Effect of Lead Zirconate Titanate Bimorph on Soil Microorganisms: A Preliminary Study
Abstract
1. Introduction
2. Materials and Methods
2.1. Soil Sampling
2.2. Microcosms Assemblement
2.3. Biological Analyses
2.3.1. Count of Bacteria, Fungi, and Actinomycetes
2.3.2. Microcalorimetric Analysis
2.3.3. High Throughput Sequencing
2.4. Data Analysis and Processing
2.5. Statistical Analysis
3. Results
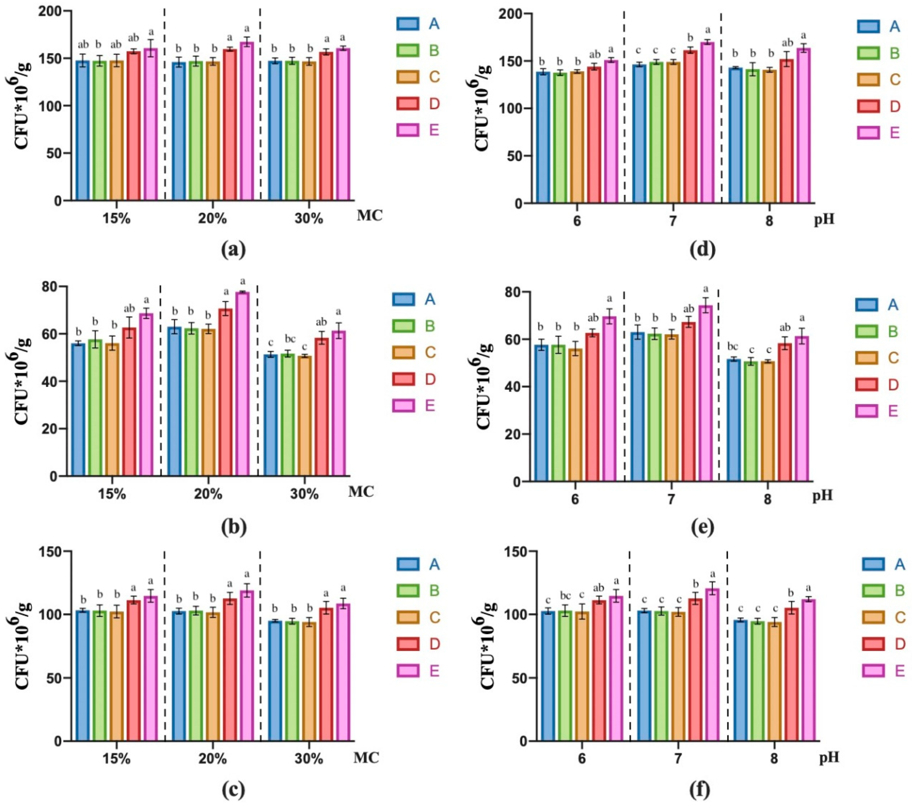
3.1. Response of Bacteria, Fungi, and Actinomycetes to the PZT Bimorph
3.2. Isothermal Microcalorimetric Analysis
3.3. Microcalorimetric Analysis
4. Discussion
5. Conclusions
Author Contributions
Funding
Institutional Review Board Statement
Informed Consent Statement
Data Availability Statement
Acknowledgments
Conflicts of Interest
References
- Roy, K.; Roy, A.; Das, A. Advance Nano Ceramic PZT Sensors; LAP Lambert Academic Publishing: Saarbrücken, Germany, 2014. [Google Scholar]
- Zubko, P.; Catalan, G.; Tagantsev, A.K. Flexoelectric Effect in Solids. Annu. Rev. Mater. Res. 2013, 43, 387–421. [Google Scholar] [CrossRef]
- Hu, H.; Luo, K.; Wang, T.; Wang, Y.; Liang, X.L. Development of piezoelectric ceramic materials. Inf. Rec. Mater. 2016, 17, 1–2. (In Chinese) [Google Scholar]
- Starr, M.B.; Wang, X.D. Coupling of piezoelectric effect with electrochemical processes. Nano Energy 2015, 14, 296–311. [Google Scholar] [CrossRef]
- Chhabra, D.; Narwal, K.; Singh, P. Design and Analysis of Piezoelectric Smart Beam for Active Vibration Control. Int. J. Adv. Res. Technol. 2012, 1, 1–5. [Google Scholar]
- Sambavekar, R.V.; Patel, S.J.; Pathare, H.S. Active Vibration Control of A Cantilever Beam Using PZT PATCH (SP-5H). Int. J. Eng. Tech. Res. 2015, 3, 37–39. [Google Scholar]
- Straub, F.K.; Anand, V.R.; Lau, B.H.; Birchette, T.S. Wind Tunnel Test of the SMART Active Flap Rotor. J. Am. Helicopter Soc. 2018, 63, 1–12. [Google Scholar] [CrossRef]
- Tao, J.X.; Viet, N.V.; Carpinteri, A.; Wang, Q. Energy harvesting from wind by a piezoelectric harvester. Eng. Struct. 2017, 133, 74–80. [Google Scholar] [CrossRef]
- Wu, J.; Yang, G.; Wang, X.; Li, W. PZT-Based Soil Compactness Measuring Sheet Using Electromechanical Impedance. IEEE Sens. J. 2020, 20, 10240–10250. [Google Scholar] [CrossRef]
- Sun, P.P.; Sui, X. Study on treatment of organic wastewater by electrochemical oxidation technology. Mod. Chem. Ind. 2015, 11, 2625–2628. (In Chinese) [Google Scholar]
- Huang, T.; Liu, L.; Zhou, L.; Yang, K. Operating optimization for the heavy metal removal from the municipal solid waste incineration fly ashes in the three-dimensional electrokinetics. Chemosphere 2018, 204, 294–302. [Google Scholar] [CrossRef]
- Khalid, S.; Shahid, M.; Niazi, N.K.; Murtaza, B.; Bibi, I.; Dumat, C. A comparison of technologies for remediation of heavy metal contaminated soils. J. Geochem. Explor. 2017, 182, 247–268. [Google Scholar] [CrossRef]
