Maximizing the Influence of Innovative Green Product Propagation
Abstract
1. Introduction
2. The Modeling of the Advertisement–Promotion Strategies
2.1. Preliminary Terms and Notations
- (1)
- The change process of nodes: The potential consumer is influenced by advertisement strategies and turns into the adopter of innovative green product information with the probability of ; or influenced by an advertisement of a traditional product and turns into the adopter of traditional product information with the probability of . According to the theory of continuous-time Markov chains [37], the turns into the adopter of innovative green product information at time with the probability of after contact with the adopter of the innovative green product information , and it turns into the adopter of traditional product information at time with the probability of after contact with adopters of traditional product information .
- (2)
- The dynamic change process of nodes: due to promotion of traditional products, the adopter of innovative green product information turns into the adopter of traditional product information with the probability of ; considering the word of mouth effect, the adopter of the innovative green product information turns into the adopter of the traditional product information with the probability of after the adopter of the innovative green product information contacts the adopter of the traditional product information .
- (3)
- The dynamic change process of nodes: due to promotion strategies implemented for the adopters of traditional product information, the adopter of traditional product information turns into the adopter of innovative green product information with the probability of ; considering the word of mouth effect, the adopter of the traditional product information turns into the adopter of the innovative green product information with the probability of after the adopter of the traditional product contacts the adopter of the innovative green product information .
2.2. Formulating AP Strategies
2.3. The Optimal Propagation Strategies
2.4. Modeling of the AP Strategies
3. A Method for Solving the AP Strategies
3.1. The Existence of an Optimal Control
3.2. A Necessary Condition for the Optimal Control
3.3. The Optimal System for the AP Strategies
4. Numerical Simulation
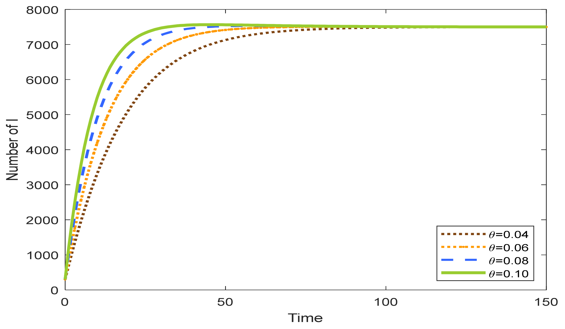
4.1. Without Optimal Control
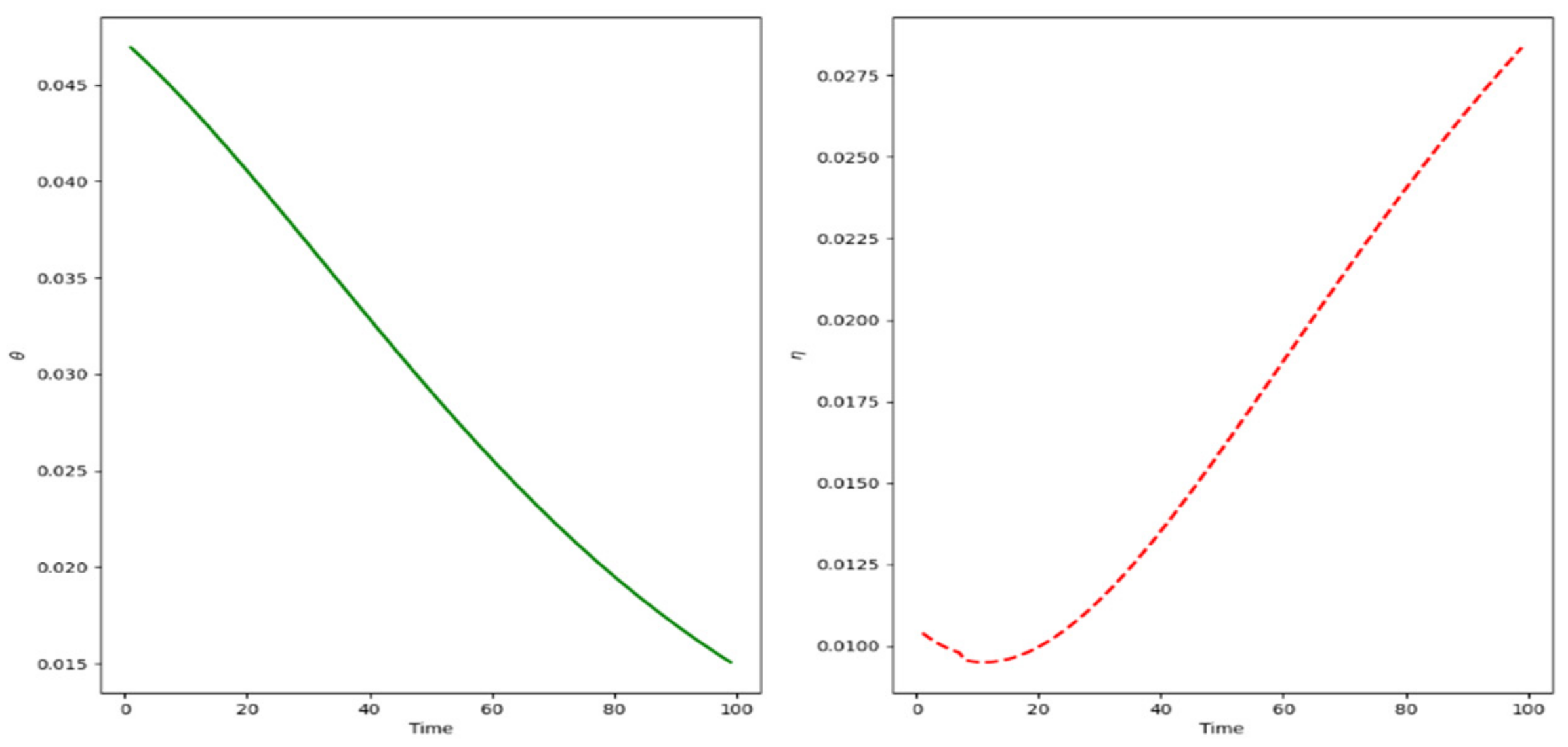
4.2. With Optimal Control
5. Conclusions
Author Contributions
Funding
Institutional Review Board Statement
Informed Consent Statement
Data Availability Statement
Conflicts of Interest
Appendix A. Proof of Theorem 1
Appendix B. Proof of Theorem 2
Appendix C. Proof of Theorem 3
References
- Dai, R.; Zhang, J. Green process innovation and differentiated pricing strategies with environmental concerns of South-North markets. Transp. Res. Part E Logist. Transp. Rev. 2017, 98, 132–150. [Google Scholar] [CrossRef]
- Gao, J.; Xiao, Z.; Cao, B.; Chai, Q. Green supply chain planning considering consumer’s transportation process. Transp. Res. Part E Logist. Transp. Rev. 2018, 109, 311–330. [Google Scholar] [CrossRef]
