Abstract
This study presented the investigation on indirect Cr (VI) bioreduction process by anaerobic sludge produced from kitchen waste (ASKW) using an external source of glucose and sulfate to favor the reducing environment. These compounds were added at the beginning of the experiment along with 500 mg·L−1 Cr (VI). The system containing 1 g of glucose and 2 g of sulfate attained a higher reduction, which was 10% higher than that of the control experiment. This study indicated that a neutral environment (pH ~7), along with a high release of polysaccharides (PS), improved the removal efficiency by Cr (VI) bioreduction process. Desulfovibrio and Sulfurospirillum (genus level), which accounted for 3% and 1% of the whole microorganism, respectively, were responsible for the sulfidogenic reaction. Additionally, Thermovirga (genus level) reduced from 14% to 11% and 10%. These microorganisms contributed to dominating the indirect Cr (VI) bioreduction process. SEM and FTIR analysis of the sludges obtaining from the indirect Cr (VI) bioreduction systems indicated that the external glucose could facilitate the formation of looser porous structures and richer functional groups of sludges, thus adsorbing more Cr (III) to reduce its toxicity. Meanwhile, the intensity of the hydroxyl bond, which possesses strong reducibility, was much higher after adding external glucose. Chromate reductase gene (chrR) and sulfite reductase gene (dsrA) contributed to the indirect Cr (VI) bioreduction process. These might be the main mechanisms of the external glucose acting on indirect Cr (VI) bioreduction by ASKW.
1. Introduction
Chromium is frequently observed in trivalent (Cr (III)) and hexavalent (Cr (VI)) forms in natural water [1]. Cr (VI) is identified as one of 17 chemicals and had a threat to humans described by the United States Environmental Protection Agency (US EPA). However, Cr (III) is less mobile, more stable, and almost nontoxic, compared to Cr (VI). Thus, reducing Cr (VI) to Cr (III) is considered a significantly effective approach for removing chromium [2]. Among the various chromium removal methods, biological conversion (especially using bacteria and fungi) has been proven to be attractive and cost-effective because of its high efficiency, low operating cost, short operation time, and eco-friendliness [3,4].
In the environment, CrO42− could be directly reduced to Cr (III) by using organics as electron donors through the cytochromes of microorganisms (Equation (1)). Furthermore, natural anaerobe metabolites, such as H2S which are generated by sulfate-reducing bacteria (SRB) in the presence of sulfate, are effective indirect chemical Cr (VI) reductants under anoxic environmental conditions (Equations (2) and (3)) [5]. The study indicated that the SRB method was regarded as a bioresource technology, which was more sustainable and stable, compared to synthetic technologies [6]. Under anaerobic conditions, the biological reduction is slow; thus, abiotic reduction by sulfide tends to be the dominant process [7]. However, the potential for indirect Cr (VI) bioreduction process is limited by SRB growth under high Cr (VI) concentration because SRB may be more sensitive to Cr (VI) than other anaerobic bacteria [8,9,10]. Marsh et al. [11] reported that sulfate-reducing activity was totally inhibited when the Cr (VI) concentration was higher than 25 mg·L−1. Therefore, in order to improve the removal efficiency of Cr (VI) bioreduction under anaerobic conditions, it is necessary to increase the tolerance of SRB on the toxicity of Cr (VI) at high concentration levels.
Direct Cr(VI) bioreduction:
3CH2O + 4CrO42− + 7H2O → 4Cr(OH)3 + 5OH− + 3HCO3−
Indirect Cr(VI) bioreduction with sulfate as the electron acceptor:
2CH2O + SO42− → H2S + 2HCO3− + 3H+
2CrO4− + 3H2S + 4H+ → 2Cr(OH)3 + 3S0 + 2H2O
As shown in Equations (1)–(3), the carbon sources are significant in both direct and indirect Cr (VI) bioreduction processes. It was previously reported that chromate-reducing microorganisms might utilize a variety of organic carbon sources as electron donors for Cr (VI) reduction [12,13]. Meanwhile, the real toxicity of Cr (VI) could be masked or underestimated due to the complexation of Cr (VI) after adding organic carbon sources [14]. Garbisu et al. [15] reported that the addition of glucose could cause a dramatic increase in the rate of chromate reduction catalyzed by the soluble fraction of cell-free extracts of Bacillus subtilis. The addition of these organic carbon sources played an important role in improving Cr (VI) bioreduction by the stimulation of microorganisms for providing more electron donors [16,17]. Overall, the carbon source into pure cultures could reduce the toxicity of chromate on microorganisms. However, few studies paid attention to the effect of organic components on indirect Cr (VI) bioreduction by mixed cultures that contained different microbes.
Recently, several researchers verified that mixed sludge that enriched microbial population could reduce chromium polluting potential, thus avoiding the high cost of strain cultivating [18,19,20]. These studies overcame the weaknesses of the poor adaptability of the single strain in the field environmental conditions [17]. However, the main mechanisms of the external carbon source acting on the indirect Cr (VI) bioreduction by the anaerobic mixed microflora obtained from the mixed sludge have not been studied. The application of the mixed sludge could provide a microbial consortium in which various microorganisms could use different metabolic pathways for Cr (VI) bioreduction [21]. Therefore, in the present study, the effect of external carbon sources on the indirect Cr (VI) bioreduction at a higher concentration using the mixed sludge was investigated. Meanwhile, the microbial community, the morphology, and the chemical structure of sludge were also taken into account to explore the mechanisms of the indirect Cr (VI) bioreduction. Specifically, chromate reductase and sulfite reductase genes were quantified to reveal the bioreduction mechanisms of Cr (VI) by anaerobic mixed microflora. The results might provide deep insights into the interaction between Cr (VI) and sludge in the Cr (VI) bioreduction process and provide a reference for reducing the toxicity of Cr (VI) in the environment.
2. Materials and Methods
2.1. Materials
The initial sludge was achieved from Kitchen Waste Treatment Plant (Green Invest Environmental Technology Company, Qingdao, China) after the thickening procedure. The chemical components of ASKW were shown as follows: pH 8.0, moisture 71%, total solids 29%, and volatile solids 12.7%. To obtain a final solid content of 30%, anaerobic sludge was prepared by mixing distilled water and ASKW by a proportion of 3:7 and then was stored at 4 °C in an anaerobic station till further use. To obtain microbe-free anaerobic sludge, it was autoclaved at 121 °C for 20 min.
