Next Article in Journal
Improvement of Self-Starting Capabilities of Vertical Axis Wind Turbines with New Design of Turbine Blades
Previous Article in Journal
Sustainable Development with Schumpeter Extended Endogenous Type of Innovation and Statistics in European Countries
 
 
Font Type:
Arial Georgia Verdana
Font Size:
Aa Aa Aa
Line Spacing:
Column Width:
Background:
Article

Contribution of Renewable Energy Consumption to CO2 Emission Mitigation: A Comparative Analysis from a Global Geographic Perspective

1
Key Laboratory of Poyang Lake Wetland and Watershed Research, Ministry of Education/School of Geography and Environment, Jiangxi Normal University, Nanchang 330022, China
2
College of Architecture and Urban Planning, Tongji University, Shanghai 200092, China
*
Authors to whom correspondence should be addressed.
Sustainability 2021, 13(7), 3853; https://doi.org/10.3390/su13073853
Submission received: 3 March 2021 / Revised: 26 March 2021 / Accepted: 29 March 2021 / Published: 31 March 2021

Abstract

Renewable energy consumption (REC) has an important significance in mitigating CO2 emissions. However, currently, few scientists have analyzed the underlying impact of REC from a global geographic perspective. Thus, here, we divide the world into seven regions to study this impact during the period 1971–2016 using the logarithmic mean Divisia index (LMDI). These regions were East Asia and the Pacific (EAP), Europe and Central Asia (ECA), Latin America and the Caribbean (LAC), Middle East and North Africa (MENA), North America (NA), South Asia (SA), and Sub-Saharan Africa (SSA). The results showed that ECA had the most obviously mitigating effect of −10.13%, followed by NA and MENA (−3.91% and −3.87%, respectively). Inversely, EAP had the largest driving effect of 4.12%, followed by SA (3.43%) and the others. Globally, REC had an overall mitigating contribution of −11.04% to total CO2 change. These results indicate that it is still important to exploit and utilize renewable energy, especially in presently developing or underdeveloped countries. Moreover, for some countries at a certain stage, their REC effects were negative, but, concurrently, their energy intensity effects were positive. These results show that some developing countries recently reduced carbon emissions only by extensively using renewable energy, not by enhancing energy-use efficiency. Finally, some policy implications for reducing CO2 in different countries are recommended.

1. Introduction

With the growth of world population and economic development, global energy consumption has increased sharply since the industrial revolution [1,2]. The consequent pollutant emissions, especially carbon dioxide (CO2), have also grown rapidly, which has caused some extreme environmental problems, such as climate warming, and attracted more and more attention from the public, governments, and so on [3,4,5]. Thus, it is important and urgent to study the mechanism of CO2 emission mitigation and the transformation of energy consumption structure or mode [6,7,8]. For example, the fact that the consumption growth of renewable or nonfossil energy (e.g., hydro, wind, solar energy, geothermal energy, biomass energy) can achieve the goal of reducing carbon emissions, to some extent, has been noticed by the academic community [9,10,11].
Focusing on the nexus between renewable or nonfossil energy consumption (REC or NFEC) and CO2 emission, some core literature can be retrieved from the WOS (web of science) database (Table 1). It can be easily seen that most studies have concluded the increasing REC/NFEC can reduce regional carbon emissions or improve air quality by controlling/decreasing carbon emissions [12,13,14]. However, there have also been some conclusions that the nexus between REC growth and CO2 emission is not obvious [15,16,17]. There were even a few studies that found that the REC’s growth could also cause the increase of CO2 emission, and vice versa [18,19,20]. Moreover, except for certain studies [21,22], almost all researchers chose one/some specific countries or regions as cases to study this nexus between REC and CO2 emissions (Table 1); for example, researchers have chosen Asian countries, 31 developed countries, Turkey, and European Union as cases to study this nexus [18,23,24,25]. However, studies on this issue from a global scale are quite rare. Next, the studied periods were short, except for the four articles written before 1970 that were relatively long [13,25,26,27]. Last, the methods used were mainly some econometric models. The classical theories of the environmental Kuznets curve (EKC) and the stochastic impacts by regression on population, affluence, and technology (STIRPAT) model were often used. Other models or methods, such as the generalized method of moment (GMM) and three-stage least squares (3SLS), were also introduced (Table 1).
Why do the results of the studies on this nexus between REC and CO2 emissions have different, even opposite, findings? This question may arise from a number of reasons, such as the differences in economic development patterns, geographical characteristics, and habits of energy use [28,29,30]. An interesting reason may be that the threshold point where renewable energy supply (use) starts to mitigate CO2 emissions is 8.39% [6,31]. That is to say, REC has to account for 8.39% of total energy consumption before it starts to make an obvious impact on mitigating CO2 emissions. Inversely, when REC does not reach 8.39% of total energy consumption, REC will have no Granger causality with mitigating CO2 emissions. Even so, in line with most studies [32,33,34], we believe that the use of renewable energy is bound to contribute positively to global carbon reduction in the long run [35,36,37]. Thus, the hypothesis of this paper is that, on a global scale, REC growth can reduce carbon emissions, while other factors such as the total amount and efficiency of energy use remain constant.
However, previous studies centering in this nexus on a global scale are still inadequate (Table 1), and a better decomposition method called the logarithmic mean Divisia index (LMDI) model has been ignored [38,39]. Among these studies, only one article focused on the differences in the income levels and inferred that this difference might cause the varied findings on the nexus between REC and CO2 emissions [22]. Nevertheless, the studied period of this article was short, only for 1995–2014, and the number of countries was also not sufficient (only 120, about two-thirds of the total number of countries worldwide). Thus, on the global scale, it is necessary to include all countries or areas worldwide and to conduct longer time-series analysis to draw more accurate and detailed conclusions that can help all relevant countries, organizations, and institutions to make more scientific and reasonable development strategy decisions related to energy conservation and emission reduction. Therefore, we, for the first time, try to do this new work, containing all the countries or areas for the period 1971–2016 and applying the LMDI method, to analyze this nexus between REC and CO2 emissions; this is the innovation of this paper (Table 1).
Table 1. Representative articles related to the nexus between the renewable energy consumption (REC)/nonfossil energy consumption (NFEC) and CO2 emission in the period 2015–2021.
Table 1. Representative articles related to the nexus between the renewable energy consumption (REC)/nonfossil energy consumption (NFEC) and CO2 emission in the period 2015–2021.
Author and YearRegion and PeriodMethodMajor Findings
Apergis et al., 2015 [12]11 South American countries 1980–2010PCMREC Sustainability 13 03853 i001 CO2 decrease
Attiaoui et al., 2017 [40]22 African countries 1990–2011ARDLREC Sustainability 13 03853 i001 CO2 decrease
Ben Jebli, 2019 [20]22 Central and South American countries
1995–2010
PCMREC Sustainability 13 03853 i001 CO2 growth
Bhat, 2018 [41]Brazil, Russia, China, India, and South Africa 1992–2016STIRPATREC Sustainability 13 03853 i001 CO2 decrease
Charfeddine et al., 2019 [42]MENA 1980–2015PVARREC Sustainability 13 03853 i001 CO2 growth, but weak
Chen et al., 2019 [43]China 1980–2014ARDLREC Sustainability 13 03853 i001 CO2 decrease
Chen et al., 2019 [44]China 1995–2012FMOLSREC Sustainability 13 03853 i001 CO2 decrease in the eastern and western regions.
Cherni et al., 2017 [15]Tunisia 1990–2015ARDLNo Granger causality
de Souza, 2018 [45]Argentina, Brazil, Paraguay, Uruguay, and Venezuela 1990–2014ARDLREC Sustainability 13 03853 i001 CO2 decrease
Dogan et al., 2017 [46]USA 1980–2014ARDL, EKCREC Sustainability 13 03853 i001 CO2 decrease
Dogan et al., 2016 [30]Top ten REC countries 1985–2011FMOLSREC Sustainability 13 03853 i001 CO2 decrease
Dong et al., 2019 [22]120 countries 1995–2015PCMREC Sustainability 13 03853 i001 CO2 decrease
Dong et al., 2018 [47]128 countries 1990–2014 STIRPATREC Sustainability 13 03853 i001 CO2 decrease
Dong et al., 2018 [21]China 1993–2016ARDLREC Sustainability 13 03853 i001 CO2 decrease
Emir et al., 2019 [17]Romania 1990–2014ARDLNo Granger causality
Hanif, 2018 [14]34 emerging countries 1995–2015GMMREC improves air quality by controlling carbon emissions.
Ito, 2016 [23]31 developed countries 1996–2011PCMREC Sustainability 13 03853 i001 CO2 decrease
Kahia et al., 2019 [48]MENA 1980–2012PVARREC Sustainability 13 03853 i001 CO2 decrease
Leal et al., 2018 [26]Australia 1965–2015ARDLNo Granger causality
Lee, 2019 [25]European Union 1961–2012PCMREC Sustainability 13 03853 i001 CO2 decrease
Li et al., 2016 [49]China 1965–2014ARDLNFEC Sustainability 13 03853 i001 CO2 decrease
Liddle et al., 2017 [50]93 countries 1971–2011PCMNFEC Sustainability 13 03853 i001 CO2 decrease
Long et al., 2015 [13]China 1952–2012ARDLNo Granger causality
Lu, 2017 [18]Asian 1990–2012PCMREC Sustainability 13 03853 i002 CO2 growth
Mahmood et al., 2019 [51]Pakistani 1980–20143SLS, EKCREC Sustainability 13 03853 i001 CO2 growth
Moutinho et al., 2016 [52]20 European countries 1991–2010PVECMREC Sustainability 13 03853 i001 CO2 decrease
Naz et al., 2019 [53]Pakistan 1975–2016ARDLREC Sustainability 13 03853 i001 CO2 decrease
Pata, 2018 [24]Turkey 1974–2014ARDLNo Granger causality
Paweenawat et al., 2017 [54]Thailand 1986–2012ARDLNo Granger causality
Rahil et al., 2019 [55]Libya 2015SAMREC Sustainability 13 03853 i001 CO2 decrease, which has economic benefits.
Shahzad et al., 2018 [56]China and India 1970–2013ARDLREC Sustainability 13 03853 i001 CO2 decrease
Toumi et al., 2019 [57]Saudi Arabia 1990–2014ARDLREC Sustainability 13 03853 i001 CO2 decrease
Ummalla et al., 2019 [27]China and India 1965–2016ARDLNo Granger causality
Yazdi et al., 2018 [58]Germany 1975–2014VARNo Granger causality
Zaghdoudi, 2017 [16]OECD 1990–2015PCMNo Granger causality
Zrelli, 2017 [19]Mediterranean 1980–2011PVECMREC Sustainability 13 03853 i002 CO2 growth
This paperAll regions worldwide divided by their geographical locations in the period 1971–2016LMDI-
Note: USA, MENA, and OECD are the United States of America, Middle Eastern and Northern Africa, Organization for Economic Co-operation and Development, respectively. PCM, ARDL, PVAR, FMOLS, PVECM, and SAM are the methods of the panel cointegration model (PCM), autoregressive distributed lag (ARDL), panel vector autoregression (PVAR), fully modified ordinary least square (FMOLS), the vector error correction model (VECM), and the scenario analysis model (SAM), respectively. “A Sustainability 13 03853 i001 B” means A is the Granger reason of B, and vice versa.
The rest of the contents of this paper are arranged as follows: data sources and methodology are explained in Section 2; specific results and the related discussion and analysis are listed in Section 3; conclusions and some policy implications are summarized or proposed in Section 4.

