33% perceived that it is used in order to impose mandatory vaccination, and 35% considered that it is used to expose citizens’ personal data. However, it seems that individuals involved in healthcare can also be prone to conspiracy theories. For instance, Chen et al. (2020) found that 24.2% of healthcare workers in Ecuador believed that the virus was developed intentionally in a laboratory. Patsali et al. (2020) conducted a large-scale study in which 1535 Greek university students from various disciplines participated and, according to their results, the acceptance of conspiracy theories was pronounced with acceptance ranging from 20% to 68%. The majority (by 68.38%) held the belief that “a lot of important information is hidden in purpose from the public due to interests” and more than 20% endorsed conspiracy beliefs concerning mind-control technology and deliberate secret actions. Substantial adherence to conspiracy theories was also observed among university students in Jordan. In particular, Sallam et al. [11] indicated that 16.4% of students believed in conspiracy theories regarding the origins of the virus whereas 49.9% of respondents thought that the virus is “maybe” part of a conspiracy.
The above findings show a clear prevalence of conspiracy theories and researchers have already indicated that their endorsement has a negative effect on individuals’ response to official pandemic control plans. In specific, Allington and Dhavan [27] found an association between holding conspiracy beliefs and non-compliance with public health guidelines (such as limiting the time spent in public spaces, keeping a 2 m distance and frequent handwashing) while Imhoff and Lamberty [28] tested the idea that the endorsement of different conspiracy theories can have behavioral implications and discovered that the belief that the pandemic is a hoax was a negative predictor of adherence to the containment measures of handwashing and keeping physical distance from other people. In a similar vein, Marinthe et al. [29] found a positive correlation between the adoption of non-normative prevention behaviors and conspiracies.

2.2. The Effect of Biodiversity Loss and Environmental Degradation on Infectious Disease Transmission

The emergence of new viruses which may lead to uncontrollable disease outbreaks is linked to an array of factors. Among these factors, the effect of biodiversity loss may not be the most important one but it has attracted considerable interest among scientists. To be specific, it has been observed that biodiversity loss due to human activity has caused severe changes in spatial distribution, pathogen types and human disease burden [30].
The manner in which biodiversity may be implicated in pandemics is complex but relevant to discuss. Biodiversity can be described as the diversity of genes, species and ecosystems, which enables ecosystems to deliver fundamental ecosystem services including nutrient cycling, drought resilience and carbon sequestration [31]. High levels of biodiversity can decrease further pathogen transmission for existing and novel diseases [3] through its ability to reduce the population density of natural pathogen reservoirs, the population density of arthropod vectors and the interactions taking place between vectors and reservoirs or among reservoirs. This phenomenon is termed the dilution effect [32,33]. However, lower biodiversity can decrease the levels of predation and competition on reservoir hosts thereby increasing their density [3] which in turn can increase the encounters between pathogens and hosts [34]. As a result, the chances of transmission are higher and the risk of infectious diseases threatening human health is greater [35]. For example, studies have shown that low small mammal diversity increases the incidence of hantavirus in hosts and, as a result, humans run a greater risk of infection [3].
Biodiversity loss is associated with many factors with most of them being human driven. In particular, there is a correlation with anthropogenic changes such as deforestation and expansion of agricultural land, intensification of livestock production and increased hunting and trading of wildlife [2,30]. In addition, about 70% of emerging infectious diseases and recent pandemics originate in animals and their emergence results from complex interactions among wild and/or domestic animals and humans [36]. Population boom, economic and technological development as well as the related spatial expansion of agriculture are causing new and stronger interactions between humans, livestock and wildlife. These changes have been featured as drivers of certain recent emerging diseases [37,38]. Examples of such diseases include, inter alia, pathogenic arboviruses such as the West Nile virus, the Chikungunya virus, the Rift Valley fever virus and the Bluetongue virus which have caused epidemics in Northern America, Europe and the Arabian Peninsula [39]. The incidence of these diseases has been ascribed to climate change as well as to diverse factors with the most important being travelling, trade, deforestation, animal husbandry and agriculture, land reclamation, urbanization, irrigation and water control projects, and increases in human, animal and arthropod populations [40,41,42,43].
Agricultural intensification was found to be accountable for disease transmission as it can increase the emergence of zoonotic diseases and exacerbate endemic diseases [44]. Drivers of disease emergence and their broader societal effects are interconnected. Indicatively, increased food demand results in the expansion of cropland especially in developing countries in which the risks of biodiversity and emergence of infectious disease is high [45]. Agriculture has certainly played a critical role in disease incidence. Pesticides, which are now widely used in agriculture in order to meet food demand, affect the host-parasite interaction through the modification of host susceptibility to parasites [46]. In other words, pesticides change the behavior of hosts while they can be toxic to hosts and parasites altering contact levels between human hosts and parasites [47]. Moreover, multiple pesticides are immunomodulators increasing the emergence of infectious diseases of wildlife and humans [48].
Having thus demonstrated some of the existing evidence regarding the possible relationship between pandemics and biodiversity, it is possible to state that environmental experts ought to have more awareness about this relationship in order to take decisions which will optimize environmental management.