Potassium dichromate (K2Cr2O7) was purchased from Sinopharm Chemical Reagent Co., Ltd., Shanghai, China. 1000 mg·L−1 Cr (VI) solution (0.3734 g K2Cr2O7 dissolved into 100 mL distilled water) was mixed with the same volume of anaerobic sludge to build Cr (VI) bioreduction system; thus, the initial Cr (VI) concentration was kept for 500 mg·L−1.
2.2. Building Cr (VI)-Reducing Systems
Sulfate was added into ASKW to create a Cr (VI) bioreduction system including the indirect bioreduction process. A total of 2 g carbon sources of glucose, alcohol, and starch were used to evaluate their effects with anaerobic sludge on the reduction of high concentration Cr (VI) (500 mg L−1) at 25 °C (Figure S1). The Cr (VI) removal efficiency of the system with glucose as the carbon source was 10% higher than that of the system without an external carbon source, while the Cr (VI) removal efficiency of the system with alcohol and starch as carbon sources was not obvious. Therefore, glucose was selected as the carbon source for exploring its effect on the indirect Cr (VI) bioreduction by ASKW in this study. The optimal conditions of Cr (VI) bioreduction were explored by orthogonal experiment (Table S1). The removal efficiency of Cr (VI) was selected as the objective function. Three factors were selected, which included sulfate dosage (1, 2, and 3 g), glucose dosage (1, 2, and 3 g), and temperature (25, 30, and 35 °C), respectively. The optimal conditions of sulfate dosage (2 g), glucose dosage (1 g), and temperature (35 °C) were obtained before the addition of Cr (VI) to study their effects on the Cr (VI) bioreduction.
Different Cr (VI) bioreduction systems (shown in Table S2) were established, and then 500 mg L−1 Cr (VI) was added into these systems to start the Cr (VI) reduction processes. It was worth noting that five Cr (VI) bioreduction systems were placed in a 35 °C incubator for one day of anaerobic prefermentation to activate sludge microorganisms before the addition of Cr (VI). The removal efficiency of Cr (VI) by the sulfate reduction was regarded as the indirect Cr (VI) bioreduction in this study. The removal efficiency of the indirect Cr (VI) bioreduction was calculated by the following equation:
where E represented the removal efficiency of indirect Cr (VI) bioreduction by the sulfate reduction; F presented the ideal removal efficiency of Cr (VI) (100%); G represented the removal efficiency of direct Cr (VI) bioreduction by microorganisms existed in ASKW; H described the removal efficiency by abiotic Cr (VI) reduction by reducing substances existed in ASKW; I showed the residual removal efficiency of Cr (VI).
E = (F − G − H − I)
2.3. Changes of Chemical Substances in Cr (VI) Bioreduction Systems
Total dissolved Cr (VI) concentration was determined according to the standard method [22]. The pH values were measured by pH400 of Alalis. Extracellular polymeric substances (EPS) were extracted from sludge using the heat extraction method [23]. Briefly, a 500 mL sludge sample was centrifuged at 4300 rpm for 5 min. The separated sludge was diluted to the initial volume (500 mL) with 70 °C and 0.05% NaCI solution. The mixed sludge was shaken at 60 rpm for 1 min and then centrifuged at 4300 rpm for 10 min. The supernatant was filtered by a 0.45 µm filter membrane. The supernatant was added into a 14 kDa dialysis bag (volume ratio: 1:10) and dialyzed at 4 °C for 24 h for the subsequent EPS analysis. Polysaccharide (PS) contents in the EPS were then quantified following the anthrone–sulfuric acid method, using glucose as the standard sample [24,25]. The viability of the microbial community in sludge was additionally assessed by the live–dead staining assay according to the manufacture’s guidelines (BacLight Cell Viability Assays, Thermo Fisher Scientific, Singapore). Stained samples were observed and image acquisition of the sludge community was conducted by using a super-resolution multiphoton confocal microscope (TCS SP8 STED 3X, Leica, Wetzlar, Germany) equipped with an argon ion laser at 488 nm (for SYTO9) and a diode laser at 561 nm (for propidium iodide) for excitation. Multiple images were captured randomly for quantitative image analysis using ImageJ. All the experiments were performed in triplicates, and the mean values were represented and used ultimately.
2.4. Bacterial Community Analysis
Sludge samples were collected at the beginning of the CK group, Group B at 96 h, and Group C at 96 h. The bacterial community structure was analyzed using pyrosequencing technology. Bacteria abundance was quantified using real-time PCR. The primer sets 338F (5′-ACTCCTACGGGAGGCAGCA-3′), and 806R (5′-GGACTACHVGGGTWTCTAAT-3′) of 16S rRNA were used to target all bacteria (sourced from Shanghai (China) Majorbio Bio-Pharm Technology Co., Ltd.) (Table S3).
2.5. Morphology Characterization of Sludge
To determine the morphological changes of sludge at different Cr (VI) bioreduction conditions, initial sludge, Group B, and Group C at 96 h were centrifuged at 4000 rpm for 5 min. The sludges at the bottom were obtained, which were dried at 105 °C to constant weight, and then crushed and sieved to 100 screen mesh for the subsequent SEM and FTIR analysis. SEM investigation was performed by SEM (Sirion 200, FEI, Hillsboro, OR, USA), coupled with EDS (INCA X-Act, Oxford, UK). The specific test conditions were as follows: voltage, 5.00 kV; magnification, 20,000 times; working distance, 4.9; scale, 2 µm; scanning mode, SE. Additionally, the point scan was performed by specifying the elements of C, O, Mg, Al, Si, P, S, K, Ca, Cr, and Fe. The surface chemical characteristics of sludge were characterized by Fourier transform–infrared spectrometer (FTIR, Nicolet iS5, Thermo Fisher Scientific, Waltham, MA, USA). The screened sludges were mixed with KBr (1:100) in the agate mortar. The mixture is evenly put into the mold for tablet pressing, and then the prepared samples were placed in the solid sample holder of FTIR for testing. It was worth noting that the background subtraction needed to be performed before sample collection.