2. Data and Methodology

2.1. Data Explanation

Three data sources (the Energy Information Administration of United States (EIA), British Petroleum (BP), and the International Energy Agency (IEA)) [59,60,61] are compared with the World Bank (WB) database [62], but all the three were rejected because of the integrity of the data’s terms and periods. Ultimately, using the standard LMDI index decomposition method, only the WB database was chosen to analyze this nexus between global REC and CO2 emissions in the period 1971–2016.
Annual data on the population, gross domestic product (GDP) in constant 2010 dollar of United States (USD, or $), the total of all kinds of energy use and their respective percentages in total energy consumption, carbon emissions arising from the different energy categories and their corresponding percentages in total energy-related CO2 emissions, and the carbon intensity of energy use over the period 1971–2016, can be acquired or simply calculated from the World Development Indicator (WDI) datasets of the WB. According to the World Bank and the respective geographical locations, the world is divided into seven regions (Figure 1): East Asia and the Pacific (EAP), Europe and Central Asia (ECA), Latin America and the Caribbean (LAC), Middle East and North Africa (MENA), North America (NA), South Asia (SA), and Sub-Saharan Africa (SSA).
Corresponding datasets of the countries in EAP, ECA, LAC, MENA, NA, SA, and SSA can also be directly acquired from the WB database. The specific countries or areas contained in the seven regions are shown in Table A1. The descriptive statistics of the main variables for the whole world are in Table A2.

2.2. Methodology

In the decomposition analysis, the additive LMDI is employed, which is considered a preferred method [38,63,64]. The total CO2 emissions of the studied regions are decomposed into the following Equation (1) or Equation (2) underlying factors:
C = C i E · E G D P · G D P P · P = C E · E G · G P · P
C = C i E i · E i E · E G D P · G D P P · P = C I · E S · E G · G P · P
Next, the CO2 emissions’ changes in energy consumption from time period 0 ( C 0 ) to period T ( C T ) can be divided into the following contributions of different factors:
C T C 0 = Δ C tot   =   Δ C E   +   Δ E G   +   Δ G P   +   Δ P
C T C 0 = Δ C tot = Δ C I + Δ E S   +   Δ E G   +   Δ G P   +   Δ P
where
Δ C E = L C T , C 0 L N C E T C E 0
Δ E G = L C T , C 0 L N E G T E G 0
Δ G P = L C T , C 0 L N ( G P T G P 0 )
Δ P = L C T , C 0 L N P T P 0
Δ C I = L C T , C 0 L N C I T C I 0
Δ E S = L C T , C 0 L N E S T E S 0
where L is the logarithmic mean given by
L C T , C 0 = C T C 0 ln C T ln C 0
Hence, some variables were selected, and their respective abbreviations and units are shown in Table 2. These decomposed factors can be called the population effect ( Δ P ), the economic output effect ( Δ G P ), the energy intensity effect ( Δ E G ), and the integrated carbon coefficient effect of energy-mix use ( Δ C E ). It should be noted that the impact of mitigating CO2 emissions from REC is mainly manifested by the Δ C E index. Thus, this Δ C E index can also be simply called the REC effect. Furthermore, this REC effect can be divided into the following two effects of the carbon emission coefficient of energy use ( Δ C I ) and energy structure optimization ( Δ E S ). The reasons are as follows. First, the CO2 emissions produced by REC are less than that of the equivalent fossil fuels. Thus, with the rise of the REC amount, the carbon coefficient of the energy mix should be smaller, and the corresponding effect of mitigating carbon emissions should be more obvious. Second, the higher the REC ratio in total energy consumption, the larger the mitigation effect of carbon emissions from energy structure optimization.

3. Results and Discussion

3.1. Decomposition Results of the Growth of Global CO2 Emission in Total

In 1971, the total world population was 3.76 billion, and it grew stably up to 7.42 billion in 2016, with a total increase of 3.66 billion, an annual average increase of 81.4 million, and a rate of 1.52% (Figure 2). The total global CO2 emission was 15.49 billion tonnes (Bt) in 1971, but it fluctuated up and down to 33.82 Bt in 2016, with a total increase of 18.33 Bt, an annual average increase of 407.3 million tonnes (Mt), and a rate of 1.75%.
Similarly, GDP, energy consumption, and REC’s percentage in total energy use (REC ratio) were 20.05 × 103 billion$, 5.79 billion tonnes of oil equivalent (Btoe), and 15.55% in 1971, respectively, and they increased to 77.94 × 103 billion $, 13.79 Btoe, and 19.22% in 2016, with an annual average increase (rate) of 1.286 × 103 billion $ (3.06%), 177.8 Mt (1.95%), and 0.08% (0.47%). However, energy intensity had a decreasing trend due to the faster increasing rate of GDP than the rate of energy use. It was 0.289 B toe/103$ in 1971, and it decreased to 0.177 B toe/103$ in 2016, with an annual average change of −0.0025 B toe/103$ and a rate of −1.08%.
Then, the total growth of global CO2 emissions ( Δ C tot ) from 1971 to 2016 (18.33 Bt) was decomposed into the driving results of the following four factors: population effect ( Δ P ), economic output effect ( Δ G P ), energy intensity effect ( Δ E G ) and integrated carbon coefficient effect of energy-mix use ( Δ C E ) based on the result of Model 1 (Table 3). In particular, the change in CO2 emissions, driven by the four factors, was 15.95, 15.89, −11.50, and −2.02 Bt, with the contributions of 87.05%, 86.73%, −62.74%, and −11.04%, respectively, to total CO2 change (Table 3). In Model 2, Δ C tot was decomposed into five factors: Δ P , Δ G P ,   Δ E G , energy structure effect ( Δ E S ), and carbon coefficient effect ( C I ) . The change in CO2 emissions, driven by the five factors, was 15.95, 15.89, −11.50, −0.77, and −1.25 Bt, with the contributions of 87.05%, 86.73%, −62.74%, −4.22%, and −6.82%. These results indicated that the population effect was the most important driver of carbon emission growth, followed by the economic output effect. Inversely, the energy intensity effect was the most obvious inhibitor, followed by the REC effect (or energy structure effect and carbon coefficient effect), which was consistent with many other studies [17,25,48].
It should be noteworthy that no matter whether CO2 emission growth was decomposed into four or five factors, the numerical values and percentages of driving contribution from the same factors ( Δ P , Δ G P , and Δ E G ) were unchanged. Moreover, the REC effect was −2.02 Bt, and its contribution to total CO2 change was −11.04%. The effects of the two subfactors ( Δ E S and C I ) of REC were −0.77 and −1.25 Bt, and the sum of these effects was −2.02 Bt, which was just equivalent to the REC effect (Table 3). Similarly, the contributions of the two subfactors were −4.22 and −6.82%, and the sum of these contributions was −11.04%, also just equivalent to the REC contribution. These results showed that the REC always had an overall inhibiting or mitigating impact of −11.04% to CO2 emission growth from the global perspective, which contained the two effects of energy structure (−4.22%) and carbon coefficient (−6.82%) and was consistent with the facts and inference above.
Nevertheless, as shown in Figure 2, the populations of EAP, ECA, LAC, MENA, NA, SA, and SSA were 1.32, 0.74, 0.29, 0.14, 0.23, 0.73, and 0.30 billion, respectively, in 1971. They stably grew up to 2.30, 0.91, 0.63, 0.43, 0.36, 1.77, and 1.02 billion in 2016, with an average annual increase (rate) of 21.7 (1.23%), 3.7 (0.45%), 7.5 (1.71%), 6.5 (2.51%), 2.9 (1.00%), 23.1 (1.99%), and 16.1 million (2.78%). However, their carbon emissions were 2.13, 7.45, 0.53, 0.35, 4.54, 0.25, and 0.25 Bt in 1971. They fluctuated up and down to 13.96, 6.27, 1.84, 2.61, 5.55, 2.74, and 0.85 Bt, with an average annual change (rate) of 262.8 (4.26%), −26.1(−0.38%), 29.0 (2.79%), 50.2 (4.57%), 22.6 (0.45%), 55.3 (5.48%), and 13.4 Mt (2.76%) in 2016.
Similarly, the REC ratios of ECA and NA were 6.13% and 5.30% in 1971, and they grew up to 20.85% and 17.71% in 2016, with an annual average increase (rate) of 0.33% (2.76%) and 0.28% (2.72%). Moreover, the REC ratios of ECA had a sharp fall due to world political changes during the period 1989–1990. However, the REC ratios of EAP and SA were 27.03% and 66.13% in 1971, and they obviously decreased to 13.42% and 29.97% in 2016, with an annual average change (rate) of −0.30% (−1.54%) and −0.80% (−1.74%). In addition, the REC ratios of LAC, MENA, and SSA were 32.03%, 4.92%, and 63.78% in 1971, and they had almost no rules; there was a variable and, overall, slight decrease to 25.51%, 2.26%, and 60.87% in 2016 (Figure 2).
Hence, it could be concluded that SSA, MENA, and LAC had small populations and produced less carbon emissions. Moreover, SA had a moderate-sized population and also produced less carbon emissions. However, NA and ECA had moderate-sized populations but always produced much higher carbon emissions. Nevertheless, EAP always had the largest population, but, at first, produced much less carbon emissions. The growth rate of carbon emissions produced by EAP was more than many other regions, so, in the end, it produced the highest carbon emissions. In addition, the REC ratios of the seven geographical regions had some obviously different trends. Therefore, it is necessary and meaningful to study, in depth, the different reasons or mechanisms of carbon emission mitigation for the seven geographical regions due to their heterogeneity.

