Abstract
The Baltic Sea is considered the marine water body most severely affected by eutrophication within Europe. Due to its limited water exchange nutrients have a particularly long residence time in the sea. While several studies have analysed the costs of reducing current nutrient emissions, the costs for remediating legacy nutrient loads of past emissions remain unknown. Although the Baltic Sea is a comparatively well-monitored region, current data and knowledge is insufficient to provide a sound quantification of legacy nutrient loads and much less their abatement costs. A first rough estimation of agricultural legacy nutrient loads yields an accumulation of 0.5–4.0 Mt N and 0.3–1.2 Mt P in the Baltic Sea and 0.4–0.5 Mt P in agricultural soils within the catchment. The costs for removing or immobilising this amount of nutrients via deep water oxygenation, mussel farming and soil gypsum amendment are in the range of few tens to over 100 billion €. These preliminary results are meant as a basis for future studies and show that while requiring serious commitment to funding and implementation, remediating agricultural legacy loads is not infeasible and may even provide economic benefits to local communities in the long run.
1. Introduction
Urbanisation and agricultural intensification since the 1950s have caused an increase in emissions of excessive nutrients (mainly compounds of nitrogen (N) and phosphorus (P)). The nutrient enrichment of in-land and marine waterbodies, known as eutrophication, is a serious threat to aquatic ecosystems which has led to frequent algal blooms, oxygen depletion and a decline in biodiversity [1]. By 2050 20% of large marine ecosystems may be affected by increasing coastal eutrophication if efforts to reduce nutrient pollution are not intensified [2].
In Europe, the marine water body, which is currently considered to suffer most from eutrophication is the Baltic Sea [1]. More than a century of N and P emissions from municipal and industrial wastewater, as well as agricultural runoff have led to a situation, were 97% of the Baltic Sea are impaired by elevated nutrient levels, reoccurring cyanobacterial blooms, high oxygen debt and other eutrophication impacts [3]. Its shallow depth, limited water exchange and brackish conditions make the Baltic Sea an especially weak and vulnerable environment [4].
However, the Baltic Sea is also, arguably, the best studied and monitored sea within Europe and the region has long-standing experience in the combat against eutrophication [1]. Actions are mainly led by the Baltic Marine Environmental Protection Commission (Helsinki Commission, HELCOM) an intergovernmental alliance between the European Union (EU) and the nine Baltic countries bordering the Baltic Sea (Denmark, Estonia, Finland, Germany, Latvia, Lithuania, Poland, Russia, and Sweden), founded in 1974. The key document coordinating measures and actors is the Baltic Sea Action Plan (BSAP), which was adopted in 2007 and is currently in the process of updating [5]. Its main aim is to restore the good environmental status of the Baltic marine environment. Regarding eutrophication, the original BSAP set maximum allowable nutrient input levels (0.79 Mt N/y and 0.02 Mt P/y) that should be achieved by 2021. These targets are broken down both to sub-basins and to reduction needs for individual member countries compared to reference inputs in 1997–2003 [4]. Furthermore, the Urban Wastewater Treatment Directive (91/271/EEC), the Nitrates Directive (91/676/EEC), the Water Framework Directive (2000/60/EC), the Marine Strategy Framework Directive (2008/56/EC), the Industrial Emissions Directive (2010/75/EU), as well as the EU Strategy for the Baltic Sea Region (EUSBSR) are playing an important role for the implementation of policy dealing with eutrophication [1,6]. Despite significant reductions of nutrient loads to the sea (ca. 25% for N and >50% for P since their peak in the 1980s), the 2021-targets of the BSAP are missed and eutrophication continues to be one of the most pressing issues in the region [3].
Both aspects, the severity of the problem as well as the good documentation of emissions, their impacts, and the effects of different mitigating measures, could enable the Baltic Sea region to become a forerunner for a successful large-scale transition towards a circular, green economy and society. Within the region, but also within the European Commission, the need for bold, interdisciplinary, and trans-sectoral actions that engage the whole society is growing. This is reflected e.g., in the promotion of a Baltic Sea Socioeconomic Action Plan [7] or a Mission Blue [8] in the former and the European Green Deal [9] as well as the Missions under the Horizon Europe Programme [10] in the latter. However, one of the most crucial issues for the implementation of an integrated, holistic strategy is the mobilisation of adequate funding. During the 11th EUSBSR Annual Forum (https://www.annualforum2020.eu/en, accessed on 20 October 2020), lack of national commitment to funding was identified as one of the reasons why the aims of the EUSBSR have not been reached yet. While the European Commission envisages a budget of at least €100 billion over the period 2021–2027 for the just transition toward the green economy [11], actual mobilisation of funding by the member states often proves difficult as has for instance been shown for the Natura 2000 strategy [12].
Meanwhile, the costs of damaging the natural environment are often overlooked. In the Baltic Sea region several studies have analysed the costs of reducing nutrient loads to the sea [13,14,15,16,17], sometimes juxtaposing them to the value people assign to a healthy sea [13] or comparing economic effects (employment, property values, etc.) of an intact and an environmentally degraded marine environment [16]. Yet, to our knowledge, the damage caused by past nutrient emissions has not been quantified to date. Due to the limited water exchange, P has a particularly long residence time in the Baltic Sea (N leaves the system via denitrification). Huge amounts of P from past emissions have been stored in the bottom sediments of the Baltic Sea from which they can be released under anoxic conditions [18]. Moreover, cyanobacterial blooms caused by excessive P concentrations, lead to higher levels of N2 fixation, thus counteracting the effects of N load reductions [19]. Furthermore, large amounts of P have accumulated in agricultural soil, so that current efforts to decrease overfertilisation will not immediately manifest in reduced agricultural P emissions [20]. In fact, it is estimated that even if the targets set in the BSAP were met, it would take another 150–200 years until the overall goal of “a Baltic Sea unaffected by eutrophication” would be reached [1], based on [21].
In the present study, we provide a first estimation of legacy nutrient loads and their abatement costs for the agricultural sector, which is one of the sectors currently regarded as most challenging and important to tackle [8]. The aims of this preliminary analysis are twofold:
- Comparing amounts and removal costs of legacy nutrient loads to those of reducing current emissions as well as to public funding available in order to support the adequate integration of legacy nutrient loads in future eutrophication remediation strategies
- Substantiating the discussion on preventing emissions vs remediating environmental damages with a comparison of long-term damage costs of agricultural nutrient emissions, the economic benefits generated by the sector and the costs of agricultural emission prevention
For that purpose, results of past monitoring and modelling in the Baltic Sea are combined to estimate the amounts of P stemming from agricultural activities currently present in the sea and on land. Subsequently, the costs of extracting P from the water or permanently binding it in bottom sediments and on land are quantified.
2. Materials and Methods
2.1. Description of the Baltic Sea Region
The Baltic Sea is one of the world’s largest brackish water bodies (240,000 km²), surrounded by eight EU member states (Denmark, Estonia, Finland, Germany, Latvia, Lithuania, Poland, and Sweden) as well as Russia. About half of Belarus and minor parts of Czech Republic, Norway, Slovakia and Ukraine also lie within the Baltic Sea catchment (1,729,500 km²) [22].
The characteristic salinity gradients both with depth and from the southwest to the northeast stem from the facts that the Baltic Sea is rather shallow (less than 30 m in more than one third of the area) and that water exchange is limited as the narrow passage through the Sound and Belt Sea is its only connection to the North Sea. The latter also causes seasonal oxygen deficiencies and anoxic conditions in deeper parts of the sea as well as accumulation of nutrients and other pollutants from human origins. Few species are adapted to the brackish conditions; however, they have created a rare community, where both seawater and freshwater species coexist alongside each other [4].
Climatological conditions vary considerably across the basin with Atlantic-temperate climate in the southwest, continental-temperate climate in the east and boreal to artic conditions in the north. This is reflected in the land use, where forest and peatland dominate in the north, whereas cultivated areas are more common in the southern parts of the catchment [22]. Consequently, the share of agricultural area in total land area ranges from 0.2% in the Russian Republic of Karelia to 66.6% in Sjælland in Denmark. Livestock densities in the different regions, which are an indicator for the amount of organic fertiliser applied to fields vary between 0.15 life stock units/ha (LSU/ha) in Helsinki-Uusimaa in Finland to 2.11 LSU/ha in Leningrad Oblast in Russia [23,24,25,26,27,28,29,30,31,32].
