Stinging Nettle (Urtica dioica L.) as an Aqueous Plant-Based Extract Fertilizer in Green Bean (Phaseolus vulgaris L.) Sustainable Agriculture
Abstract
1. Introduction
2. Materials and Methods
2.1. Preparation of Aqueous Nettle Extract
2.2. Field Experiment and Plant Material
2.3. Meteorological and Pedological Conditions of Study Sites
2.4. Experimental Analysis
2.4.1. Soil Analyses
2.4.2. Chemical Composition of Aqueous Nettle Extracts
2.4.3. Vegetative Characteristics and Yield of Green Beans
2.4.4. Chemical Analysis of Green Bean Leaves
Nitrogen Content and Mineral Composition of Green Bean Leaves
2.5. Statistical Analysis
3. Results
3.1. The Effect of Nettle Extracts on Green Bean Vegetative Growth Parameters and Yield
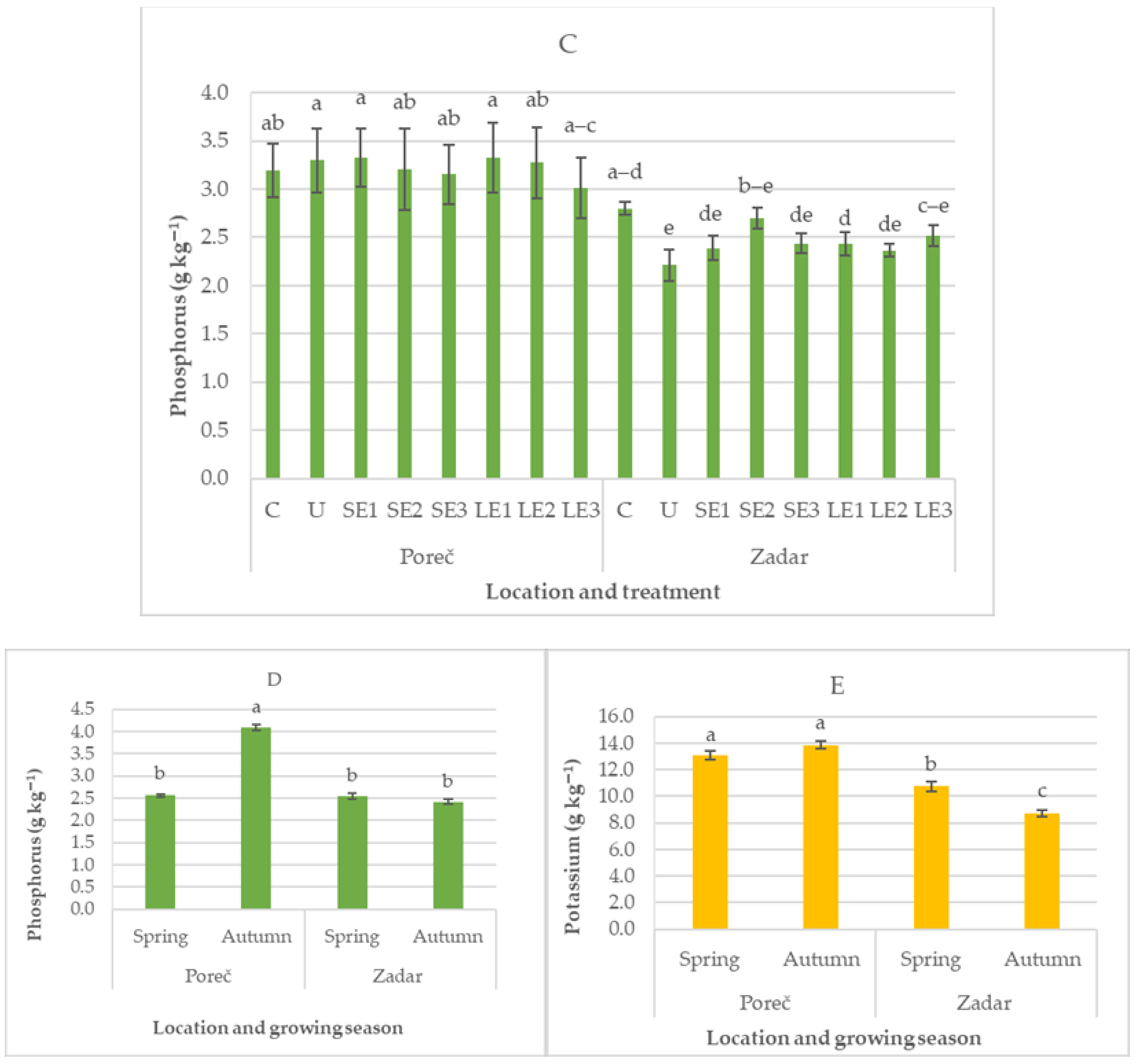
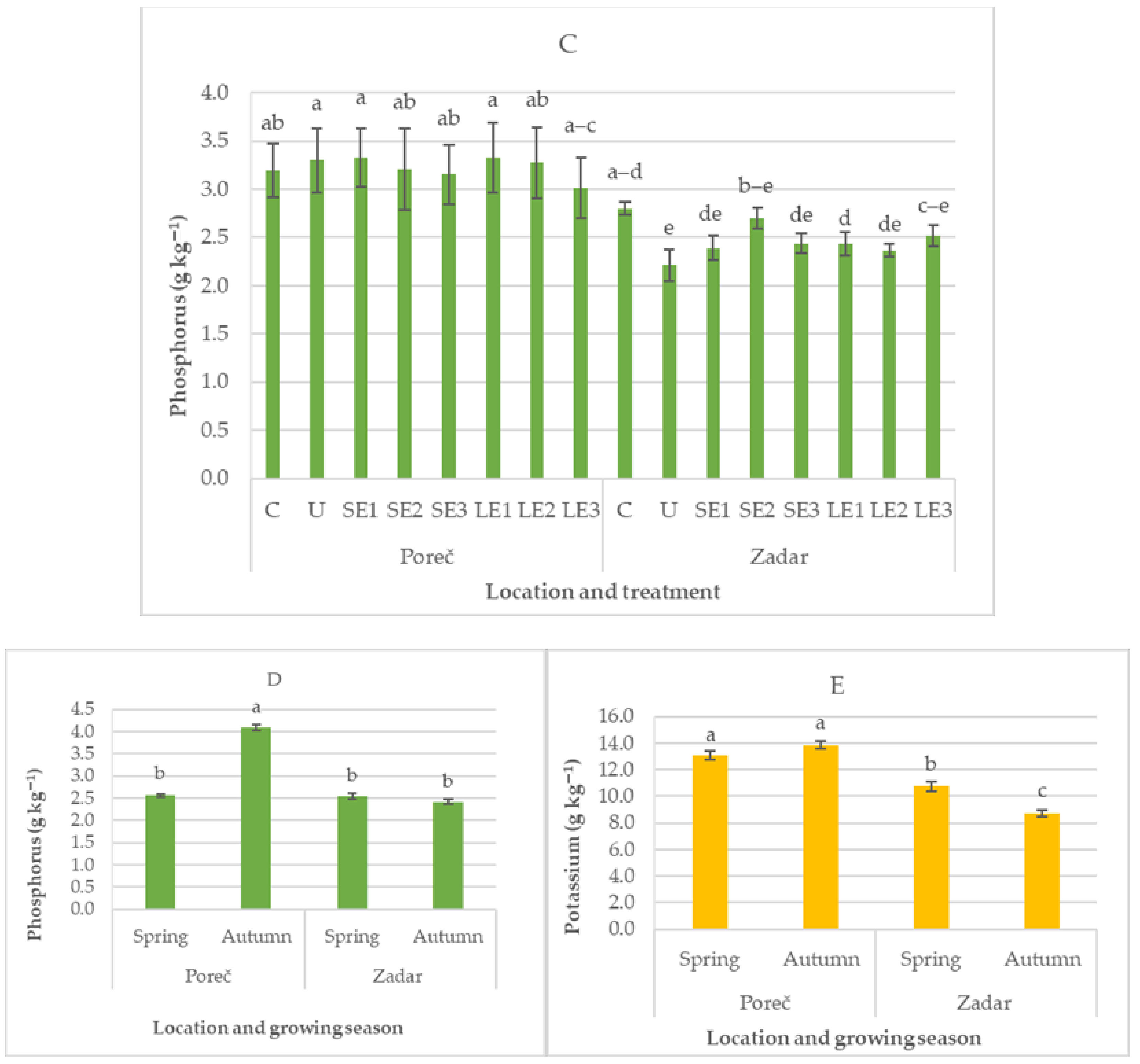
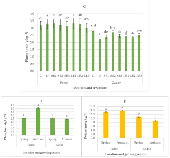
3.2. The Effect of Nettle Extracts on the Total Nitrogen and Mineral Composition of the Green Bean Leaf
4. Discussion
5. Conclusions
Author Contributions
Funding
Acknowledgments
Conflicts of Interest
References
- Dayan, F.E.; Cantrell, C.L.; Duke, S.O. Natural products in crop protection. Bioorg. Med. Chem. 2009, 17, 4022–4034. [Google Scholar] [CrossRef] [PubMed]
- Herak, M.; Horvati, M.; Pecina, M. Nitrogen Fertilization Influences Protein Nutritional Quality in Red Head Chicory. J. Plant Nutr. 2009, 32, 598–609. [Google Scholar] [CrossRef]
- Ekholm, P.; Reinivuo, H.; Mattila, P.; Pakkala, H.; Koponen, J.; Happonen, A.; Hellstrom, J.; Ovaskainen, M.-L. Changes in the mineral and trace element contents of cereals, fruits and vegetables in Finland. J. Food Compos. Anal. 2007, 20, 487–495. [Google Scholar] [CrossRef]
- Ganesan, K.; Xu, B. Polyphenol-Rich Dry Common Beans (Phaseolus vulgaris L.) and Their Health Benefits. Int. J. Mol. Sci. 2017, 18, 2331. [Google Scholar] [CrossRef] [PubMed]
- Chávez-Mendoza, C.; Sánchez, E. Bioactive Compounds from Mexican Varieties of the Common Bean (Phaseolus vulgaris): Implications for Health. Molecules 2017, 22, 1360. [Google Scholar] [CrossRef]
- Lešić, R.; Borošić, J.; Buturac, I.; Herak Ćustić, M.; Poljak, M.; Romić, D. Povrćarstvo, 3rd ed.; Zrinski d.d.: Čakovec, Croatia, 2016; pp. 552–564. [Google Scholar]