- Dong, C.; Liu, Q.; Shen, B. To be or not to be green? Strategic investment for green product development in a supply chain. Transp. Res. Part E Logist. Transp. Rev. 2019, 131, 193–227. [Google Scholar] [CrossRef]
- Pujari, D.D. Mainstreaming Green Product Innovation: Why and How Companies Integrate Environmental Sustainability. J. Bus. Ethics 2010, 95, 471–480. [Google Scholar]
- Dangelico, R.M.; Pujari, D.; Pontrandolfo, P. Green Product Innovation in Manufacturing Firms: A Sustainability—Oriented Dynamic Capability Perspective. Bus. Strategy Environ. 2017, 26, 490–506. [Google Scholar] [CrossRef]
- Asadi, S.; Pourhashemi, S.O.; Nilashi, M.; Abdullah, R.; Samad, S.; Yadegaridehkordi, E.; Aljojo, N.; Razali, N.S. Investigating influence of green innovation on sustainability performance: A case on Malaysian hotel industry. J. Clean. Prod. 2020, 258, 1–15. [Google Scholar] [CrossRef]
- Awan, U.; Sroufe, R.; Kraslawski, A. Creativity enables sustainable development: Supplier engagement as a boundary condition for the positive effect on green innovation. J. Clean. Prod. 2019, 226, 172–185. [Google Scholar] [CrossRef]
- Figueroa-Perez, J.F.; Leyva-Lopez, J.C.; Santillan, L.C.; Contreras, E.O.P.; Sánchez, P.J. The Use of Marketing Decision Support Systems for New Product Design: A Review. Atlantis Press SARL 2019, 12, 761–774. [Google Scholar] [CrossRef]
- Dawood, A.; Shahrokh, V. Diversified viral marketing: The power of sharing over multiple online social networks. Knowl. Based Syst. 2019, 193, 105430. [Google Scholar]
- De Souza, R.C.; Figueiredo, D.R.; Rocha, A.D.A.; Ziviani, A. Efficient network seeding under variable node cost and limited budget for social networks. Inf. Sci. 2020, 514, 369–384. [Google Scholar] [CrossRef]
- Robles, J.F.; Chica, M.; Cordon, O. Evolutionary multi-objective optimization to target social network influentials in viral marketing. Expert Syst. Appl. 2020, 147, 113183. [Google Scholar] [CrossRef]
- Daley, D.J.; Kendall, D.G. Epidemics and rumors. Nature 1964, 204, 1118. [Google Scholar] [CrossRef]
- Maki, D.P.; Thompson, M. Mathematical Models and Applications: With Emphasis on the Socia1, Life, and Management Sciences; Prentice-Hall: Englewood Cliffs, NJ, USA, 1973. [Google Scholar]
- Watts, D.J.; Strogatz, S.H. Collective dynamics of ‘small-world’ networks. Nature 1998, 393, 440–442. [Google Scholar] [CrossRef] [PubMed]
- Barabasi, A.L.; Albert, R. Emergence of scaling in random networks. Science 1999, 286, 509–512. [Google Scholar] [CrossRef]
- Rogers, E.M. Diffusion of Innovations; Free Press: New York, NY, USA, 1983. [Google Scholar]
- Bass, F.M. Comments on a new product growth for model consumer durables. Manag. Sci. 2004, 50, 1833–1841. [Google Scholar] [CrossRef]
- Lancaster, G.A.; Wright, G. Forecasting the future of video using a diffusion model. Eur. J. Mark. 1983, 17, 70–79. [Google Scholar] [CrossRef]