3.2. Comparisons of the Decomposition Results of the Seven Regions by Their Respective Geographical Locations

The decomposition results of EAP, ECA, LAC, MENA, NA, SA, and SSA from the period 1971–2016 are listed for convenience of explanation in Figure 3. The corresponding contributions and average annual contributions are in Table 4. It can be easily seen that the change amounts of EAP, ECA, LAC, MENA, NA, SA, and SSA from 1971 to 2016 were 11.83, −1.18, 1.31, 2.26, 1.02, 2.49, and 0.60 Bt. Thus, the contributions of the seven regions to the total growth of carbon emissions were 64.53%, −6.41%, 7.12%, 12.33%, 5.55%, 13.59%, and 3.29%. The corresponding annual average contributions were 1.43%, −0.14%, 0.16%, 0.27%, 0.12%, 0.30%, and 0.07% (Table 4). From the bold figures in the table, it is clear that attention should be paid to the EAP, followed by SA, MENA, LAC, NA, and SSA. ECA should be the last to be given attention.
For EAP, the change in CO2 emissions, driven by the five factors ( Δ P , Δ G P , Δ E G , Δ E S , and C I ), was 3.42, 8.95, −1.30, 0.89, and −0.14 Bt, and the corresponding contributions (average annual contributions) to total CO2 growth were 18.67% (0.41%), 48.85% (1.09%), −7.11% (−0.16%), 4.86% (0.11%) and −0.74% (−0.02%). The contribution of the REC effect of EAP was 4.12% (=4.86% −0.74%), and its annual average contribution was 0.09% (=0.11% −0.02%). These results show that the economic output effect was the most important driver of carbon emission growth for the EAP countries, followed by the population increase effect. The driving impact of the energy structure effect was less than the two above. Inversely, the energy intensity effect was the most obvious inhibitor of carbon emission growth, followed by the carbon coefficient effect. Similarly, for SA, the change in CO2 emissions, driven by the five factors, was 0.91, 1.50, −0.56, 0.71, and −0.08 Bt, and the corresponding contributions (average annual contributions) were 4.99% (0.11%), 8.21% (0.18%), −3.03% (−0.07%), 3.87% (0.09%), and −0.44% (−0.01%). The contribution of the REC effect of SA was 3.43% (=3.87% − 0.44%), and its annual average contribution was 0.08% (=0.09% − 0.01%).
However, for NA, the change in CO2 emissions, driven by the five factors ( Δ P , Δ G P , Δ E G , Δ E S , and C I ), was 2.24, 4.01, −4.52, −0.68 and −0.04 Bt, and the corresponding contributions (annual average contributions) were 12.25% (0.27%), 21.86% (0.49%), −24.65% (−0.55%), −3.70% (−0.08%), and −0.21% (−0.00%). The contribution of the REC effect of NA was −3.91% (=−3.70% − 0.21%), and its annual average contribution was −0.08% (=−0.08% − 0.00%). These results showed that the economic output effect was still the most important driver of carbon emission growth for the NA countries, followed by the population increase effect. Inversely, the energy intensity effect was the most obvious inhibitor of carbon emission growth, followed by the energy structure effect and the carbon coefficient effect. Similar results can also be found for ECA. In this region, the change in CO2 emissions, driven by the five factors, was 1.39, 5.19, −5.89, −0.81, and −1.05 Bt and the corresponding contributions (average annual contributions) were 7.57% (0.17%), 28.31% (0.63%), −32.16% (−0.71%), −4.40% (−0.10%), and −5.73% (−0.13%). The contribution of the REC effect of ECA was –10.13% (=−4.40% − 5.73%), and its annual average contribution was −0.23% (=−0.10% − 0.13%).
Moreover, for MENA, the change in CO2 emissions, driven by the five factors ( Δ P , Δ G P , Δ E G , Δ E S , and C I ), was 1.25, 0.59, 1.13, −0.03, and −0.68 Bt, and the corresponding contributions (average annual contributions) were 6.83% (0.15%), 3.19% (0.07%), 6.18% (0.14%), −0.17% (−0.00%), and −3.70% (−0.08%). The contribution of the REC effect of MENA was −3.87% (=−0.17% − 3.70%), and its annual average contribution was −0.08% (=−0.00% − 0.08%). These results show that the population increase effect was the most important driver of carbon emission growth for the MENA countries, followed by the energy intensity effect and the economic output effect. Inversely, only the REC effect (or carbon coefficient effect and energy structure effect) were the inhibitors.
In addition, for LAC, the change in CO2 emissions, driven by the five factors ( Δ P , Δ G P , Δ E G , Δ E S , and C I ), was 0.80, 0.66, −0.22, 0.09, and −0.02 Bt, and the corresponding contributions (average annual contributions) were 4.38% (0.10%), 3.62% (0.08%), −1.22% (−0.03%), 0.47% (0.01%), and −0.12% (−0.00%). The contribution of the REC effect of LAC was 0.35% (=0.47% − 0.12%), and its annual average contribution was 0.01% (=0.01% − 0.00%). These results showed that the population effect, the economic output effect and the energy structure effect were the drivers of carbon emission growth. Inversely, the energy intensity effect and the carbon coefficient effect were the inhibitors. Similar results can also be found for SSA. In this region, the change in CO2 emissions, driven by the five factors, were 0.58, 0.07, −0.06, 0.02, and −0.01 Bt, and the corresponding contributions (average annual contributions) were 3.15% (0.07%), 0.39% (0.01%), −0.30% (−0.01%), 0.12% (0.00%), and −0.07% (−0.00%). The contribution of the REC effect of SSA was 0.05% (=0.12% − 0.07%), and its annual average contribution was 0.00% (=0.00% − 0.00%).
Hence, it can be concluded that ECA had the most obvious mitigating REC effect of −10.13%, followed by NA and MENA (−3.91 and −3.87%, respectively). Inversely, EAP had the largest driving REC effect of 4.12%, followed by SA, LAC, and SSA (3.43, 0.35, and 0.05%). In addition, the population increase effect and economic output effect were always the two most important drivers of CO2 emission growth, but the energy intensity effect was often the inhibitor (except for MENA), which is consistent with many other studies [17,25,48]. The reasons were easily understandable. The MENA countries have abundant fossil energy resources, and, for many years, their economic development has mainly relied on the excessive exploitation and utilization of these resources. With the growth in population and economic development, energy consumption and corresponding CO2 emissions undoubtedly grew. However, people in the MENA countries have not paid enough attention to improving the level of science and technology and the efficiency of energy use; the opposite has happened in the other regions of the world.
Why were the REC effects of EAP, SA, LAC, and SSA the drivers for the growth of global CO2 emissions? Some obvious reasons are as follows. For example, it can be easily seen that there was a stable decrease in REC ratios in regions such as EAP and SA (Figure 2). Then, as mentioned above, the CO2 emissions produced by REC would be less than that of the equivalent fossil fuels. Therefore, the use of fossil fuels in these regions became higher and higher and emitted more and more CO2, which gave rise to the driving (not mitigating) impact on the growth of global carbon emissions.

3.3. Comparison of the Decomposition Results of Seven Different Regions by Their Geographical Locations for Five Different Periods

3.3.1. Overall Decomposition Results for Five Different Periods

The total CO2 changes, decomposed into five driving factors for five diferent periods (1971–1980, 1980–1990, 1990–2000, 2000–2010, and 2010–2016), were analyzed to provide an understanding of potential mechanisms. Table 5 shows the overall decomposition results for the five different periods; the corresponding change percentages of CO2 growth and the contributions of the drivers’ effects to total CO2 change are presented in Figure 4.
It can be easily seen that the world’s CO2 emissions increased by 4.36 Bt, with a change of 23.81% to total CO2 growth, in the first stage of 1971–1980 (Figure 4 and Table 5) and then slightly increased by 2.57 (1.50) Bt, with the change of 14.00% (8.171%) in the second (third) stage of 1980–1990 (1990–2000). In the fourth stage of 2000–2010, this CO2 sharply increased by 8.01 Bt, with a change of 43.70% in total CO2 growth, and grew slightly again by 1.89 Bt, with a change of 10.32% in the fifth stage of 2010–2016.
Overall, total CO2 emissions exhibited a sequentially increasing trend, with total growth of 18.83 (=4.36 + 2.57 + 1.50 + 8.01 + 1.89) Bt (Table 5). The population always had a positive or driving impact on CO2 emission growth, with increasing effects of 1.82 2.31, 2.27, 2.45, and 1.67 Bt, and contributions of 9.91%, 12.61%, 12.36%, 13.37%, and 9.12% to total CO2 growth from Stage 1 to 5, respectively (Figure 4 and Table 5).
Similarly, economic output also always had a driving impact on CO2 emission growth, with the increasing effects (contributions) of 3.77 (20.59%), 4.26 (23.26%), 4.21 (22.98%), 6.45 (35.17%), and 4.84 Bt (26.41%), respectively. However, energy intensity always had a negative or mitigating impact on CO2 emission growth, with the changing effects (contributions) of −0.53 (−2.87%), −4.69 (−25.57%), −3.58 (−19.51%), −1.42 (−7.73%), and −3.13 Bt (−17.07%). In addition, the trends of the REC effect (containing the energy structure effect and the carbon coefficient effect) were not stable and often had only a small influence on CO2 emissions (Figure 4 and Table 5).
Thus, for analyzing REC’s impact on mitigating global CO2 emissions more deeply, we divided the world into seven different regions by their different geographical locations for five different periods, respectively, to further study these mechanisms.