2.2. Quantifying Agricultural Legacy Nutrient Loads
2.2.1. Nutrients Present in the Sea
Savchuk [18] modelled the current (as of 2016) nutrient pools in the Baltic Sea with approximately 6 Mt N and 0.7 Mt P. However, anthropogenic emissions are only partly responsible for these pools. Latest data reported by HELCOM [33] show that around one third of both N and P emissions can be attributed to the “natural background”. The share of current nutrient pools attributable to agricultural emissions is thus calculated as:
where:
Lcum,agr cumulative agricultural nutrient load to the Baltic Sea (expressed in t N or t P)
lair,t,agr deposition of airborne agricultural emissions on the Baltic Sea (expressed in t N/y or t P/y)
lriver,t,agr riverine agricultural nutrient load to the Baltic Sea (expressed in t N/y or t P/y),
RT nutrient residence time in the Baltic Sea
T most recent year, for which data on nutrient load is available
Residence times of N and P in the Baltic Sea have been estimated by Savchuk [18] and Radtke et al. [34]. Savchuk [18] reports an average residence time of 49 years for P, which is in accordance with Radtke et al. [34] who found P residence time exceeding their study period of 35 years. Results for N are more divergent, though: while Savchuk [18] estimates a mean residence time of 9 years, it is merely 1.4 years for riverine N according to Radtke et al. [34]. To account for uncertainties in residence times, ranges of Lcum,agr are calculated applying residence times of 1–9 years for riverine N and 35–49 years for P.
It should be noted that assuming constant residence times over time constitutes a model simplification. In reality, nutrient residence times are dependent on trends in inflows of marine water and weather conditions (e.g., temperature and wind) [4]. Not least, residence times are affected by nutrient levels themselves, for instance through biological feedbacks as described in Section 1.
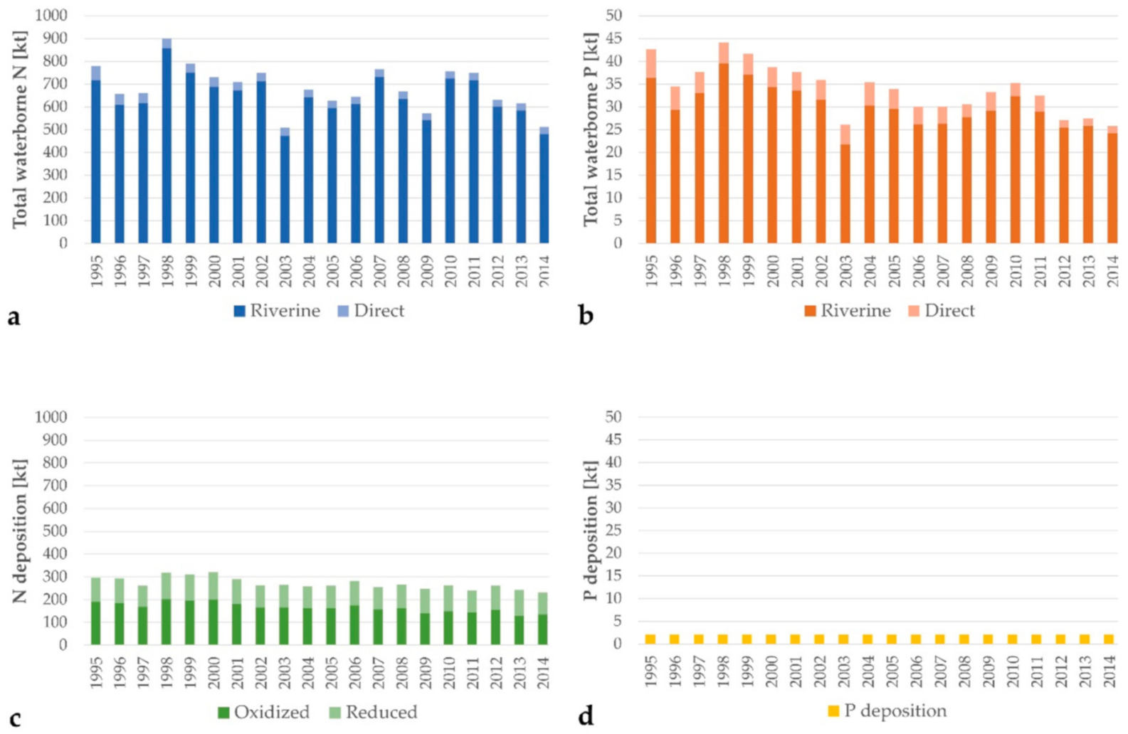
HELCOM provides a time series of riverine and direct nutrient inputs as well as water flows to the Baltic Sea since 1995, the most recent entry stemming from 2017 [35], see Figure 1. Similarly, a time series for 1995–2016 for atmospheric emissions and deposition of oxidized and reduced N is available [36,37], see Figure 1. To reach a consistent time series, deposition values for 2016 are extended to 2017 in the present study. Measurements of atmospheric deposition of P are very limited, which is why HELCOM assumes a constant deposition rate of 5 kg P/km² [38]. Prior to 1995, a time series of riverine P inputs and water flows based on Savchuk et al. [39] is available in McCrackin et al. [20].
Figure 1.
Nutrient inputs to the Baltic Sea 1995–2017: (a) Annual direct and riverine N (based on [35]); (b) Annual direct and riverine P (based on [35]); (c) Annual atmospheric deposition of oxidized and reduced forms of N (based on [37]); (d) Annual atmospheric deposition of P (based on [38].
In addition, HELCOM conducts Pollution Load Compilations (PLC) at regular intervals, in which the state of nutrient loads and their sources are analysed in more detail. These are used to estimate the share of the cumulative nutrient load that can be attributed to agriculture. However, the analysis is restricted to HELCOM contracting parties; thus, transboundary agricultural emissions from non-riparian countries within the Baltic Sea catchment (primarily Belarus) have not been considered. Table 1 provides an overview of the available data on riverine agricultural emissions. For years without specific information, values are determined via linear inter- or extrapolation. Airborne agricultural N emissions deposited in the Baltic Sea are calculated using general factors reported in the PLC-5.5 assessment [38]: 85–95% of reduced N deposition can be attributed to agricultural emissions, whereas they play a negligible role in oxidized N deposition. Furthermore, 75% of reduced N deposition on the Baltic Sea are estimated to stem from emissions of HELCOM contracting parties. These factors are mostly based on data from 2000 and 2003; however, as ratios in N deposition have been reported to be comparatively stable over time [38], it is justifiable to apply them to the whole time series. Due to lack of data HELCOM treats P deposition as natural background input [38] so that atmospheric P deposition of agriculture emissions is not considered in the current assessment. Similarly, agricultural emissions deposited on river surfaces and subsequently transported to the Baltic Sea are neglected.
Table 1.
Reported riverine agricultural nutrient loads, absolute (t N, t P) and relative to total riverine load (%N, %P).
However, like estimates of nutrient residence times, all of these input data are subject to large uncertainties. Especially for the early years of the time series missing data had to be replaced with estimates. Moreover, nutrient loads are partly derived from measurements of discharges and nutrient concentrations at river mouths, partly from modelling and both measurement frequency and modelling approaches differ between different stations/countries and have changed over time [43]. Svendsen and Gustafsson [35] estimate uncertainty of annual total waterborne N with roughly 15–25%, whereas for annual total P uncertainty may reach up to 50%. The accuracy of air concentrations of N is approximately 30% [37] and for P deposition 20% [38]. These ranges are used to calculate minimum and maximum cumulative nutrient loads. For P loads prior to 1995 no uncertainties are stated. An equal uncertainty as for later years (50%) is assumed, which may, however, underestimate true uncertainty. The PLC reports do not disclose uncertainties of agricultural emissions either. Therefore, different combinations of input data and calculation paths are used to compile a likely range of cumulative agricultural nutrient loads. All calculations are documented in Tables S1 and S2.
2.2.2. Nutrients Present on Land
According to McCrackin et al. [20] (based on data by Bouwman et al. [44]) 50 Mt P have accumulated in arable land and grassland in the Baltic Sea region between 1900 and 2010. Part of this stock is strongly bound in soil, whereas another is prone to leaching and thus will contribute to the marine P load in the future. McCrackin et al. [20] modelled the distribution of P in the landscape between the mobile and stable pool and estimate that in 2013 the mobile and stable pool comprised 17 and 27 Mt P, respectively. Their system not only includes P accumulated in agricultural soil, but also in marine sediments, the sewage system, and landfills. Nevertheless, considering that the total pool in Bouwman et al. [44] is of a similar magnitude, that sewage is typically managed within short time frames and that the P pool in the Baltic Sea as estimated by Savchuk [18] is comparatively small (0.7 Mt), it can be assumed that agricultural soils also predominate in the P pools of McCrackin et al. [20]. Consequently, we estimate the nutrient load that has accumulated on agricultural land between 17 Mt P (equivalent to the full mobile pool in McCrackin et al. [20]) and 19 Mt P (applying the ratio mobile:stable pool of McCrackin et al. [20] to the total pool estimated by Bouwman et al. [44]).
For the period 1900–2013 McCrackin et al. [20] determined annual leaching rates of 0.08% and 3.17% from the mobile pool to the Baltic Sea and from the mobile to the stable pool, respectively. Under the simplified assumption that these rates are stable over time, we model P leaching to the Baltic Sea until the mobile pool is depleted to less than 1 t of P as:
where:
PMt mobile pool in year t
rBS leaching rate from the mobile pool to the Baltic Sea (0.08% according to [20])
rSP leaching rate from the mobile pool to the stable pool (3.17% according to [20])
It should be noted that P leaching from agricultural soils to the Baltic Sea is correlated to riverine discharge. As future discharge levels remain unknown, we assume discharge to equal the long-term average 1900–2013 as reported in McCrackin et al. [20]. Changes in average discharge, e.g., due to climate change, are therefore neglected in the present study. Calculations are documented in Table S3.