3. Methodology

The findings presented in this paper belong to a broader research which investigates the views of undergraduate students at the Faculty of Agricultural and Forestry Sciences of the Democritus University of Thrace, which is situated in the city of Orestiada, in Northern Greece. The Faculty consists of two departments: The Department of Forestry and Management of the Environment and Natural Resources as well as the Department of Agricultural Development. In compliance with the relevant legislation applying to research, the Research Ethics Committee of the Democritus University of Thrace reviewed and approved both the research instrument and the methodology to conduct this research (Decision 50694/405, 01 June 2020 Decision of the 9th/29 May 2020 Board Meeting of the Research Ethics Committee).
The research instrument was a questionnaire. An introductory note on the top of the first page informed the respondents that the survey was conducted by the Democritus University of Thrace and, specifically, by the Department of Forestry and Management of the Environment and Natural Resources. The note also included the name and contact details of the professor who is responsible for the study and concluded by guaranteeing anonymity to the participants and stating that participation is voluntary. The questionnaire was designed explicitly for this research and was based on the findings of similar studies. It included 16 closed-ended items in which respondents were provided with ready-made response options to choose from. The closed-ended type of items was chosen over other types because it is easier and quicker for respondents to answer. As already mentioned, the findings presented in this paper belong to a broader research which investigates the views of undergraduate students at the Faculty of Agricultural and Forestry Sciences of the Democritus University of Thrace. The questionnaire included a section covering respondents’ sociodemographic characteristics (gender, year of study, parents’ occupation and education level). The other sections included items which collected information on respondents’ satisfaction level with the state of the environment, willingness to change habits for the sake of the environment, respondents’ daily environmental habits and practices, views on the origin of COVID-19, emotions about the pandemic, measures to prevent pandemics in the future as well as information sources students used for COVID-19.
The study employed a multistage sampling approach with the first stage being the year of study, and the second stage being the courses that students attend. For each study year, two courses were drawn. Students attending ten courses were asked to participate in the study.
The distribution of the questionnaires would be conducted in two ways. The questionnaires would be either completed during classroom time with the consent of each professor or the survey would be administered to students using the online survey portal, Google Forms®. In line with the measures to control the spread of COVID-19, in March 2020, the Rector and Vice-Rectors of the Democritus University of Thrace decided to suspend in-person teaching and to conduct all classes online. Hence, the researchers decided to carry out the present study using only the online survey portal and not to contact the survey in-person. The online link to the survey was available on the university’s online learning platform (https://eclass.duth.gr (accessed on 11 June 2020)) and the respondents were able to read the information about the survey in the Title and Description boxes before the first section of the questions. At the bottom of this note, there was the question, “Do you agree to participate in the survey?” If students wished to participate, they proceeded with the completion of the questionnaire; otherwise, they just left the page. For the Department of Forestry and Management of the Environment and Natural Resources, the study started on 1 June 2020 and ended on 5 July 2020. In order to ensure the protection of respondents’ personal information, the database was stored on a computer which has no access to the Internet and is located in the Laboratory of Forest Policy.
In total, 183 on-line questionnaires were submitted but two of them were invalid as these respondents did not consent to proceed with the completion of the questionnaire. The total number of usable completed questionnaires was thus 181. This number along with the distribution of students’ year of study were considered satisfactory. To be more precise, the sample size in this study is almost the same as the sample sizes in similar in-person surveys which were conducted with undergraduate students of the same department in the previous years [49,50,51,52]. According to the Quality Assurance Unit (MODIP, 2020), which is the advisory body for the administration of the Democritus University of Thrace, at the time of the study, 457 students are enrolled in the department and are attending one of the five years of study, which is the regular duration of study, and another 352 students are enrolled in the department but have exceeded the regular five years. In other words, the overall number of enrolled students was 809 and, in this study, 183 students participated. This corresponds to 22.6% of total enrolled students which shows a satisfactory analogy between population and sample.
To analyze the collected data, descriptive statistics, Cronbach’s alpha, the non-parametric Friedman test, factor analysis and categorical regression were performed. In particular, descriptive statistics was used to analyze variables: demographic characteristics of the respondent (students’ gender, year of study, father’s occupation, mother’s occupation, educational level of father, educational level of mother), satisfaction level with the state of the environment, willingness to change their habits for the benefit of the environment, views on the origin of COVID-19, daily environmental practices and habits, emotions about the pandemic, the measures to prevent pandemic outbreaks in the future and the information sources the students used for COVID-19.
Cronbach’s alpha was used for the variables: views on the origin of COVID-19, daily environmental practices and habits, as well as emotions about the pandemic. The non-parametric Friedman test was used to extract the most important topic of the following multivariates: views on the origin of COVID-19, daily environmental practices and habits, emotions about the pandemic. Factor analysis was used to extract the factors of the following multivariates: views on the origin of COVID-19, daily environmental practices and habits, emotions about the pandemic. Finally, categorical regression analysis was performed and to conduct this analysis, the variable “Endorsement of non-conspiracy theories” was used as the dependent variable and the independent variables that were used were: gender, year of study, father’s profession, mother’s profession, negative emotions, accumulated negative emotions, satisfaction with the state of the environment, information sources about the pandemic. Categorical regression was also used to detect the factors that affect the endorsement of conspiracy theories. In this case, the variable “Endorsement of conspiracy theories” served as the dependent variable; independent variables included gender, mother’s profession, accumulated negative emotions, satisfaction with the state of the environment, information sources about COVID-19.

4. Results

4.1. Demographic Characteristics of the Respondent

As it can be seen in Table 1, female students (60.8%) outnumbered their male peers and respondents’ year of study ranged from 14.9% to 19.3%. Information on students’ family background was also gathered. Most students’ fathers worked either as civil servants (24.3%) or as freelancers (24.3%) whereas most mothers were public servants (29.3%) or were not engaged in paid work and were involved only with household duties (22.1%). Finally, most parents reported having received secondary education and tertiary education.

4.2. Students’ Environmental Views

High shares of students were dissatisfied (by 33.1%) or were little satisfied (by 40.9%) with the state of the environment (Table 2). Interestingly, the overwhelming majority of students were willing to change their habits in order to contribute to environmental protection (Table 3).

4.3. The Origin of COVID-19

Students were asked whether they agreed with certain conspiracy and non-conspiracy theories on the origin of COVID-19. As shown in Table 4, 48.1% of respondents endorsed the conspiracy theory which claims that COVID-19 is a manufactured virus for which a vaccine had been developed before it emerged. In addition, almost one in four students perceived that the new coronavirus is a biological weapon. Moreover, 44.8% were confused about the non-conspiracy theory which proposes that the bats transmitted the virus to humans. Finally, only one in five students perceived that the virus is associated with climate change (Table 4).
In order to examine the statistical difference among these theories on the origin of COVID-19, the non-parametric Friedman test was performed (Table 5). According to the analysis, the theory that it is a “manufactured virus for which there is already a vaccine” ranked first with a mean rank of 3.69. This was followed by the theories that the new coronavirus is “a biological weapon” (mean rank 3.54) and that it is that “Bats transmitted the virus to humans” (mean rank 2.78). Finally, the theories that COVID-19 is “associated with climate change” (mean rank 2.75) and that “The virus causing COVID-19 was initially transmitted by a farmer in Wuhan” (mean rank 2.23) received the least rankings (Ν = 181, Chi-Square = 157.698, df = 4, p < 0.001) (Table 5).
To discover if there were common factors which act as axes that shape respondents’ views on the origin of COVID-19, factor analysis was performed. The investigation indicated that all five variables were highly correlated, and thus no variable was excluded from further analysis. Before applying the analysis, the Bartlett’s test of sphericity (Chi-square = 152.774, df = 10, p < 0.001), the Cronbach’s alpha value (0.607) and the Kaiser–Meyer–Olkin index (0.572) verified the suitability of the data for factor analysis. Factor analysis loaded two factors after Varimax rotation accounting for 67.222% of total variance (Table 6). The non-conspiracy theories of “The virus causing COVID-19 was initially transmitted by a farmer in Wuhan”, “Bats transmitted the virus to humans” and “The virus is associated with climate change” fell under the first factor. Hence, the first factor can be named “Non-conspiracy theories”. The conspiracy theories “Manufactured virus for which there was already a vaccine” and “Biological weapon” fell under the second factor which can be named “Conspiracy theories”.