3.3.2. Decomposition Results of Seven Different Regions by Their Geographical Locations for Five Different Periods

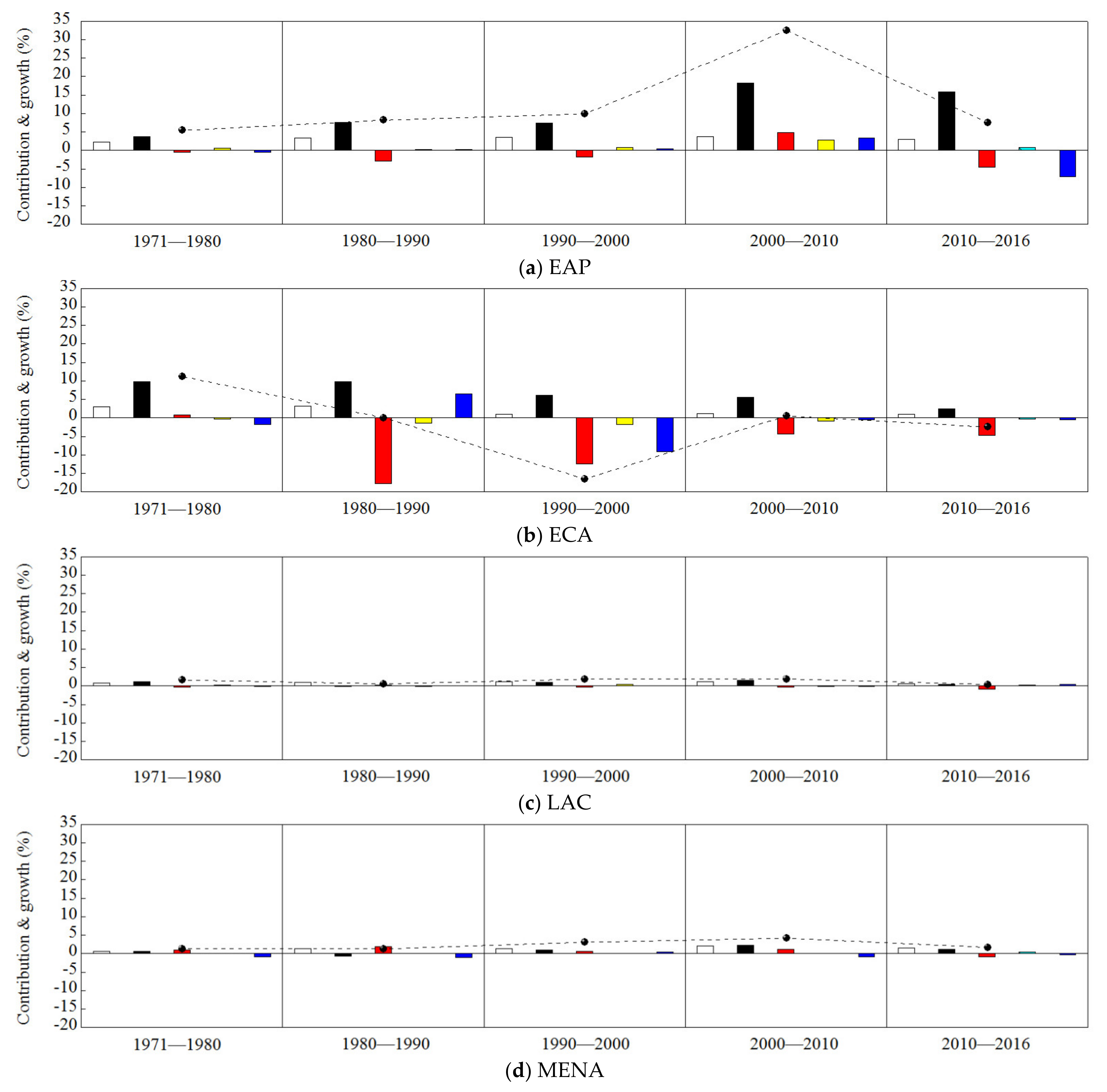
The CO2 emission change and the effects of the decomposed drivers from seven different regions by their geographical locations for five different periods are shown in Table 6. The corresponding percentage change of CO2 emission growth and the contribution of the decomposed drivers’ effects are depicted in Figure 5. The average annual change percentage of CO2 emission and the contribution rates of drivers for the five different periods are shown in Table 7.
EAP: The CO2 emissions of EAP increased by 1023.86 Mt, with a change of 5.59% to total CO2 growth and an average annual change rate of 0.62% in the first stage (Figure 5a, Table 6 and Table 7). Then, it decreased by 1533.85 Mt, with a change of 8.37% and an average annual change rate of 0.84% in the second stage. In the third stage, CO2 increased again by 1851.81 Mt, with a change of 10.10% and an average annual change rate of 1.01%. Then, it sharply increased by 6011.41 Mt, with a change of 32.80% and an average annual change rate of 3.28% in the fourth stage. In the fifth stage, CO2 increased again by 1405.60 Mt, with a change of 7.67% and an average annual change rate of 1.28%. Overall, the CO2 emission of EAP exhibited a sequentially increasing trend, with a total growth amount of 11,826.53 Mt (Table 6).
The population of EAP always had a driving impact on CO2 emission growth, with the increasing effects of 426.73, 603.62, 645.86, 690.27, and 538.42 Mt and average annual contributions of 0.26%, 0.33%, 0.35%, 0.38%, and 0.49% from Stages 1 to 5, respectively, to total CO2 growth (Table 6 and Table 7). Similarly, economic output also always had a driving impact on CO2 emission growth, with the increasing effects (average annual contributions) of 684.82 (0.42%), 1374.18 (0.75%), 1353.35 (0.74%), 3339.65 (1.82%), and 2904.74 Mt (2.64%). However, energy intensity had an overall mitigating impact on CO2 emission growth (except for the fourth stage), with the changing effects (average annual contributions) of −106.34 (−0.06%), −538.08 (−0.29%), −346.52 (−0.19%), 880.24 (0.48%) and −836.54 Mt (−0.76%). The energy structure effect always had a small but driving influence on CO2 emissions, with the changing effects (average annual contributions) of 111.45 (0.07%), 41.29 (0.02%), 142.20 (0.08%), 504.36 (0.28%), and 125.89 Mt (0.11%). Even so, the carbon coefficient had still an overall mitigating impact (except for the second, third, and fourth stages), with the changing effects (average annual contributions) of −92.79 (−0.06%), 52.84 (0.03%), 56.92 (0.03%), 596.90 (0.33%), and −1326.90 Mt (−1.21%). These results indicate that the REC effect of EAP had an overall mitigating impact on driving global CO2 emission by deteriorating the structure of energy use or increasing the corresponding carbon coefficient, with average annual contributions of 0.01% (=0.07% − 0.06%), 0.05% (=0.02% + 0.03%), 0.11% (=0.08% + 0.03%), 0.61% (=0.28% + 0.33%), and −1.10% (=0.11% − 1.21%), respectively.
ECA: The CO2 emission of ECA increased by 2089.63 Mt, with a change of 11.40% and an average annual change rate of 1.27% in the first stage (Figure 5b, Table 6 and Table 7). It slightly increased by 35.17 Mt, with a change of 0.19% and an average annual change rate of 0.02% in the second stage. However, in the third stage, CO2 sharply decreased by −3002.11 Mt, with a change of −16.38% and an average annual change rate of −1.64%. Then, it slightly increased again by 131.64 Mt, with a change of 0.72% and an average annual change rate of 0.07% in the fourth stage. In the fifth stage, CO2 slightly decreased again by −429.72 Mt, with a change of −2.34% and an average annual change rate of −0.39%. Overall, the CO2 emissions of ECA exhibited an unstable decreasing trend, with a total change amount of −1175.39 Mt (Table 6).
Similarly, the population of ECA always had a driving impact on CO2 emission growth, with the increasing effects (average annual contributions) of 551.73 (0.33%), 563.43 (0.31%), 184.71 (0.10%), 202.12 (0.11%), and 165.63 Mt (0.15%). Economic output also always had a driving impact, with increasing effects (average annual contributions) of 1783.13 (1.08%), 1808.50 (0.99%), 1118.87 (0.61%), 1009.14 (0.55%) and 439.96 Mt (0.40%). Energy intensity had an overall mitigating effect (except for the first stage), with the changing effects (average annual contributions) of 148.16 (0.09%), −3257.64 (−1.78%), −2278.21 (−1.24%), −808.50 (−0.44%), and −861.52 Mt (−0.78%). The energy structure effect always had a mitigating influence, with the changing effects (average annual contributions) of −62.18 (−0.04%), −271.80 (−0.15%), −345.57 (−0.19%), −163.68 (−0.09%), and −73.62 (−0.07%). Nevertheless, the carbon coefficient had an overall mitigating impact (except for the second stage), with the changing effects (average annual contributions) of −331.21 (−0.20%), 1192.67 (0.65%), −1681.91 (−0.92%), −107.44 (−0.06%), and −100.17 Mt (−0.09%). Thus, the REC effect of ECA had an overall mitigating impact on global CO2 emissions, with average annual contributions of −0.24% (=−0.04% − 0.20%), 0.50% (=−0.15% + 0.65%), −1.11% (=−0.19% − 0.92%), −0.15% (=−0.09% − 0.06%) and −0.16% (=−0.07% − 0.09%), respectively.
LAC: The CO2 emission of LAC increased by 326.78 Mt, with a change of 1.78% and an average annual change rate of 0.20% in the first stage (Figure 5c, Table 6 and Table 7). It increased by 133.45 Mt, with a change of 0.73% and an average annual change rate of 0.07% in the second stage. In the third stage, CO2 increased again by 365.09 Mt, with a change of 1.99% and an average annual change rate of 0.20%. Then, it increased again by 374.96 Mt, with a change of 2.05% and an average annual change rate of 0.20% in the fourth stage. In the fifth stage, CO2 increased again by 104.91 Mt, with a change of 0.57% and an average annual change rate of 0.10%. Overall, the CO2 emission of LAC also exhibited a sequentially increasing trend, with a total growth amount of 1305.19 Mt (Table 6).
The population always had a driving impact, with the increasing effects (average annual contributions) of 141.08 (0.09%), 188.69 (0.09%), 191.20 (0.09%), 191.26 (0.09%) and 112.95 Mt (0.10%). Economic output had an overall driving impact (except for the second stage), with the increasing effects (average annual contributions) of 214.58 (0.13%), −44.47 (−0.02%), 157.97 (0.09%), 287.30 (0.16%), and 74.10 Mt (0.07%). However, energy intensity had an overall mitigating impact (except for the second stage), with the changing effects (average annual contributions) of −46.67 (−0.03%), 33.89 (0.02%), −52.42 (−0.03%), −62.27 (−0.03%), and −168.85 Mt (−0.15%). However, the energy structure effect had an extremely unstable impact, with the changing effects (average annual contributions) of 52.47 (0.03%), −35.89 (−0.02%), 56.67 (0.03%), −18.20 (−0.01%), and 20.20 Mt (0.02%). Similarly, the carbon coefficient effect also had an extremely unstable impact, with the changing effects (average annual contributions) of −34.67 (−0.02%), −8.77 (−0.00%), 11.67 (0.01%), −23.13 (−0.01%), and 66.51 Mt (0.06%). Thus, the REC effect of LAC had an overall driving impact on global CO2 emissions (except for the second and fourth stages), with average annual contributions of 0.01% (=0.03% − 0.02%), −0.02% (=−0.02% − 0.00%), 0.04% (=0.03% + 0.01%), −0.02% (=−0.01% − 0.01%) and 0.08% (=0.02% + 0.06%), respectively.
MENA: The CO2 emission of MENA increased by 271.83 Mt, with a change of 1.48% and an average annual change rate of 0.16% in the first stage (Figure 5d, Table 6 and Table 7). It increased by 259.62 Mt, with a change percentage of 1.42% and an average annual change rate of 0.14% in the second stage. In the third stage, CO2 increased again by 593.47 Mt, with a change of 3.24% and an average annual change rate of 0.32%. Then, it increased again by 795.80 Mt, with a change of 4.34% and an average annual change rate of 0.43% in the fourth stage. In the fifth stage, CO2 increased again by 339.67 Mt, with a change of 1.85% and an average annual change rate of 0.31%. Overall, the CO2 emission of MENA exhibited a sequentially increasing trend, with a total growth amount of 2260.39 Mt (Table 6).
The population always had a driving impact, with the increasing effects (average annual contributions) of 122.69 (0.07%), 237.09 (0.13%), 246.74 (0.13%), 372.25 (0.20%), and 283.71 Mt (0.26%). The economic output effect had an overall driving impact (except for the second stage), with the increasing effects (average annual contributions) of 111.52 (0.07%), −127.95 (−0.07%), 178.97 (0.10%), 391.19 (0.21%), and 215.17 Mt (0.20%). Energy intensity had an overall driving impact (except for the fifth stage), with the changing effects (average annual contributions) of 190.10 (0.12%), 349.34 (0.19%), 90.26 (0.05%), 218.31 (0.12%), and −154.72 Mt (−0.14%). The energy structure effect had an overall driving impact, with the changing effects (average annual contributions) of −2.62 (−0.00%), 0.65 (−0.00%), −4.63 (−0.00%), −4.33 (−0.00%), and 61.90 Mt (0.06%). However, the carbon coefficient effect had an overall mitigating impact (except for the third stage), with the changing effects (average annual contributions) of −149.86 (−0.09%), −199.51 (−0.11%), 82.14 (0.04%), −181.63 (−0.10%), and −66.38 Mt (−0.06%). Thus, the REC effect of MENA had an overall mitigating impact on global CO2 emissions, with average annual contributions of −0.09% (=−0.00% − 0.09%), −0.11% (=−0.00% − 0.11%), 0.04% (=−0.00% + 0.04%), −0.10% (=−0.00% − 0.10%) and 0.00% (=0.06% − 0.06%), respectively.
NA: The CO2 emission of NA increased by 440.00 Mt, with a change of 2.40% and an average annual change rate of 0.27% in the first stage (Figure 5e, Table 6 and Table 7). It slightly increased by 186.67 Mt, with a change of 1.02% and an average annual change rate of 0.10% in the second stage. In the third stage, CO2 sharply increased again by 1066.08 Mt, with a change percentage of 5.82% and an average annual change rate of 0.58%. However, it decreased by −302.70 Mt, with a change percentage of −1.65% and an average annual change rate of −0.17% in the fourth stage. In the fifth stage, CO2 decreased again by −372.32 Mt, with a change of −2.03% and an average annual change rate of −0.34%. Overall, the CO2 emission of NA exhibited an increasing and, later, decreasing trend, although, overall, it was an increasing trend, with a total growth amount of 1017.73 Mt (Table 6).
The population always had a driving impact, with the increasing effects (average annual contributions) of 436.88 (0.26%), 436.88 (0.27%), 684.15 (0.37%), 564.74 (0.31%), and 256.84 Mt (0.23%). The economic output effect also always had a driving impact, with the increasing effects (average annual contributions) of 940.08 (0.57%), 1153.15 (0.63%), 1147.11 (0.63%), 546.14 (0.30%), and 460.22 Mt (0.42%). However, energy intensity always had a mitigating impact, with the changing effects (average annual contributions) of −704.66 (−0.43%), −1282.23 (−0.70%), −865.79 (−0.47%), −1223.57 (−0.67%), and −826.75 Mt (−0.75%). The energy structure effect also always had a mitigating impact, with the changing effects (average annual contributions) of −217.93 (−0.13%), −298.89 (−0.16%), −17.29 (−0.01%), −117.88 (−0.06%), and −61.91 Mt (−0.06%). The carbon coefficient effect had an overall mitigating impact (except for the second and third stages), with the changing effects (average annual contributions) of −14.37 (−0.01%), 124.31 (0.06%), 117.89 (0.06%), −72.13 (−0.04%), and −200.71 Mt (−0.18%). Thus, the REC effect of NA had an overall mitigating impact on global CO2 emissions (except for the third stage), with average annual contributions of −0.14% (=−0.13% − 0.01%), −0.10% (=−0.16% + 0.06%), 0.05% (=−0.01% + 0.06%), −0.10% (=−0.06% − 0.04%) and −0.24% (=−0.06% − 0.18%), respectively.
SA: The CO2 emission of SA increased by 98.37 Mt, with a change of 0.54% and an average annual change rate of 0.06% in the first stage (Figure 5f, Table 6 and Table 7). It slightly increased by 350.17 Mt, with a change of 1.91% and an average annual change rate of 0.19% in the second stage. In the third stage, CO2 increased again by 484.41 Mt, with a change of 2.64% and an average annual change rate of 0.26%. It increased again by 797.47 Mt with a change percentage of 4.35% and an average annual change rate of 0.44% in the fourth stage. In the fifth stage, this CO2 increased again by 759.27 Mt, with a change of 4.14% and an average annual change rate of 0.69%. Overall, the CO2 emission of SA exhibited a sequentially increasing trend, with a total growth amount of 2489.69 Mt (Table 6).
The population always had a driving impact, with the increasing effects (average annual contributions) of 61.76 (0.04%), 115.22 (0.06%), 187.26 (0.10%), 253.23 (0.14%), and 181.56 Mt (0.17%). The economic output effect also always had a driving impact, with the increasing effects (average annual contributions) of 24.56 (0.01%), 154.63 (0.08%), 286.72 (0.16%), 699.91 (0.38%), and 701.11 Mt (0.64%). However, energy intensity always had a mitigating impact, with the changing effects (average annual contributions) of −3.59 (−0.00%), −50.50 (−0.03%), −139.88 (−0.08%), −284.83 (−0.16%), and −208.42 Mt (−0.19%). However, the energy structure effect always had a driving impact, with the changing effects (average annual contributions) of 36.31 (0.02%), 152.55 (0.08%), 151.09 (0.08%), 157.56 (0.09%), and 24.37 Mt (0.02%). The carbon coefficient effect had an overall mitigating impact (except for the fifth stage), with the changing effects (average annual contributions) of −20.66 (−0.01%), −21.72 (−0.01%), −0.79 (−0.00%), −28.39 (−0.02%), and 60.65 Mt (0.06%). Thus, the REC effect of SA had an overall driving impact on global CO2 emissions, with average annual contributions of 0.01% (=0.02% − 0.01%), 0.07% (=0.08% − 0.01%), 0.08% (=0.08% + 0.00%), 0.07% (=0.09% − 0.02%) and 0.08% (=0.02% + 0.06%), respectively.
SSA: The CO2 emission of SSA increased by 113.64 M,t with a change of 0.62% and an average annual change rate of 0.07% in the first stage (Figure 5g, Table 6 and Table 7). It slightly increased by 65.99 Mt, with a change of 0.36% and an average annual change rate of 0.04% in the second stage. In the third stage, CO2 increased again by 137.73 Mt, with a change of 0.75% and an average annual change rate of 0.08%. It increased again by 201.03 Mt, with a change of 1.10% and an average annual change rate of 0.11% in the fourth stage. In the fifth stage, CO2 increased again by 84.20 Mt, with a change percentage of 0.46% and an average annual change rate of 0.08%. Overall, the CO2 emission of SSA also exhibited a sequentially increasing trend, with a total growth amount of 602.59 Mt (Table 6).
The population always had a driving impact, with the increasing effects (average annual contributions) of 76.14 (0.05%), 112.82 (0.06%), 125.38 (0.07%), 177.17 (0.10%), and 131.83 Mt (0.12%). The economic output effect had an overall driving impact except for the second and third stages, with the increasing effects (average annual contributions) of 14.50 (0.01%), −56.16 (−0.03%), −31.15 (−0.02%), 172.60 (0.09%), and 44.37 Mt (0.04%). However, energy intensity had an overall mitigating impact except for the second and third stages, with the changing effects (average annual contributions) of −3.41 (−0.00%), 59.34 (0.03%), 17.21 (0.01%), −136.85 (−0.07%), and −71.24 (−0.06%). The energy structure effect had an overall driving impact except for the third and fifth stages, with the changing effects (average annual contributions) of 28.32 (0.02%), 2.49 (0.00%), −19.86 (−0.01%), 8.75 (0.00%), and −3.39 Mt (−0.00%). However, the carbon coefficient effect had an overall mitigating impact except for the third stage, with the changing effects (average annual contributions) of −1.91 (−0.00%), −52.50 (−0.03%), 46.13 (0.02%), −20.63 (−0.01%), and −17.36 Mt (−0.02%). Thus, the REC effect of SSA had an overall mitigating impact on global CO2 emissions, with average annual contributions of 0.02% (=0.02% +0.00%), −0.03% (=0.00% − 0.03%), 0.01% (=−0.01% + 0.02%), −0.01% (=0.00% − 0.01%) and −0.02% (=0.00% − 0.02%), respectively.
It can be easily seen that the CO2 emission growth and the corresponding drivers’ contributions were exhibited mainly in EAP, ECA, and NA (Figure 5). Furthermore, the population and economic output almost always had driving effects, the latter often more than the first, especially in the fourth stage of EAP. These results could arise from the fact that some developing countries, such as China (in EAP, Table A1), had high economic output and, concurrently, rapid economic development. Moreover, energy intensity almost always had a mitigating effect (except in MENA), especially in the second stage of ECA. These results could arise from the fact that many developed countries, such as Germany and Sweden (in ECA, Table A1), have, for a long time, paid much more attention to enhancing the level of science and technology to increase energy use efficiency and reduce energy intensity and carbon emissions.
It should be noteworthy that CO2 emission growth and the corresponding drivers’ contributions of LAC, MENA, SA, and SSA were extremely small and can almost be neglected (Figure 5, Table 6 and Table 7). However, an interesting result was that the annual average contribution rate of the energy intensity effect of LAC was positive (0.02%) in the second stage and, concurrently, the annual average contribution rates of the energy structure effect and the carbon coefficient effect were not more than zero (0.00 and −0.02%, respectively). The annual average contribution rate of the REC effect was negative (−0.02% =0.00% − 0.02%). These results indicate that many developing countries (i.e., Panama, Mexico, and Haiti) of LAC have recently developed their own economy and reduced carbon emissions only by using more and more renewable energy to replace the utilization of fossil energy such as coal, oil, and natural gas. These countries worry that they have not paid attention to improving their level of science and technology and production efficiency for saving energy and reducing energy intensity. Hence, with the fast development of their economy and rapid growth of REC, energy intensity exhibited a driving impact, although the REC effect brought out an obvious mitigating impact on CO2 emission growth (Table 7). Similar situations can also be seen in the first stage of ECA, the first, second, and fourth stages of MENA, and the second stage of SSA.