- Koshlaf, E.; Ball, A.S. Soil bioremediation approaches for petroleum hydrocarbon polluted environments. AIMS Microbiol. 2017, 3, 25–49. [Google Scholar] [CrossRef]
- Verma, S.; Kuila, A. Bioremediation of heavy metals by microbial process. Environ. Technol. Innov. 2019, 14, 100369. [Google Scholar] [CrossRef]
- Wick, L.Y.; Shi, L.; Harms, H. Electro-bioremediation of hydrophobic organic soil-contaminants: A review of fundamental interactions—ScienceDirect. Electrochim. Acta 2007, 52, 3441–3448. [Google Scholar] [CrossRef]
- Katsouras, I.; Asadi, K.; Li, M.; Van Driel, T.B.; Kjaer, K.S.; Zhao, D.; Lenz, T.; Gu, Y.; Blom, P.W.; Damjanovic, D.; et al. The negative piezoelectric effect of the ferroelectric polymer poly(vinylidene fluoride). Nat. Mater. 2016, 15, 78. [Google Scholar] [CrossRef] [PubMed]
- Starr, M.B.; Wang, X.D. Fundamental Analysis of Piezocatalysis Process on the Surfaces of Strained Piezoelectric Materials. Sci. Rep. 2013, 3, 1–8. [Google Scholar]
- Qian, W.; Yang, W.; Zhang, Y.; Bowen, C.R.; Yang, Y. Piezoelectric Materials for Controlling Electro-Chemical Processes. Nano-Micro Lett. 2020, 12, 1–39. [Google Scholar] [CrossRef]
- Yan, F.; Reible, D. Electro-bioremediation of contaminated sediment by electrode enhanced capping. J. Environ. Manag. 2015, 155, 154–161. [Google Scholar] [CrossRef] [PubMed]
- Li, F.; Guo, S.; Wu, B.; Wang, S. Pilot-scale electro-bioremediation of heavily PAH-contaminated soil from an abandoned coking plant site. Chemosphere 2019, 244, 125467. [Google Scholar] [CrossRef]
- Hong, K.S.; Xu, H.; Konishi, H. Piezoelectrochemical Effect: A New Mechanism for Azo Dye Decolorization in Aqueous Solution through Vibrating Piezoelectric Microfibers. J. Phys. Chem. 2012, 116, 13045–13051. [Google Scholar] [CrossRef]
- Sharma, M.; Chauhan, A.; Vaish, R. Energy Harvesting using Piezoelectric Cementitious Composites for Water Cleaning Applications. Mater. Res. Bull. 2021, 137, 111205. [Google Scholar] [CrossRef]
- Lan, S.; Chen, Y.; Zeng, L.; Ji, H.; Zhu, M. Piezo-activation of peroxymonosulfate for benzothiazole removal in water. J. Hazard. Mater. 2020, 393, 122448. [Google Scholar] [CrossRef]
- Zhang, L.; Chang, F.Y.; Sami, R.; Jayasundera, B. Piezoelectric materials for catalytic/photocatalytic removal of pollutants: Recent advances and outlook. Appl. Catal. B Environ. 2019, 241, 256–269. [Google Scholar]
- Kang, S.; Herzberg MRodrigues, D.F.; Elimelech, M. Antibacterial effects of carbon nanotubes: Size does matter! Langmuir ACS J. Surf. Colloids 2008, 24, 6409–6413. [Google Scholar] [CrossRef]
- Rosenzweig, S.; Sorial, G.A.; Sahle-Demessie, E.; Mcavoy, D.C.; Hassan, A.A. Effect of Chloride Ions and Water Chemistry on Copper(II) Adsorption on Functionalized and Pristine Carbon Nanotubes Compared to Activated Carbon F-400. Water Air Soil Pollut. 2014, 225, 1913. [Google Scholar] [CrossRef]
- Bararunyeretse, P.; Beckford, H.O.; Ji, H. Interactive Effect of Copper and Its Mineral Collectors on Soil Microbial Activity—A Microcalorimetric Analysis. Open J. Soil Sci. 2019, 9, 47–64. [Google Scholar] [CrossRef]