2.6. Determination of Adsorbed, Intracellular, and Intercellular Cr (VI) and Cr (III) in Sludge
The concentration of adsorbed, intracellular, and intercellular Cr (VI) and Cr (III) in sludge were determined according to the method reported by Novotnik [26]. Sludge samples of Group B and Group C at 96 h were centrifuged (1500 rpm, 15 min) and washed with K2HPO4 (0.05 mol·L−1) and NaCl (0.04 mol·L−1) solutions. The cleaned sludges were added with 20 mL of the above concentrations of K2HPO4 and NaCl solutions at pH 8 and shaken for 30 min at 150 rpm. The supernatant was collected to determine the adsorbed Cr and Cr(VI) by inductively coupled plasma–mass spectrometry (ICP–MS) analysis. The obtained activated sludge residue was used to determine intracellular and intercellular Cr and Cr(VI) as introduced in Speciation analysis of Cr in the batch growth system filtrate [26].
2.7. Quantitative Analysis of the Functional Genes Related to Cr (VI) Bioreduction Systems
The primers and annealing temperature were designed by Premier 5.0 software to extract functional genes related to chromate and sulfite reductase in anaerobic sludge. Meanwhile, the fluorescence quantitative analysis was carried out. The results of primer design for chromate reductase and sulfite reductase gene are shown in Table S1.
3. Results and Discussion
3.1. Removal Efficiency of Cr (VI) by ASKW in Different Bioreduction Systems
The removal efficiency of Cr (VI) by ASKW in different bioreduction systems is shown in Figure 1. It is demonstrated that 65.9% of 500 mg·L−1 Cr (VI) could be removed by ASKW at 96 h in the CK group, in which 45% of Cr (VI) was reduced by various kinds of reducing substances existed in ASKW, such as humus, citric acid, and fatty acid [27]. There were no obvious differences among the four Cr (VI) reduction systems by ASKW at the initial 48 h, while distinct differences appeared in both group B and group C at 72 h. It proves that the indirect reduction rate of Cr (VI) is mainly dependent on the biological sulfate reduction rate [28]. The results indicate that indirect Cr (VI) bioreduction is dominant in the succeeding reaction stage. The removal rate of Cr (VI) achieved 65.9% and 66.9% at 96 h in CK and Group A, respectively, in which the pathways of Cr (VI) removal could be ascribed to direct Cr (VI) bioreduction process. The removal rate of Cr (VI) achieved 87.7% and 98.7% at 96 h in Group B and Group C, in which 21.8% and 31.8% of them belonged to the indirect bioreduction process, respectively. The possible pathways of Cr (VI) reduction by ASKW in different systems are shown in Table 1. It is implied that adding external glucose into ASKW has no significant influence on direct Cr (VI) bioreduction by the comparison of CK and Group A. However, it is noteworthy that adding external glucose into ASKW could improve the indirect Cr (VI) bioreduction efficiency obviously by the comparison of Group B and Group C. Thus, the mechanisms of the stimulatory effects of adding glucose to indirect Cr (VI) bioreduction system was analyzed subsequently.
Figure 1.
Cr (VI) removal efficiency by ASKW in different Cr (VI) reduction systems. Microbe-free anaerobic sludge represented Cr (VI) reduction by sterilized ASKW, CK represented Cr (VI) reduction by original ASKW, Group A represented Cr (VI) reduction by ASKW after adding glucose, Group B represented Cr (VI) reduction by ASKW after adding sulfate, Group C represented Cr (VI) reduction by ASKW after adding glucose and sulfate. Error bars show the standard deviations from the duplicate tests.
Table 1.
Pathways of Cr (VI) reduction by ASKW at 96 h Table 1. Pathways of Cr (VI) reduction by ASKW at 96 h in different systems. Microbe-free anaerobic sludge represented Cr (VI) reduction by sterilized ASKW, CK represented Cr (VI) reduction by original ASKW, Group A represented Cr (VI) reduction by ASKW after adding glucose, Group B represented Cr (VI) reduction by ASKW after adding sulfate, Group C represented Cr (VI) reduction by ASKW after adding glucose and sulfate. Error bars show the standard deviations from the duplicate tests.
3.2. Interenvironment of Indirect Cr (VI) Bioreduction Systems
The addition of sulfate into Group B and Group C created Cr (VI) bioreduction systems, including direct and indirect Cr (VI) bioreduction processes. Compared with Group B, the external glucose into Group C had no significant influence on direct Cr (VI) bioreduction but had an obvious effect on the indirect process. Thus, Group B and Group C were described as indirect Cr (VI) bioreduction systems as follows. As shown in Table 2, one-day anaerobic prefermentation could provide a more suitable environment for Cr (VI) bioreduction in Group C. This might be explained by the fact that both direct and indirect Cr (VI) bioreductions were more competitive in neutral and weak acidic environments. Group C was more conducive for Cr (VI) reduction because the acidic substrate of VFA produced from glucose at the pH of (6.9 ± 0.1) could build a neutral environment [29], in which sulfide released from sulfate could strongly reduce Cr (VI) into Cr (III). The pH in Group B presenting an increasing trend might be due to that Group B had a relatively weaker Cr (VI) bioreduction capacity, compared to Group C, and the less VFA was produced in this group. Simultaneously, Group C was accompanied with higher polysaccharides (PS) release than that of Group B during 96 h. The PS could provide protection from harsh environmental conditions and aid in the attachment of the organisms to a vast variety of biotic and abiotic surfaces [30,31].
Table 2.
Inter-environment of two indirect Cr (VI) bio-reduction systems. Group B represented Cr (VI) reduction by ASKW after adding sulfate, Group C represented Cr (VI) reduction by ASKW after adding glucose and sulfate.