3.4. Discussion

There is no doubt that mitigating global warming is a worldwide systematic project. The successful completion of this project requires the joint efforts and cooperation of all mankind. This paper only traces the quantitative contribution of REC growth to the reduction of carbon dioxide emissions from a macro perspective. However, from the micro perspective, it is of more scientific importance and significance to promote the application of engineering technologies to reduce carbon emissions and increase carbon sink. These engineering technologies have the following aspects: reducing waste pollutants [65], reducing carbon emissions in agriculture [66], construction [67,68,69], the paper industry [70], and other industries, and increasing soil carbon absorption [66]. We cannot study these microscopic problems in this paper. Therefore, this is also the deficiency of this paper, and we will continue to research the directions mentioned above in the future. If similar studies are conducted based on other criteria (i.e., income, not geography), some different and distinct results can be obtained. This is also a study direction in the future.
In addition, the reliability and stability of the results in the paper are indisputable. However, these results may also have a few errors. The main sources of errors are as follows. First, the data source itself might produce the error. Some data of WDIs on the WB website are generated and acquired using the reasonable estimating method. Hence, inevitable, although slight, errors exist in their own database. These errors have an extremely slight impact on the results of this study. Furthermore, the original statistical data of renewable energy should have many categories, such as hydro, wind, solar energy, geothermal energy, and biomass energy. However, complete and detailed data containing each category of renewable energy are almost impossible to find. Thus, the subtraction of total energy consumption and total fossil energy consumption was used to replace total renewable energy consumption. The approximate approach might bring certain errors, but the impact on the final results of this study is still small. Finally, some small errors (although they can be ignored) might be produced by our computations, e.g., using the rounded integer arithmetic method, in the whole study process.

4. Conclusions and Policy Implications

As the hypothesis states, on a global scale, REC has had an overall mitigating effect of −11.04% on total CO2 change, with REC growth. The REC mitigating effect contained the two effects of energy structure optimization (−4.22%) and the carbon emission coefficient (−6.82%). ECA had the most obvious mitigating REC effect of −10.13%, followed by NA and MENA (−3.91 and −3.87, respectively). Inversely, EAP had the largest driving REC effect of 4.12%, followed by SA, LAC, and SSA (3.43%, 0.35%, and 0.05%). These results indicated that it is still important to exploit and utilize renewable energy, especially in developing or underdeveloped countries, as renewable energy use is extremely insufficient and even decreasing in these countries. Furthermore, the population and economic output almost always had driving effects, the latter often more than the first, especially in the fourth stage of EAP. These results could arise from the fact that some developing countries, such as China, had high economic output and, concurrently, rapid economic development. Moreover, energy intensity often had a mitigating effect, especially in the second stage of ECA. The reason could be that many developed countries, such as Germany and Sweden, have, for a long time, paid much more attention to enhancing the level of science and technology to increase energy use efficiency to reduce energy intensity and carbon emissions. In addition, for regions at a certain stage, the annual average contribution rate of the REC effect could be negative. However, concurrently, their annual average contribution rate of the energy intensity effect could be positive. The result shows that some developing countries have recently reduced carbon emissions only by extensively using renewable energy, not by enhancing their energy use efficiency. Thus, some policy implications for reducing CO2 in different countries are listed.
First, globally, it should become a long-term development strategy to exploit and utilize renewable energy in order to replace the use of traditional fossil fuels. This is because, presently, only the REC of some developed countries (i.e., Sweden in ECA) have had an obvious mitigating effect on CO2 emissions. The RECs of many other countries still have a positive or driving impact on CO2 emission growth. The exploitation and utilization of renewable energy in these countries are relatively insufficient.
Moreover, for some developed countries (especially in ECA), their population should continue to strengthen the development of renewable energy. Meanwhile, their population should also continue to improve the related technology and energy-use efficiency. Thereby, to the greatest extent, it is possible to achieve rapid economic development and, concurrently, generate the least CO2. Moreover, the advanced technologies of renewable-energy exploitation and utilization should, as far as possible, be transferred to other developing or underdeveloped countries in an appropriate way.
Next, for some developing countries such as China in EAP, their economic development is overly dependent on the consumption of a large amount of fossil fuels. More attention should be given to exploit renewable energy and, concurrently, improve the related level of science and technology and the efficiency of energy use. These two aspects have the same importance. Particularly, the measures contain the introduction of advanced technology for renewable energy exploitation (i.e., photovoltaic generation) and energy efficiency improvement.
Lastly, the other countries (especially in LAC, MENA, and SSA) have developed their own economy and reduced carbon emissions only by using more and more renewable energy. They have not paid enough attention to improving their level of science and technology for saving energy. Therefore, in these countries, their population should give importance to improving their energy-use efficiency in order to save energy and reduce emissions. All technologies that are helpful to improving energy-use efficiencies should be given the same attention and be introduced.

Author Contributions

Conceptualization, J.J. and C.C.; writing—original draft preparation, J.J. and C.C.; investigation, J.L.; data curation, J.L.; writing—review and editing, J.L. and J.J.; methodology, X.S. and Y.Z. All authors have read and agreed to the published version of the manuscript.

Funding

This research was funded by the Research Project of Humanities and Social Sciences in Jiangxi’s Universities (Grant No. GL19225) and the Chinese National Science Foundation (Grant No. 71473113).

Institutional Review Board Statement

Not applicable.

Informed Consent Statement

Not applicable.

Data Availability Statement

The data presented in this study are available on request from the corresponding author.

Acknowledgments

We thank the anonymous reviewers and editors for their constructive comments and suggestions to improve the quality of this article.

Conflicts of Interest

The authors declare no conflict of interest.