4.4. Environmental Attitudes

To examine participants’ environmental attitudes, the questionnaire also included an item collecting information about their daily environmental practices and habits. According to our results, students were mostly willing to recycle (mean rank 7.73), re-use or give their old clothes to the needy (mean rank 7.61) and cover short distances on foot (mean rank 7.44). Conversely, they were found to be less willing to choose products travelling a short distance (mean rank 4.43) and buy organic products (mean rank 4.86) (Ν = 181, Chi-Square = 270.647, df = 11, p < 0.001) (Table 7).
Respondents’ daily environmental practices and habits were then analyzed using factor analysis with Varimax rotation. For the multivariate “Environmental attitudes”, Cronbach’s alpha reliability coefficient was 0.877, Bartlett’s test of sphericity was statistically significant (χ2 = 897.645, df = 55, p < 0.001) and the Kaiser–Meyer–Olkin measurement was 0.887. According to the results shown in Table 8, two factors accounting for 58.775% of total variance were loaded. The variables “I am willing to contribute to electricity saving”, “I am willing to recycle”, “I am willing to re-use or give my old clothes to the needy”, “I am willing to buy organic products”, “I am willing to buy products with less or recyclable packaging” fell under the first factor which can be named “Habits and practices related to energy saving, recycling and shopping”. The second factor included the variables of “I am willing to use public transport instead of the car”, “I am willing to use the bicycle”, “I am willing to turn the thermostat down to 18 °C”, “I am willing to cover short distances on foot”, “I am willing to buy products travelling a short distance” and “I am willing to turn off the tap while brushing teeth or shaving”. Hence, the second factor can be named “Habits and practices related to transport, heating and water saving”.

4.5. Students’ Emotions about the Pandemic

The pandemic and the stringent social distancing measures, which were applied to contain the spread of the coronavirus pandemic, may have affected students’ emotional wellbeing. Students were thus asked to report their emotions and their responses were ranked using the non-parametric Friedman test (Table 9). Interestingly, respondents mostly experienced “Concern” (mean rank 7.08) and “Anger” (mean rank 6.33), whereas “Panic” and “Despair” obtained the lowest rankings (both received a mean rank of 3.54) (Ν = 181, Chi-Square = 369.051, df = 8, p < 0.001).
To gain further insights into the emotions that the pandemic stirred within students, factor analysis was performed. The analysis indicated that all nine variables were highly correlated, and no variable was excluded from further analysis. Before applying factor analysis, the Bartlett’s test of sphericity (Chi-square = 558.997, df = 36, p < 0.001), the Cronbach’s alpha value (0.650) and the Kaiser–Meyer–Olkin index (0.749) verified the suitability of the data for factor analysis. Factor analysis loaded three factors after Varimax rotation accounting for 65.1% of total variance (Table 10). According to the factor loadings, negative emotions about the pandemic, ‘Panic’, ‘Fear’, ‘Anger’, ‘Despair’, ‘Anxiety’ and ‘Loneliness’, loaded on the first factor which can be named “Negative emotions”. The variables ‘Anger’ and ‘Indifference’ fell under the second factor and this factor can be named “Accumulated negative emotions”. Finally, ‘Optimism’, and ’No concern’ (it is named “No concern” because the negative sign of the loading indicates the opposite direction of the variable) loaded on the third factor. The third factor can be named “Positive emotions”.

4.6. Measures to Prevent Pandemics in the Future

Students were then asked to assess different measures to prevent similar pandemic outbreaks in the future. As it can be seen in Table 11, more than half of the students (by 53%) believed that the most appropriate measure to prevent pandemics would be to improve both medical research and the quality of the environment through protecting biodiversity. However, only one in five students perceived that the best way would be to improve the environment and protect biodiversity.

4.7. Information Sources about the Pandemic

The Greek media covered the pandemic with an emphasis on the international dimension of the crisis, and nation-wide TV programs broadcasted interviews with epidemiology experts and representatives of authorities managing the health crisis. Students were asked which information sources they used in order to learn about COVID-19. As it can be seen in Table 12, a considerable share of students (by 28.2%) preferred television and another substantial share (by 26.5%) used scientific articles. The percentage of respondents who used social media (by 23.8%) was also appreciable. Finally, as few as 6.6% of students did not wish to obtain any information about COVID-19 (Table 12).

4.8. Factors Affecting the Endorsement of Conspiracy and Non-Conspiracy Theories Regarding the Origin of COVID-19

Categorical regression was conducted to examine the factors affecting the endorsement of conspiracy and non-conspiracy theories. In this analysis, the two factors that emerged from factor analysis, “theories about the origin of COVID-19”, were used as the dependent variable. The independent variables used in the analysis were: “Satisfaction with the state of the environment”, “Willingness to change habits to contribute to environmental protection”, “Non-conspiracy theories”, “Conspiracy theories”, “Habits and practices related to energy saving, recycling and shopping”, “Habits and practices related to transport, heating and water saving”, “Negative emotions”, “Accumulated negative emotions”, “Positive emotions”, “Measures to prevent a pandemic in the future” and “Information sources about the pandemic”.
After we ran categorical regression, various results emerged. Among these results, the correlation matrices of the independent variables showed that in Pratt’s measures of relative importance measures and tolerance, there was a multicollinearity problem. More specifically, certain independent variables exhibited high correlation, and Pratt’s relative importance measures had high negative values but low tolerance values. As these independent variables render the categorical regression model unsteady, they had to be removed from the subsample. To remove these variables, the value of F statistic, which determines whether the removal of an independent variable from the model reduces significantly the predictive abilities of the subsample, were considered. It is worthwhile to note that these independent variables were not removed altogether, but only one independent variable was removed each time, based on the value of the F statistic for each independent variable. Of all the tests which we conducted in this analysis, we are presenting here only the results of Pratt’s most important relative importance coefficients, standardized beta coefficients, transformation diagrams and the relevant interpretations. After conducting several tests in order to examine which variables best explain the endorsement of conspiracy and non-conspiracy theories and thus should be included in the final model of categorical regression, it was concluded that the variables in Table 13 explain the endorsement of non-conspiracy theories and that the variables presented in Table 14 best explain the endorsement of conspiracy theories.