2.3. Monetising Impacts of Agricultural Legacy Nutrient Loads
Monetisation of legacy nutrient loads stemming from agricultural activities are based on an abatement cost approach, thus quantifying the costs arising if negative environmental impacts were mitigated [45].
Recently, measures tackling the legacy nutrient load in the Baltic Sea have attained increasing attention, including attempts to extract nutrients from the sea via mussel farming [46,47,48,49], targeted fishing of cyprinids [50] and harvesting of (naturally occurring or cultivated) algae [51,52], as well as efforts to prevent P release from bottom sediments via dredging [53], deep water oxygenation [54,55,56] and injection of aluminium [57,58] or marl [59]. Meanwhile, legacy P on agricultural land is mainly addressed by structural liming [58,60] or gypsum amendment [61,62], both aiming at binding P in more stable forms in the soil.
The costs and potential impacts in terms of nutrient abatement of these measures are derived from a review of both peer-reviewed scientific articles and grey literature such as various project reports. The information is then used to develop an abatement scenario for agricultural legacy loads. To provide a fair measure of the impact of past nutrient emissions, it is important that nutrient abatement is conducted in a cost-efficient way. On the other hand, measures tackling sea bottom sediments constitute substantial interventions into the marine environment. Oxygenation pumping for instance may destroy the thermal and salinity stratification of the ocean and cause the release of contaminants previously bound in the sediments. Depending on the method and mitigation measures taken, dredging may cause turbidity, noise and vibration disturbance and destroy benthic habitats. Aluminium may be released from the sediments at alkaline and acid pH and have toxic effects on aquatic organisms, although this risk is perceived as rather low due to the high buffering capacity of the Baltic Sea [63,64]. Similarly, intensive fishing or mussel farming could cause unpredictable and severe changes in marine biodiversity [65], although regarding the latter, the risk of oxygen deficits following sedimentation of organic material underneath the farms or competition with fish populations is gauged marginal in recent studies [66]. Sites for soil gypsum amendment also have to be carefully selected to prevent contamination of lakes, groundwater or ecologically valuable sites with sulphate [61]. In general, more research is needed on long-term effects and potential risks of large-scale implementations of these measures. To nevertheless provide a first rough estimate of monetary impacts of past agricultural nutrient loads, the developed abatement scenario is based on currently available knowledge and is taking both costs and potential risks into account.
It has to be noted that soil- and sea-based measures are complementary as they tackle two different types of legacy nutrients. Costs should therefore be regarded as additive rather than alternative. Similarly, the measures and costs presented here are not meant to substitute for actions on reduction of current nutrient emissions but aim at monetising the damage caused by emissions that already occurred in the past.
Furthermore, most abatement cost studies in the Baltic Sea region (e.g., [13,14,15]) attribute the full costs alternately to N and P, although most measures have effects on both nutrients. To facilitate comparison with these studies and between the measures analysed in the current study (not all measures are suitable to tackle the N load), we opt for expressing costs as per kg P removed or immobilised. Nevertheless, scenarios are designed in a way that ensures both nutrients will be abated fully.
2.4. Current Output Created by Agriculture
Data on the Gross value added (GVA) created in the agricultural sector are available from Eurostat [67] for the countries of the EU and the online data platform Knoema [25,26,27,28,29,30,31,32] for Russia and Belarus. As substantial parts of Russia and Germany are outside the Baltic Sea catchment, regional data on GVA is used. For Germany, these stem from a national statistical database [68] and the calculation method differs slightly from Eurostat data (differences on national level amount to 3–14%). Eurostat data is available from 1995. Thus, an average annual GVA for the period 1995–2017 is calculated. For Russian regions, data is only available for 1996 and 2015 and is linearly interpolated for intermediate years. As agricultural legacy P loads partly include, partly exclude emissions from Belarus, average annual GVA is calculated both including and excluding Belarus (see Table S4).
3. Results and Discussion
3.1. Agricultural Legacy Nutrient Loads in the Baltic Sea Region
Based on the calculations described in Section 2.2 the agricultural legacy nutrient loads in the Baltic Sea as of 2017 amount to 0.5–4.0 Mt N and 0.3–1.2 Mt P. Hence, agriculture is responsible for 30–40% of the cumulative load (see Table 2). Figure 2 shows the distribution of nutrient loads between the different subbasins of the Baltic Sea based on Savchuk [18]. In addition, of the 17–19 Mt P that have accumulated in mobile pools on agricultural land within the catchment, 0.4–0.5 Mt would leach to the Baltic Sea over a period of approximately 500 years. 96% of this load occur in the initial 100 years, as can be seen in Figure 3.
Table 2.
Cumulative nutrient loads over nutrient lifetime in the Baltic Sea and parts of the load that can be attributed to agricultural emissions of HELCOM contracting parties based on historical emission data.
Figure 2.
Overview of Baltic Sea subbasins (left, background map from [69]) and distribution of nutrient loads based on [18] (right).
Figure 3.
Leaching of legacy P from the mobile P pool in agricultural soils to the Baltic Sea during the initial 200 years under to different assumptions of initial magnitude of the mobile pool (PM min and PM max). Calculation based on [20] and documented in Table S3.
While the estimate for the total N load corresponds well with the model by Savchuk [18] (6 Mt), the total P load in the present study is considerably higher (0.9–3.3 Mt vs. 0.7 Mt), taking into account that the lower number refers to a reference time of 35 years instead of 49 as applied by Savchuk [18]. In general, the wide ranges of the estimates we provide reveal that even in a comparatively well studied and monitored region like the Baltic Sea catchment, nutrient loads are associated with high uncertainties. As shown in Tables S1 and S2 uncertainties of the total nutrient emissions provided by HELCOM [35,37,38] dominate over uncertainties related to nutrient residence times and methodological uncertainties of determining the agricultural share in total loads. Thus, there is a need to further harmonise measurement and modelling techniques between the different HELCOM parties and to increase understanding of emission and retention mechanisms as well as the complex ecosystem interactions governing eutrophication [3].
Furthermore, it should be minded that transboundary loads from non-HELCOM contracting parties are not included in the riverine agricultural loads due to lack of data (legacy P stored in agricultural soils also includes Belarus). Moreover, like current HELCOM assessments, the present study assumes steady state conditions in the Baltic environment. Climate change is predicted to significantly impact the region over the next century, though. A shift in precipitation regimes (i.e., an increase in extreme rainfall events), for instance, could amplify the risk of soil and riverbank erosion and thus of nutrient input to the sea. Moreover, soil frost and snow cover reduce leaching of pollutants during large parts of the year, which is why warmer winters are also likely to result in increased nutrient loads [22]. In addition, warmer temperatures are likely to increase mineralisation rates and primary production in the sea [4], although on century-long timescales recent studies expect a decline in marine primary production [70,71]. It is therefore likely that nutrient residence times both in sea and on land as well as annual “natural” background loads change in the future and efforts to combat eutrophication will have to be reinforced compared to current projections. In addition, numerous feedbacks between eutrophication and other marine pressures exist. Shifts in the food chain caused by overfishing or habitat loss could, for example, lead to an increase in phytoplankton blooms due to a lack of natural enemies [58]. The state of eutrophication is thus partly dependent on the management of other pressures.
3.2. Costs of Remediating Agricultural Legacy Nutrient Loads
The literature review comprises a total of 45 studies on remediation measures [16,46,47,48,49,50,51,52,53,54,55,56,57,58,59,60,61,62,63,65,72,73,74,75,76,77,78,79,80,81,82,83,84,85,86,87,88,89,90,91,92,93,94,95,96], the majority of which dealing with mussel farming (see Table S5). However, most studies refer to pilot experiments or small-scale implementations; hence, nutrient removal or immobilisation costs are site-specific and cannot be transferred to the whole region. An upscaling to larger areas with abatement potentials above 100 t P has only been undertaken in eight studies, as shown in Table 3.
Table 3.
Costs and potential impacts (t P removed or immobilised) of soil and sea-based measures.
Kotta et al. [65] do not provide cost estimates for the regional upscaling of mussel farming. Their aim is to show that mussel farming can be an effective complement to land-based measures as an extent of 1500 km² (0.4% of the Baltic Sea surface area) would suffice to close the remaining nutrient gaps of the BSAP. However, cost estimates for numerous individual farms in different region are available, as shown in Table 4.
Table 4.
Production costs and required subsidies of blue mussel farming in different regions of the Baltic Sea. Summary of studies listed in Table S5.