Appendix A

Table A1. All countries or areas worldwide, divided by their respectively geographical locations, from the WDIs.
Table A1. All countries or areas worldwide, divided by their respectively geographical locations, from the WDIs.
RegionsCountries
East Asia and the PacificAmerican Samoa; Australia; Brunei Darussalam; Cambodia; China; Fiji; French Polynesia; Guam; Hong Kong SAR, China; Indonesia; Japan; Kiribati; Korea, Dem. People’s Rep.; Korea, Rep.; Lao PDR; Macao SAR, China; Malaysia; Marshall Islands; Micronesia, Fed. Sts.; Mongolia; Myanmar; Nauru; New Caledonia; New Zealand; Northern Mariana Islands; Palau; Papua New Guinea; Philippines; Samoa; Singapore; Solomon Islands; Thailand; Timor-Leste; Tonga; Tuvalu; Vanuatu; Vietnam
Europe and Central AsiaAlbania; Andorra; Armenia; Austria; Azerbaijan; Belarus; Belgium; Bosnia and Herzegovina; Bulgaria; Channel Islands; Croatia; Cyprus; Czech Republic; Denmark; Estonia; Faroe Islands; Finland; France; Georgia; Germany; Gibraltar; Greece; Greenland; Hungary; Iceland; Ireland; Isle of Man; Italy; Kazakhstan; Kosovo; Kyrgyz Republic; Latvia; Liechtenstein; Lithuania; Luxembourg; Moldova; Monaco; Montenegro; Netherlands; North Macedonia; Norway; Poland; Portugal; Romania; Russian Federation; San Marino; Serbia; Slovak Republic; Slovenia; Spain; Sweden; Switzerland; Tajikistan; Turkey; Turkmenistan; Ukraine; United Kingdom; Uzbekistan
Latin America and CaribbeanAntigua and Barbuda; Argentina; Aruba; Bahamas, The; Barbados; Belize; Bolivia; Brazil; British Virgin Islands; Cayman Islands; Chile; Colombia; Costa Rica; Cuba; Curacao; Dominica; Dominican Republic; Ecuador; El Salvador; Grenada; Guatemala; Guyana; Haiti; Honduras; Jamaica; Mexico; Nicaragua; Panama; Paraguay; Peru; Puerto Rico; Sint Maarten (Dutch part); St. Kitts and Nevis; St. Lucia; St. Martin (French part); St. Vincent and the Grenadines; Suriname; Trinidad and Tobago; Turks and Caicos Islands; Uruguay; Venezuela, RB; Virgin Islands (U.S.)
Middle East and North AfricaAlgeria; Bahrain; Djibouti; Egypt, Arab Rep.; Iran, Islamic Rep.; Iraq; Israel; Jordan; Kuwait; Lebanon; Libya; Malta; Morocco; Oman; Qatar; Saudi Arabia; Syrian Arab Republic; Tunisia; United Arab Emirates; West Bank and Gaza; Yemen, Rep.
North AmericaBermuda; Canada; United States
South AsiaAfghanistan; Bangladesh; Bhutan; India; Maldives; Nepal; Pakistan; Sri Lanka
Sub-Saharan AfricaAngola; Benin; Botswana; Burkina Faso; Burundi; Cabo Verde; Cameroon; Central African Republic; Chad; Comoros; Congo, Dem. Rep.; Congo, Rep.; Cote d’Ivoire; Equatorial Guinea; Eritrea; Eswatini; Ethiopia; Gabon; Gambia, The; Ghana; Guinea; Guinea-Bissau; Kenya; Lesotho; Liberia; Madagascar; Malawi; Mali; Mauritania; Mauritius; Mozambique; Namibia; Niger; Nigeria; Rwanda; Sao Tome and Principe; Senegal; Seychelles; Sierra Leone; Somalia; South Africa; South Sudan; Sudan; Tanzania; Togo; Uganda; Zambia; Zimbabwe
Table A2. Descriptive statistics of the main variables for the whole world.
Table A2. Descriptive statistics of the main variables for the whole world.
VariablesMinimumMaximumMeanStandard DeviationVarianceSkewnessKurtosis
C15.49034.10023.8845.36629.4290.631−0.678
P3.7607.4205.5671.0911.2170.013−1.236
GDP20,050.00077,940.00044,074.78316,894.297291,759,878.8410.432−1.024
E5.79014.5709.4542.2185.0300.524−0.570
GP5332.44710,504.0437630.2511482.8692,247,765.1600.388−1.062
EG0.1770.2890.2280.0390.0020.297−1.613
CE2.3362.6752.5340.0720.0050.0700.081