4.8.1. “Endorsement of Non-Conspiracy Theories”

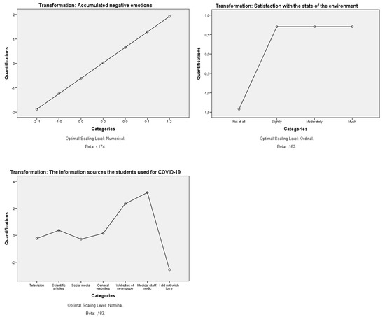
The application of categorical regression gave coefficient value of multiple determination R2 = 0.504 and και F = 2.211, and it is statistically important. The standardized (regression) coefficients of the independent variables indicate that the “endorsement of non-conspiracy theories” is mostly affected by the variables: negative emotions, gender and information sources about the pandemic. In addition, the F values of each independent variable show that the removal of variables with high F values make the subsample weak. However, the removal of the variable “satisfaction with the state of the environment” has only a negligible effect on the predictability of the subsample. Moreover, the measures of relevant importance of the independent variables suggest that the independent variables of “information sources about the pandemic” (19%) followed by “negative emotions” (16%) and “accumulated negative emotions” (14.3%) made the greatest contribution to the dependent variable. With regard to variables’ transformation diagrams (Figure 1) and the signs of the standardized coefficient, it can be concluded that non-conspiracy theories are endorsed by individuals who:
  • experience panic, fear, despair, anxiety and loneliness in response to the pandemic;
  • do not experience anger;
  • obtain information about the pandemic from reliable sources such as medical staff and medical science-based media;
  • are men;
  • are relatively satisfied with the state of the environment;
  • are students in the last years of university;
  • have fathers who are farmers and pensioners;
  • have mothers who are pensioners, engaged in housework and public servants.

4.8.2. “Endorsement of Conspiracy Theories”

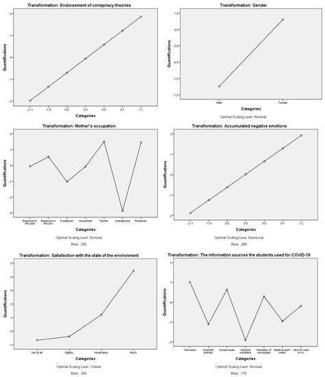
Categorical regression gave coefficient value of multiple determination R2 = 0.447 and F = 2.395 which is statistically important. The standardized regression coefficients of the independent variables show that the endorsement of conspiracy theories is mostly affected by the variables “mother’s profession”, “accumulated negative emotions”, “gender” and “information sources about the pandemic”. Regarding f values, the removal of the variables of “satisfaction with the state of the environment” and “gender” have only a negligible effect on the predictability of the subsample. In addition, the measures of relevant importance of the independent variables show that the variables “accumulated negative emotions” (31.8%) followed by “mother’s profession” (27.2%) and “information sources about the pandemic” (17%) make the greatest contribution to the dependent variable.
With regard to variables’ transformation diagrams (Figure 2) and the signs of the standardized coefficient, it can be concluded that the conspiracy theories about the origin of the pandemic are endorsed by individuals who:
  • experience anger;
  • are female;
  • have mothers who are pensioners, farmers and private employees;
  • use television, social media and general websites in order to obtain information about the pandemic;
  • expressed a high level of satisfaction with the state of the environment.

5. Discussion

The evidence regarding students’ perceptions of the origin of COVID-19 raises concern and a number of implications. It was quite unexpected that university students majoring in environmental science would believe in conspiracy theories to explain how the virus causing COVID-19 emerged. They would be expected to understand how low biological diversity affects the emergence and transmission of pathogens. In other words, the expectation was that that they would resist the general tendency to believe in theories claiming that the virus was intentionally manufactured or served as a biological weapon. However, as many as 48.1% believed in conspiracy theories. This percentage is only three units lower than the percentage (52%) of Greek citizens believing that the new virus is man-made [53]. Our finding resonates with the international literature indicating that high percentages of university students subscribe to conspiracy theories [10,11]) but also with studies showing that citizens in different countries believe in conspiracy theories on the origins of the new virus [6,7]. Interestingly, in our study, respondents in their last years of university were found to be less susceptible to conspiracy theories. This suggests that as students advance in their undergraduate study, they become more mindful about the contribution of biodiversity in disease emergence and may thus reject conspiracy theories. It is also worthwhile to observe that, according to categorical regression analysis, students who endorsed conspiracy theories on COVID-19 were highly satisfied with the state of the environment. This implies that students who are unaware of environmental degradation may tend to overlook the impact of climate change and diversity loss on the emergence of infectious diseases. If this explanation is confirmed, then efforts to raise environmental awareness could help mitigate the endorsement of harmful conspiracy theories.
In Greece, the opposition parties revealed that the media were financed by the Greek government in order to cover topics related to COVID-19. It is possible that this created suspicion and led Greek citizens, including university students, to believe in conspiracy theories on the origin of COVID-19. Another possible explanation for the high endorsement of conspiracy theories recorded in this study could be found in the information sources that students used to learn about the new virus. Specifically, significant percentages of students resorted to television and social media but these media may have projected conspiracy theories to a greater degree than science-based explanations. Therefore, it may be suggested that these media may have affected students’ views on the origin of the new virus. This can also be supported by the findings of our categorical regression analysis which indicated that respondents who obtained information about the pandemic from reliable sources such as medical staff and medical science-based media did not subscribe to conspiracy theories explaining the origin of COVID-19. Hence, it is plausible that individuals who use reliable information sources are less susceptible to conspiracy theories and become more willing to accept scientific explanations for the origin of the new virus.

6. Conclusions

This paper sought to examine whether environmental students endorse conspiracy theories or non-conspiracy theories about the origin of COVID-19. This was crucial because if environmental experts are aware about the complex relationship between climate change and biodiversity loss as well as the effect of this relationship on the emergence of infectious diseases, then they can be expected to contribute to the solution of environmental problems while persuading the public about the crucial role of biological diversity in diseases. However, our study revealed that a high percentage of forestry students endorsed conspiracy theories and it can be concluded that, if steps are not taken, these students as future environmental experts have inadequate knowledge about the role of biodiversity in pandemic emergence and, therefore, will not be able to contribute to the solution of the problem nor will they be able to raise awareness about this issue.
In addition, categorical regression analysis provided valuable insights into the factors affecting the endorsement of conspiracy and non-conspiracy theories. Specifically, individuals who endorsed non-conspiracy theories were mostly male, experienced panic, despair, anxiety, loneliness but not anger due to the pandemic, obtained information about COVID-19 from reliable information sources, were moderately satisfied with the state of the environment, attended the last years of university, and their fathers were farmers and pensioners while their mothers were pensioners, public servants and “housewives”. On the other hand, conspiracy theories were endorsed by those who experienced anger due to the pandemic, were female, obtained information about the pandemic from television, social media and general websites, their mothers were pensioners, farmers and private employees and they were highly satisfied with the state of the environment. Hence, it appears that the choice of information sources, emotional responses, gender, year of study and parents’ occupations are the factors underlying students’ endorsement or resistance to conspiracy theories.