After exposing to 500 mg·L−1 Cr (VI) solution for 96 h, the percentage of viable bacteria was decreased from 74.9% to 51.6% and 50.8% in Group B and Group C, respectively. Qian et al. [28] reported that the percentage of viable bacteria in sludge that was withdrawn from a USAB reactor was decreased from 78% to 50–71% after exposure to 25 mg·L−1 Cr (VI). Although a little higher cell viability was possessed in the present study, the concentration of Cr (VI) solution in our research was 20 times higher than that of the report by Qian et al. [28]. These results suggest that biological sulfate reduction might happen by intracellular enzymes. Meanwhile, excess sulfate, which is transferred into bacteria cells, could produce side effects on bacteria viability. In general, the interenvironment of Group C, which was formed by additional glucose, was more suitable for Cr (VI) bioreduction, especially for the indirect bioreduction process.
3.3. Bacterial Community in Indirect Cr (VI) Bioreduction Systems
Proteobacteria, Firmicutes, and Bacteroidetes were the three predominant phyla in three different sludge samples, including the original sludge sample, group B, and Group C (Figure S2). The proportions of Proteobacteria in the three kinds of sludge samples were 11.4%, 24.6%, and 16.6%, respectively. However, the proportions of Firmicutes and Bacteroidetes in the three kinds of sludge samples were (21.8%, 23.7%, and 45.9%) and (20.4%, 22.5%, and 10.2%), respectively. Previous studies showed that the presence of Cr (VI) had no influence on the viability of Proteobacteria, which were able to resist and reduce Cr (VI) present in the cultivation medium [32]. Meanwhile, Firmicutes was also reported as a chromium-resistant bacterium that could bioreduce Cr (VI).
The different genera belonged to the phyla of Proteobacteria, Firmicutes, and Bacteroidetes, including (Paenalcaligenes, Syntrophaceae, Sulfurospirillum, Desulfovibrio, Acinetobacter, Arcobacter, Comamonas, Alcaligene, Pseudomonas, and Oceanobacter) (Proteobacteria), (Streptococcus, Sporosarcina, Lysinibacillus, Syntrophomonas, Thermovirga, Peptostreptococcus, Tissierella, Fastidiosipila, Sedimentibacter, and Bacillus) (Firmicutes) and (Proteiniphilum, Bacillus, Brumimicrobium, Bacteroides, Petrimonas, Bacteroidetes, and Porphyromonadaceae) (Bacteroidetes), respectively (Figure 2). At the genus level, Thermovirga was dominant in Cr ( VI ) bioreduction systems. At the end of the Cr ( VI ) bioreduction process, the population of Thermovirga was decreased from 14% to 11% and 10% in Group B and Group C, respectively. It seems that Thermovirga was not sensitive to the high toxicity of Cr ( VI ), and it played a leading role in the remediation of hexavalent chromium. The remarkable shift of Acinetobacter and Lysinibacillus, which possess stronger Cr (VI) reducing ability, was also detected at high concentrations in both Group B and Group C. It was worth noting that Streptococcus possessed the highest microorganism proportion of 41% in Group C, compared to Group B (1%), indicating that the presence of glucose can reduce the toxicity of high concentration Cr (VI) to Streptococcus. However, the great difference (40%) of Streptococcus proportion between Group C and Group B presented a lower difference (10%) of the indirect Cr (VI) bioreduction efficiency between these two groups. This result indicated that the effect of Streptococcus on the indirect Cr (VI) bioreduction was poor, and this microorganism was not the main one for Cr (VI) bioreduction.
Figure 2.
The relative abundance and phylogenetic relationships of different genera retrieved from different samples at 96 h. The color indicated the percentage of a genus in total sequences. Group B represented Cr (VI) reduction by ASKW after adding sulfate, Group C represented Cr (VI) reduction by ASKW after adding glucose and sulfate.
It is noteworthy that Desulfovibrio and Sulfurospirillum, which accounted for 3% and 1%, respectively, were only appeared in Group C. Desulfovibrio, which belongs to the SRB group, might be responsible for the sulfidogenic reaction. When the sulfate content is high, sulfidogenesis prevails under anaerobic conditions in which SRB reduces sulfate to sulfide by using organics as electron donors, and sulfide has been reported to be able to reduce Cr ( VI ) to Cr ( III ) [33,34]. In addition, Desulfovibrio has also been reported to be able to utilize CrO42− as the alternative electron acceptor besides sulfate [8,35]. As described earlier, Sulfurospirillum grew well with the element sulfur or thiosulfate as the electron acceptor but not with sulfate; sulfur and thiosulfate were reduced to sulfide [36,37]. This was consistent with the research by Qian et al. [28], in which element sulfur was considered as a mid-product during sulfidogenesis for organics and Cr (VI) removal.
3.4. Morphology and Structural Analysis of Sludge in Indirect Cr (VI) Bioreduction Systems
3.4.1. SEM Analysis of Sludge in Indirect Cr (VI) Bioreduction Systems
SEM images visually revealed that the original sludge (Figure 3a) appeared rough, with several bacteria inlaid on the surface, and no chromium peak was detected. Compared with Group B (Figure 3b), plenty of Diplococcus adhered to sludge owing to the presence of glucose, and a large amount of loose porous structures were formed in Group C (Figure 3c). Moreover, chromium peaks were observed by EDS analysis of Cr (VI) treated samples, and the highest chromium peak was appeared in Group C (Figure S3). This might be because the loose porous structure played a significant role in the adsorption of chromium. Similar results were also reported by Garg [38], who noted that there were differences in the morphology of P. putida cells without and with 500 mg·L−1 Cr (VI) by SEM. The change in cell shape due to heavy metal exposure is an adopted mechanism to resist the toxicity of heavy metals, and the stress-induced morphological changes might play an important role in cell survival/metabolic activity, thus absorbing chromium from the effluent [39,40]. The morphology changes of sludge in our study might be attributed to the changes of various bacterial cells. In addition, the bioabsorbed chromate was assumed to be Cr (III) since Cr (VI) was reduced to Cr (III), which was free to bind to these sites. Once it was bound, it would act as a template for further heterogeneous nucleation and crystal growth [41].
Figure 3.
SEM micrographs of sludge in two indirect Cr (VI) bio-reduction systems. (a) original sludge; (b) sludge in Group B at 96 h; (c) sludge in Group C at 96 h.
