Experimental Study on the Effects of Aspect Ratio on the Wind Pressure Coefficient of Piloti Buildings
Abstract
1. Introduction
2. Materials and Methods
2.1. Wind Pressure Coefficient Distribution
2.2. Experimental Equipment and Wind Field Model
2.3. Configuration of Building Model
3. Results and Discussion
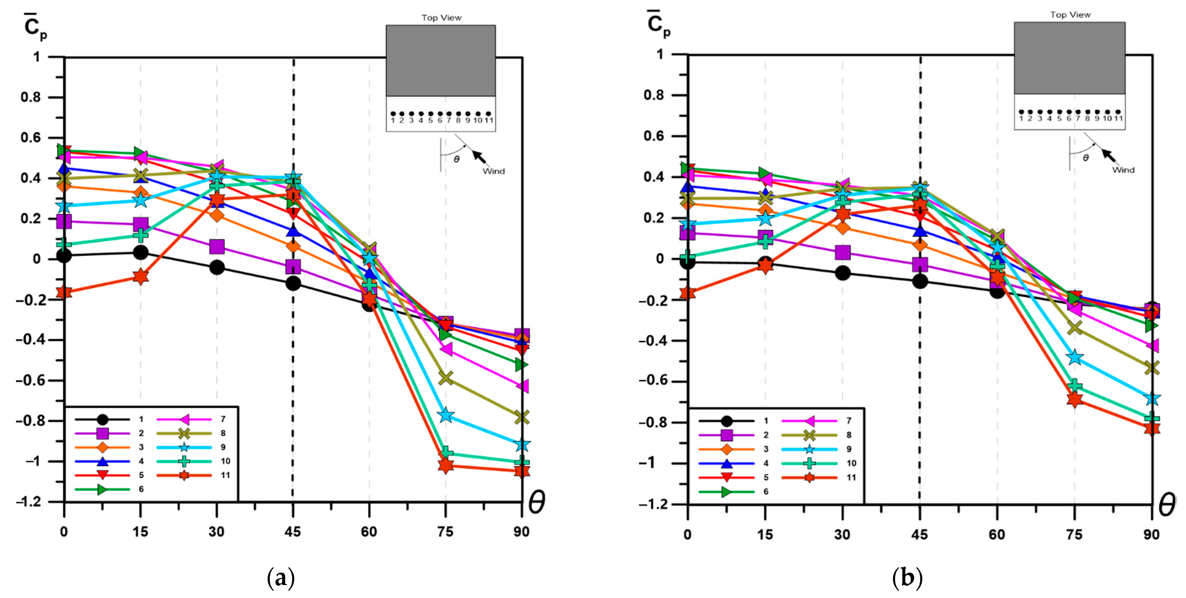
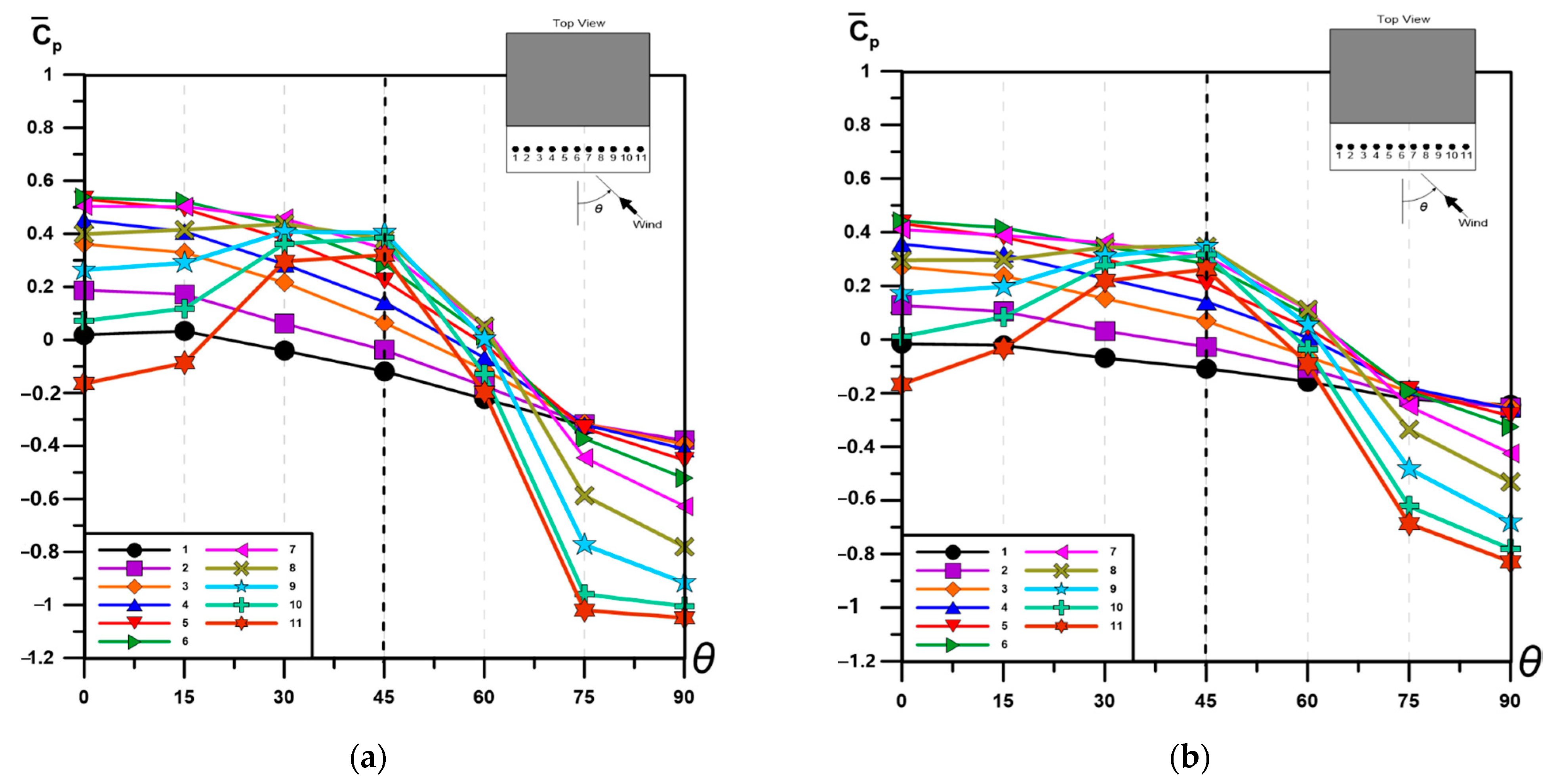
3.1. Average Wind Pressure Coefficient Distribution of End-Type Piloti
3.2. Peak Wind Pressure Coefficient Distribution of End-Type Piloti
3.3. Average Wind Pressure Coefficient Distribution of Corner-Type Piloti
3.4. Peak Wind Pressure Coefficient Distribution of Corner-Type Piloti
4. Conclusions
- (1)
- For the end-type piloti, the peak wind pressure coefficient of the ceiling was high. Regardless of the height of the building, the maximum peak wind pressure coefficient was noted at the center, and the minimum peak wind pressure coefficient was noted at the corner of the inlet. The maximum wind pressure coefficient at the city center was 1.4–1.7 times larger than that in the suburbs. This difference was attributed to the effects of surface roughness.
- (2)
- For the end-type piloti, flow velocity increased as the interior of the piloti became narrower, and the internal wind pressure coefficient exhibited a similar trend. For the through-type piloti, the internal wind pressure coefficient was affected by the shape of the piloti rather than the height of the building.
- (3)
- The maximum wind pressure coefficient for the corner-type piloti was noted at the inside of the corner, whereas the minimum peak wind pressure coefficient was noted at the outer edge of the ceiling. The maximum peak wind pressure coefficient for urban areas was approximately 1.2–1.5 times larger than that in the suburbs. This is attributed to the influence of the velocity and turbulence intensity depending on the surface roughness.
- (4)
- For the corner-type piloti, as the height of the building increases, the wind flows through the high-rise portion of the building. Therefore, the influence of wind at the lower portion of the building decreases; this leads to a decrease in the wind speed. The structure of the corner-type piloti affected the wind flow inside the piloti as the height of the building increased. For the corner- and end-type pilotis, as the aspect ratio increases, the peak pressure decreases, regardless of the wind direction (θ = 45° or 90°).