Nutrient abatement costs are mainly dependent on mussel yield, which, following the salinity gradient, tends to decrease from the southwest, where mussel farming is already commercially conducted, to the northeast. However, Buer et al. [99] found mussel nutrient content equally or even more dependent on habitat and harvesting time than on salinity. Besides, differences in farming and harvesting techniques, as well as investment costs and assumed lifetime of equipment may have a large impact on production costs under real farm conditions. For instance, the Swedish Sankt Anna farm, located at a sheltered site in the Östergötland archipelago, achieved higher yields (3.4 kg/m rope) than a farm located near Kiel, Germany (2.5 kg/m rope). Model predictions for the two sites were 1.3 kg/m and 14.7 kg/m, respectively [65]. Similarly, in a model with higher spatial differentiation for the western Baltic, Holbach et al. [100] predict biomass yields of up to 41.7 kg/m rope in areas that were judged unsuitable for blue mussel cultivation by Kotta et al. [65]. Moreover, contrary to soil- and sediment-based measures, mussel farming is not only a remediation measure, but could also create economic benefits. In the outer Baltic 0.09 Mt of blue mussels were cultivated and marketed as food in 2016 [101]. Assuming a P content of 0.088% [65] this corresponds to a removal of 81 t P. Although mussels from the central and inner Baltic are probably not suitable for human consumption due to their limited size, there are numerous alternative market opportunities including processing to feed or fertiliser and production of environmentally friendly anti-corrosive products, adhesives, or human nutraceuticals [48,51]. Schultz-Zehden et al. [48] estimate that such markets could become economically viable if production costs do not exceed 0.1 €/kg (translating to 114 €/kg P in the outer-, 189 €/kg P in the central-, and 250 €/kg P in the inner Baltic [65]). It is thus evident, that mussel farms will be at least partly dependent on external subsidies, as shown in Table 4. Yet, mussel farming in the central and inner Baltic is still in the pilot stage and has therefore generally not been optimised for nutrient extraction. With increasing experience, technological advances and once a critical size allowing for industrial production and economies of scale is reached, higher yields and lower production costs may be possible [47,48,101].
3.3. Remediation Scenario
Although data are not fully comparable because they refer to different regions and were conducted at different times, Table 3 and Table 4 indicate that deep water oxygenation is the most cost-effective of the sea-based measures, for which larger-scale cost estimates are available. Thus, it is assumed that deep water oxygenation is implemented to its full capacity of immobilisation of 0.06–0.09 Mt P in the Baltic Proper, corresponding to approximately 10% of the agricultural legacy load present in this subbasin. Considering the cost range of large-scale oxygenation (2–75 €/kg P, as listed in Table 3) under the most favorable conditions, i.e., where immobilisation capacity is at the higher and costs are at the lower end of the range, the costs of this measure would amount to 0.2 billion €, whereas in the opposite, least favorable case, they would be 4.5 billion €. Deep water oxygenation may also be possible in other subbasins, as shown by Rantajärvi et al. [54]; however, to date the Baltic Proper is the only subbasin for which potentials have been estimated. The abatement potential of this measure is therefore most likely underestimated.
The remaining abatement of legacy nutrients in the sea (0.15–0.18 Mt P) is assumed to be reached via blue mussel farming. Although contrarily to Kotta et al. [65], in this scenario mussel farming is not perceived as a measure to mitigate current nutrient emissions, but to remediate the nutrient loads already present in the sea, an equal extent of mussel farming of 900 km² with a removal potential of 0.010 Mt P/a in the central and 600 km² with a removal potential of 0.001 Mt P/a in the inner Baltic is assumed. This is merely a fraction of the area considered most suitable for mussel farming by Kotta et al. [65]. Yet, 1500 km² of mussel farms could easily be achieved under the current spatial planning regime of the Baltic Sea, whereas large extents could cause spatial conflicts with other uses such as recreation, aquaculture, environmental protection, transport, or energy generation [65]. Following the same rationale of conservative estimation for the outer Baltic, the current extent of commercial mussel farming with an annual removal of 81 t P (see Section 3.2) is assumed. Hence, to remove the remaining agricultural legacy loads mussel farming would have to be conducted for 29–130 years in the inner-, for 13–93 years in the central-, and for 76–335 years in the outer Baltic. Because of the conservative estimation of mussel farm extent, it is assumed that only locations with the most favourable conditions and thus lowest costs are used. Costs are therefore set to the lower end of the ranges for required subsidies shown in Table 4. This approach is subject to two main restrictions: Firstly, as nutrient removal progresses, ecological conditions in the Baltic Sea might change, resulting in lower food availability and thus lower abatement potentials of mussel farming in the future. This may necessitate a relocation of mussel farms and entail higher production costs of mussel farming over time. Secondly, current estimates of mussel production costs are mostly based on pilot experiments along the coastlines. At least with current technology offshore production costs are deemed considerably higher [66]. Spatial conflict among near shore locations may thus be more severe than for overall suitable locations and mussel farms may be forced to move to less profitable areas. On the other hand, wider extension of blue mussel farming combined with advancing experience and technology, as described in Section 3.2, may significantly reduce abatement costs and marketing of mussels as feed or fertiliser could constitute a new industrial sector creating income and job opportunities for the region. Furthermore, mussel farming may be supplemented by other biological measures, which were excluded from the present study because they have not been demonstrated beyond pilot experiments in single locations. For instance, farming of zebra mussels or targeted fishing of cyprinids may constitute a viable alternative, where low salinity leads to high costs of blue mussel farming. Zebra mussels exhibit similar nutrient removal capacities as blue mussels and a case study in the Curonian Lagoon in Lithuania revealed annual harvest potentials of up to 40 t/ha [51], which is at the lower end of blue mussel yields in the western Baltic [49]. According to Mäki [50], up to 8 t P could be extracted by fishing of roach and breach in the Archipelago Sea (southern part of the Bothnian Sea) annually. As it is difficult to determine which effects will prevail in the long run, costs are estimated based on current conditions in the present study.
Thus, considering the most favourable case where P immobilisation via deep water oxygenation is at its upper range and only 0.15 Mt P have to be removed from the sea via mussel farming, the total costs of this measure would be 14.1 billion €. If, on the other hand, P immobilisation is less effective, costs of mussel farming might increase to 86.3 billion €.
Regarding legacy loads on agricultural land, the costs for structural liming and gypsum amendment seem to be in a similar range, considering the different lifetimes of the measures. Soil gypsum amendment has been chosen for further analysis in this scenario as abatement potentials have been estimated for a larger region. It has to be noted though, that costs solely refer to Finnish conditions, but are, in lack of better data, transferred to other countries. Gypsum amendment of agricultural soils in Finland, Sweden, Denmark, Germany, and Poland could reduce leakage from the mobile pool (i.e., ) by more than 50%, leading to an additional transfer of P to the stable soil pool of 0.14–0.18 Mt P. The remaining 0.24–0.32 Mt leaching to the Baltic Sea are again presumed to be abated via mussel farming. The additional area of 1500 km² for mussel farming is not changed so that the remediation of the land-based load will prolong the period for which mussel farming has to be conducted to 56–166 years in the inner-, 33–120 years in the central- and 144–428 years in the outer Baltic. As for the sea-based load, the range of costs for abatement of nutrient emissions from land is defined between a situation where potential immobilisation of P in soil is at its maximum (0.18 Mt P) and costs at their minimum (55 €/kg P) and the opposite situation, where immobilisation potential is at its minimum (0.14 Mt P) and costs at their maximum (86 €/kg P).
Overall abatement costs amount to 32–116 billion € (see Table 5). All calculations are documented in Tables S3 and S6.
Table 5.
Abatement costs of agricultural legacy loads.
It should be born in mind that abatement costs presented here merely constitute a first rough estimate to monetise the impact of agricultural legacy nutrient loads and more research is needed to develop a more realistic scenario. Specifically, the most important assumptions and simplifications of the present abatement scenario are summarised below:
- Abatement will only be undertaken in regions and for measures for which large-scale estimates are currently available
- Costs and abatement potentials will not significantly differ from predictions made by upscaling of pilot studies
- Environmental sustainability of abatement measures (especially deep-water oxygenation) can be confirmed in future studies
- The establishment of an industrial sector processing Baltic Sea mussels to fertiliser or feed will be successful
- Mussel farms can be established in the most suitable locations (predominately near shore)
- Socio-economic and environmental conditions in the Baltic Sea region will remain stable over a long period (up to 500 years)
Especially the last point constitutes a significant limitation of the present study. Cost estimates given in Table 5 should therefore only be regarded as preliminary and not be used for the development of concrete abatement strategies.