Implications of Results, Study Limitations and Recommendations for Future Studies

In this section, the implications of our results, limitations of the study, and recommendations for future studies are presented. The findings of this study have implications mainly for education and point to the need to start environmental education much earlier than the university level. As an educational approach that seeks to develop students, schools and communities with the values and the motivation to act for sustainability, Education for Sustainability (EfS) is an optimal way to improve the existing education and to create individuals who will be more actively involved in the solution of environmental issues [54]. In this educational environment, learners can both think critically and offer solutions towards more sustainable living patterns. Moreover, EfS equips individuals with skills to plan and manage changes towards sustainability within organizations, industries or communities. In higher education, the implementation of EfS programs could lead to a better understanding of the interconnection between the COVID-19 pandemic and environmental problems, including biodiversity loss.
There are also study limitations that ought to be acknowledged. Most importantly, the results presented in this paper are not generalizable to the students of other environmental departments. Another limitation was that the research data were based only on quantitative methods. Qualitative methods were not used to reinforce the findings.
Finally, certain recommendations for future studies can be noted. Our study can serve as a foundation to extend the research on awareness about biodiversity loss to undergraduate students from other environmental departments, both in Greece and elsewhere. It is recommended to combine the quantitative method presented here with qualitative methods. For instance, together with examining environmental students’ views via questionnaires, it is advisable to examine department curricula and analyze students’ performances in courses related to the topic of this research, biodiversity and climate change. As conspiracy theories on COVID-19 complicate the effort to control the pandemic, it is highly recommended to also examine scientists’ perceptions. For instance, future studies can examine whether scientists perceived that COVID-19 was developed in a laboratory or whether they held different perceptions regarding the origin, characteristics and impact of the COVID-19 pandemic. Moreover, it would be greatly interesting to compare individual beliefs in conspiracy theories related to COVID-19 between the public and experts.

Author Contributions

Conceptualization, G.T.; Methodology, G.T. and A.C.P.; Software, G.T.; Validation, G.T., A.C.P. and E.K.; Formal Analysis, G.T.; Investigation, G.T. and E.K.; Data Curation, G.T. and A.C.P.; Writing—Original Draft Preparation, E.K.; Writing—Review and Editing, E.K.; Visualization, G.T.; Supervision, G.T. All authors have read and agreed to the published version of the manuscript.

Funding

The research received no external funding.

Data Availability Statement

The data presented in this study are available on request from the authors.

Acknowledgments

This research did not receive any specific grant from funding agencies in the public, commercial, or not-for-profit sectors. However, the authors would like to thank the anonymous reviewers for providing their valuable comments. Moreover, we would like to thank all parties involved in the Democritus University of Thrace for supporting this study, as well as all the undergraduate students who participated voluntarily in our study.

Conflicts of Interest

The authors declare no conflict of interest.