Author Contributions
Funding
Institutional Review Board Statement
Informed Consent Statement
Data Availability Statement
Conflicts of Interest
References
- Baghaei, D.A. Designing a Model of Affordable Housing in Tall Building with a Focus on the Use of Environmental Factors in Humid Subtropical Climate—Roofing Rasht. Master’s Thesis, Department of Architecture, Islamic Azad University, Rasht, Iran, 2017. [Google Scholar] [CrossRef]
- Davenport, A.G. The response of six building shapes to turbulent wind. Philos. Trans. R Soc. A 1971, 269, 385–394. [Google Scholar] [CrossRef]
- Kwok, K.C.S. Effect of building shape on wind-induced response of tall buildings. J. Wind Eng. Ind. Aerodyn. 1988, 28, 381–390. [Google Scholar] [CrossRef]
- Dutton, R.; Isyumov, N. Reduction of tall building motion by aerodynamic treatments. J. Wind Eng. Ind. Aerodyn. 1990, 36, 739–747. [Google Scholar] [CrossRef]
- Kareem, A.; Kijewski, T.; Tamura, Y. Mitigation of motion of tall buildings with specific examples of recent applications. Wind Struct. 1989, 2, 201–251. [Google Scholar] [CrossRef]
- Cooper, K.R.; Nakayama, M.; Sasaki, Y.; Fediw, A.A.; Resende-Ide, S.; Zan, S.J. Unsteady aerodynamic force measurements on a super-tall building with a tapered cross section. J. Wind Eng. Ind. Aerodyn. 1997, 72, 199–212. [Google Scholar] [CrossRef]
- Kim, Y.; Kanda, J. Characteristics of aerodynamic forces and pressures on square plan buildings with height variations. J. Wind Eng. Ind. Aerodyn. 2010, 98, 449–465. [Google Scholar] [CrossRef]
- Miyashita, K.; Katagiri, J.; Nakamura, O.; Ohkuma, T.; Tamura, Y.; Itoh, M.; Mimachi, T. Wind-induced response of high-rise buildings Effects of corner cuts or openings in square buildings. J. Wind Eng. Ind. Aerodyn. 1993, 50, 319–328. [Google Scholar] [CrossRef]
- Isyumov, N.; Dutton, R.; Davenport, A.G. Aerodynamic Methods for Mitigating Wind-induced Building Motions. In Proceedings of the American Society of Civil Engineering (ASCE) Structures Congress, San Francisco, CA, USA, 1–5 May 1989. [Google Scholar]
- Kelly, D.; Poon, D.; Irwin, P.A.; Xie, J. Wind Engineering Studies for Shanghai Centre Tower; RWDI Report; RWDI: Milton Keynes, UK, 2009. [Google Scholar]
- Tse, K.T.; Hitchcock, P.A.; Kowk, K.C.S.; Thepmongkorn, S.; Chan, C.M. Economic perspectives of aerodynamic treatments of square tall buildings. J. Wind Eng. Ind. Aerodyn. 2009, 97, 455–467. [Google Scholar] [CrossRef]
- Jo, J.H.; Gil, Y.S. Evaluation of Wind Effect for Piloti Space of Buildings Using Numerical Analysis Method; The Wind Engineering Institute of Korea (WEIK): Seongam, Korea, 2014; pp. 47–50. [Google Scholar]
- Xi, T.Y.; Ding, J.H.; Jin, H. Study on the influence of piloti on mean radiant temperature in residential blocks by 3-D unsteady state heat balance radiation calculation. J. Harbin Inst. Tech. 2014, 20, 91–95. [Google Scholar]
- Kuo, C.Y.; Tzeng, C.T.; Ho, M.C.; Lai, C.M. Wind tunnel studies of a pedestrian-level wind environment in a street canyon between a high-rise building with a podium and low-level attached houses. Energies 2015, 8, 10942–10957. [Google Scholar] [CrossRef]
- Zhou, Z.; Deng, Q.; Mochida, A. Climatically Adapted Piloti Arrangement and Ratio of Residential Blocks in a Subtropical Climate City. In Proceedings of the ICUC9: 9th International Conference on Urban Climate, Toulouse, France, 20–24 July 2015. [Google Scholar]