- Nygaard Sorensen, J.; Thorup-Kristensen, K. Plant-based fertilizers for organic vegetable production. J. Plant. Nutr. Soil Sci. 2011, 174, 321–332. [Google Scholar] [CrossRef]
- Hartmann, M.; Frey, B.; Mayer, J.; Mäder, P.; Widmer, F. Distinct soil microbial diversity under long-term organic and conventional farming. ISME J. 2015, 9, 1177–1194. [Google Scholar] [CrossRef]
- Kim, M.J.; Shim, C.K.; Kim, Y.K.; Hong, S.J.; Park, J.H.; Han, E.J.; Kim, J.H.; Kim, S.C. Effect of aerated compost tea on the growth promotion of lettuce, soybean, and sweet corn in organic cultivation. Plant Pathol. J. 2015, 31, 259–268. [Google Scholar] [CrossRef] [PubMed]
- Mirecki, N.; Wehinger, T.W.; Repič, P. Dodatna djubriva i oplemenjivači zemljišta. In Priručnik Za Organsku Proizvodnju; Mirecki, N., Wehinger, T., Repič, P., Eds.; Biotehnički Fakultet: Podgorica, Montenegro, 2011; pp. 26–34. [Google Scholar]
- Zhai, Z.; Ehret, D.L.; Forge, T.; Helmer, T.; Lin, W.; Dorais, M.; Papadopoulos, A.P. Organic Fertilizers for Greenhouse: Productivity and Microbiology. HortScience 2009, 44, 800–809. [Google Scholar] [CrossRef]
- Deore, G.B.; Limaye, A.S.; Shinde, B.M.; Laware, S.L. Effect of Novel Organic Liquid Fertilizer on Growth and Yield in Chilli (Capsicum annum L.). Asian J. Exp. Biol. Sci. Spl. 2010, 1, 15–19. [Google Scholar]
- Nabti, E.; Jha, B.; Hartmann, A. Impact of seaweeds on agricultural crop production as biofertilizer. Int. J. Environ. Sci. Technol. 2017, 14, 1119–1134. [Google Scholar] [CrossRef]
- Ronga, D.; Biazzi, E.; Paratu, K.; Carminati, D.; Carminati, E.; Tava, A. Microalgal biostimulants and biofertilisers in crop productions. Agronomy 2019, 9, 192. [Google Scholar] [CrossRef]
- Kavipriya, R.; Dhanalakshmi, P.K.; Jayashree, S.; Thangaraju, N. Seaweed extract as a biostimulant for legume crop, green gram. J. Ecobiotechnol. 2011, 3, 16–19. [Google Scholar]
- Rivera, M.C.; Wright, E.R.; Salice, S.; Fabrizio, M.C. Effect of plant preparations on lettuce yield. Acta Hortic. 2012, 933, 173–179. [Google Scholar] [CrossRef]
- Reganold, J.P. Soil quality and profitability of biodynamic and conventional farming systems: A review. Am. J. Altern. Agric. 1995, 10, 36–45. [Google Scholar] [CrossRef]