- Li, H.; Yao, J.; Gu, J.; Duran, R.; Roha, B.; Jordan, G.; Liu, J.; Min, N.; Lu, C. Microcalorimetry and enzyme activity to determine the effect of nickel and sodium butyl xanthate on soil microbial community. Ecotoxicol. Environ. Saf. 2018, 163, 577–584. [Google Scholar] [CrossRef] [PubMed]
- Wads, I. Characterization of microbial activity in soil by use of isothermal microcalorimetry. J. Therm. Anal. Calorim. 2009, 95, 843–850. [Google Scholar] [CrossRef]
- Mohamed, I.; Ahamadou, B.; Li, M.; Gong, C.; Cai, P.; Liang, W.; Huang, Q. Fractionation of copper and cadmium and their binding with soil organic matter in a contaminated soil amended with organic materials. J. Soils Sediments 2010, 10, 973–982. [Google Scholar] [CrossRef]
- Jiang, L.L.; Liu, Y.; Zheng, S.X. Applications of isothermal microcalorimetry in study on soil microbial activity. Chin. J. Appl. Environ. Biol. 2016, 22, 732–738. [Google Scholar]
- Quail, M.A.; Kozarewa, I.; Smith, F.; Scally, A.; Stephens, P.J.; Durbin, R.; Swerdlow, H.; Turner, D.J. A large genome center’s improvements to the Illumina sequencing system. Nat. Methods 2008, 5, 1005–1010. [Google Scholar] [CrossRef] [PubMed]
- Miao, T. Research Progress on Application of high-throughput sequencing technology in soil microorganism. Mod. Agric. Sci. Technol. 2020, 776, 162–163 + 169. (In Chinese) [Google Scholar]
- Zhou, D.-Y.; Bu, D.-R.; Ge, Z.-W.; Yan, J.; Xiao, H.-R.; Ruan, H.; Cao, G.-H. Effects of nitrogen addition on soil animal communities of poplar plantations at different ages in coastal areas. J. Ecol. 2015, 34, 2553–2560. (In Chinese) [Google Scholar]
- Zhu, X.; Wu, X.; Yao, J.; Wang, F.; Liu, W.; Luo, Y.; Jiang, X. Toxic effects of binary toxicants of cresol frother and Cu (II) on soil microorganisms. Int. Biodeterior. Biodegrad. 2017, 128, 155–163. [Google Scholar] [CrossRef]
- Dou, J.; Guo, Y.; Wang, S. Study on the determination method of soil moisture content. Shanxi Agric. Sci. 2017, 3, 166–169. (In Chinese) [Google Scholar]
- Luo, T. Remediation of petroleum and nickel contaminated soil by electrokinetic microorganism. Environ. Sci. Technol. 2019, 42, 201–208. (In Chinese) [Google Scholar]
- Cheng, F.L. Migration and Distribution of Ions and Microorganisms during Electrokinetic Remediation of Soil. In Environmental Science; University of Chinese Academy of Sciences: Beijing, China, 2018. [Google Scholar]
- Jin, F.; Sun, X.F. Screening and optimization of bioremediation conditions for contaminated soil enhanced by electric field. J. Zhejiang Agric. 2015, 27, 1625–1630. [Google Scholar]
- Barba, S.; Villaseñor, J.; Cañizares, P.; Rodrigo, M.A. Strategies for the electrobioremediation of oxyfluorfen polluted soils. Electrochim. Acta 2018, 297, 137–144. [Google Scholar] [CrossRef]