- Liu, J.; Niu, J.; Mak, C.M.; Xia, Q. Pedestrian level turbulent wind flow around an elevated building. Procedia Eng. 2017, 205, 1004–1010. [Google Scholar] [CrossRef]
- Kim, G.H. Characteristics of Design Wind Pressure Coefficient Distribution for Piloti Exterior of Tall Buildings. Master’s Thesis, Chonbuk National University, Jeonju, Korea, 2018. [Google Scholar]
- Woo, S.H.; Shin, D.H.; Ryu, H.J.; Ha, Y.C. Estimation of wind pressure coefficients for wind resistance design on penetration piloti of middle and low-rise buildings. J. Wind Eng. Inst. Korea 2019, 23, 57–65. [Google Scholar]
- Ryu, H.J.; Shin, D.H.; Woo, S.H.; Ha, Y.C. Proposed wind pressure coefficients for wind resistance design on penetration and all open piloti of high-rise buildings. J. Wind Eng. Inst. Korea 2020, 24, 23–35. [Google Scholar] [CrossRef]
- Shin, D.H. Proposed Wind Pressure Coefficients for Wind Resistance Design on Penetration and All Open Piloti of High-Rise Buildings. Master’s Thesis, Kumoh National Institute of Technology, Gyeongbuk, Korea, 2020. [Google Scholar]
- Tanaka, H.; Tamura, Y.; Ohtake, K.; Nakai, M.; Kim, Y.C.; Bandi, E.K. Aerodynamic and flow characteristics of tall buildings with various unconventional configurations. Int. J. High Rise Build. 2013, 2, 213–228. [Google Scholar]
- Yi, L.; Zhang, J.W.; Li, Q.S. Experimental investigation of characteristics of torsional wind loads on rectangular tall buildings. Struct. Eng. Mech. 2014, 49, 129–145. [Google Scholar] [CrossRef]
- Huang, S.; Li, R.; Li, Q.S. Numerical simulation on fluid-structure interaction of wind around super-tall building at high Reynolds number conditions. Struct. Eng. Mech. 2013, 46, 197–212. [Google Scholar] [CrossRef]
- Tanaka, H.; Tamura, Y.; Ohtake, K.; Nakai, M.; Kim, Y.C. Experimental investigation of aerodynamic forces and wind pressures acting on tall buildings with various unconventional configurations. J. Wind Eng. Ind. Aerodyn. 2012, 107–108, 179–191. [Google Scholar] [CrossRef]
- Kwon, D.K.; Kareem, A. Comparative study of major international wind codes and standards for wind effects on tall buildings. Eng. Struct. 2013, 51, 23–35. [Google Scholar] [CrossRef]
- Kim, Y.C.; Kanda, J. Wind pressures on tapered and set-back tall buildings. J. Fluids Struct. 2013, 39, 306–321. [Google Scholar] [CrossRef]
- Xu, Z.; Xie, J. Assessment of across-wind responses for aerodynamic optimization of tall buildings. Wind Struct. 2015, 21, 505–521. [Google Scholar] [CrossRef]
- Giappino, S.; Rosa, L.; Tomasini, G.; Zasso, A. An aerodynamic and aeroelastic experimental study on a sectional and three-dimensional rectangular tall building. Struct. Des. Tall Spec. Build. 2016, 25, 139–157. [Google Scholar] [CrossRef]
- Kumar, S.H.; Rajan, S.S.; Andrew, J.A.; Babu, R.G.; Rao, S.N.K.; Jawahar, G.J. Aerodynamic coefficients for a rectangular tall building under sub-urban terrain using wind tunnel. Asian J. Civ. Eng. 2016, 17, 325–333. [Google Scholar]
- Mou, B.; He, B.; Zhao, D.; Chau, K. Numerical simulation of the effects of building dimensional variation on wind pressure distribution. Eng. Appl. Comput. Fluid Mech. 2017, 11, 293–309. [Google Scholar] [CrossRef]
- Elshaer, A.; Bitsuamlak, G.; Damatty, A. Enhancing wind performance of tall buildings using corner aerodynamic optimization. Eng. Struct. 2017, 136, 133–148. [Google Scholar] [CrossRef]
- Mittal, H.; Sharma, A.; Gairola, A. A review on the study of urban wind at the pedestrian level around buildings. J. Build. Eng. 2018, 18, 154–163. [Google Scholar] [CrossRef]