3.4. Putting Remediation Costs into Perspective
Despite its preliminary nature the scenario described above shows that the remediation of agricultural legacy loads in the Baltic Sea is in the same range as the funds budgeted in the Green Deal for the transformation of the whole European economy. Although the timeframe for the Green Deal is with eight years much shorter than what is projected for mussel farming and soil gypsum amendment, it can be assumed that a significant part of abatement costs arises during the first years, when investment in oxygen pumps, the establishment of a blue mussel industry in the central and inner Baltic, etc. have to be undertaken. In the present scenario, 15–40% of total costs arise in the initial 15 years of the abatement period (see Table S6). Nevertheless, if planned for adequately, mobilisation of the required funds to tackle agricultural legacy nutrient loads does not seem infeasible. A contingent valuation study in the coastal states of the Baltic Sea revealed that residents are willing to pay 3.8–4.4 billion €/year in taxes for the achievement of a Baltic Sea in good eutrophication status [102]. Although the survey focused on the reduction of nutrient emissions, results can be transferred to the current study because recently there is increasing evidence that eutrophication can only be successfully diminished if both current and legacy nutrient loads are tackled simultaneously [1,3]. Moreover, nutrient abatement does not only involve costs, but could also yields economic benefits. Both the tourism and the real estate sector could profit from less frequent algal blooms. This is illustrated by an extensive algal bloom near the island of Öland, Sweden, in 2005, which led to a decline in tourism sales of 25%. Especially if the region establishes itself as a knowledge-hub for abatement technologies, high qualified jobs could be created [16]. Furthermore, jobs in the mussel industry could provide additional income opportunities for local fishermen, in times where traditional fishing is becoming more and more challenging [101].
Also compared to the Gross value added (GVA) produced by the agricultural sector in the region the damage caused by agricultural nutrient emissions appears substantial. While the former amounts to 20.3 billion €/year (not including Belarus) and 25.6 billion €/year (including Belarus), mean monetised impacts over the residence time of P in the Baltic Sea are up to 1.2 billion €/year (see Table S6) and thus 5–6% of GVA. This is a considerable amount keeping in mind that fertiliser, which is responsible for nutrient emissions, is only one input factor in agricultural value creation and that the share of subsidies in agricultural factor income in the HELCOM EU countries is between 42% (Germany) and 73% (Estonia) [103].
Yet, compared to costs of agricultural mitigation measures, which are partly already undertaken, remediation costs are not necessarily more expensive, as shown in Table 6. Overall, unit abatement costs in the present scenarios amount to 48–71 €/kg P, whereas costs of achieving the BSAP goals (including land-based measures other than in the agricultural sector) have been estimated with 85–205 €/kg P [13,15].
Table 6.
Unit abatement costs for P in the present study compared to land-based agricultural measures. Data from [13,14,15,104].
Nevertheless, this should not be interpreted as an argument to substitute sea-based measures for measures on land. Not only are the figures of the present assessment preliminary, but studies on costs of nutrient reductions in the region all date back to around 2010. Factors such as climate change, which has been shown to substantially reduce the need for nutrient reductions in several parts of the catchment [17], may change costs of nutrient reductions in the future. Similarly, measures that have not been regarded in previous abatement cost studies have recently been explored. For instance, McCrackin et al. [105] modelled reduction potentials of 28–43 kt N and 4–6.6 kt P by redistributing manure from livestock intensive regions to regions dominated by crop production, where it replaces mineral fertiliser. Although costs have not been estimated in this study, a redistribution of nutrients is likely to entail lower costs than a reduction of fertiliser use or livestock production as listed in Table 6. Besides, the present study exclusively deals with the remediation of nutrient loads stemming from agriculture, which constitute only 30–50% of the total legacy P load in the Baltic Sea. Removing or immobilising all legacy P would thus increase abatement times and costs as well as pressure in terms of availability of space significantly. Decreasing current nutrient emissions to a minimum should therefore remain a first priority.
4. Conclusions
Two things become evident from the current research:
First, even in a comparatively well studied and monitored region like the Baltic Sea catchment, past nutrient loads can only be reconstructed with great uncertainties. Efforts to harmonise measurement and modelling techniques therefore have to be reinforced and more research on the mechanisms governing eutrophication is needed. Monetising non-economic impacts of human activities is always challenging. The calculation of abatement costs is one of several approaches that, at the same time, outlines a way forward to remediate the damage caused. However, sea-based abatement measures in the Baltic Sea have not surpassed the pilot stage yet and large knowledge gaps on their capacities, costs, and potential risks remain. Hence, instead of a full abatement study showing the most cost-effective solution only a rough estimate of the costs for remediating past agricultural nutrient loads can be provided to date.
Secondly, despite all uncertainties it is apparent that agricultural nutrient emissions have caused severe impacts that will affect the region over a long period. The costs for removing or immobilising nutrient loads that have accumulated in the Baltic Sea over the past 35–49 years might amount to 5–6% of the GVA generated by the sector. Remediating agricultural legacy loads will therefore require serious commitment to funding and implementation of the measures needed. Nevertheless, benefits measured as people’s willingness to pay for a healthy marine environment exceed remediation costs so that mobilisation of the required funds does not seem infeasible. Several sea-based measures have proven successful in pilot experiments and would be ready for implementing on a larger scale. Upscaling must, however, be accompanied by on-going research to improve the effectiveness of the measures and to avoid negative side effects and spatial conflicts with other uses. Thus, it may be possible to identify the most beneficial mix of measures for different locations that might even create income and job opportunities for the region in the long term.
Regarding the second aim of the study, no clear conclusion on the costs of avoiding agricultural nutrient emissions compared to those of remediating the eutrophication impacts caused by them can be drawn. This is partly due to the high uncertainties associated with our calculations and partly because costs seem to be in a similar range. In any case, land-based measures and measures tackling internal legacy nutrient loads in the sea should not be regarded as alternatives but as complements. While the former will not show immediate effects if nutrient stocks in the sea remain high, the capacity of seabased measures is limited and insufficient to remediate unrestrained nutrient inputs.
Supplementary Materials
The following are available online at https://www.mdpi.com/article/10.3390/su13073872/s1, Table S1: Calculation of agricultural legacy N loads in the Baltic Sea, Table S2: Calculation of agricultural legacy P loads in the Baltic Sea, Table S3: Legacy P loads on agricultural land under different abatement scenarios, Table S4: GVA of the agricultural sector in the Baltic Sea region, Table S5: Literature review of remediation measures for legacy nutrient loads in the Baltic Sea, Table S6: Abatement costs of the sea-based agricultural legacy load in the Baltic Sea.
Author Contributions
Conceptualization, L.H. and J.T.; methodology, L.H. and J.T.; validation, L.H., R.H. and J.T.; formal analysis, J.T.; investigation, J.T.; resources, R.H.; data curation, J.T.; writing—original draft preparation, J.T.; writing—review and editing, L.H., R.H. and J.T.; visualization, J.T.; supervision, L.H.; project administration, L.H. and R.H.; funding acquisition, L.H. and R.H. All authors have read and agreed to the published version of the manuscript.
Funding
This research was performed within the project Lex4Bio, funded by the European Union’s Horizon 2020 research and innovation program, grant number 818309, including the APC for publishing this article.
Conflicts of Interest
The authors declare no conflict of interest. The funders had no role in the design of the study; in the collection, analyses, or interpretation of data; in the writing of the manuscript, or in the decision to publish the results.
References
- European Environmental Agency. Nutrient Enrichment and Eutrophication in Europe’s Seas. Moving Towards a Healthy Marine Environment; Publications Office of the European Union: Luxembourg, 2019. [Google Scholar]
- United Nations. The Sustainable Development Goals Report 2018; United Nations Publications: New York, NY, USA, 2018. [Google Scholar]
- HELCOM. HELCOM Thematic Assessment of Eutrophication 2011–2016. Baltic Sea Environment Proceedings No.156. 2018. Available online: http://www.helcom.fi/baltic-sea-trends/holistic-assessments/state-of-the-baltic-sea-2018/reports-and-materials/ (accessed on 30 March 2021).
- HELCOM. State of the Baltic Sea—Second HELCOM Holistic Assessment 2011–2016. Baltic Sea Environment. 2018. Available online: www.helcom.fi/baltic-sea-trends/holistic-assessments/state-of-the-baltic-sea-2018/reports-and-materials/ (accessed on 30 March 2021).
- HELCOM. Baltic Sea Action Plan. Reaching Good Environmental Status for the Baltic Sea. Available online: https://helcom.fi/baltic-sea-action-plan/ (accessed on 2 December 2020).
- EUSBSR. EU Strategy for the Baltic Sea Region. 2020. Available online: https://www.balticsea-region-strategy.eu/ (accessed on 2 December 2020).
- Ollikainen, M.; Hasler, B.; Elofsson, K.; Iho, A.; Andersen, H.E.; Czajkowski, M.; Peterson, K. Towards the Baltic Sea Socioeconomic Action Plan. Ambio 2019, 48, 1377–1388. [Google Scholar] [CrossRef] [PubMed]
- Barquet, K.; Rosemarin, A.; Järnberg, L.; Joshi, S.; Leader, E.; Olsson, O.; Sindhöj, E. Mission Blue—Exploring Circular Interventions in the Baltic Sea Region. Bonus Return. 2020. Available online: https://www.bonusreturn.eu/mission-blue-exploring-circular-interventions-in-the-baltic-sea-region/ (accessed on 30 March 2021).
- European Commission. The European Green Deal, Brussels. 2019. Available online: https://ec.europa.eu/info/strategy/priorities-2019-2024/european-green-deal_en (accessed on 30 March 2021).
- European Commission. Missions in Horizon Europe. Available online: https://ec.europa.eu/info/horizon-europe/missions-horizon-europe_en (accessed on 2 December 2020).