- Azmi, J.A.G.; Hong, K.C.; Daud, N.N.N. Influence of moisture content in electrokinetic remediation process of contaminated soil. In Proceedings of the Brunei International Conference on Engineering & Technology, Bandar Seri Begawan, Brune, 11 June 2015. [Google Scholar]
- Lu, L. Study on Influencing Factors of Bioremediation of Oil Contaminated Loess in Northwest China; Lanzhou University of Technology: Lanzhou, China, 2013. [Google Scholar]
- Lombard, B.; Cornu, M.; Lahellec, C.; Feinberg, M.H. Experimental Evaluation of Different Precision Criteria Applicable to Microbiological Counting Methods. J. Aoac Int. 2019, 3, 830–841. [Google Scholar] [CrossRef]
- Zhao, L.; Wang, H.; Huo, K.; Cui, L.; Zhang, W.; Ni, H.; Zhang, Y.; Wu, Z.; Chu, P.K. Antibacterial nano-structured titania coating incorporated with silver nanoparticles. Biomaterials 2011, 32, 5706–5716. [Google Scholar] [CrossRef] [PubMed]
- Kumar, A.; Bisht, B.S.; Joshi, V.D. Zinc and Cadmium Removal by Acclimated Aspergillus niger: Trained fungus for Biosorption. Int. Environ. Eng. 2011, 4, 134–140. [Google Scholar]
- Ambroziak, B.C.; Wierzbowska, J. Soil fungal communities shaped under the influence of organic fertilization. J. Elem. 2011, 16, 365–375. [Google Scholar]
- Bian, G.; Miao, Q.; Qin, S.; Chen, Y.; Cao, C.; Wamg, Q.; Chen, F.; Jiang, J. Isolation and identification of an antagonistic actinomycete against conidia cocoa. Biotechnology 2011, 21, 51–55. (In Chinese) [Google Scholar]
- Yao, J.; Tian, L.; Wang, Y.; Djah, A.; Wang, F.; Chen, H.; Su, C.; Zhuang, R.; Zhou, Y.; Choi, M.M.; et al. Microcalorimetric study the toxic effect of hexavalent chromium on microbial activity of Wuhan brown sandy soil: An in vitro approach. Ecotoxicol. Environ. Saf. 2008, 69, 289–295. [Google Scholar] [CrossRef]
- Wei, Y.J.; Wu, Y.; Yan, Y.Z.; Zou, W.; Wang, L.Y. High-throughput sequencing of microbial community diversity in soil, grapes, leaves, grape juice and wine of grapevine from China. PLoS ONE 2018, 13, 193–197. [Google Scholar] [CrossRef]
- Du, C.L. Research status and application of piezoelectric ceramic materials. Jiangxi Build. Mater. 2020, 5, 4–6. (In Chinese) [Google Scholar]
- Nan, X.; Tan, G.; Wang, H.; Gai, X. Effect of biochar additions to soil on nitrogen leaching, microbial biomass and bacterial community structure. Eur. J. Soil Biol. 2016, 74, 1–8. [Google Scholar]
- Hassan, W.; Chen, W.; Cai, P.; Huang, Q. Estimation of enzymatic, microbial, and chemical properties in Brown soil by microcalorimetry. J. Therm. Anal. Calorim. 2014, 116, 969–988. [Google Scholar] [CrossRef]
- Ye, B.; Feng, H.; Zhao, J.; Fang, J.; Shen, W. Microcalorimetry study on the microbial activity of permafrost on the Tibetan plateau of China. J. Therm. Anal. Calorim. 2012, 111, 1731–1736. [Google Scholar] [CrossRef]
- He, S.; Feng, Y.; Ni, J.; Sun, Y.; Xue, L.; Feng, Y.; Yu, Y.; Lin, X.; Yang, L. Different responses of soil microbial metabolic activity to silver and iron oxide nanoparticles. Chemosphere 2016, 147, 195–202. [Google Scholar] [CrossRef] [PubMed]