3.4.2. FTIR Analysis of Sludge in Indirect Cr (VI) Bioreduction Systems
To study the possible interaction mechanism involved in the metal–sludge complex, FTIR analysis was performed in original sludge and indirect Cr (VI) bioreduction systems (Figure 4). There were no distinct differences for peaks wavelength among the three different samples, suggesting that there was less change in the structure of the sludge after indirect bioreduction. However, the intensity of the similar peaks in three different samples has changed. It was observed that the sludge existing in indirect Cr (VI) bioreduction systems possessed a higher peak intensity, compared to the original sludge. Meanwhile, the intensity of similar peaks existing in Group C had a higher peak intensity than that of Group B. The previous study showed that the interaction of heavy metal ions with sludge was largely dependent on the functional groups that worked on the active sites of bacterial cells and physicochemical conditions of the solution [42]. These results indicate that the higher peak intensity of functional groups existing in the sludge plays an important role in dominating the indirect Cr (VI) bioreduction process. Therefore, Group C with the higher peak strength possessed a higher removal efficiency, compared to Group B and the control group.
Figure 4.
FTIR spectra of sludge in two indirect Cr (VI) bio-reduction systems. Group B represented Cr (VI) reduction by ASKW after adding sulfate, Group C represented Cr (VI) reduction by ASKW after adding glucose and sulfate.
The peaks around 870 cm−1, which was the characteristic peak of Cr–O vibration, was newly appeared with low intensity. The peak at 2918 cm−1 stands for symmetric or dissymmetric stretching vibration of the C–H group. The band peaks corresponding to C–O stretching of amide I protein were observed at 1633 cm−1. The band at 3270 cm−1 belonged to the overlapping of N–H and O–H stretching vibrations from polysaccharides and proteins [43]. The bands observed at 1028 cm−1 were attributed to P=O asymmetric stretching and O–H stretching vibrations [41]. The band at 1028 cm−1 strengthened in Group C with higher polysaccharides release after the treatment of high concentration of Cr (VI), indicating that heavy metal was able to change the cell surface functional group either by an expression or suppression mechanism, which might help the bacterial cell to tolerate the high toxicity of heavy metal [44,45]. Simultaneously, O–H possessed strong reducibility, which could reduce Cr (VI) to Cr (III), and it could be oxidized into C=O at the same time. Overall, Group C exhibited a stronger ability to remove a high concentration of Cr (VI) than that of Group B.
3.5. Partition of Cr in Indirect Cr (VI) Bioreduction Systems
Proportions of Cr among different compartments of sludge were presented in Table 3. Adsorbed Cr (VI) and adsorbed Cr (III) in each group were negligible, and the intercellular Cr (III) represented the major fraction. This was consistent with the results of Novotnik [26] and Jin [19]. It was indicated that most chromium reductase of bacterial in ASKW was located in cell membrane and cytoplasm. Cr (VI) could be reduced in the cytoplasm into Cr (III), and Cr (III) might be transferred outside cells. Simultaneously, chromium reductase would be transmitted from intracellular to intercellular, which could reduce Cr (VI) directly. This is the reason why such a high concentration of Cr (VI) had no significant impact on the bacteria viability of ASKW. It was also obvious that much more adsorbed Cr (III) was detected in Group C, which indicated that more Cr (III) precipitation was formed in indirect Cr (VI) bioreduction after adding glucose. In contrast, there were less intracellular and intercellular Cr (III) in Group C. It might be attributed to the fact that most of Cr (VI) was chemically reduced by sulfide, which was produced from biological sulfate reduction.
Table 3.
Partitions of Cr (VI) and Cr (III) in sludge compartments after 96 h of incubation. Concentrations of Cr (VI) and Cr (III) are expressed on a dry mass basis of activated sludge. Group B represented Cr (VI) reduction by ASKW after adding sulfate, Group C represented Cr (VI) reduction by ASKW after adding glucose and sulfate. LOQ represented limit of quantity.
3.6. Abundance Analysis of Cr (VI) Bioreduction Related Functional Genes in Anaerobic Sludge
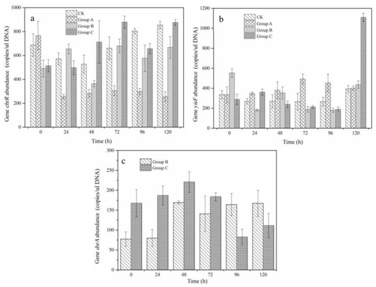
The copy numbers of chromate reductase genes (chrR and yieF) and sulfite reductase gene (dsrA) in different Cr (VI) bioreduction systems are shown in Figure 5. In the direct and indirect Cr (VI) bioreduction processes, the abundance of chromate reductase and sulfite reductase genes in anaerobic sludge have changed significantly. Moreover, the average copy number of chromate reductase genes of chrR was larger than that of yieF. The previous result showed that chrR controlled a bioreduction process of single electron transfer and produced a large number of reactive oxygen species in this process. However, yieF transferred three electrons to Cr (VI) and produced less reactive oxygen species. The above results contribute to the higher chromate reduction efficiency of chromate reductase genes.
Figure 5.
The gene abundance of chromate reductase codified by (a) chrR gene and (b) yieF, and sulfite reductase codified by (c) dsrA.
In the direct Cr (VI) bioreduction system (CK and Group A), the copy number of chromate reductase genes of chrR decreased, while that of yieF increased due to the addition of carbon source. It indicated that the chromate reductase genes of yieF had a greater impact on the direct Cr (VI) bioreduction efficiency. However, in the indirect Cr (VI) bioreduction system (Group B and Group C), the copy number of chromate reductase genes of chrR increased, while that of yieF decreased. It indicated that the chromate reductase genes of chrR had a greater impact on the Cr (VI) bioreduction efficiency when the indirect Cr (VI) bioreduction process existed.
The copy number of sulfite reductase gene (dsrA) in Group B and Group C was significantly increased. Meanwhile, the copy number of dsrA gene in Group C was significantly higher than that in Group B. The result indicates that the addition of carbon source is beneficial to promote the sulfur cycle process, thus accelerating the indirect Cr (VI) bioreduction process. It was observed that the copy number of dsrA in Group C gradually decreased and was lower than the copy number of Group B after 72 h. This result indicates that Cr (VI) has been completely removed in Group C after 72 h, and the coexistence of Cr (VI) and sulfate can improve the copy number of dsrA, thus increasing the circulation process of sulfate for enhancing the Cr (VI) bioreduction process.