- European Commission. Available online: https://ec.europa.eu/info/strategy/priorities-2019-2024/european-green-deal_en (accessed on 2 December 2020).
- Geitzenauer, M.; Blondet, M.; de Koning, J.; Ferranti, F.; Sotirov, M.; Weiss, G.; Winkel, G. The challenge of financing the implementation of Natura 2000—Empirical evidence from six European Union Member States. For. Policy Econ. 2017, 82, 3–13. [Google Scholar] [CrossRef]
- BalticSTERN Secretariat. The Baltic Sea—Our Common Treasure. Economics of Saving the Sea; (USAB Stockholm); Swedish Agency for Marine and Water Management: Göteborg, Sweden, 2013. [Google Scholar]
- Ahlvik, L.; Ekholm, P.; Hyytiäninen, K.; Pitkänen, H. An economic-ecological model to evaluate impacts of nutrient abatement in the Baltic Sea. Environ. Model. Softw. 2014, 55, 164–175. [Google Scholar] [CrossRef]
- Wulff, F.; Humborg, C.; Andersen, H.E.; Blicher-Mathiesen, G.; Czajkowski, M.; Elofsson, K.; Fonnesbech-Wulff, A.; Hasler, B.; Hong, B.; Jansons, V.; et al. Reduction of Baltic Sea Nutrient Inputs and Allocationof Abatement Costs Within the Baltic Sea Catchment. Ambio 2014, 43, 11–25. [Google Scholar] [CrossRef]
- Dahlgren, S.; Källström, N.; Lind, F.; Morin, M.; Mrozowski, T.; Seppä, T.; Wallin, M. Restoring Waters in the Baltic Sea Region. In A Strategy for Municipalities and Local Governments to Capture Economic and Environmental Benefits; The Boston Consulting Group: Stockholm, Sweden, 2015. [Google Scholar]
- Allin, A.; Schernewski, G.; Friedland, R.; Neumann, T.; Radtke, H. Climate change effects on denitrification and associated avoidance costs in three Baltic river basin—Coastal sea systems. J. Coast. Conserv. 2017, 21, 561–569. [Google Scholar] [CrossRef]
- Savchuk, O. Large-scale nutrient dynamics in the Baltic Sea, 1970–2016. Front. Mar. Sci. 2018, 5, 95. [Google Scholar] [CrossRef]
- Gustafsson, E.; Savchuk, O.; Gustafsson, B.; Müller-Karulis, B. Key processes in the coupled carbon, nitrogen, and phosphorus cycling of the Baltic Sea. Biogeochemistry 2017, 134, 301–317. [Google Scholar] [CrossRef]
- McCrackin, M.; Muller-Karulis, B.; Gustafsson, B.; Howarth, R.; Humborg, C.; Svanbäck, A.; Swaney, D. A Century of Legacy Phosphorus Dynamics in a Large Drainage Basin. Glob. Biogeochem. Cycles 2018, 32, 1107–1122. [Google Scholar] [CrossRef]
- Andersen, J.H.; Carstensen, J.; Conley, D.J.; Dromph, K.; Fleming-Lehtinen, V.; Gustafsson, B.G.; Josefson, A.B.; Norkko, A.; Villnäs, A.; Murray, C. Long-term temporal and spatial trends in eutrophication status of the Baltic Sea. Biol. Rev. 2017, 92, 135–149. [Google Scholar] [CrossRef]
- Räike, A.; Oblomokova, N.; Svendsen, L.M.; Kaspersson, R.; Haapaniemi, J.; Eklund, K.; Brynska, W.; Hytteborn, J.; Tornbjerg, H.; Kotilainen, P.; et al. Background information on the Baltic Sea catchment area for the Sixth Baltic Sea Pollution load compilation (PLC-6). HELCOM. 2019. Available online: https://helcom.fi/helcom-at-work/projects/plc-6/ (accessed on 30 March 2021).
- Eurostat. Main Farm Land Use by NUTS 2 Regions [ef_lus_main]. 2020. Available online: https://appsso.eurostat.ec.europa.eu/nui/show.do?dataset=ef_lus_main&lang=en (accessed on 29 March 2020).
- Eurostat. Main Livestock Indicators by NUTS 2 Regions [ef_lsk_main]. 2020. Available online: https://appsso.eurostat.ec.europa.eu/nui/show.do?dataset=ef_lsk_main&lang=en (accessed on 29 March 2020).
- Knoema. Kaliningrad Region. Available online: https://knoema.com/atlas/Russian-Federation/Kaliningrad-Region (accessed on 14 December 2020).
- Knoema. Karelia, Republic of. Available online: https://knoema.com/atlas/Russian-Federation/St-Petersburg-City (accessed on 14 December 2020).
- Knoema. Tver Region. Available online: https://knoema.com/atlas/Russian-Federation/Tver-Region (accessed on 14 December 2020).
- Knoema. Smolensk Region. Available online: https://knoema.com/atlas/Russian-Federation/Smolensk-Region/ (accessed on 14 December 2020).
- Knoema. Pskov Region. Available online: https://knoema.com/atlas/Russian-Federation/Pskov-Region (accessed on 14 December 2020).
- Knoema. Novgorod Region. Available online: https://knoema.com/atlas/Russian-Federation/Novgorod-Region (accessed on 14 December 2020).
- Knoema. Leningrad Region. Available online: https://knoema.com/atlas/Russian-Federation/Leningrad-Region (accessed on 14 December 2020).
- Knoema. Belarus. Available online: https://knoema.com/atlas/Belarus (accessed on 14 December 2020).
- HELCOM. The Sixth Pollution Load Compilation (PLC-6). HELCOM. 2018. Available online: https://helcom.fi/helcom-at-work/projects/plc-6/ (accessed on 30 March 2021).
- Radtke, H.; Neumann, T.; Voss, M.; Fennel, W. Modeling pathways of riverine nitrogen and phosphorus in the Baltic Sea. J. Geophys. Res. 2012, 117, C09024. [Google Scholar] [CrossRef]
- Svendsen, L.; Gustafsson, B. Waterborne Nitrogen and Phosphorus Inputs and Water Flow to the Baltic Sea 1995–2017. HELCOM Baltic Sea Environment Fact Sheet 2019. 2019. Available online: https://helcom.fi/baltic-sea-trends/environment-fact-sheets/eutrophication/waterborne-nitrogen-and-phosphorus-inputs (accessed on 1 July 2020).
- Gauss, M.; Bartnicki, J. Nitrogen Emissions to the Air in the Baltic Sea Area. HELCOM Baltic Sea Environmental Fact Sheet 2018. 2018. Available online: https://helcom.fi/baltic-sea-trends/environment-fact-sheets/eutrophication/nitrogen-emissions-to-the-air-in-the-baltic-sea-area/ (accessed on 3 July 2019).
- Gauss, M.; Bartnicki, J.; Klein, H. Atmospheric Nitrogen Depositions to the Baltic Sea 1995–2016. HELCOM Baltic Sea Environmental Fact Sheet 2018. 2018. Available online: http://www.helcom.fi/baltic-sea-trends/environment-fact-sheets/eutrophication/nitrogen-atmospheric-deposition-to-the-baltic-sea (accessed on 1 July 2020).
- HELCOM. Updated Fifth Pollution Load Compilation (PLC-5.5). Baltic Sea Environmental Proceeding No. 145. HELCOM. 2015. Available online: https://helcom.fi/baltic-sea-trends/pollution-load-compilations/ (accessed on 30 March 2021).
- Savchuk, O.; Eilola, K.; Gustaffson, B.; Medina, M.; Ruoho-Airola, T. Long-Term Reconstruction of Nutrient Loads to the Baltic Sea, 1850–2006; Baltic Nest Institute: Stockholm, Sweden, 2012. [Google Scholar]
- HELCOM. The Review of More Specific Targets to Reach the Goal Set Up in the 1988/1998 Ministerial Declarations Regarding Nutrients. Baltic Sea Environmental Proceeding No. 89. HELCOM. 2003. Available online: http://archive.iwlearn.net/helcom.fi/publications/bsep/en_GB/bseplist/index.html (accessed on 30 March 2021).
- HELCOM. The Fifth Baltic Sea Pollution Load Compilation (PLC-5). Baltic Sea Environmental Proceeding No. 128. HELCOM. 2011. Available online: https://helcom.fi/baltic-sea-trends/pollution-load-compilations/ (accessed on 30 March 2021).
- HELCOM. Sources and Pathways of Nutrients to the Baltic Sea. Baltic Sea Environmental Proceedings No. 153. HELCOM. 2018. Available online: https://helcom.fi/baltic-sea-trends/pollution-load-compilations/ (accessed on 30 March 2021).
- Gustafsson, B. (Stockholm University, Stockholm, Sweden). Personal communication, 2020.