- Bozsik, A. Studies on aphicidal efficiency of different stinging nettle extracts. Anz. Schädlingskd. Pfl. Umwelt. 1996, 69, 21–22. [Google Scholar] [CrossRef]
- Dabrowski, Z.T.; Seredynska, U. Characterisation of the Two-Spoted Spider Mite (Tetranychus Urticae Koch, Acari: Tetranychidae) Response to Aqueous Extracts from Selected Plant Species. J. Plant Prot. Res. 2007, 47, 113–124. [Google Scholar]
- Godlewska, K.; Biesiada, A.; Michalak, I.; Pacyga, P. The Effect of Plant-Derived Biostimulants on White Head Cabbage Seedlings Grown under Controlled Conditions. Sustainability 2019, 11, 5317. [Google Scholar] [CrossRef]
- Abdalla, M.M. The potential of Moringa oleifera extract as a biostimulant in enhancing the growth, biochemical and hormonal contents in rocket (Eruca vesicaria subsp. sativa) plants. Int. J. Plant Physiol. Biochem. 2013, 5, 42–49. [Google Scholar]
- Hayat, S.; Ahmad, H.; Ali, M.; Hayat, K.; Khan, M.A.; Cheng, Z.H. Aqueous garlic extract as a plant biostimulant enhances physiology, improves crop quality and metabolite abundance, and primes the defense responses of receiver plants. Appl. Sci. 2018, 8, 1505. [Google Scholar] [CrossRef]
- Omahen, M. Moj Bio-Vrt; Delo: Ljubljana, Slovenia, 1985; pp. 52–53. [Google Scholar]
- Peterson, R.; Jensen, P. Effects of nettle water on growth and mineral nutrition of plants. I. composition and properties of nettle water. Biol. Agric. Hortic. 1985, 2, 303–314. [Google Scholar] [CrossRef]
- Peterson, R.; Jensen, P. Effects of nettle (Urtica dioica) water on growth and mineral nutrition of plants: II. Pot-culture and water-culture experiments. Biol. Agric. Hortic. 1986, 4, 7–18. [Google Scholar] [CrossRef]
- Peterson, R.; Jensen, P. Uptake and transport of nitrogen, phosphorus and potassium in tomato supplied with nettle water and nutrient solution. Plant Soil 1988, 107, 189–196. [Google Scholar] [CrossRef]
- Godlewska, K.; Biesiada, A.; Michalak, I.; Pacyga, P. The Effect of Botanical Extracts Obtained through Ultrasound-Assisted Extraction on White Head Cabbage (Brassica Oleracea L. Var. Capitata L.) Seedlings Grown under Controlled Conditions. Sustainability 2020, 12, 1871. [Google Scholar] [CrossRef]
- Nikolić, T. Systematic Botany—Diversity and Evolution of Plants; Novoselić, D., Ed.; Alfa d.d.: Zagreb, Croatia, 2013; pp. 639–642. [Google Scholar]