3.7. The Mechanisms Summary of Indirect Cr (VI) Bioreduction after Adding External Electron Donor
After adding external carbon sources, many merits were emerged in indirect Cr (VI) bioreduction systems. It was observed that indirect Cr (VI) bioreduction efficiency could achieve 31.8% (159 mg·L−1) after adding external carbon sources. This might be ascribed to the more suitable environment for Cr (VI) bioreduction that was built by adding glucose. The presence of Desulfovibrio (3%) and Sulfurospirillum (1%) led to a higher release of sulfide. Moreover, there were obvious morphological, structural changes of ASKW, as well as chromate reductase and sulfite reductase genes regulation with the addition of external carbon sources, which possessed higher reducibility and adsorption capacity.
The possible molecular mechanisms of indirect Cr (VI) bioreduction system with the addition of external glucose was shown as follows: (i) chromate was actively transported across biological membranes through sulfate transporters by Desulfovibrio and was reduced by sulfate reductase directly; (ii) sulfidogenesis occurred when sulfate and glucose were transmitted inside Desulfovibrio, in which sulfate was reduced into sulfide and elemental sulfur; (iii) element sulfur, which was acted as an electron acceptor, was reduced into sulfide by Sulfurospirillum; (iv) hydroxyl bond adhered on the surface of the microbial cell, which could reduce Cr (VI) into Cr(III), and O–H could be oxidized into C=O at the same time.
4. Conclusions
ASKW was considered a sustainable and effective raw material for chromium remediation at high concentrations. The high concentration of Cr (III) in sludge can be recycled by the intermediate temperature roasting–sodium oxidization method. Moreover, the sludge after Cr (III) recovery could be used to prepare the sludge-based biochar for purifying water. In this study, the indirect Cr (VI) bioreduction efficiency by ASKW fermentation after adding external glucose could be highly increased. The addition of external glucose showed potential benefits for providing protection from harsh environmental conditions, increasing the population of effective microorganisms to release more sulfide, forming O–H bond, and improve ChrR and DsrA gene expression to improve reducibility and providing more adsorption sites for trivalent chromium precipitation to avoid second pollution. These might be the main mechanisms of the external glucose acting on indirect Cr (VI) bioreduction by ASKW.
Supplementary Materials
The following are available online at https://www.mdpi.com/article/10.3390/su13094806/s1, Figure S1: Cr (VI) removal efficiency by ASKW using the different carbon sources, Figure S2: The relative abundance of different phyla retrieved from different samples at 96 h, Figure S3: EDS analysis of sludge in two indirect Cr (VI) bio-reduction systems. (a) original sludge; (b) sludge in Group B at 96 h; (c) sludge in Group C at 96 h, Table S1. Pathways of Cr (VI) reduction by ASKW at 96 h in different systems. Microbe-free anaerobic sludge represented Cr (VI) reduction by sterilized ASKW, CK represented Cr (VI) reduction by original ASKW, Group A represented Cr (VI) reduction by ASKW after adding glucose, Group B represented Cr (VI) reduction by ASKW after adding sulfate, Group C represented Cr (VI) reduction by ASKW after adding glucose and sulfate. Error bars show the standard deviations from the duplicate tests, Table S2: Inter-environment of two indirect Cr (VI) bio-reduction systems. Group B represented Cr (VI) reduction by ASKW after adding sulfate, Group C represented Cr (VI) reduction by ASKW after adding glucose and sulfate, Table S3: Partitions of Cr (VI) and Cr (III) in sludge compartments after 96 h of incubation. Concentrations of Cr (VI) and Cr (III) are expressed on a dry mass basis of activated sludge. Group B represented Cr (VI) reduction by ASKW after adding sulfate, Group C represented Cr (VI) reduction by ASKW after adding glucose and sulfate. LOQ represented limit of quantity.
Author Contributions
Conceptualization, H.H.; methodology, H.H.; software, J.H.; formal analysis, H.H.; data curation, J.H., D.Z. and Y.Z.; writing—original draft preparation, H.H.; writing—review and editing, J.H., D.Z., C.C. and Q.Z.; visualization, J.H., D.Z. and Y.Z.; supervision, C.C.; project administration, Q.Z.; funding acquisition, Q.Z. All authors have read and agreed to the published version of the manuscript.
Funding
This work was supported by the National Key Research and Development Program of China [2018YFC1901000], Shanghai Science and Technology Committee [No. 17295810603, 17DZ1202804, 18295810400], East China Normal University [40500-20102-222000/001/005] and Shanghai Key Lab for Urban Ecological Processes and Eco-Restoration [SHUES2018A04]. The authors would like to acknowledge them for funding this work.
Institutional Review Board Statement
Not applicable.
Informed Consent Statement
Not applicable.
Data Availability Statement
Date are contained within the article.
Conflicts of Interest
The anthors declare no conflict of interest.