- Bairagi, A.K.; Dalui, S.K. Comparison of aerodynamic coefficients of setback tall buildings due to wind load. Asian J. Civ. Eng. 2018, 19, 205–221. [Google Scholar] [CrossRef]
- Khosravani, M.R.; Silani, M.; Weinberg, K. Fracture studies of Ultra-High Performance Concrete using dynamic Brazilian tests. Theor. Appl. Fract. Mech. 2018, 93, 302–310. [Google Scholar] [CrossRef]
- Long, W.; Wang, Y. Effect of pine needle fibre reinforcement on the mechanical properties of concrete. Constr. Build. Mater. 2021, 278, 122333. [Google Scholar] [CrossRef]
- Li, Y.; Li, C.; Li, Q.S.; Song, Q.; Huang, X.; Li, Y.G. Aerodynamic performance of CAARC standard tall building model by various corner chamfers. J. Wind Eng. Ind. Aerod. 2020, 202, 104197. [Google Scholar] [CrossRef]
- Melbourne, W.H. Comparison of measurements on the CAARC standard tall building model in simulated model wind flows. J. Wind Eng. Ind. Aerod. 1980, 6, 73–88. [Google Scholar] [CrossRef]
- Braun, A.L.; Awruch, A.M. Aerodynamic and aeroelastic analyses on the CAARC standard tall building model using numerical simulation. Comput. Struct. 2009, 87, 564–581. [Google Scholar] [CrossRef]
- Huang, P.; Gu, M.; Quan, Y. Wind tunnel test research on CAARC standard tall building model. Chin. Q. Mech. 2008, 29, 627–633. [Google Scholar]
- You, J.Y.; Nam, B.H.; You, K.P. A study on the distribution of the peak wind pressure coefficient for the wind resistant design of rooftop hoardings in high-rise buildings. Int. J. Eng. Res. Technol. 2018, 11, 1583–1594. [Google Scholar]
- AIK (Architectural Institute of Korea). Korean Building Code-Structural; Kimoondang: Seoul, Korea, 2009; pp. 99–101. [Google Scholar]












| Authors | Year | Description |
|---|---|---|
| Tanaka et al. | 2012 | This experimental study was conducted on the effect of aerodynamic forces and wind pressures on square-plan tall building shapes with various configurations, such as chamfered, set-back, and helical [21]. |
| Kwon and Kareem | 2013 | In this study, eight international codes and standards for wind effects on tall buildings were reviewed: ASCE 2010 (USA), AS/NZ 2011 (Australia and New Zealand), AIJ 2004 (Japan), CNS 2012 (China), NBCC 2010 (Canada), Eurocode 2010 (Europe), ISO 2009, and IWC 2012 (India) [25]. |
| Kim and Kanda | 2013 | The purpose of this study was to investigate the effects of spatio-temporal characteristics of pressure fluctuations on tall buildings with taper and set-back forms [26]. |
| Xu and Xie | 2015 | This study assessed cross-wind effects on tall buildings with corner modifications, including chamfered corners and recessed corners, and aerodynamic forms, such as tapering, stepping, and twisting [27]. |
| Giappino et al. | 2016 | This paper presented a building corner aerodynamic optimization procedure for decreasing the wind effect based on a surrogate model. Wind forces and pressure distributions were measured [28]. |
| Kumar et al. | 2016 | An experimental approach was used in this study to examine wind pressure at all four faces of a tall rectangular building. Wind pressure, drag coefficient, lift, and torsional effects were considered in the models developed [29]. |
| Mou et al. | 2017 | This study was performed to determine wind pressure distributions around squared-shaped tall buildings by various ratios, based on computational fluid dynamics (CFD) techniques [30]. |