- Lilien, G.L.; Rangaswamy, A.; Van den Bulte, C. Diffusion models: Managerial application and software. New Prod. Diffus. Models 2000, 3004, 295–336. [Google Scholar]
- Peres, R.; Muller, E.; Mahajan, V. Innovation diffusion and new product growth models: A critical review and research directions. Int. J. Res. Mark. 2010, 27, 91–106. [Google Scholar] [CrossRef]
- Robinson, B.; Lakhani, C. Dynamic Price Models for New-Product Planning. Manag. Sci. 1975, 21, 1113–1122. [Google Scholar] [CrossRef]
- Kalish, S. A new product adoption model with price, advertisement and uncertainty. Manag. Sci. 1985, 31, 1569–1585. [Google Scholar] [CrossRef]
- Easingwood, C.; Mahajan, V.; Muller, E. A nonuniform influence innovation diffusion model of new product acceptance. Mark. Sci. 1983, 2, 273–295. [Google Scholar] [CrossRef]
- Li, G.; Wang, X.; Su, S.; Su, Y. How green technological innovation ability influences enterprise competitiveness. Technol. Soc. 2019, 59, 101136. [Google Scholar] [CrossRef]
- Benson, V.; Ezingeard, J.N.; Hand, C. An empirical study of purchase behaviour on social platforms: The role of risk, beliefs and characteristics. Inf. Technol. People 2019, 32, 876–896. [Google Scholar] [CrossRef]
- Briffett, P. The psychology of the social shopper. J. Digit. Soc. Media Mark. 2014, 2, 64–69. [Google Scholar]
- Ahmed, W.; Zhang, Q. Green purchase intention: Effects of electronic service quality and customer green psychology. J. Clean. Prod. 2020, 267, 122053. [Google Scholar] [CrossRef]
- Heidenreich, S.; Spieth, P.; Petschnig, M. Ready, Steady, Green: Examining the Effectiveness of External Policies to Enhance the Adoption of Eco-Friendly Innovations. J. Prod. Innov. Manag. 2017, 34, 343–359. [Google Scholar] [CrossRef]
- Leonidou, L.C.; Hultman, M. Evaluating the green advertising practices of international firms: A trend analysis. Int. Mark. Rev. 2011, 28, 6–33. [Google Scholar] [CrossRef]
- Mishra, A.; Mishra, H. The Influence of Price Discount Versus Bonus Pack on the Preference for virtue and vice foods. J. Mark. Res. 2011, 48, 196–206. [Google Scholar] [CrossRef]
- Notron, J.A.; Bass, F.M. Evolution of Technological Generations: The Law of Capture. Sloan Manag. Rev. 1992, 33, 66–77. [Google Scholar]
- Chitra, K. In search of the green consumers: A perceptual study. J. Serv. Res. 2007, 7, 173–191. [Google Scholar]
- Ki-Hoon, L.; Ji-Whan, K. Green new product development and supplier involvement: Strategic partnership for green innovation. Int. J. Innov. Sustain. Dev. 2012, 6, 290–304. [Google Scholar]
- Libai, B.; Muller, E.; Peres, R. The role of within-brand and cross-brand communications in competitive growth. J. Mark. 2009, 73, 19–34. [Google Scholar] [CrossRef]
- Schramm, M.E.; Trainor, K.J.; Shanker, M.; Hu, M.Y. An agent-based diffusion model with consumer and brand agents. Decis. Support Syst. 2010, 50, 234–242. [Google Scholar] [CrossRef]
- Tashiro, T. Hierarchical Bass model: A product diffusions model considering a diversity of sensitivity to fashion. Phys. A Stat. Mech. Its Appl. 2016, 461, 824–832. [Google Scholar] [CrossRef]