- Stepanović, B.; Radanović, D.; Turšić, I.; Nemčević, N.; Ivanec, J. Uzgoj Ljekovitog i Aromatičnog Bilja; Jan Spider: Pitomača, Croatia, 2009; pp. 145–148. [Google Scholar]
- Šegota, T.; Filipčić, A. Köppen’s classification of climates and the problem of corresponding Croatian terminology. Geoadria 2003, 8, 17–37. [Google Scholar] [CrossRef]
- Bogunović, M.; Vidaček, Ž.; Racz, Z.; Husnjak, S.; Špoljar, A.; Sraka, M. FAO Unesco. In Pedološka Karta 1:1.000.000; Agronomski Fakultet Sveučilišta u Zagrebu: Zagreb, Croatia, 1998. [Google Scholar]
- Egnér, H.; Riehm, H.; Domingo, W.R. Untersuchungen uber die chemische Bodenanalyse als Grundlage fur die Beurteilung des Nährstoffzustandes der Böden. II. Chemische Extraktionsmethoden zur Phosphor- und Kaliumbestimmung. K. Lantbr. Ann. 1960, 26, 199–215. [Google Scholar]
- Association of Official Analytical Chemists. Official Methods of Analysis of AOAC International, 16th ed.; AOAC: Arlington, VA, USA, 1995; Volume 1. [Google Scholar]
- Weiβ, F. Effects of varied nitrogen fertilization and cutting treatments on the development and yield components of cultivated stinging nettles. Acta Hortic. 1993, 331, 137–144. [Google Scholar]
- Filipović, V.; Ugrenović, V.; Glamočlija, Đ.; Jevđović, R.; Grbić, J.; Sikora, V. Analysis of Ca, Mg, Fe, and Zn contents in aboveground biomass of wild nettle (Urtica dioca L.). Lek. Sirovine 2011, 31, 47–54. [Google Scholar]
- Lončarić, Z.; Parađiković, N.; Popović, B.; Lončarić, R.; Kanisek, J. Gnojidba Povrća, Organska Gnojiva i Kompostiranje; Lončarić, Z., Ed.; Poljoprivredni Fakultet Sveučilišta u Osijeku: Osijek, Croatia, 2015; pp. 59–60. [Google Scholar]
- Butorac, A. Opća Agronomija; Babić, S., Ed.; Školska Knjiga: Zagreb, Croatia, 1999; pp. 380–389. [Google Scholar]
- Salinas-Ramírez, N.; Escalante-Estrada, J.A.; Rodríguez-González, M.T.; Sosa-Montes, E. Yield and nutritional quality of snap bean in terms of biofertilization. Trop. Subtrop. Agroecosyst. 2011, 13, 347–355. [Google Scholar]
- Dozet, G.; Đukić, V.; Balešević-Tubić, S.; Đurić, N.; Miladinov, Z.; Vasin, J.; Jakšić, S. Uticaj primene vodenih ekstrakata na prinos u organskoj proizvodnji soje. In Zbornik Radova 1, XXII Savetovanje o Biotehnologiji sa Međunarodnim Učešćem; University of Kragujevac, Faculty of Agriculture: Čačak, Serbia, 2017; pp. 81–86. [Google Scholar]