References

  1. Armstrong, R.C.; Wolfram, C.; de Jong, K.P.; Gross, R.; Lewis, N.S.; Boardman, B.; Ragauskas, A.J.; Ehrhardt-Martinez, K.; Crabtree, G.; Ramana, M.V. The frontiers of energy. Nat. Energy 2016, 1, 15020. [Google Scholar] [CrossRef]
  2. Barack, O. The irreversible momentum of clean energy. Science 2017, 355, 126–129. [Google Scholar]
  3. Martinez-Zarzoso, I.; Maruotti, A. The impact of urbanization on CO2 emissions: Evidence from developing countries. Ecol. Econ. 2011, 70, 1344–1353. [Google Scholar] [CrossRef]
  4. Tian, J.; Andraded, C.; Lumbreras, J.; Guan, D.B.; Wang, F.Z.; Liao, H. Integrating sustainability into city-level CO2 accounting: Social consumption pattern and income distribution. Ecol. Econ. 2018, 153, 1–16. [Google Scholar] [CrossRef]
  5. Bilan, Y.; Streimikiene, D.; Vasylieva, T.; Lyulyov, O.; Pimonenko, T.; Pavlyk, A. Linking between renewable energy, CO2 emissions, and economic growth: Challenges for candidates and potential candidates for the EU membership. Sustainability 2019, 11, 1528. [Google Scholar] [CrossRef]
  6. Menyah, K.; Wolde-Rufael, Y. CO2 emissions, nuclear energy, renewable energy and economic growth in the US. Energy Policy 2010, 38, 2911–2915. [Google Scholar] [CrossRef]
  7. Teixido, J.; Verde, S.F.; Nicolli, F. The impact of the EU Emissions Trading System on low-carbon technological change: The empirical evidence. Ecol. Econ. 2019, 164, 24–32. [Google Scholar] [CrossRef]
  8. Aydogan, B.; Vardar, G. Evaluating the role of renewable energy, economic growth and agriculture on CO2 emission in E7 countries. Int. J. Sustain. Energy 2020, 39, 335–348. [Google Scholar] [CrossRef]
  9. Timilsina, G.R.; Csordas, S.; Mevel, S. When does a carbon tax on fossil fuels stimulate biofuels? Ecol. Econ. 2011, 70, 2400–2415. [Google Scholar] [CrossRef]
  10. Bhattacharya, M.; Churchill, S.A.; Paramati, S.R. The dynamic impact of renewable energy and institutions on economic output and CO2 emissions across regions. Renew. Energy 2017, 111, 157–167. [Google Scholar] [CrossRef]
  11. Yao, S.; Zhang, S.; Zhang, X. Renewable energy, carbon emission and economic growth: A revised environmental Kuznets Curve perspective. J. Clean. Prod. 2019, 235, 1338–1352. [Google Scholar] [CrossRef]
  12. Apergis, N.; Payne, J.E. Renewable energy, output, carbon dioxide emissions, and oil prices: Evidence from South America. Energy Source. Part B 2015, 10, 281–287. [Google Scholar] [CrossRef]
  13. Long, X.; Naminse, E.Y.; Du, J.; Zhuang, J. Nonrenewable energy, renewable energy, carbon dioxide emissions and economic growth in China from 1952 to 2012. Renew. Sustain. Energy Rev. 2015, 52, 680–688. [Google Scholar] [CrossRef]
  14. Hanif, I. Impact of economic growth, nonrenewable and renewable energy consumption, and urbanization on carbon emissions in Sub-Saharan Africa. Environ. Sci. Pollut. Res. 2018, 25, 15057–15067. [Google Scholar] [CrossRef]
  15. Cherni, A.; Jouini, S.E. An ARDL approach to the CO2 emissions, renewable energy and economic growth nexus: Tunisian evidence. Int. J. Hydrog. Energy 2017, 42, 29056–29066. [Google Scholar] [CrossRef]
  16. Zaghdoudi, T. Oil prices, renewable energy, CO2 emissions and economic growth in OECD countries. Econ. Bull. 2017, 37, 1844–1850. [Google Scholar]
  17. Emir, F.; Bekun, F.V. Energy intensity, carbon emissions, renewable energy, and economic growth nexus: New insights from Romania. Energy Environ. 2019, 30, 427–443. [Google Scholar] [CrossRef]
  18. Lu, W.-C. Renewable energy, carbon emissions, and economic growth in 24 Asian countries: Evidence from panel cointegration analysis. Environ. Sci. Pollut. Res. 2017, 24, 26006–26015. [Google Scholar] [CrossRef]
  19. Zrelli, M.H. Renewable energy, non-renewable energy, carbon dioxide emissions and economic growth in selected Mediterranean countries. Environ. Econ. Policy Stud. 2017, 19, 691–709. [Google Scholar] [CrossRef]
  20. Ben Jebli, M.; Ben Youssef, S.; Apergis, N. The dynamic linkage between renewable energy, tourism, CO2 emissions, economic growth, foreign direct investment, and trade. Latin Am. Econ. Rev. 2019, 28, 2. [Google Scholar] [CrossRef]
  21. Dong, K.; Sun, R.; Jiang, H.; Zeng, X. CO2 emissions, economic growth, and the environmental Kuznets curve in China: What roles can nuclear energy and renewable energy play? J. Clean. Prod. 2018, 196, 51–63. [Google Scholar] [CrossRef]
  22. Dong, K.; Dong, X.; Jiang, Q. How renewable energy consumption lower global CO2 emissions? Evidence from countries with different income levels. World Econ. 2020, 43, 1665–1698. [Google Scholar] [CrossRef]
  23. Ito, K. CO2 emissions, renewable and non-renewable energy consumption, and economic growth: Evidence from panel data for developed countries. Econ. Bull. 2016, 36, 553–559. [Google Scholar] [CrossRef]
  24. Pata, U.K. Renewable energy consumption, urbanization, financial development, income and CO2 emissions in Turkey: Testing EKC hypothesis with structural breaks. J. Clean. Prod. 2018, 187, 770–779. [Google Scholar] [CrossRef]
  25. Lee, J.W. Long-run dynamics of renewable energy consumption on carbon emissions and economic growth in the European union. Int. J. Sustain. Dev. World 2019, 26, 69–78. [Google Scholar] [CrossRef]
  26. Leal, P.H.; Marques, A.C.; Fuinhas, J.A. How economic growth in Australia reacts to CO2 emissions, fossil fuels and renewable energy consumption. Int. J. Energy Sect. Manag. 2018, 12, 696–713. [Google Scholar] [CrossRef]
  27. Ummalla, M.; Samal, A. The impact of natural gas and renewable energy consumption on CO2 emissions and economic growth in two major emerging market economies. Environ. Sci. Pollut. Res. 2019, 26, 20893–20907. [Google Scholar] [CrossRef]
  28. Shafiei, S.; Salim, R.A. Non-renewable and renewable energy consumption and CO2 emissions in OECD countries: A comparative analysis. Energy Policy 2014, 66, 547–556. [Google Scholar] [CrossRef]
  29. Bilgili, F.; Kocak, E.; Bulut, U. The dynamic impact of renewable energy consumption on CO2 emissions: A revisited Environmental Kuznets Curve approach. Renew. Sustain. Energy Rev. 2016, 54, 838–845. [Google Scholar] [CrossRef]
  30. Dogan, E.; Seker, F. The influence of real output, renewable and non-renewable energy, trade and financial development on carbon emissions in the top renewable energy countries. Renew. Sustain. Energy Rev. 2016, 60, 1074–1085. [Google Scholar] [CrossRef]
  31. Chiu, C.-L.; Chang, T.-H. What proportions of renewable energy supplies is needed to initially mitigate CO2 emissions in OECD member countries. Renew. Sustain. Energy Rev. 2009, 13, 1669–1674. [Google Scholar] [CrossRef]
  32. Zoundi, Z. CO2 emissions, renewable energy and the Environmental Kuznets Curve, a panel cointegration approach. Renew. Sustain. Energy Rev. 2017, 72, 1067–1075. [Google Scholar] [CrossRef]
  33. Zhang, Y.-J.; Wang, W. Do renewable energy consumption and service industry development contribute to CO2 emissions reduction in BRICS countries? Environ. Sci. Pollut. Res. 2019, 26, 31632–31643. [Google Scholar] [CrossRef]
  34. Ullah, I.; Rehman, A.; Khan, F.U.; Shah, M.H.; Khan, F. Nexus between trade, CO2 emissions, renewable energy, and health expenditure in Pakistan. Int. J. Health Plan. Manag. 2020, 35, 818–831. [Google Scholar] [CrossRef]
  35. Rehman, A.; Rauf, A.; Ahmad, M.; Chandio, A.A.; Zhang, D. The effect of carbon dioxide emission and the consumption of electrical energy, fossil fuel energy, and renewable energy, on economic performance: Evidence from Pakistan. Environ. Sci. Pollut. Res. 2019, 26, 21760–21773. [Google Scholar] [CrossRef]
  36. Kim Hanh, N.; Kakinaka, M. Renewable energy consumption, carbon emissions, and development stages: Some evidence from panel cointegration analysis. Renew. Energy 2019, 132, 1049–1057. [Google Scholar]
  37. Isiksal, A.Z.; Samour, A.; Isiksal, H. Revisiting renewable and non-renewable energy consumption and CO2 emissions in Caspian Basin. Int. J. Ecol. Econ. Stat. 2019, 40, 25–39. [Google Scholar]
  38. Ang, B.W. Decomposition analysis for policymaking in energy. Energy Policy 2004, 32, 1131–1139. [Google Scholar] [CrossRef]
  39. Pachauri, S. Household electricity access a trivia cntributr to CO2 emissions growth in India. Nat. Clim. Chang. 2014, 4, 1073–1076. [Google Scholar] [CrossRef]
  40. Attiaoui, I.; Toumi, H.; Ammouri, B.; Gargouri, I. Causality links among renewable energy consumption, CO2 emissions, and economic growth in Africa: Evidence from a panel ARDL-PMG approach. Environ. Sci. Pollut. Res. 2017, 24, 13036–13048. [Google Scholar] [CrossRef]
  41. Bhat, J.A. Renewable and non-renewable energy consumption-impact on economic growth and CO2 emissions in five emerging market economies. Environ. Sci. Pollut. Res. 2018, 25, 35515–35530. [Google Scholar] [CrossRef]
  42. Charfeddine, L.; Kahia, M. Impact of renewable energy consumption and financial development on CO2 emissions and economic growth in the MENA region: A panel vector autoregressive (PVAR) analysis. Renew. Energy 2019, 139, 198–213. [Google Scholar] [CrossRef]
  43. Chen, Y.; Wang, Z.; Zhong, Z. CO2 emissions, economic growth, renewable and non-renewable energy production and foreign trade in China. Renew. Energy 2019, 131, 208–216. [Google Scholar] [CrossRef]
  44. Chen, Y.; Zhao, J.; Lai, Z.; Wang, Z.; Xia, H. Exploring the effects of economic growth, and renewable and non-renewable energy consumption on China’s CO2 emissions: Evidence from a regional panel analysis. Renew. Energy 2019, 140, 341–353. [Google Scholar] [CrossRef]
  45. De Souza, E.S.; Freire, F.; Pires, J. Determinants of CO2 emissions in the MERCOSUR: The role of economic growth, and renewable and non-renewable energy. Environ. Sci. Pollut. Res. 2018, 25, 20769–20781. [Google Scholar] [CrossRef]
  46. Dogan, E.; Ozturk, I. The influence of renewable and non-renewable energy consumption and real income on CO2 emissions in the USA: Evidence from structural break tests. Environ. Sci. Pollut. Res. 2017, 24, 10846–10854. [Google Scholar] [CrossRef]
  47. Dong, K.; Hochman, G.; Sun, R.; Li, H.; Liao, H. CO2 emissions, economic and population growth, and renewable energy: Empirical evidence across regions. Energy Econ. 2018, 75, 180–192. [Google Scholar] [CrossRef]
  48. Kahia, M.; Ben Jebli, M.; Belloumi, M. Analysis of the impact of renewable energy consumption and economic growth on carbon dioxide emissions in 12 MENA countries. Clean. Technol. Environ. 2019, 21, 871–885. [Google Scholar] [CrossRef]
  49. Li, D.; Yang, D. Does Non-Fossil Energy Usage Lower CO2 Emissions? Empirical Evidence from China. Sustainability 2016, 8, 874. [Google Scholar] [CrossRef]
  50. Liddle, B.; Sadorsky, P. How much does increasing non-fossil fuels in electricity generation reduce carbon dioxide emissions? Appl. Energy 2017, 197, 212–221. [Google Scholar] [CrossRef]
  51. Mahmood, N.; Wang, Z.; Hassan, S.T. Renewable energy, economic growth, human capital, and CO2 emission: An empirical analysis. Environ. Sci. Pollut. Res. 2019, 26, 20619–20630. [Google Scholar] [CrossRef] [PubMed]
  52. Moutinho, V.; Robaina, M. Is the share of renewable energy sources determining the CO2 kWh and income relation in electricity generation? Renew. Sustain. Energy Rev. 2016, 65, 902–914. [Google Scholar] [CrossRef]
  53. Naz, S.; Sultan, R.; Zaman, K.; Aldakhil, A.M.; Nassani, A.A.; Abro, M.M. Q Moderating and mediating role of renewable energy consumption, FDI inflows, and economic growth on carbon dioxide emissions: Evidence from robust least square estimator. Environ. Sci. Pollut. Res. 2019, 26, 2806–2819. [Google Scholar] [CrossRef] [PubMed]
  54. Paweenawat, S.W.; Plyngam, S. Does the causal relationship between renewable energy consumption, CO2 emissions, and economic growth exist in Thailand? An ARDL approach. Econ. Bull. 2017, 37, 697–711. [Google Scholar]
  55. Rahil, A.; Gammon, R.; Brown, N.; Udie, J.; Mazhar, M.U. Potential economic benefits of carbon dioxide (CO2) reduction due to renewable energy and electrolytic hydrogen fuel deployment under current and long term forecasting of the Social Carbon Cost (SCC). Energy Rep. 2019, 5, 602–618. [Google Scholar] [CrossRef]
  56. Shahzad, U.; Sarwar, S.; Amin, W.; Qamaruz, Z. The relationships among economic growth, renewable energy consumption, CO2 emissions and agriculture production: Empirical evidence for China and India. Glob. Local Econ. Rev. 2018, 22, 41–68. [Google Scholar]
  57. Toumi, S.; Toumi, H. Asymmetric causality among renewable energy consumption, CO2 emissions, and economic growth in KSA: Evidence from a non-linear ARDL model. Environ. Sci. Pollut. Res. 2019, 26, 16145–16156. [Google Scholar] [CrossRef]
  58. Yazdi, S.K.; Shakouri, B. The renewable energy, CO2 emissions, and economic growth: VAR model. Energy Source Part B 2018, 13, 53–59. [Google Scholar] [CrossRef]
  59. EIA. International Energy Statistics in U.S. Energy Information. EIA: Washington, DC, USA. Available online: https://www.eia.gov/beta/international/data/browser/#/?c=4100000002000060000000000000g000200000000000000001&vs=INTL.44-1-AFRC-QBTU.A&vo=0&v=H&end=2015 (accessed on 24 December 2020).
  60. BP. Statistical Review of World Energy—All Data, 1965–2017. BP: London, UK. Available online: https://www.bp.com/en/global/corporate/energy-economics/statistical-review-of-world-energy/downloads.html (accessed on 24 December 2020).
  61. IEA. World CO2 Emissions from Fuel Combustion: Database Documentation; IEA: Paris, France, 2017; Available online: http://data.iea.org/ (accessed on 24 December 2020).
  62. WB. World Development Indicators in Databank of the World Bank; World Bank: Washington, DC, USA, 2018; Available online: http://databank.worldbank.org/data/source/world-development-indicators (accessed on 24 December 2020).
  63. De Freitas, L.C.; Kaneko, S. Decomposition of CO2 emissions change from energy consumption in Brazil: Challenges and policy implications. Energy Policy 2012, 39, 1495–1504. [Google Scholar] [CrossRef]
  64. Mousavi, B.; Lopez, N.S.A.; Biona, J.B.M.; Chiu, A.S.F.; Blesl, M. Driving forces of Iran’s CO2 emissions from energy consumption: An LMDI decomposition approach. Appl. Energy 2017, 206, 804–814. [Google Scholar] [CrossRef]
  65. Bayar, Y.; Gavriletea, M.D.; Sauer, S.; Paun, D. Impact of municipal waste recycling and renewable energy consumption on CO2 emissions across the European Union (EU) member countries. Sustainability 2021, 13, 656. [Google Scholar] [CrossRef]
  66. Mosharrof, M.; Uddin, M.K.; Jusop, S.; Sulaiman, M.F.; Shamsuzzaman, S.M.; Haque, A.N.A. Changes in acidic soil chemical properties and carbon dioxide emission due to biochar and lime treatments. Agriculture 2021, 11, 219. [Google Scholar] [CrossRef]
  67. Švajlenka, J.; Kozlovská, M. Analysis of the energy balance of constructions based on wood during their use in connection with CO2 emissions. Energies 2020, 13, 4843. [Google Scholar] [CrossRef]
  68. Švajlenka, J.; Kozlovská, M.; Pošiváková, T. Analysis of Selected Building Constructions Used In Industrial Construction In Terms Of Sustainability Benefits. Sustainability 2018, 10, 4394. [Google Scholar] [CrossRef]
  69. Švajlenka, J.; Kozlovská, M. Evaluation of the efficiency and sustainability of timber-based construction. J. Clean. Prod. 2020, 259, 120835. [Google Scholar] [CrossRef]
  70. Rahnama Mobarakeh, M.; Santos Silva, M.; Kienberger, T. Pulp and paper industry: Decarbonisation technology assessment to reach CO2 neutral emissions—An Austrian case study. Energies 2021, 14, 1161. [Google Scholar] [CrossRef]
Figure 1. The geographical locations of seven different regions (East Asia and the Pacific (EAP), Europe and Central Asia (ECA), Latin America and the Caribbean (LAC), Middle East and North Africa (MENA), North America (NA), South Asia (SA), and Sub-Saharan Africa (SSA)), divided from the world.
Figure 1. The geographical locations of seven different regions (East Asia and the Pacific (EAP), Europe and Central Asia (ECA), Latin America and the Caribbean (LAC), Middle East and North Africa (MENA), North America (NA), South Asia (SA), and Sub-Saharan Africa (SSA)), divided from the world.
Sustainability 13 03853 g001
Figure 2. Population, GDP, carbon emissions, energy use/consumption, energy intensity, and REC ratio: (a) populations of EAP, ECA, LAC, MENA, NA, SA, and SSA; (b) carbon emissions of EAP, ECA, LAC, MENA, NA, SA, and SSA; (c) total GDP, energy use, energy intensity, and REC ratio in total energy use; (d) REC ratios in the respective energy uses of HI, UM, LM, and LO. Source: the database of world development indicators (WDIs) from the World Bank.
Figure 2. Population, GDP, carbon emissions, energy use/consumption, energy intensity, and REC ratio: (a) populations of EAP, ECA, LAC, MENA, NA, SA, and SSA; (b) carbon emissions of EAP, ECA, LAC, MENA, NA, SA, and SSA; (c) total GDP, energy use, energy intensity, and REC ratio in total energy use; (d) REC ratios in the respective energy uses of HI, UM, LM, and LO. Source: the database of world development indicators (WDIs) from the World Bank.
Sustainability 13 03853 g002
Figure 3. Detailed decomposition results for seven different regions by their geographical locations. ( Δ C tot , Δ P , Δ G P , Δ E G , Δ E S , and C I denote total CO2 change and the effects of population, economic output, energy intensity, energy structure, and carbon coefficient, respectively). (a) EAP; (b) ECA; (c) LAC; (d) MENA; (e) NA; (f) SA; (g) SSA.
Figure 3. Detailed decomposition results for seven different regions by their geographical locations. ( Δ C tot , Δ P , Δ G P , Δ E G , Δ E S , and C I denote total CO2 change and the effects of population, economic output, energy intensity, energy structure, and carbon coefficient, respectively). (a) EAP; (b) ECA; (c) LAC; (d) MENA; (e) NA; (f) SA; (g) SSA.
Sustainability 13 03853 g003
Figure 4. Percentage change of CO2 emission growth and the contribution of the decomposed drivers’ effects on five different periods.
Figure 4. Percentage change of CO2 emission growth and the contribution of the decomposed drivers’ effects on five different periods.
Sustainability 13 03853 g004
Figure 5. Percentage change of CO2 emission growth and the contribution of the decomposed drivers’ effects from seven different regions by their geographical locations for five different periods. (a) EAP; (b) ECA; (c) LAC; (d) MENA; (e) NA; (f) SA; (g) SSA.
Figure 5. Percentage change of CO2 emission growth and the contribution of the decomposed drivers’ effects from seven different regions by their geographical locations for five different periods. (a) EAP; (b) ECA; (c) LAC; (d) MENA; (e) NA; (f) SA; (g) SSA.
Sustainability 13 03853 g005aSustainability 13 03853 g005b
Table 2. Main variables and their respective abbreviations and units.
Table 2. Main variables and their respective abbreviations and units.
AbbreviationsVariablesUnits
CCO2 emissions of the studied region in totaltonnes
CiCO2 emissions arising from i type energy consumption, such as coal, oil, gas, and other nonfossil or renewable energytonnes
EEnergy-use quantity of the studied region in totaltonnes oil equivalent
GDPGDP of the studied region dollar
PPopulation of the studied region in total/
CEintegrated carbon coefficient of energy-mix usetonnes per tonnes of oil equivalent energy use
EGenergy consumption per unit of GDPtonnes per dollar
GPGDP per persondollar per capita
EiEnergy consumption amount of i type energytonnes oil equivalent
C I sum of carbon coefficient effect of i type energy usetonnes per tonnes of oil equivalent energy use
E s structure factor of energy use%
Δ C tot total CO2 emissions’ change from period 0 to Ttonnes CO2
Δ C E integrated carbon coefficient effect of energy-mix use or REC effecttonnes CO2
Δ E G effect of energy consumption per unit of GDP (energy intensity)tonnes CO2
Δ G P effect of GDP per person (economic output)tonnes CO2
Δ P effect of population amount (increase)tonnes CO2
Δ C I effect of carbon coefficient tonnes CO2
Δ E S effect of energy structure optimization tonnes CO2
Note: “/” means null.
Table 3. Decomposition results of the growth of global CO2 emissions in the period 1971–2016.
Table 3. Decomposition results of the growth of global CO2 emissions in the period 1971–2016.
Model 1 Δ C t o t a Δ P b Δ G P b Δ E G b Δ C E b
Numerical values (Bt)18.3315.9515.89−11.50−2.02
Contributions (%)/87.0586.73−62.74−11.04
Model 2 Δ C t o t a Δ P b Δ G P b Δ E G b Δ E S b Δ C I b
Numerical values (Bt)18.3315.9515.89−11.50−0.77−1.25
Contributions (%)/87.0586.73−62.74−4.22−6.82
Note: a means the change in CO2 emissions; b means the decomposed driving factors; “—" indicates a negative (mitigation) effect on CO2 emissions.
Table 4. Contributions of the CO2 emission growth and decomposition results for seven different regions by their geographical locations in the period 1971–2016.
Table 4. Contributions of the CO2 emission growth and decomposition results for seven different regions by their geographical locations in the period 1971–2016.
RegionsVariables Δ C tot   a Δ P   b Δ G P   b Δ E G   b Δ E S   b Δ C I   b Δ C E  
EAPContributions (%)64.531.4318.670.4148.851.09−7.11−0.164.860.11−0.74−0.024.120.09
ECAContributions (%)−6.41−0.147.570.1728.310.63−32.16−0.71−4.40−0.10−5.73−0.13−10.13−0.23
LACContributions (%)7.120.164.380.103.620.08−1.22−0.030.470.01−0.120.000.350.01
MENAContributions (%)12.330.276.830.153.190.076.180.14−0.170.00−3.70−0.08−3.87−0.09
NAContributions (%)5.550.1212.250.2721.860.49−24.65−0.55−3.70−0.08−0.210.00−3.91−0.09
SAContributions (%)13.590.304.990.118.210.18−3.03−0.073.870.09−0.44−0.013.430.08
SSAContributions (%)3.290.073.150.070.390.01−0.30−0.010.120.00−0.070.000.050.00
Note: a means the change in CO2 emissions; b means the decomposed driving factors. Numbers in the top right corner mean the average annual changes or contributions.
Table 5. Total CO2 emission change and the effects of the decomposed drivers (Mt) on five different periods.
Table 5. Total CO2 emission change and the effects of the decomposed drivers (Mt) on five different periods.
Periods Δ C tot   a Δ P     b Δ G P     b Δ E G     b Δ E S   b Δ C I   b Δ C E
1971–19804364.111817.003773.20−526.41−54.19−645.48−699.67
1980–19902564.912311.204261.89−4685.89−409.611087.32677.71
1990–20001496.482265.324211.84−3575.34−37.39−1367.95−1405.34
2000–20108009.612451.046445.92−1417.48366.58163.55530.13
2010–20161891.621670.934839.67−3128.0693.44−1584.36−1490.92
Note: a means the change in CO2 emissions; b means the decomposed driving factors.
Table 6. The CO2 emission change and the effects of the decomposed drivers (Mt) from seven different regions by their geographical locations for five different periods.
Table 6. The CO2 emission change and the effects of the decomposed drivers (Mt) from seven different regions by their geographical locations for five different periods.
RegionsPeriods Δ C tot     a Δ P     b Δ G P     b Δ E G     b Δ E S     b Δ C I     b Δ C E
EAP1971–19801023.86426.73684.82−106.34111.45−92.7918.65
1980–19901533.85603.621374.18−538.0841.2952.8494.12
1990–20001851.81645.861353.35−346.52142.2056.92199.13
2000–20106011.41690.273339.65880.24504.36596.901101.25
2010–20161405.60538.422904.74−836.54125.89−1326.90−1201.01
ECA1971–19802089.63551.731783.13148.16−62.18−331.21−393.39
1980–199035.17563.431808.50−3257.64−271.801192.67920.87
1990–2000−3002.11184.711118.87−2278.21−345.57−1681.91−2027.48
2000–2010131.64202.121009.14−808.50−163.68−107.44−271.12
2010–2016−429.72165.63439.96−861.52−73.62−100.17−173.79
LAC1971–1980326.78141.08214.58−46.6752.47−34.6717.80
1980–1990133.45188.69−44.4733.89−35.89−8.77−44.66
1990–2000365.09191.20157.97−52.4256.6711.6768.34
2000–2010374.96191.26287.30−62.27−18.20−23.13−41.33
2010–2016104.91112.9574.10−168.8520.2066.5186.71
MENA1971–1980271.83122.69111.52190.10−2.62−149.86−152.49
1980–1990259.62237.09−127.95349.340.65−199.51−198.86
1990–2000593.47246.74178.9790.26−4.6382.1477.51
2000–2010795.80372.25391.19218.31−4.33−181.63−185.95
2010–2016339.67283.71215.17−154.7261.90−66.38−4.49
NA1971–1980440.00436.88940.08−704.66−217.93−14.37−232.30
1980–1990186.67490.321153.15−1282.23−298.89124.31−174.57
1990–20001066.08684.151147.11−865.79−17.29117.89100.60
2000–2010−302.70564.74546.14−1223.57−117.88−72.13−190.01
2010–2016−372.32256.84460.22−826.75−61.91−200.71−262.62
SA1971–198098.3761.7624.56−3.5936.31−20.6615.64
1980–1990350.17115.22154.63−50.50152.55−21.72130.82
1990–2000484.41187.26286.72−139.88151.09−0.79150.30
2000–2010797.47253.23699.91−284.83157.56−28.39129.17
2010–2016759.27181.56701.11−208.4224.3760.6585.03
SSA1971–1980113.6476.1414.50−3.4128.32−1.9126.41
1980–199065.99112.82−56.1659.342.49−52.50−50.01
1990–2000137.73125.38−31.1517.21−19.8646.1326.27
2000–2010201.03177.17172.60−136.858.75−20.63−11.88
2010–201684.20131.8344.37−71.24−3.39−17.36−20.75
Note: a means the change of CO2 emissions during the five different periods; b means the decomposed driving factors.
Table 7. The average annual percentage change of CO2 emissions and the contribution rates of drivers from seven different regions for the five different periods.
Table 7. The average annual percentage change of CO2 emissions and the contribution rates of drivers from seven different regions for the five different periods.
RegionsPeriods Δ C tot     a Δ P     b Δ G P     b Δ E G     b Δ E S     b Δ C I     b Δ C E
EAP1971–19800.620.260.42−0.060.07−0.060.01
1980–19900.840.330.75−0.290.020.030.05
1990–20001.010.350.74−0.190.080.030.11
2000–20103.280.381.820.480.280.330.60
2010–20161.280.492.64−0.760.11−1.21−1.09
ECA1971–19801.270.331.080.09−0.04−0.20−0.24
1980–19900.020.310.99−1.78−0.150.650.50
1990–2000−1.640.100.61−1.24−0.19−0.92−1.11
2000–20100.070.110.55−0.44−0.09−0.06−0.15
2010–2016−0.390.150.40−0.78−0.07−0.09−0.16
LAC1971–19800.200.090.13−0.030.03−0.020.01
1980–19900.070.10−0.020.02−0.020.00−0.02
1990–20000.200.100.09−0.030.030.010.04
2000–20100.200.100.16−0.03−0.01−0.01−0.02
2010–20160.100.100.07−0.150.020.060.08
MENA1971–19800.160.070.070.120.00−0.09−0.09
1980–19900.140.13−0.070.190.00−0.11−0.11
1990–20000.320.130.100.050.000.040.04
2000–20100.430.200.210.120.00−0.10−0.10
2010–20160.310.260.20−0.140.06−0.060.00
NA1971–19800.270.260.57−0.43−0.13−0.01−0.14
1980–19900.100.270.63−0.70−0.160.07−0.10
1990–20000.580.370.63−0.47−0.010.060.05
2000–2010−0.170.310.30−0.67−0.06−0.04−0.10
2010–2016−0.340.230.42−0.75−0.06−0.18−0.24
SA1971–19800.060.040.010.000.02−0.010.01
1980–19900.190.060.08−0.030.08−0.010.07
1990–20000.260.100.16−0.080.080.000.08
2000–20100.440.140.38−0.160.09−0.020.07
2010–20160.690.170.64−0.190.020.060.08
SSA1971–19800.070.050.010.000.020.000.02
1980–19900.040.06−0.030.030.00−0.03−0.03
1990–20000.080.07−0.020.01−0.010.030.01
2000–20100.110.100.09−0.070.00−0.01−0.01
2010–20160.080.120.04−0.060.00−0.02−0.02
Note: a means the change of CO2 emissions; b means the decomposed driving factors.
Publisher’s Note: MDPI stays neutral with regard to jurisdictional claims in published maps and institutional affiliations.