- Stewart, W.J. Probability, Markov Chains, Queues, and Simulation: The Mathematical Basis of Performance Modeling; Princeton University Press: Princeton, NJ, USA, 2009. [Google Scholar]
- Stein, E.M.; Shakarchi, R. Real Analysis: Measure Theory, Integration and Hilbert Spaces; Princeton University Press: Princeton, NJ, USA, 2005. [Google Scholar]
- Lenhart, S.; Workman, J.T. Optimal Control Applied to Biological Models; Chapman & Hall/CRC: London, UK, 2007. [Google Scholar]
- Potryagin, L.S. The Mathematical Theory of Optimal Processes; CRC Press: Boca Raton, FL, USA; Taylor & Francis Group: Abingdon, UK, 1987. [Google Scholar]
- Liberzon, D. Calculus of Variations and Optimal Control Theory: A Concise Introduction, 1st ed.; Princeton University Press: Princeton, NJ, USA, 2012. [Google Scholar]
- Mangasarian, O.L. Sufficient Conditions for the Optimal Control of Nonlinear Systems. Siam J. Control 1966, 4, 83–93. [Google Scholar] [CrossRef]
- Seierstad, A.; Sydsaeter, K. Sufficient Conditions in Optimal Control Theory. Int. Econ. Rev. 1977, 18, 367–391. [Google Scholar] [CrossRef]
- Jiang, Z.; Deceased, F.B.; Bass, P. The Virtual Bass Model and the Left-Hand Data-Truncation Bias in Diffusion of Innovation Studies. Soc. Sci. Electron. Publ. 2006, 23, 93–106. [Google Scholar] [CrossRef]






| Step 1 | Initialization parameters: including advertising promotion strategy allocation scheme, the number of three groups, other parameters, and crossover probability and mutation probability; |
| Step 1.1 | Population size: for example, (0.01, 0.05) represents one of the initial advertisement and promotion allocation schemes; |
| Step 1.2 | The number of three groups: 10,000 people on social networks. Potential customers are 8000, the adopters of innovative green products are 300, the adopters of traditional product are 1700; |
| Step 1.3 | Other parameters: . Crossover probability , mutation probability: . |
| Step 2 | Calculation of fitness value: The fitness can be used to measure the quality of the results. The goal of this model is to find the greatest influence of innovative green product information, and the smaller the fitness value, the better. The fitness function is defined as . Therefore, when the value of is smaller, the result is optimal. |
| Step 3 | Take the roulette way to choose: after calculating the fitness function value, sort these values from good to bad. |
| Step 4 | Repeat the following steps when conditions are not met: Select replication. Selection and replication are to preserve good individuals, remove bad individuals, and then pass these good individuals to the next generation, and replication operations are based on individual fitness calculations. |
| Step 5 | Two pairs, cross, produce new advertisement and promotion strategies: The same location of the two strategies’ exchange (also means the transformation of information) can produce new advertisement and promotion strategies. The purpose of this process is to produce new advertisement and promotion strategies. The method used is mainly two-point cross. The random two cross advertisement and promotion strategies’ schemes are exchanged for data, and the strategy schemes in other locations do not change. |