- Ljubović, S. Impact of various herbal extracts on yield of lettuce (Lactuca sativa). In Sixth International Scientific Agricultural Symposium "Agrosym 2015”, Jahorina, Bosnia and Herzegovina, October 15–18; Kovacevic, D., Ed.; University of East Sarajevo, Faculty of Agriculture: Sarajevo, Bosnia and Herzegovina, 2015; pp. 1118–1126. [Google Scholar]
- Hartz, T.K.; Smith, R.; Gaskell, M. Nitrogen Availability from Liquid Organic Fertilizers. Horttechnology 2010, 20, 169–172. [Google Scholar] [CrossRef]
- Davis, D.R. Declining fruit and vegetable nutrient composition: What is the evidence? HortScience 2009, 44, 15–19. [Google Scholar] [CrossRef]
- Brown, J.C. Mechanism of iron uptake by plants. Plant Cell Environ. 1978, 1, 249–257. [Google Scholar] [CrossRef]
- Hadizadeh, I.; Peivastegen, B.; Kolahi, M. Antifungal activity of nettle (Urtica dioica L.), colocynth (Citrullus colocynthis L. Schrad), oleander (Nerium oleander L.) and konar (Ziziphus spina-christi L.) extracts on plants pathogenic fungi. Pak. J. Biol. Sci. 2009, 12, 58–63. [Google Scholar] [CrossRef] [PubMed]
- Vukadinović, V.; Vukadinović, V. Ishrana Bilja, 3rd ed.; Poljoprivredni Fakultet u Osijeku: Osijek, Croatia, 2011; pp. 186–192. [Google Scholar]




| Location | Growing Season | Sowing Date | First Application | Second Application | Fertilization— Urea | Third Application |
|---|---|---|---|---|---|---|
| Poreč | Spring | April 26th | May 30th | June 6th | June 6th | June 13th |
| Autumn | August 8th | September 5th | September 12th | September 12th | September 19th | |
| Zadar | Spring | April 21st | May 25th | June 1st | June 1st | June 8th |
| Autumn | August 9th | September 6th | September 13th | September 13th | September 20th |
| Location | pH (H20) | pH (KCl) | N (%) | P (mg 100 g−1) | K (mg 100 g−1) | Organic Matter (%) |
|---|---|---|---|---|---|---|
| Poreč | 7.82 | 6.54 | 0.16 | 12.64 | 33.50 | 2.42 |
| Zadar | 8.05 | 7.15 | 0.13 | 8.03 | 15.00 | 2.24 |
| Extraction Time | NO3-N (mg L−1) | NH4-N (mg L−1) | P (mg L−1) | K (mg L−1) | Fe (mg L−1) | pH | EC mS cm−1 |
|---|---|---|---|---|---|---|---|