Share and Cite

MDPI and ACS Style

Jia, J.; Lei, J.; Chen, C.; Song, X.; Zhong, Y. Contribution of Renewable Energy Consumption to CO2 Emission Mitigation: A Comparative Analysis from a Global Geographic Perspective. Sustainability 2021, 13, 3853. https://doi.org/10.3390/su13073853

AMA Style

Jia J, Lei J, Chen C, Song X, Zhong Y. Contribution of Renewable Energy Consumption to CO2 Emission Mitigation: A Comparative Analysis from a Global Geographic Perspective. Sustainability. 2021; 13(7):3853. https://doi.org/10.3390/su13073853

Chicago/Turabian Style

Jia, Junsong, Jing Lei, Chundi Chen, Xu Song, and Yexi Zhong. 2021. "Contribution of Renewable Energy Consumption to CO2 Emission Mitigation: A Comparative Analysis from a Global Geographic Perspective" Sustainability 13, no. 7: 3853. https://doi.org/10.3390/su13073853

APA Style

Jia, J., Lei, J., Chen, C., Song, X., & Zhong, Y. (2021). Contribution of Renewable Energy Consumption to CO2 Emission Mitigation: A Comparative Analysis from a Global Geographic Perspective. Sustainability, 13(7), 3853. https://doi.org/10.3390/su13073853

Note that from the first issue of 2016, this journal uses article numbers instead of page numbers. See further details here.

Article Metrics

Back to TopTop