| Step 6 | Mutation operation: Based on the mutation mechanism in genetics, some individuals in the population are numerically changed to change the fitness and see whether the results are optimal. Variation probability set at 0.05. |
| Step 7 | Repeat the above steps, once the conditions required for stopping are met, the system can output the minimum fitness value. |
| PLAN | J(W) | PLAN | J(W) | PLAN | J(W) |
|---|---|---|---|---|---|
| (0.0420, 0.0180) | 345,686 | (0.0580, 0.0020) | 133,899 | (0.0370, 0.0230) | 1,766,845 |
| (0.0350, 0.0250) | 431,575 | (0.0515, 0.0085) | 228,767 | (0.0545, 0.0055) | 4,350,176 |
| (0.0280, 0.0320) | 530,370 | (0.0470, 0.0130) | 285,993 | (0.0490, 0.0110) | 260,945 |
| (0.0210, 0.0390) | 657,621 | (0.0340, 0.0260) | 371,660 | (0.0450, 0.0150) | 309,877 |
| (0.0150, 0.0450) | 809,742 | (0.0260, 0.0340) | 562,880 | (0.0400, 0.0200) | 369,626 |
| (0.0080, 0.0520) | 1,086,809 | (0.0140, 0.0460) | 841,074 | (0.0300, 0.0300) | 500,001 |
| (0.0525, 0.0075) | 215,379 | (0.0110, 0.0490) | 949,573 | (0.0130, 0.0470) | 874,641 |
| (0.0505, 0.0095) | 241,838 | (0.0050, 0.0550) | 1,266,275 | (0.0065, 0.0535) | 1,152,032 |
| (0.0460, 0.0140) | 297,838 | (0.0550, 0.0050) | 180,225 | (0.0320, 0.0280) | 471,550 |
| (0.0390, 0.0210) | 381,710 | (0.0535, 0.0065) | 201,631 | (0.0230, 0.0370) | 617,069 |
| (0.0240, 0.0360) | 598,203 | (0.0600, 0.0100) | 248,269 | (0.0200, 0.0400) | 679,497 |
| (0.0170, 0.0430) | 770,811 | (0.0430, 0.0170) | 333,768 | (0.0180, 0.0420) | 721,992 |
| (0.0075, 0.0525) | 1,113,317 | (0.0360, 0.0240) | 442,682 | (0.0085, 0.0515) | 1,061,453 |
| (0.0020, 0.0580) | 1,511,058 | (0.0250, 0.0350) | 644,081 | (0.0100, 0.0500) | 4,375,597 |
| (0.0055, 0.0545) | 99,895 | (0.0095, 0.0505) | 1,013,911 | without AP strategy | 46,271 |
Publisher’s Note: MDPI stays neutral with regard to jurisdictional claims in published maps and institutional affiliations. |
© 2021 by the authors. Licensee MDPI, Basel, Switzerland. This article is an open access article distributed under the terms and conditions of the Creative Commons Attribution (CC BY) license (https://creativecommons.org/licenses/by/4.0/).
Share and Cite
Huo, L.; Wang, Q.; Lin, T.; He, H. Maximizing the Influence of Innovative Green Product Propagation. Sustainability 2021, 13, 4110. https://doi.org/10.3390/su13084110
Huo L, Wang Q, Lin T, He H. Maximizing the Influence of Innovative Green Product Propagation. Sustainability. 2021; 13(8):4110. https://doi.org/10.3390/su13084110
Chicago/Turabian StyleHuo, Liang’an, Qianqian Wang, Tingting Lin, and Hongguang He. 2021. "Maximizing the Influence of Innovative Green Product Propagation" Sustainability 13, no. 8: 4110. https://doi.org/10.3390/su13084110
APA StyleHuo, L., Wang, Q., Lin, T., & He, H. (2021). Maximizing the Influence of Innovative Green Product Propagation. Sustainability, 13(8), 4110. https://doi.org/10.3390/su13084110