| SE | 127.75 ± 3.03 | 17.96 ± 0.99 | 17.34 ± 0.89 | 562.33 ± 18.74 | 0.06 ± 0.00 | 7.88 ± 0.02 | 3.35 ± 0.04 |
| LE | 0.63 ± 0.01 | 111.78 ± 15.45 | 18.94 ± 2.42 | 646.00 ± 4.97 | 0.21 ± 0.01 | 6.52 ± 0.04 | 5.42 ± 0.03 |
| Stem Height (cm) | Stem Diameter (mm) | Leaf Area (dm2) | Pods Total Yield (kg m−2) | |
|---|---|---|---|---|
| Treatment (T) | ||||
| C | 28.1 ± 10.04 ab | 4.9 ± 0.87 b | 84.8 ± 46.12 | 1.13 ± 0.78 b |
| U | 31.0 ± 11.30 a | 6.1 ± 0.96 a | 152.7 ± 77.91 | 1.41 ± 0.43 a |
| SE1 | 28.2 ± 11.94 ab | 5.3 ± 0.80 b | 112.1 ± 57.52 | 1.14 ± 0.69 b |
| SE2 | 29.7 ± 10.05 ab | 5.2 ± 1.09 b | 99.5 ± 47.17 | 1.11 ± 0.69 b |
| SE3 | 25.2 ± 10.83 b | 5.4 ± 0.90 ab | 105.1 ± 76.21 | 1.12 ± 0.58 b |
| LE1 | 29.1 ± 9.34 ab | 5.3 ± 0.92 b | 103.4 ± 51.45 | 1.17 ± 0.68 ab |
| LE2 | 32.6 ± 10.60 a | 5.5 ± 0.76 ab | 120.0 ± 62.97 | 1.08 ± 0.58 b |
| LE3 | 30.6 ± 13.38 ab | 5.2 ± 0.74 b | 100.4 ± 49.55 | 1.16 ± 0.59 ab |
| Location (L) | ||||
| Poreč | 33.2 ± 11.09 a | 5.7 ± 0.88 a | 132.1 ± 68.81 a | 1.57 ± 0.60 a |
| Zadar | 25.2 ± 9.37 b | 5.0 ± 0.85 b | 85.1 ± 38.03 b | 0.77 ± 0.25 b |
| Season (S) | ||||
| Spring (SP) | 20.7 ± 6.81 b | 5.2 ± 0.82 b | 84.9 ± 60.98 b | 1.39 ± 0.75 a |
| Autumn (AU) | 37.2 ± 7.80 a | 5.6 ± 0.98 a | 134.8 ± 50.42 a | 0.94 ± 0.27 b |
| ANOVA | ||||
| T | ** | *** | NS | ** |
| L | *** | ** | *** | *** |
| S | *** | ** | *** | *** |
| T × L | NS | NS | NS | NS |
| L × S | NS | ** | *** | *** |
| T × S | NS | NS | NS | NS |
| T × L × S | NS | NS | NS | ** |
| Total | P | K | Fe | |
|---|---|---|---|---|
| Nitrogen (% N DM) | (g kg−1 DM) | (g kg−1 DM) | (g kg−1 DM) | |
| Treatment (T) | ||||
| C | 3.03 ± 0.54 b | 2.98 ± 0.54 | 11.58 ± 2.33 | 212.3 ± 134.72 ab |
| U | 3.52 ± 0.53 a | 2.72 ± 0.87 | 11.68 ± 3.13 | 161.15 ± 45.98 b |
| SE1 | 3.02 ± 0.54 b | 2.83 ± 0.76 | 10.78 ± 2.60 | 207.37 ± 121.01 ab |
| SE2 | 3.02 ± 0.59 b | 2.87 ± 0.72 | 11.01 ± 2.68 | 241.71 ± 97.13 ab |
| SE3 | 2.96 ± 0.51 b | 2.77 ± 0.67 | 11.56 ± 3.10 | 256.58 ± 239.46 ab |
| LE1 | 3.13 ± 0.39 b | 2.85 ± 0.81 | 12.28 ± 3.11 | 195.39 ± 91.88 ab |
| LE2 | 2.84 ± 0.54 b | 2.79 ± 0.80 | 11.32 ± 2.04 | 209.73 ± 144.15 ab |
| LE3 | 2.91 ± 0.54 b | 2.75 ± 0.64 | 11.20 ± 2.74 | 319.16 ± 167.01 a |
| Location (L) | ||||
| Poreč | 3.31 ± 0.38 | 3.22 ± 0.35 a | 13.40 ± 1.73 a | 160.82 ± 81.46 b |