- Zheng, S.X.; Yao, J.; Zhao, B.; Yu, Z.N. Influence of agricultural practices on soil microbial activity measured by microcalorimetry. Eur. J. Soil Biol. 2007, 43, 151–157. [Google Scholar] [CrossRef]
- Ahamadou, B.; Huang, Q.; Chen, W.; Wen, S.; Zhang, J.; Mohamed, I.; Cai, P.; Liang, W. Microcalorimetric assessment of microbial activity in long-term fertilization experimental soils of Southern China. FEMS Microbiol. Ecol. 2009, 2, 30–39. [Google Scholar] [CrossRef]
- Bates, S.T.; Clemente, J.C.; E Flores, G.; Walters, W.A.; Parfrey, L.W.; Knight, R.; Fierer, N. Global biogeography of highly diverse protistan communities in soil. ISME J. 2013, 7, 652–659. [Google Scholar] [CrossRef]
- Shade, A.; Handelsman, J. Beyond the Venn diagram: The hunt for a core microbiome. Environ. Microbiol. 2012, 14, 4–12. [Google Scholar] [CrossRef]
- Shi, L.P.; Huang, J.; Wei, X.W.; Wei, Y.B. Investigation on Multi-Piezoelectric Effects from the First Positive Piezoelectric Effect. Key Eng. Mater. 2014, 609, 1398–1403. [Google Scholar] [CrossRef]
- Liu, G.R.; Ye, C.; Qian, Q.; Lu, W. Effects of Electrokinetic Bioremediation of Electric Field on Sediment Microbial Activity. J. Wuhan Univ. 2011, 57, 47–51. (In Chinese) [Google Scholar]
- Shen, G.; Zhou, H. Effects of direct current electric field on rhizosphere soil microbial community and its mechanism. Shanghai Environ. Sci. 2008, 3, 56–59. (In Chinese) [Google Scholar]
- Lear, G.; Harbottle, M.J.; Van Der Gast, C.J.; Jackman, S.A.; Knowles, C.J.; Sills, G.; Thompson, I.P. The effect of electrokinetics on soil microbial communities. Soil Biol. Biochem. 2004, 36, 1751–1760. [Google Scholar] [CrossRef]
- Jiang, Y.B.; Deng, H.; Sun, D.M.; Zhong, W.H. Electrical signals generated by soil microorganisms in microbial fuel cells respond linearly to soil Cd2+ pollution. Geoderma 2015, 35, 73–90. [Google Scholar] [CrossRef]
- Lestari, M.W.; Mardiyani, S.A. Effect of electric shock on the media and foliar spray of CaCl2 to the nutritional and bioactive content of lettuce. IOP Conf. Ser. Earth Environ. Sci. 2019, 7, 30–37. [Google Scholar]
- Ahmed, M.A.; Sanaullah, M.; Blagodatskaya, E.; Mason-Jones, K.; Jawad, H.; Kuzyakov, Y.; Dippold, M.A. Soil microorganisms exhibit enzymatic and priming response to root mucilage under drought. Soil Biol. Biochem. 2017, 116, 410–418. [Google Scholar] [CrossRef]
- Zhang, Y.; Guo, S.L. Effects of environmental factors on soil microbial respiration and temperature sensitivity. Environ. Sci. 2019, 27, 155–161. (In Chinese) [Google Scholar]
- Luo, Q.; Wang, H.; Zhang, X.; Qian, Y. Research progress of electrokinetic technology in enhancing in situ bioremediation. Environ. Pollut. Prev. 2004, 26, 268–271. [Google Scholar]
- Feng, Y.; Lin, X. Application progress of microcalorimetry in soil microbial research. Soil 2012, 44, 535–540. [Google Scholar]