- Bouwman, L.; Goldewijk, K.K.; van der Hoek, K.; Beusen, A.; van Vuuren, D.; Willems, J.; Rufino, M.; Stehfest, E. Exploring global changes in nitrogen and phosphorus cycles in agriculture induced by livestock production over the 1900–2050 period. Proc. Natl. Acad. Sci. USA 2013, 110, 20882–20887. [Google Scholar] [CrossRef]
- Sagebiel, J.; Schwartz, C.; Rhozyel, M.; Rajmis, S.; Hirschfeld, J. Economic valuation of Baltic marine ecosystem services: Blind spots and limited consistency. ICES J. Mar. Sci. 2016, 73, 991–1003. [Google Scholar] [CrossRef]
- Baltic EcoMussels. The Baltic EcoMussels Project. Final Report. Baltic EcoMussels. 2013. Available online: http://projects.centralbaltic.eu/project/470-baltic-ecomussel (accessed on 30 March 2021).
- NutriTrade. Pilot Mussel Deliverable 4.9.1 Final Report. NutriTrade—A Flagship Project of the EU Baltic Sea Region Strategy. 2018. Available online: https://nutritradebaltic.eu/materials/ (accessed on 30 March 2021).
- Schultz-Zehden, A.; Steele, A.; Weig, B. How to turn Ecosystem Payments to Baltic Mussel Farms into reality? Baltic Blue Growth. 2019. Available online: https://www.submariner-network.eu/balticbluegrowth (accessed on 30 March 2021).
- Petersen, J.K.; Taylor, D.; Bergström, P.; Buer, A.-L.; Darecki, M.; Filippelli, R.; Gren, I.-M.; Hasler, B.; Holbach, A.; Nielsen, P. Policy Guidelines for Implementation of Mussel Cultivation as a Mitigation Measure for Coastal Eutrophication in the Western Baltic Sea; DTUAqua-Rapport, No. 362-2020; DTU Aqua: Lyngby, Denmark, 2020. [Google Scholar]
- Mäki, M. Pilot Fish–Challenges, Opportunities, Suitability for Nutrient Trading. D.T5.13.1 Final Report. NutriTrade—A Flagship Project of the EU Baltic Sea Region Strategy. 2018. Available online: https://nutritradebaltic.eu/materials/ (accessed on 30 March 2021).
- Schultz-Zehden, A.; Matczak, M. Submariner Compendium. An Assessment of Innovative and Sustainable Uses of Baltic Marine Resources; Maritime Institute in Gdansk: Gdansk, Poland, 2012.
- Olsson, B.; Ek, M.; Norén, F.; Thörn, P.; Tekie, H.; Lindblad, M.; Hennlock, M.; Stigson, P.; Röttorp, J.; Fortkamp, U.; et al. Full-Scale Site Solution of Phosphorous Retrieval from Biowaste. IVL Report B2151. IVL, 2013. Available online: https://www.ivl.se/english/ivl/publications.html (accessed on 30 March 2021).
- Simonsson, B. Density sorting dredging as an approach to speed up Baltic restoration. In Internal Load of Plant Nutrients in the Baltic Sea; First Meeting of the Working Group of Pressures from the Baltic Sea Catchment Area; HELCOM: Helsinki, Finland, 2014. [Google Scholar]
- Rantajärvi, E.; PROPPEN. Controlling Benthic Release of Phosphorus in Different Baltic Sea Scales; Final Report on the result of the PROPPEN Project (802-0301-08) to the Swedish Environmental Protection Agency, Formas and VINNOVA; PROPPEN: Helsinki, Finland, 2012. [Google Scholar]
- Stigebrandt, A. Oxygenation of anoxic bottoms as a method. In Internal Load of Plant Nutrients in the Baltic Sea; First Meeting of the Working Group of Pressures from the Baltic Sea Catchment Area; HELCOM: Helsinki, Finland, 2014. [Google Scholar]
- Stigebrandt, A.; Liljebladh, B.; de Brabandere, L.; Forth, M.; Granmo, Å.; Hall, P.; Hammar, J.; Hansson, D.; Kononets, M.; Magnusson, M.; et al. An Experiment with Forced Oxygenation of the Deepwater of the Anoxic by Fjord, Western Sweden. Ambio 2015, 44, 42–54. [Google Scholar] [CrossRef]
- Rydin, E.; Kumblad, L. Anoxic coastal sediments bind phosphorus after Al-treatment. In Internal Load of Plant Nutrients in the Baltic Sea; First Meeting of the Working Group of Pressures from the Baltic Sea Catchment Area; HELCOM: Helsinki, Finland, 2014. [Google Scholar]
- Kumblad, L.; Rydin, E. Effective Measures Against Eutrophication—A Story About Regaining Good Ecological Status in Coastal Areas. BalticSea2020. 2018. Available online: http://www.balticsea2020.org/english/alla-projekt/overgodning/eutrophication-ongoing-projects/54-living-coast (accessed on 30 March 2021).
- Blomqvist, S. Permanent inactivation of phosphorus in Baltic sediments. In Internal Load of Plant Nutrients in the Baltic Sea; First Meeting of the Working Group of Pressures from the Baltic Sea Catchment Area; HELCOM: Helsinki, Finland, 2014. [Google Scholar]
- Pakalniete, K.; Krumina, A. Economic Analysis to Support Setting Effective Measures for Reaching Environmental Targets of Water Bodies (T2.3),” Project “Waterbodies Without Borders” (EstLat 66). 2020. Available online: https://wbwb.eu/results/ (accessed on 30 March 2021).
- Ollikainen, M.; Ekholm, P.; Punttila, E.; Ala-Harja, V.; Riihimäki, J.; Puroila, S.; Kosenius, A.-K.; Iho, A. Gypsum Amendment of Fields as a Water Protection Measure in Agriculture. SAVE. 2018. Available online: https://blogs.helsinki.fi/save-kipsihanke/materials/?lang=en (accessed on 30 March 2021).
- NutriTrade. Gypsum Amendment of Fields: A Cost-Efficient Measure for the Baltic Sea Water Quality Benefits and Feasibility for Large Scale Use in Agriculture. NutriTrade. 2018. Available online: https://nutritradebaltic.eu/materials/ (accessed on 30 March 2021).
- Vahanen Environment, O.Y. Speeding up the Ecological Recovery of the Baltic Sea. Vahanen Environment OY. 2018. Available online: https://vahanen.com/en/references/speeding-ecological-recovery-baltic-sea/ (accessed on 30 March 2021).
- Conley, D. Save the Baltic Sea. Nature 2012, 486, 463–464. [Google Scholar] [CrossRef]
- Kotta, J.; Futter, M.; Kaasik, A.; Liversage, K.; Rätsep, M.; Barboza, F.; Bergström, L.; Bergström, P.; Bobsien, I.; Díaz, E.; et al. Cleaning up seas using blue growth initiatives: Mussel farming for eutrophication control in the Baltic Sea. Sci. Total Environ. 2020, 709, 136144. [Google Scholar] [CrossRef]
- SUBMARINER Network Mussels Working Group. Mussel Farming in the Baltic Sea as an Environmental Measure; SUBMARINER Network for Blue Growth EEIG: Berlin, Germany, 2019. [Google Scholar]
- Eurostat. National Accounts Aggregates by Industry (up to NACE A*64) [nama_10_a64]. 2020. Available online: https://appsso.eurostat.ec.europa.eu/nui/show.do?dataset=nama_10_a64&lang=en (accessed on 11 December 2020).
- Statistische Ämter des Bundes und der Länder. Bruttowertschöpfung der Landwirtschaft—in jeweiligen Preisen—in Deutschland 1991 bis 2018 nach Bundesländern. May 2020. Available online: https://www.statistik-bw.de/LGR/DE_WS_LR.asp (accessed on 14 December 2020).
- Maix. Blank Map of Europe Cropped. 2007. Available online: https://commons.wikimedia.org/wiki/File:Blank_map_of_Europe_cropped.svg (accessed on 30 March 2021).
- Moore, J.; Fu, W.; Primeau, F.; Britten, G.; Lindsay, K.; Long, M.; Doney, S.; Mahowald, N.; Hoffman, F.; Randerson, J. Sustained climate warming drives declining marine biological productivity. Science 2018, 359, 1139–1143. [Google Scholar] [CrossRef]
- Kwiatkowski, L.; Aumont, O.; Bopp, L. Consistent trophic amplification of marine biomass declines under climate change. Glob. Chang. Biol. 2019, 25, 218–229. [Google Scholar] [CrossRef]
- Eriksson, H.; Kullander, T. Plan and Cost Estimate for a Demonstrator—A Floating Wind Turbine Unit Equipped with Pumps for Oxygenation of the Deepwater, and Associated Patents and Immaterial Rights; BOX-WIN Technical Report No. 8; Göteborgs Universitet: Gothenburg, Sweden, 2013. [Google Scholar]
- Nutribute. Lisää kipsiä Vantaanjoelle! 2020. Available online: https://www.nutribute.org/campaigns/lisaa-kipsia-vantaanjoelle (accessed on 7 January 2021).
- Nutribute. Porvoonjoen kipsihanke. 2020. Available online: https://www.nutribute.org/campaigns/porvoonjoen-kipsihanke- (accessed on 7 January 2021).