References

  1. WHO. Coronavirus Disease (COVID-19) Dashboard. 2021. Available online: https://covid19.who.int/ (accessed on 22 April 2021).
  2. Allen, T.; Murray, K.A.; Zambrana-Torrelio, C.; Morse, S.S.; Rondinini, C.; Di Marco, M.; Breit, N.; Olival, K.; Daszak, P. Global hotspots and correlates of emerging zoonotic diseases. Nat. Commun. 2017, 8, 1–10. [Google Scholar] [CrossRef] [PubMed]
  3. Keesing, F.; Belden, L.K.; Daszak, P.; Dobson, A.; Harvell, C.D.; Holt, R.D.; Hudson, P.; Jolles, A.; Jones, K.E.; Mitchell, C.E.; et al. Impacts of biodiversity on the emergence and transmission of infectious diseases. Nature 2010, 468, 647–652. [Google Scholar] [CrossRef]
  4. European Commission Questions and Answers: EU Biodiversity Strategy for 2030—Bringing Nature Back into Our Lives. 2020. Available online: https://ec.europa.eu/commission/presscorner/detail/en/qanda_20_886 (accessed on 22 April 2021).
  5. Andersen, K.G.; Rambaut, A.; Lipkin, W.I.; Holmes, E.C.; Garry, R.F. The proximal origin of SARS-CoV-2. Nat. Med. 2020, 26, 450–452. [Google Scholar] [CrossRef]
  6. Frankovic, K. A Growing Number of Americans Want Stronger Action against Coronavirus—and Conspiracies Are Abound. 2020. Available online: https://today.yougov.com/topics/health/articles-reports/2020/03/11/growing-number-americans-want-stronger-action-agai (accessed on 22 April 2021).
  7. Freeman, D.; Waite, F.; Rosebrock, L.; Petit, A.; Causier, C.; East, A.; Jenner, L.; Teale, A.L.; Carr, L.; Mullhall, S.; et al. Coronavirus conspiracy beliefs, mistrust, and compliance with government guidelines in England. Psychol. Med. 2020, 1–13. [Google Scholar] [CrossRef]
  8. Kapa Research COVID-19: Greeks at Home with Their Mind on the Next Difficult Day. Basic Findings and Changes in Public Opinion through the Studies of Kapa Research in the Era of the Pandemic. 2020. Available online: https://kaparesearch.com/wp-content/uploads/2020/04/final_analysis_COVID19.pdf (accessed on 22 April 2021). (In Greek).
  9. Chen, X.; Zhang, S.X.; Jahanshahi, A.A.; Alvarez-Risco, A.; Dai, H.; Li, J.; Ibarra, V.G. Belief in a COVID-19 conspiracy theory as a predictor of mental health and well-being of health care workers in Ecuador: Cross-sectional survey study. JMIR Public Health Surveill. 2020, 6, e20737. [Google Scholar] [CrossRef]
  10. Patsali, M.E.; Mousa, D.P.V.; Papadopoulou, E.V.; Papadopoulou, K.K.; Kaparounaki, C.K.; Diakogiannis, I.; Fountoulakis, K.N. University students’ changes in mental health status and determinants of behavior during the COVID-19 lockdown in Greece. Psychiatry Res. 2020, 292, 113298. [Google Scholar] [CrossRef] [PubMed]
  11. Sallam, M.; Dababseh, D.; Yaseen, A.; Al-Haidar, A.; Ababneh, N.A.; Bakri, F.G.; Mahafzah, A. Conspiracy beliefs are associated with lower knowledge and higher anxiety levels regarding COVID-19 among students at the University of Jordan. Int. J. Environ. Res. Public Health 2020, 17, 4915. [Google Scholar] [CrossRef] [PubMed]
  12. Uscinski, J.E.; Parent, J.M. American Conspiracy Theories; Oxford University Press: Oxford, UK, 2014. [Google Scholar]
  13. Bale, J.M. Political paranoia vs. political realism: On distinguishing between bogus conspiracy theories and genuine conspiratorial politics. Patterns Prejud. 2007, 41, 45–60. [Google Scholar] [CrossRef]
  14. Klofstad, C.A.; Uscinski, J.E.; Connolly, J.M.; West, J.P. What drives people to believe in Zika conspiracy theories? Palgrave Commun. 2019, 5, 1–8. [Google Scholar] [CrossRef]
  15. Douglas, K.M.; Sutton, R.M.; Cichocka, A. The psychology of conspiracy theories. Curr. Dir. Psychol. Sci. 2017, 26, 538–542. [Google Scholar] [CrossRef] [PubMed]
  16. Uscinski, J.E.; Enders, A.M. The Coronavirus Conspiracy Boom. The Atlantic. 2020. Available online: https://www.theatlantic.com/health/archive/2020/04/what-can-coronavirus-tell-us-about-conspiracy-theories/610894/ (accessed on 22 April 2021).
  17. Karasmanaki, E.; Tsantopoulos, G. Impacts of social distancing during COVID-19 pandemic on the daily life of forestry students. Child. Youth Serv. Rev. 2021, 120, 105781. [Google Scholar] [CrossRef] [PubMed]
  18. Flynn, D.J.; Nyhan, B.; Reifler, J. The nature and origins of misperceptions: Understanding false and unsupported beliefs about politics. Political Psychol. 2017, 38, 127–150. [Google Scholar] [CrossRef]
  19. Bruder, M.; Haffke, P.; Neave, N.; Nouripanah, N.; Imhoff, R. Measuring individual differences in generic beliefs in conspiracy theories across cultures: Conspiracy mentality questionnaire. Front. Psychol. 2013, 4, 225. [Google Scholar] [CrossRef]
  20. Swami, V.; Coles, R.; Stieger, S.; Pietschnig, J.; Furnham, A.; Rehim, S.; Voracek, M. Conspiracist ideation in Britain and Austria: Evidence of a monological belief system and associations between individual psychological differences and real-world and fictitious conspiracy theories. Br. J. Psychol. 2011, 102, 443–463. [Google Scholar] [CrossRef] [PubMed]
  21. Oleksy, T.; Wnuk, A.; Maison, D.; Łyś, A. Content matters. Different predictors and social consequences of general and government-related conspiracy theories on COVID-19. Personal. Individ. Differ. 2020, 168, 110289. [Google Scholar] [CrossRef]
  22. Van Prooijen, J.W.; Douglas, K.M. Belief in conspiracy theories: Basic principles of an emerging research domain. Eur. J. Soc. Psychol. 2018, 48, 897–908. [Google Scholar] [CrossRef]
  23. Jolley, D.; Douglas, K.M. The effects of anti-vaccine conspiracy theories on vaccination intentions. PLoS ONE 2014, 9, e89177. [Google Scholar] [CrossRef] [PubMed]
  24. Douglas, K.M.; Uscinski, J.E.; Sutton, R.M.; Cichocka, A.; Nefes, T.; Ang, C.S.; Deravi, F. Understanding conspiracy theories. Political Psychol. 2019, 40, 3–35. [Google Scholar] [CrossRef]
  25. Imhoff, R.; Lamberty, P. A bioweapon or a hoax? The link between distinct conspiracy beliefs about the Coronavirus disease (COVID-19) outbreak and pandemic behavior. Soc. Psychol. Personal. Sci. 2020, 11, 1110–1118. [Google Scholar] [CrossRef]
  26. Bierwiaczonek, K.; Kunst, J.R.; Pich, O. Belief in COVID-19 conspiracy theories reduces social distancing over time. Appl. Psychol. Health Well Being 2020, 12, 1270–1285. [Google Scholar] [CrossRef] [PubMed]
  27. Allington, D.; Dhavan, N. The Relationship between Conspiracy Beliefs and Compliance with Public Health Guidance with Regard to COVID-19; Centre for Countering Digital Hate: London, UK, 2020. [Google Scholar]
  28. Imhoff, R.; Dieterle, L.; Lamberty, P. Resolving the puzzle of conspiracy worldview and political activism: Belief in secret plots decreases normative but increases nonnormative political engagement. Soc. Psychol. Personal. Sci. 2020, 12. [Google Scholar] [CrossRef]
  29. Marinthe, G.; Brown, G.; Delouvée, S.; Jolley, D. Looking out for myself: Exploring the relationship between conspiracy mentality, perceived personal risk, and COVID-19 prevention measures. Br. J. Health Psychol. 2020, 25, 957–980. [Google Scholar] [CrossRef]
  30. Jones, K.E.; Patel, N.G.; Levy, M.A.; Storeygard, A.; Balk, D.; Gittleman, J.L.; Daszak, P. Global trends in emerging infectious diseases. Nature 2008, 451, 990–993. [Google Scholar] [CrossRef]
  31. Naeem, S.; Bunker, D.E.; Hector, A.; Loreau, M.; Perrings, C. Biodiversity, Ecosystem Functioning, and Human Wellbeing: An Ecological and Economic Perspective; Oxford University Press: Oxford, UK, 2009. [Google Scholar]
  32. Khalil, H.; Ecke, F.; Evander, M.; Magnusson, M.; Hörnfeldt, B. Declining ecosystem health and the dilution effect. Sci. Rep. 2016, 6, 31314. [Google Scholar] [CrossRef] [PubMed]
  33. Ostfeld, R.S.; Keesing, F. Biodiversity series: The function of biodiversity in the ecology of vector-borne zoonotic diseases. Can. J. Zool. 2000, 78, 2061–2078. [Google Scholar] [CrossRef]
  34. Dobson, A. Population dynamics of pathogens with multiple host species. Am. Nat. 2004, 164, S64–S78. [Google Scholar] [CrossRef] [PubMed]
  35. Ostfeld, R.S. Biodiversity loss and the rise of zoonotic pathogens. Clin. Microbiol. Infect. 2009, 15, 40–43. [Google Scholar] [CrossRef]
  36. Morse, S.S.; Mazet, J.A.; Woolhouse, M.; Parrish, C.R.; Carroll, D.; Karesh, W.B.; Zambrana-Torrelio, C.; Lipkin, W.I.; Daszak, P. Prediction and prevention of the next pandemic zoonosis. Lancet 2012, 380, 1956–1965. [Google Scholar] [CrossRef]
  37. McMichael, A.J. Environmental and social influences on emerging infectious diseases: Past, present and future. Phil. Trans. R. Soc. Lond. B 2004, 359, 1049–1058. [Google Scholar] [CrossRef]
  38. Woolhouse, M.E.; Gowtage-Sequeria, S. Host range and emerging and reemerging pathogens. Emerg. Infect. Dis. 2005, 11, 1842. [Google Scholar] [CrossRef]
  39. Gould, E.A.; Higgs, S. Impact of climate change and other factors on emerging arbovirus diseases. Trans. R. Soc. Trop. Med. Hyg. 2009, 103, 109–121. [Google Scholar] [CrossRef]
  40. Vora, N. Impact of anthropogenic environmental alterations on vector-borne diseases. Medscape J. Med. 2008, 10, 238. [Google Scholar] [PubMed]
  41. Lederberg, J.; Hamburg, M.A.; Smolinski, M.S. Microbial Threats to Health: Emergence, Detection, and Response; National Academies Press: Washington, DC, USA, 2003. [Google Scholar]
  42. Epstein, P.R. Chikungunya fever resurgence and global warming. Am. J. Trop. Med. Hyg. 2007, 76, 403–404. [Google Scholar] [CrossRef] [PubMed]
  43. Chretien, J.P.; Anyamba, A.; Bedno, S.A.; Breiman, R.F.; Sang, R.; Sergon, K.; Powers, A.M.; Onyago, C.O.; Small, J.; Tucker, C.; et al. Drought-associated chikungunya emergence along coastal East Africa. Am. J. Trop. Med. Hyg. 2007, 76, 405–407. [Google Scholar] [CrossRef]
  44. Jones, B.A.; Grace, D.; Kock, R.; Alonso, S.; Rushton, J.; Said, M.Y.; Pfeiffer, D.U. Zoonosis emergence linked to agricultural intensification and environmental change. Proc. Natl. Acad. Sci. USA 2013, 110, 8399–8404. [Google Scholar] [CrossRef] [PubMed]
  45. Di Marco, M.; Baker, M.L.; Daszak, P.; De Barro, P.; Eskew, E.A.; Godde, C.M.; Harwood, T.D.; Herrero, M.; Hoskins, A.J.; Johnson, E.; et al. Opinion: Sustainable development must account for pandemic risk. Proc. Natl. Acad. Sci. USA 2020, 117, 3888–3892. [Google Scholar] [CrossRef]