- Luo, Q.; Zhang, X.; Wang, H.; Qian, Y. Mobilization of phenol and dichlorophenol in unsaturated soils by non-uniform electrokinetics. Chemosphere 2005, 59, 1289–1298. [Google Scholar] [CrossRef] [PubMed]
- Ramirez, E.M.; Camacho, J.V.; A, R.M.; Canizares, P. Combination of bioremediation and electrokinetics for the in-situ treatment of diesel polluted soil: A comparison of strategies. Sci. Total Environ. 2015, 533, 307–316. [Google Scholar] [CrossRef] [PubMed]
- Fan, R.J.; Guo, S.H.; Li, F.M.; Zhang, X. Microbial community dynamics and degradation characteristics of mixed organic compounds in two-dimensional electric field. J. Environ. Sci. 2017, 37, 3543–3552. (In Chinese) [Google Scholar]
- Wang, B.; Jia, G.M.; Li, F.M.; Wang, S.; Guo, S.H. Microbial activity analysis during the electrokinetic-bioremediation of resin-contaminated soil. Chin. J. Ecol. 2019, 38, 136–144. [Google Scholar]
- Jianwei, W.A.; Jianfeng, B.A.; Weihua, G.U.; Wenyi, Y.U.; Jing, Z.H.; Xuning, Z.H.; Qian, L.I.; Chenglong, Z.H.; Jingwei, W.A. Removal effect of heavy metals from the soil of electronic waste dismantling site by acid bacteria under different intensity micro-electric field. J. Environ. Eng. 2020, 14, 1336–1342. (In Chinese) [Google Scholar]
- Morillo, E.; Madrid, F.; Lara-Moreno, A.; Villaverde, J. Soil bioremediation by cyclodextrins. A review. Int. J. Pharm. 2020, 591. [Google Scholar] [CrossRef]







| Group | Ppeak (μW) | Tpeak (h) | Qtotal (J) | k (h−1) |
|---|---|---|---|---|
| F | 57.73 | 5.64 | 0.57 | 0.1882 ± 0.0047 |
| G | 62.73 | 5.93 | 0.60 | 0.2445 ± 0.0036 |
| H | 64.05 | 5.42 | 0.63 | 0.2485 ± 0.0010 |
| I | 85.61 | 5.93 | 0.76 | 0.2718 ± 0.0058 |
| J | 83.99 | 5.71 | 0.94 | 0.2648 ± 0.0078 |
| K | 126.93 | 6.43 | 1.23 | 0.3153 ± 0.0061 |
Publisher’s Note: MDPI stays neutral with regard to jurisdictional claims in published maps and institutional affiliations. |
© 2021 by the authors. Licensee MDPI, Basel, Switzerland. This article is an open access article distributed under the terms and conditions of the Creative Commons Attribution (CC BY) license (https://creativecommons.org/licenses/by/4.0/).
Share and Cite
Li, T.; Zhang, F.; Wang, X.; Su, Y. Effect of Lead Zirconate Titanate Bimorph on Soil Microorganisms: A Preliminary Study. Sustainability 2021, 13, 4193. https://doi.org/10.3390/su13084193
Li T, Zhang F, Wang X, Su Y. Effect of Lead Zirconate Titanate Bimorph on Soil Microorganisms: A Preliminary Study. Sustainability. 2021; 13(8):4193. https://doi.org/10.3390/su13084193
Chicago/Turabian StyleLi, Tianxin, Fang Zhang, Xu Wang, and Ying Su. 2021. "Effect of Lead Zirconate Titanate Bimorph on Soil Microorganisms: A Preliminary Study" Sustainability 13, no. 8: 4193. https://doi.org/10.3390/su13084193
APA StyleLi, T., Zhang, F., Wang, X., & Su, Y. (2021). Effect of Lead Zirconate Titanate Bimorph on Soil Microorganisms: A Preliminary Study. Sustainability, 13(8), 4193. https://doi.org/10.3390/su13084193