| Zadar | 2.83 ± 0.57 | 2.48 ± 0.82 b | 9.73 ± 2.17 b | 280.69 ± 162.67 a |
| Season (S) | ||||
| Spring (SP) | 2.75 ± 0.49 | 2.55 ± 0.29 | 11.87 ± 2.34 | 184.42 ± 113.11 b |
| Autumn (AU) | 3.41 ± 0.35 | 3.13 ± 0.91 | 10.92 ± 2.99 | 271.27 ± 161.45 a |
| ANOVA | ||||
| T | *** | NS | NS | ** |
| L | NS | *** | *** | *** |
| S | NS | *** | NS | *** |
| T × L | NS | ** | NS | NS |
| L × S | *** | *** | *** | NS |
| T × S | NS | NS | NS | NS |
| T × L × S | ** | NS | NS | NS |
Publisher’s Note: MDPI stays neutral with regard to jurisdictional claims in published maps and institutional affiliations. |
© 2021 by the authors. Licensee MDPI, Basel, Switzerland. This article is an open access article distributed under the terms and conditions of the Creative Commons Attribution (CC BY) license (https://creativecommons.org/licenses/by/4.0/).
Share and Cite
Maričić, B.; Radman, S.; Romić, M.; Perković, J.; Major, N.; Urlić, B.; Palčić, I.; Ban, D.; Zorić, Z.; Ban, S.G. Stinging Nettle (Urtica dioica L.) as an Aqueous Plant-Based Extract Fertilizer in Green Bean (Phaseolus vulgaris L.) Sustainable Agriculture. Sustainability 2021, 13, 4042. https://doi.org/10.3390/su13074042
Maričić B, Radman S, Romić M, Perković J, Major N, Urlić B, Palčić I, Ban D, Zorić Z, Ban SG. Stinging Nettle (Urtica dioica L.) as an Aqueous Plant-Based Extract Fertilizer in Green Bean (Phaseolus vulgaris L.) Sustainable Agriculture. Sustainability. 2021; 13(7):4042. https://doi.org/10.3390/su13074042
Chicago/Turabian StyleMaričić, Branka, Sanja Radman, Marija Romić, Josipa Perković, Nikola Major, Branimir Urlić, Igor Palčić, Dean Ban, Zoran Zorić, and Smiljana Goreta Ban. 2021. "Stinging Nettle (Urtica dioica L.) as an Aqueous Plant-Based Extract Fertilizer in Green Bean (Phaseolus vulgaris L.) Sustainable Agriculture" Sustainability 13, no. 7: 4042. https://doi.org/10.3390/su13074042
APA StyleMaričić, B., Radman, S., Romić, M., Perković, J., Major, N., Urlić, B., Palčić, I., Ban, D., Zorić, Z., & Ban, S. G. (2021). Stinging Nettle (Urtica dioica L.) as an Aqueous Plant-Based Extract Fertilizer in Green Bean (Phaseolus vulgaris L.) Sustainable Agriculture. Sustainability, 13(7), 4042. https://doi.org/10.3390/su13074042