References
- Saha, R.; Nandi, R.; Saha, B. Sources and toxicity of hexavalent chromium. J. Coord. Chem. 2011, 64, 1782–1806. [Google Scholar] [CrossRef]
- Zhang, L.; He, F.; Mao, W.; Guan, Y. Fast and efficient removal of Cr(VI) to ppb level together with Cr(III) sequestration in water using layered double hydroxide interclated with diethyldithiocarbamate. Sci. Total Environ. 2020, 727, 138701. [Google Scholar] [CrossRef] [PubMed]
- Chai, L.; Yang, Z.; Shi, Y.; Liao, Q.; Min, X.; Li, Q.; Tang, C.; Liang, L. Cr (VI)-Reducing Strain and Its Application to the Microbial Remediation of Cr (VI)-Contaminated Soils; Twenty Years of Research and Development on Soil Pollution and Remediation in China; Luo, Y., Tu, C., Eds.; Science Press: Beijing, China, 2018; pp. 487–498. [Google Scholar]
- Jobby, R.; Jha, P.; Yadav, A.K.; Desai, N. Biosorption and biotransformation of hexavalent chromium [Cr (VI)]: A comprehensive review. Chemosphere 2018, 207, 255–266. [Google Scholar] [CrossRef] [PubMed]
- Cheung, K.H.; Gu, J.D. Mechanism of hexavalent chromium detoxification by microorganisms and bioremediation application potential: A review. Int. Biodeter. Biodegr. 2007, 59, 8–15. [Google Scholar] [CrossRef]
- Gu, W.; Zheng, D.; Li, D.; Wei, C.; Wang, X.; Yang, Q.; Tian, C.; Cui, M. Integrative effect of citrate on Cr (VI) and total Cr removal using a sulfate-reducing bacteria consortium. Chemosphere 2021, 130437. [Google Scholar] [CrossRef]
- Somasundaram, V.; Philip, L.; Bhallamudi, S.M. Experimental and mathematical modeling studies on Cr (VI) reduction by CRB, SRB and IRB, individually and in combination. J. Hazard. Mater. 2009, 172, 606–617. [Google Scholar] [CrossRef] [PubMed]
- Klonowska, A.; Clark, M.E.; Thieman, S.B.; Wall, J.D.; Fields, M.W. Hexavalent chromium reduction in Desulfovibrio vulgaris Hildenborough causes transitory inhibition of sulfate reduction and cell growth. Appl. Microbiol. Biot. 2008, 78, 1007–1016. [Google Scholar] [CrossRef] [PubMed]
- Zhu, W.; Chai, L.; Ma, Z.; Wang, Y.; Xiao, H.; Zhao, K. Anaerobic reduction of hexavalent chromium by bacterial cells of Achromobacter sp. Strain Ch1. Microbiol. Res. 2008, 163, 616–623. [Google Scholar] [CrossRef] [PubMed]
- Arias, Y.M.; Tebo, B.M. Cr (VI) Reduction by Sulfidogenic and Nonsulfidogenic Microbial Consortia. Appl. Environ. Microb. 2003, 69, 1847–1853. [Google Scholar] [CrossRef]
- Marsh, T.L.; Leon, N.M.; McInerney, M.J. Physiochemical Factors Affecting Chromate Reduction by Aquifer Materials. Geomicrobiol. J. 2000, 17, 291–303. [Google Scholar]
- Guha, H.; Jayachandran, K.; Maurrasse, F. Kinetics of chromium (VI) reduction by a type strain Shewanella alga under different growth conditions. Environmen. Pollut. 2001, 115, 209–218. [Google Scholar] [CrossRef]
- Wang, Y.T.; Xiao, C. Factors affecting hexavalent chromium reduction in pure cultures of bacteria. Water Res. 1995, 29, 2467–2474. [Google Scholar] [CrossRef]
- Megharaj, M.; Avudainayagam, S.; Naidu, R. Toxicity of hexavalent chromium and its reduction by bacteria isolated from soil contaminated with tannery waste. Curr. Microbiol. 2003, 47, 51–54. [Google Scholar] [CrossRef] [PubMed]
- Garbisu, C.; Alkorta, I.; Llama, M.J.; Serra, J.L. Aerobic chromate reduction by bacillus subtilis. Biodegradation 1998, 9, 133–141. [Google Scholar] [CrossRef] [PubMed]
- Rama, F.; Ramos, D.T.; Müller, J.B.; Corseuil, H.X.; Miotliński, K. Flow field dynamics and high ethanol content in gasohol blends enhance BTEX migration and biodegradation in groundwater. J. Contam. Hydrol. 2019, 222, 17–30. [Google Scholar] [CrossRef]
- Song, X.; Wang, Q.; Jin, P.; Chen, X.; Tang, S.; Wei, C.; Li, K.; Ding, X.; Tang, Z.; Fu, H. Enhanced biostimulation coupled with a dynamic groundwater recirculation system for Cr(VI) removal from groundwater: A field-scale study. Sci. Total Environ. 2021, 772, 145495. [Google Scholar] [CrossRef]
- Qian, J.; Zhou, J.; Wang, L.; Wei, L.; Li, Q.; Wang, D.; Wang, Q. Direct Cr (VI) bio-reduction with organics as electron donor by anaerobic sludge. Chem. Eng. J. 2017, 309, 330–338. [Google Scholar] [CrossRef]
- Jin, R.; Yao, L.; Liu, G.; Tian, T.; Qiao, S.; Zhou, J. Characterization of product and potential mechanism of Cr (VI) reduction by anaerobic activated sludge in a sequencing batch reactor. Sci. Rep. 2017, 7, 1681. [Google Scholar] [CrossRef] [PubMed]
- Durán, U.; Coronado-Apodaca, K.G.; Meza-Escalante, E.R.; Ulloa-Mercado, G.; Serrano, D. Two combined mechanisms responsible to hexavalent chromium removal on active anaerobic granular consortium. Chemosphere 2018, 198, 191–197. [Google Scholar] [CrossRef]
- Lu, J.; Zhang, B.; He, C.; Borthwick, A.G.L. The role of natural Fe(II)-bearing minerals in chemoautotrophic chromium (VI) bio-reduction in groundwater. J. Hazard. Mater. 2020, 389, 121911. [Google Scholar] [CrossRef] [PubMed]
- APHA. Standard Methods for the Examination of Water and Wastewater; American Public Health Association: Washington, DC, USA, 2005. [Google Scholar]
- Morgan, J.W.; Forster, C.F.; Evison, L. A comparative study of the nature of biopolymers extracted from anaerobic and activated sludges. Water Res. 1990, 24, 743–750. [Google Scholar] [CrossRef]