- Nutribute. Vantaanjoen kipsihanke 2018. 2020. Available online: https://www.nutribute.org/campaigns/vantaanjoen-kipsihanke-2018 (accessed on 7 January 2021).
- Nutribute. Floating Island for Nutrient Removal. 2019. Available online: https://www.nutribute.org/campaigns/floating-island-for-nutrient-removal (accessed on 7 January 2021).
- Nutribute. Local Fishing at Archipelago Sea 2018. 2018. Available online: https://www.nutribute.org/campaigns/local-fishing-at-archipelago-sea-2018. (accessed on 7 January 2021).
- Nutribute. Local Fishing at Bothnian Sea 2018. 2018. Available online: https://www.nutribute.org/campaigns/local-fishing-at-bothnian-sea-2018. (accessed on 7 January 2021).
- Länsstyrelsen Västmanland. Åtgärder för god ekologisk status i ett jordbruksdominerat avrinningsområde—Exemplet Lillån. Report 2013:16. 2013. Available online: https://www.lansstyrelsen.se/vastmanland/tjanster/publikationer/2013/atgarder-for-god-ekologisk-status-i-ett-jordbruksdominerat-avrinningsomrade.html (accessed on 30 March 2021).
- Vaitiekūnienė, J.; Semėnienė, D. Costs and benefits of the proposed sea based measures -preliminary results of our review. In EUSBSR Workshop on Internal Nutrient Reserves; HELCOM: Gothenburg, Sweden, 2017. [Google Scholar]
- Setälä, J.; Airaksinen, S.; Lilja, J.; Raitaniemi, J. Pilottihanke vajaasti hyödynnetyn kalan käytön edistämiseksi: Loppuraportti; RKTL:n työraportteja 10/2012; Game and Fisheries Research Institute: Helsinki, Finland, 2012. [Google Scholar]
- Baresel, C.; Malmaeus, M.; Engqvist, A.; Skenhall, S.A.; Carstens, C.; Viktor, T.; Malm, J.; Claeson, L.; Cvetcovic, V.; Ekengren, Ö.; et al. WEBAP Vågdriven Syrepump för Östersjön; Report no. B2130; IVL: Stockholm, Sweden, 2013. [Google Scholar]
- SUBMARINER Network for Blue Growth EEIG. Mussels FAQs. Available online: https://www.submariner-network.eu/mussels-topic/2-uncategorised/589-mussels-faqs (accessed on 7 January 2021).
- Gren, I.-M.; Lindahl, O.; Lindqvist, M. Values of mussel farming for combating eutrophication: An application to the Baltic Sea. Environ. Eng 2009, 35, 935–945. [Google Scholar] [CrossRef]
- Minnhagen, S. Mussel farms as an environmental measure. In Internal Load of Plant Nutrients in the Baltic Sea; First Meeting of the Working Group of Pressures from the Baltic Sea Catchment Area; HELCOM: Helsinki, Finland, 2014. [Google Scholar]
- Krost, P.; Rehm, S.; Kock, M.; Piker, L. Leitfaden für Nachhaltige Marine Aquakultur; CRM Coastal Research & Management Gbr: Kiel, Germany, 2011. [Google Scholar]
- Minnhagen, S. Mussel farming from a local holistic perspective—Can we profit from bad business? In Proceedings of the NutriTrade Workshop at KLSA, Policy Instruments for Blue Mussels—How should they be Designed to Maximize the Environmental Benefits. Stockholm, Sweden, 9 February 2018. [Google Scholar]
- Petersen, J.; Hasler, B.; Timmermann, K.; Nielsen, P.; Tørring, D.B.; Larsen, M.M.; Holmer, M. Mussels as a tool for mitigation of nutrients in the marine environment. Mar. Pollut. Bull. 2014, 82, 137–143. [Google Scholar] [CrossRef]
- Taylor, D.; Petersen, J.; Buer, A.; Ritzenhofen, L.; Bergström, P.; Lindegarth, M. D3.1 Optimized Production of Mitigation Mussels (Technical Report No. D3.1). Bonus Optimus. 2019. Available online: https://www.bonus-optimus.eu/results/publications (accessed on 30 March 2021).
- Taylor, D.; Saurel, C.; Nielsen, P.; Petersen, J. Production Characteristics and Optimization of Mitigation Mussel Culture. Front. Mar. Sci. 2019, 6, 698. [Google Scholar] [CrossRef]
- Lubnow, F.S. Using Floating Wetland Islands to Reduce Nutrient Concentrations in Lake Ecosystems. Natl. Wetl. Newsl. 2014, 36, 11–12. [Google Scholar]
- Schultz-Zehden, A.; de Grunt, L.S. Mussel Farming in de Baltic Sea as an Environmental Measure—A Positive Outlook Based on New Data; SUBMARINER Network Mussels Working Group: Berlin, Germany, 2019. [Google Scholar]
- ORBICON. Interreg Baltic Sea Region. Baltic Blue Growth. Examples of two Danish Business Plans for Production of Environmental Mussels. 2019. Available online: https://www.submariner-network.eu/balticbluegrowth (accessed on 30 March 2021).
- Nguyen, T.T.; van Deurs, M.A.; Ravn-Jonsen, L.; Roth, E. Assessment of Financial Feasibility of Farming Blue Mussel in the Great Belt by the ‘Smart Farm System’; Department of Environmental and Business Economics (IME), University of Southern Denmark: Esbjerg, Denmark, 2013. [Google Scholar]
- Hjortberg, A. Blåmusselodling på Västkusten; Acquaculture Department Project; Swedish University of Agricultural Sciences: Uppsala, Sweden, 2003. [Google Scholar]
- Dansk Akvakultur. Kombi-Opdræt Kombinationsopdræt af Havbrugsfisk, Tang og Muslinger til Foder og Konsum; Dansk Akvakultur Report No. 2015-12; DK: Silkeborg, Denmark, 2015. [Google Scholar]
- Stigebrandt, A.; Andersson, A. The Eutrophication of the Baltic Sea has been Boosted and Perpetuated by a Major Internal Phosphorus Source. Front. Mar. Sci. 2020, 7, 572994. [Google Scholar] [CrossRef]
- Baltic Sea Restoration. On the Response of the Baltic Proper to Changes of the Total Phosphorus Supply. 2017. Available online: http://www.balticsearestoration.org/uncategorized/on-the-response-of-the-baltic-proper-to-changes-of-the-total-phosphorus-supply/ (accessed on 8 December 2020).
- Buer, A.-L.; Taylor, D.; Bergström, P.; Ritzenhofen, L.; Klemmstein, A. Nitrogen and Phosphorus Content in Blue Mussels (Mytilus spp.) Across the Baltic Sea. Front. Mar. Sci. 2020, 7, 705. [Google Scholar] [CrossRef]
- Holbach, A.; Maar, M.; Timmermann, K.; Taylor, D. A spatial model for nutrient mitigation potential of blue mussel farms in the western Baltic Sea. Sci. Total Environ. 2020, 736, 139624. [Google Scholar] [CrossRef]
- Ozolina, Z.; Kokaine, L. Socioeconomic Impact of Mussel Farming in Coastal Areas of Baltic Sea. Kurzeme Planning Region. Baltic Blue Growth. 2019. Available online: https://www.submariner-network.eu/balticbluegrowth (accessed on 30 March 2021).
- Ahtiainen, H.; Artell, J.; Czajkowski, M.; Hasler, B.; Hasselsträm, L.; Huhtala, A.; Meyerhoff, J.; Smart, J.; Söderqvist, T.; Alemu, M.; et al. Benefits of meeting nutrient reduction targets for the Baltic Sea—A contingent valuation study in the nine coastal states. J. Environ. Econ. Policy 2014, 3, 278–305. [Google Scholar] [CrossRef]
- European Union. Common Agricultural Policy: Key Graphs & Figures. Graph 5. Share of direct payments and total subsidies in agricultural factor income (2014-18 average). August 2020. Available online: https://ec.europa.eu/info/sites/info/files/food-farming-fisheries/farming/documents/cap-expenditure-graph5_en.pdf. (accessed on 7 January 2021).
- Gren, I. Costs and benefits from nutrient reductions to the Baltic Sea. Report 5877. The Swedish Environmental Protection Agency. 2008. Available online: http://www.naturvardsverket.se/Documents/publikationer/978-91-620-5877-7.pdf (accessed on 30 March 2021).
- McCrackin, M.L.; Gustafsson, B.G.; Hong, B.; Howarth, R.W.; Humborg, C.; Savchuk, O.P.; Svanbäck, A.; Swaney, D.P. Opportunities to reduce nutrient inputs to the Baltic Sea by improving manure use efficiency in agriculture. Reg. Environ. Chang. 2018, 18, 1843–1854. [Google Scholar] [CrossRef]
Publisher’s Note: MDPI stays neutral with regard to jurisdictional claims in published maps and institutional affiliations. |
© 2021 by the authors. Licensee MDPI, Basel, Switzerland. This article is an open access article distributed under the terms and conditions of the Creative Commons Attribution (CC BY) license (https://creativecommons.org/licenses/by/4.0/).