  46. Rohr, J.R.; Raffel, T.R.; Sessions, S.K.; Hudson, P.J. Understanding the net effects of pesticides on amphibian trematode infections. Ecol. Appl. 2008, 18, 1743–1753. [Google Scholar] [CrossRef]
  47. Rohr, J.R.; Barrett, C.B.; Civitello, D.J.; Craft, M.E.; Delius, B.; DeLeo, G.A.; Hudson, P.J.; Jouanard, N.; Nguyen, K.H.; Ostfeld, R.S.; et al. Emerging human infectious diseases and the links to global food production. Nat. Sustain. 2019, 2, 445–456. [Google Scholar] [CrossRef]
  48. Banerjee, B.D. The influence of various factors on immune toxicity assessment of pesticide chemicals. Toxicol. Lett. 1999, 107, 21–31. [Google Scholar] [CrossRef]
  49. Papathanaki, A. Environmental Awareness and Social Media. The Case of Undergraduate Students in the School of Agricultural and Forestry Sciences. Master Thesis, Department of Forestry and Management of the Environment and Natural Resources of Democritus University of Thrace, Xanthi, Greece, 2018. (In Greek). [Google Scholar]
  50. Karasmanaki, E.; Tsantopoulos, G. Exploring future scientists’ awareness about and attitudes towards renewable energy sources. Energy Policy 2019, 131, 111–119. [Google Scholar] [CrossRef]
  51. Pappa, E. Recycling: Attitudes and Opinions of the Undergraduate Students of the Department of Forestry and Management of the Environment and Natural Resources. Master Thesis, Department of Forestry and Management of the Environment and Natural Resources of Democritus University of Thrace, Xanthi, Greece, 2020. (In Greek). [Google Scholar]
  52. Karasmanaki, E.; Ioannou, K.; Katsaounis, K.; Tsantopoulos, G. The attitude of the local community towards investments in lignite before transitioning to the post-lignite era: The case of Western Macedonia, Greece. Resour. Policy 2020, 68, 101781. [Google Scholar] [CrossRef]
  53. Pulse, R.C. One in Two Believes that the Virus is Constructed. 2020. Available online: http://pulserc.gr/ (accessed on 22 April 2021). (In Greek).
  54. Wamsler, C. Education for sustainability. Int. J. Sustain. High. Educ. 2020, 21, 112–130. [Google Scholar] [CrossRef]
Figure 1. Transformation plots of dependent and independent variables (“Endorsement of non-conspiracy theories”).
Figure 1. Transformation plots of dependent and independent variables (“Endorsement of non-conspiracy theories”).
Sustainability 13 05307 g001aSustainability 13 05307 g001b
Figure 2. Transformation plots of dependent and independent variables (“Endorsement of conspiracy theories”).
Figure 2. Transformation plots of dependent and independent variables (“Endorsement of conspiracy theories”).
Sustainability 13 05307 g002
Table 1. Demographic characteristics of the respondent.
Table 1. Demographic characteristics of the respondent.
VariableCategoryFrequencyPercentage
Students’ genderMale7139.2
Female11060.8
Year of study13519.3
22413.3
33117.1
42916.0
52714.9
Higher than 53519.3
Father’s occupationEmployed in the public sector4424.3
Employed in the private sector3117.1
Freelancer4424.3
Farmer2011.0
Unemployed95.0
Pensioner3318.2
Mother’s occupationEmployed in the public sector5329.3
Employed in the private sector3619.9
Freelancer158.3
Household4022.1
Farmer116.1
Unemployed126.6
Pensioner147.7
Educational level of fatherCompulsory education4625.4
Secondary education7239.8
Higher education6334.8
Educational level of motherCompulsory education2513.8
Secondary education7541.4
Higher education8144.8
Table 2. Frequency and percentages of students’ satisfaction level with the state of the environment.
Table 2. Frequency and percentages of students’ satisfaction level with the state of the environment.
FrequencyPercentage (%)
Not at all6033.1
Slightly7440.9
Moderately4323.8
Much42.2
Total181100.0
Table 3. Frequency and percentages of students’ willingness to change their habits for the benefit of the environment.
Table 3. Frequency and percentages of students’ willingness to change their habits for the benefit of the environment.
FrequencyPercentage (%)
Moderately2011.0
Much7843.1
Very much8345.9
Total181100.0
Table 4. Percentages of students’ views on the origin of COVID-19.
Table 4. Percentages of students’ views on the origin of COVID-19.
Totally DisagreeDisagreeNeither Agree Nor DisagreeAgree Totally Agree
Bats transmitted the virus to humans22.122.744.88.32.2
The virus causing COVID-19 was initially transmitted by a farmer in Wuhan 33.727.634.82.21.7
The virus is associated with climate change25.423.831.512.27.2
Biological weapon14.98.838.124.913.3
Manufactured virus for which there was already a vaccine11.010.530.427.121.0
Table 5. The application of the Friedman test for ranking respondents’ views on the origin of COVID-19.
Table 5. The application of the Friedman test for ranking respondents’ views on the origin of COVID-19.
VariablesMean Ranks
Bats transmitted the virus to humans2.78
The virus causing COVID-19 was initially transmitted by a farmer in Wuhan2.23
The virus is associated with climate change 2.75
Biological weapon3.54
Manufactured virus for which there was already a vaccine3.69
Ν = 181, Chi-Square = 157.698, df = 4, p < 0.001
Table 6. Factor loadings after Varimax rotation regarding respondents’ views on the origin of COVID-19.
Table 6. Factor loadings after Varimax rotation regarding respondents’ views on the origin of COVID-19.
Component
12
The virus causing COVID-19 was initially transmitted by a farmer in Wuhan0.8000.073
Bats transmitted the virus to humans0.7790.233
The virus is associated with climate change0.710−0.209
Manufactured virus for which there was already a vaccine−0.1780.860
Biological weapon0.2650.816
Table 7. The application of the Friedman test for ranking students’ daily environmental practices and habits.
Table 7. The application of the Friedman test for ranking students’ daily environmental practices and habits.
VariablesMean Ranks
I am willing to contribute to electricity saving6.79
I am willing to recycle7.71
I am willing to re-use or give my old clothes to the needy7.61
I am willing to buy products travelling short distance4.43
I am willing to buy organic products4.86
I am willing to turn off the tap while brushing teeth or shaving5.59
I am willing to cover short distances on foot7.44
I am willing to use the bicycle6.21
I am willing to use public transport instead of the car5.01
I am willing to turn the thermostat down to 18 °C5.01
I am willing to buy products with less or recyclable packaging5.34
Ν = 181, Chi-Square = 270.647, df = 11, p < 0.001
Table 8. Students’ daily environmental practices and habits are shown with factor loadings after Varimax rotation.
Table 8. Students’ daily environmental practices and habits are shown with factor loadings after Varimax rotation.
Component
PC1PC2
I am willing to contribute to electricity saving0.8040.244
I am willing to recycle0.7990.304
I am willing to re-use or give my old clothes to the needy0.7870.231
I am willing to buy organic products0.6710.167
I am willing to buy products with less or recyclable packaging0.5390.460
I am willing to use public transport instead of the car0.0850.806
I am willing to use the bicycle0.2360.729
I am willing to turn the thermostat down to 18°C0.2440.713
I am willing to cover short distances on foot0.5170.605
I am willing to buy products travelling a short distance0.3430.603
I am willing to turn off the tap while brushing teeth or shaving0.3980.539
Table 9. The application of the Friedman test for ranking respondents’ emotions about the pandemic.
Table 9. The application of the Friedman test for ranking respondents’ emotions about the pandemic.
VariablesMean Ranks
Fear5.48
Optimism4.35
Anxiety5.79
Anger6.33
Indifference4.09
Concern7.08
Loneliness4.79
Panic3.54
Despair3.54
Ν = 181, Chi-Square = 369.051, df = 8, p < 0.001
Table 10. The rotated factor loadings for students’ emotions about the pandemic.
Table 10. The rotated factor loadings for students’ emotions about the pandemic.
Component
123
Panic0.884−0.0570.042
Fear0.807−0.279−0.155
Despair0.7920.215−0.012
Anxiety0.727−0.107−0.359
Loneliness0.6750.1680.016
Anger0.1330.873−0.110
Indifference−0.2540.5110.417
Optimism0.0910.0240.829
Concern0.4310.310−0.473
Table 11. Frequency and percentages of students’ responses on the measures to prevent pandemic outbreaks in the future.
Table 11. Frequency and percentages of students’ responses on the measures to prevent pandemic outbreaks in the future.
FrequencyPercentage (%)
Improving the environment and protecting biodiversity3318.2
Improving medical research5228.7
Improving medical research and the environment through biodiversity protection9653.0
Total181100.0
Table 12. Frequency and percentages relating to the information sources the students used for COVID-19.
Table 12. Frequency and percentages relating to the information sources the students used for COVID-19.
FrequencyPercentage (%)
Television5128.2
Scientific articles4826.5
Social media4323.8
General websites137.2
Websites of newspapers116.1
Medical staff, medical media, etc.31.7
I did not wish to receive any information126.6
Total181100.0
Table 13. Factors affecting the endorsement of non-conspiracy theories regarding the origin of COVID-19.
Table 13. Factors affecting the endorsement of non-conspiracy theories regarding the origin of COVID-19.
Independent VariablesBetaFpImportance
(Pratt)
Gender0.2018.1820.0050.130
Year of study−0.1695.1930.0020.088
Father’s profession0.1735.3760.0000.083
Mother’s profession0.1777.9280.0000.087
Negative emotions 0.2086.4610.0120.160
Accumulated negative emotions −0.1745.9000.0160.143
Satisfaction with the state of the environment0.1624.3790.0380.120
Information sources about the pandemic0.18310.9950.0000.190
Table 14. Factors affecting the endorsement of conspiracy theories regarding the origin of COVID-19.
Table 14. Factors affecting the endorsement of conspiracy theories regarding the origin of COVID-19.
Independent VariablesBetaFπImportance (Pratt)
Gender0.1544.3280.0390.149
Mother’s profession0.25515.2000.0000.272
Accumulated negative emotions0.26810.9300.0010.170
Satisfaction with the state of the environment0.1645.6830.0010.091
Information sources about COVID-190.1798.8510.0000.318
Publisher’s Note: MDPI stays neutral with regard to jurisdictional claims in published maps and institutional affiliations.