- Dubois, M.; Gilles, K.A.; Hamilton, J.K.; Rebers, P.A.; Smith, F. Colorimetric method for determination of sugars and related substances. Anal. Chem. 1956, 28, 350–356. [Google Scholar] [CrossRef]
- Lowery, O.H.; Rosebrough, N.J.; Farr, A.L.; Randall, R.J. Protein measurement with the folin phenol reagent. J. Biol. Chem. 1951, 193, 265. [Google Scholar] [CrossRef]
- Novotnik, B.; Zuliani, T.; Ščančar, J.; Milačič, R. Inhibition of the nitrification process in activated sludge by trivalent and hexavalent chromium, and partitioning of hexavalent chromium between sludge compartments. Chemosphere 2014, 105, 87–94. [Google Scholar] [CrossRef] [PubMed]
- Zhu, Y.Z. Factors influencing the migration and transformation of chromium in soil. Acta Pedol. Sin. 1985, 22, 390–393. (In Chinese) [Google Scholar]
- Qian, J.; Wei, L.; Liu, R.; Jiang, F.; Hao, X.; Chen, G.H. An exploratory study on the pathways of Cr (VI) reduction in sulfate-reducing up-flow anaerobic sludge bed (UASB) reactor. Sci. Rep. 2016, 6, 23694. [Google Scholar] [CrossRef] [PubMed]
- Hu, J.; Yang, H.; Wang, X.; Cao, W.; Guo, L. Strong pH dependence of hydrogen production from glucose by Rhodobacter sphaeroides. Int. J. Hydrogen Energy 2020, 45, 9451–9458. [Google Scholar] [CrossRef]
- Palmer, J.; Flint, S.; Brooks, J. Bacterial cell attachment, the beginning of a biofilm. J. Ind. Microbiol. Biotechnol. 2007, 34, 577–588. [Google Scholar] [CrossRef] [PubMed]
- Pereira, I.; Ortega, R.; Barrientos, L.; Moya, M.; Reyes, G.; Kramm, V. Development of a biofertilizer based on filamentous nitrogen-fixing cyanobacteria for rice crops in Chile. J. Appl. Physiol. 2009, 21, 135–144. [Google Scholar] [CrossRef]
- Francisco, R.; Alpoim, M.C.; Morais, P.V. Diversity of chromium-resistant and -reducing bacteria in a chromium-contaminated activated sludge. J. Appl. Microbiol. 2002, 92, 837–843. [Google Scholar] [CrossRef] [PubMed]
- Kim, C.; Zhou, Q.; Deng, B.; Thornton, E.C.; Xu, H. Chromium (VI) reduction by hydrogen sulfide in Aqueous Media: Stoichiometry and Kinetic. Environ. Sci. Technol. 2001, 35, 2219–2225. [Google Scholar] [CrossRef] [PubMed]
- Wang, Q.; Xu, X.; Zhao, F.; Liu, Z.; Xu, J. Reduction remediation of hexavalent chromium by bacterial flora in Cr (VI) aqueous solution. Water Sci. Technol. 2010, 61, 2889–2896. [Google Scholar] [CrossRef][Green Version]
- Bencheikh-Latmani, R.; Obraztsova, A.; Mackey, M.R.; Ellisman, M.H.; Tebo, B.M. Toxicity of Cr (III) to Shewanella sp. Strain MR-4 during Cr (VI) Reduction. Environ. Sci. Technol. 2007, 41, 214–220. [Google Scholar]
- Straub, K.L.; Schink, B. Ferrihydrite-dependent growth of Sulfurospirillum deleyianum through electron transfer via sulfur cycling. Appl. Environ. Microbiol. 2004, 70, 5744–5749. [Google Scholar] [CrossRef] [PubMed]
- Hubert, C.; Voordouw, G. Oil field souring control by nitrate-reducing Sulfurospirillum spp. that outcompete sulfate-reducing bacteria for organic electron donors. Appl. Environ. Microbiol. 2007, 73, 2644–2652. [Google Scholar] [PubMed]
- Garg, S.K.; Tripathi, M.; Singh, S.K.; Singh, A. Pentachlorophenol dechlorination and simultaneous Cr6+ reduction by Pseudomonas putida SKG-1 MTCC (10510): Characterization of PCP dechlorination products, bacterial structure, and functional groups. Environ. Sci. Pollut. Res. Int. 2013, 20, 2288–2304. [Google Scholar] [CrossRef]
- Naik, U.C.; Srivastava, S.; Thakur, I.S. Isolation and characterization of Bacillus cereus IST105 from electroplating effluent for detoxification of hexavalent chromium. Environ. Sci. Pollut. Res. 2012, 19, 3005–3014. [Google Scholar] [CrossRef] [PubMed]
- Rida, B.; Yrjala, K.; Hasnain, S. Hexavalent chromium reduction by bacteria from tannery effluent. J. Microbiol. Biotechnol. 2012, 22, 547–554. [Google Scholar]
- Beveridge, T.J.; Murray, R.G.; Beveridge, T.J.; Murray, R.G. Uptake and retention of metals by cell walls of Bacillus subtilis. J. Bacteriol. 1976, 127, 1502–1518. [Google Scholar] [CrossRef]
- Karthik, C.; Ramkumar, V.S.; Pugazhendhi, A.; Gopalakrishnan, K.; Arulselvi, P.I. Biosorption and biotransformation of Cr (VI) by novel Cellulosimicrobium funkei strain AR6. J. Taiwan Inst. Chem. E. 2017, 70, 282–290. [Google Scholar] [CrossRef]
- Deng, L.; Su, Y.; Hua, S.; Wang, X.; Zhu, X. Sorption and desorption of lead (II) from wastewater by green algae Cladophora fascicularis. J. Hazard. Mater. 2007, 143, 220–225. [Google Scholar] [CrossRef] [PubMed]
- Kamnev, A.A. FTIR spectroscopic studies of bacterial cellular responses to environmental factors, plant-bacterial interactions and signalling. Spectroscopy 2008, 22, 83–95. [Google Scholar] [CrossRef]
- Arivalagan, P.; Singaraj, D.; Haridass, V.; Kaliannan, T. Removal of cadmium from aqueous solution by batch studies using Bacillus cereus. Ecol. Eng. 2014, 71, 728–735. [Google Scholar] [CrossRef]
Publisher’s Note: MDPI stays neutral with regard to jurisdictional claims in published maps and institutional affiliations. |
© 2021 by the authors. Licensee MDPI, Basel, Switzerland. This article is an open access article distributed under the terms and conditions of the Creative Commons Attribution (CC BY) license (https://creativecommons.org/licenses/by/4.0/).