| Elshaer et al. | 2017 | This study presented a building corner aerodynamic optimization procedure to decrease wind effects, based on a surrogate model [31]. |
| Mittal et al. | 2018 | This study presented a review of methods for evaluating wind pedestrian level, different wind comfort criteria, and various techniques for evaluating wind velocity at the pedestrian level [32]. |
| Bairagi and Dalui | 2018 | This study analyzed and compared two set-back buildings in terms of pressure, force, and torsional effects [33]. |
| Type of Piloti | Piloti | Building | |||
|---|---|---|---|---|---|
| b × d | h | B × D | H | ||
| End-type | 12 × 36 | 4.5 | 36 × 36 | 90 | Case 1 |
| 120 | Case 2 | ||||
| 150 | Case 3 | ||||
| Corner-type | 18 × 18 | 4.5 | 36 × 36 | 90 | Case 4 |
| 120 | Case 5 | ||||
| 150 | Case 6 | ||||
| Roughness C (α = 0.15) | Roughness A (α = 0.33) | |||||
|---|---|---|---|---|---|---|
| Model scale | 1/300 | 1/300 | ||||
| Height of building (m) | 90 | 120 | 150 | 90 | 120 | 150 |
| Basic wind velocity (m/s) | 35 | 25 | ||||
| Design wind velocity (m/s) | 51.1 | 53.5 | 55.4 | 24.3 | 26.7 | 28.7 |
| Experiment velocity (m/s) | 5.6 | 5.9 | 6.1 | 4.0 | 4.4 | 4.7 |
| Velocity scale | 9.1 | 6.1 | ||||
| Time scale | 33.1 | 49.4 | ||||
| Sampling frequency (Hz) | 333 | 500 | ||||
| Experiment time (s) | 182 | 120 | ||||
| Ensemble average | 10 times | |||||
| Items | Conditions | Remarks |
|---|---|---|
| Roughness (α) | 0.15, 0.33 | 2 conditions |
| Piloti type | End-edge, Corner-edge | 2 conditions |
| Wind directions (o) | 0, 15, 30, 45, 60, 75, 90 | 7 conditions |
| Surface Roughness | Height Above Ground Surface Beginning of Atmospheric Boundary Layer (Zb, m) | Normal Height of Atmospheric Boundary Layer (Zg, m) | Wind Speed Profile Factor (α) | Ground Surface Roughness of Surrounding |
|---|---|---|---|---|
| A | 20 | 550 | 0.33 | Large city centers with numerous closely spaced buildings higher than 10 stories (Urban area) |
| B | 15 | 450 | 0.22 | Urban areas with numerous closely spaced obstructions having the size of single-family dwellings with the height of 3.5 m |
| C | 10 | 350 | 0.15 | Open terrain with scattered obstructions having heights of 1.5–10 m (Suburban area) |
| D | 5.0 | 250 | 0.10 | Sea surface or open areas with scattered obstructions with heights generally lower than 1.5 m |
Publisher’s Note: MDPI stays neutral with regard to jurisdictional claims in published maps and institutional affiliations. |
© 2021 by the authors. Licensee MDPI, Basel, Switzerland. This article is an open access article distributed under the terms and conditions of the Creative Commons Attribution (CC BY) license (https://creativecommons.org/licenses/by/4.0/).
Share and Cite
You, J.; Lee, C. Experimental Study on the Effects of Aspect Ratio on the Wind Pressure Coefficient of Piloti Buildings. Sustainability 2021, 13, 5206. https://doi.org/10.3390/su13095206
You J, Lee C. Experimental Study on the Effects of Aspect Ratio on the Wind Pressure Coefficient of Piloti Buildings. Sustainability. 2021; 13(9):5206. https://doi.org/10.3390/su13095206
Chicago/Turabian StyleYou, Jangyoul, and Changhee Lee. 2021. "Experimental Study on the Effects of Aspect Ratio on the Wind Pressure Coefficient of Piloti Buildings" Sustainability 13, no. 9: 5206. https://doi.org/10.3390/su13095206
APA StyleYou, J., & Lee, C. (2021). Experimental Study on the Effects of Aspect Ratio on the Wind Pressure Coefficient of Piloti Buildings. Sustainability, 13(9), 5206. https://doi.org/10.3390/su13095206