Share and Cite

MDPI and ACS Style

Tsantopoulos, G.; Papageorgiou, A.C.; Karasmanaki, E. COVID-19: An Outcome of Biodiversity Loss or a Conspiracy? Investigating the Attitudes of Environmental Students. Sustainability 2021, 13, 5307. https://doi.org/10.3390/su13095307

AMA Style

Tsantopoulos G, Papageorgiou AC, Karasmanaki E. COVID-19: An Outcome of Biodiversity Loss or a Conspiracy? Investigating the Attitudes of Environmental Students. Sustainability. 2021; 13(9):5307. https://doi.org/10.3390/su13095307

Chicago/Turabian Style

Tsantopoulos, Georgios, Aristotelis C. Papageorgiou, and Evangelia Karasmanaki. 2021. "COVID-19: An Outcome of Biodiversity Loss or a Conspiracy? Investigating the Attitudes of Environmental Students" Sustainability 13, no. 9: 5307. https://doi.org/10.3390/su13095307

APA Style

Tsantopoulos, G., Papageorgiou, A. C., & Karasmanaki, E. (2021). COVID-19: An Outcome of Biodiversity Loss or a Conspiracy? Investigating the Attitudes of Environmental Students. Sustainability, 13(9), 5307. https://doi.org/10.3390/su13095307

Note that from the first issue of 2016, this journal uses article numbers instead of page numbers. See further details here.

Article Metrics

Back to TopTop