Abstract
The present study investigates the effects of oxalic acid and 1-methylcyclopropane (1-MCP) treatments in combination with low-density polyethylene (LDPE) and high-density polyethylene (HDPE) on the post-harvest storage of litchi fruits. The physicochemical properties, bioactive compounds, antioxidant activities, and dismutase enzyme activity (SOD) of treated and untreated litchi fruits were examined during 30 days of storage at 4 ℃. The most effective combination was 1-MCP and HDPE packaging, which lowered the weight loss and preserved the red pericarp. Fruits treated with 1-MCP and HDPE also exhibited higher content of ascorbic acid (74.73–34.95 mg/100 g), total phenol (55.70–28.83 mg/100 g), and total flavonoid content (82.46–48.54 mg/100 g), whereas anthocyanin content (0.24–0.39 mg/100 g) was lowered during the entire storage period. In addition, higher levels of DPPH activity, reducing power, and SOD activity were observed in 1-MCP and HDPE-treated fruits. While antioxidants, SOD activities, and acidity were positively associated with total phenol and flavonoid content, these were negatively associated with anthocyanin content. Thus, the combined treatment of 1-MCP and HDPE are proposed as a sustainable strategy to preserve red pericarp, improve quality, and increase fruit shelf life of litchi.
1. Introduction
Litchi (Litchi chinensis Sonn.) is an important subtropical and non-climacteric fruit that belongs to the Sapindaceae family. It is primarily grown in Bangladesh, Vietnam, Thailand, Taiwan, India, Pakistan, China, and many parts of South-East Asia [1]. Litchi is one of the most popular fruits globally due to its bright red color, delicious white flesh, attractive fragrance, antioxidants, and nutritional qualities. In recent years, litchi phenolic compounds (including anthocyanin, flavonoid, tannin, and others) have various beneficial health benefits such as antimicrobial, anti-inflammatory, and cancer prevention [1,2,3]. The post-harvest loss of litchi is estimated to range from 20% up to 50% due to its high degradability and poor post-harvest practices. Pericarp browning, aril decline, and dehydration are the main reasons for the loss of litchi fruit. The loss of fruit quality pertains to degradation of red color, oxidation of the phenolic compounds by peroxidase (POD) and polyphenol oxidase (PPO), membrane lipid peroxidation, and production of reactive oxygen species (ROS) [1]. Several studies have attempted to minimize litchi loss following harvest. To this end, sulfur dioxide fumigation (SO2) is used to inhibit oxidative reactions and in turn delay litchi’s red color loss [2]. However, sulfur residues left in aril can pose an allergic problem for people. Owing to public concerns about food safety, alternative color retention methods have been adopted. Oxalic acid is a metabolic product that possesses several functional benefits including anti-browning effect. Furthermore, studies have shown that oxalic acid is the most effective anti-browning compound for litchi pericarp [3]. It has been reported that oxalic acid improves the shelf life of litchi fruit by reducing anthocyanin degradation, phenolic compound oxidation, and restriction of peroxidative activity [3]. The shelf life of litchi is improved by inhibition of high respiration and ethylene production at the post-harvest stage. 1–methylchyclopropane (1-MCP) is an anti-ethylene substance that monitors and blocks the ethylene receptors [4]. Studies have shown that 1-MCP pretreatment can lower polyphenol oxidase and peroxidase while retaining anthocyanin content and color of litchi fruits under modified and controlled atmosphere storage conditions [5]. In addition, 1-MCP can delay maturing processes and fruit ripening [6]. Packaging is another commonly used technique for the shelf-life extension of fruits. More importantly, packaging is utilized to delay the physiological and biochemical changes that cause nutritional and organoleptic quality deterioration of litchi fruits. Several authors have examined the impact of packaging on various fruits’ nutritional quality during storage [7,8]. However, the nutritional quality of litchi in high-density polyethylene (HDPE) and low-density polyethylene (LDPE) in combination with oxalic acid and 1-MCP has not been reported. More recently, research focus has shifted towards alternative preservation approaches that not only retain nutritional quality but also are safe, environmentally friendly, and sustainable. Consequently, the study was intended to examine the effects of oxalic acid and 1-methylchyclopropane (1-MCP) along with LDPE and HDPE on the physicochemical properties, bioactive compounds, antioxidants, and enzyme activities of litchi fruits during storage at 4 ± 1 °C.
2. Materials and Methods
2.1. Collection of Litchi Fruits
Fully ripened litchi fruits cultivar “China-3” was collected from a local orchard in Dinajpur City, Bangladesh. Harvesting time was June to July. Temperature varies from 26 to 33 °C, relative humidity varies between 82% and 83%, and rainfall ranges from 264.99 to 456.7 mm during the flowering and fruiting seasons. Fruits of uniform size, shape, and color without visible defect and disease were selected.
2.2. Fruit Treatments and Storage
The fruits first were immersed in cold water for three hours at 1–2 °C until the core pulp temperature was lower than 6 °C, followed by random splitting of the fruits into two groups. One fruit group was dipped for 30 s in a 5% oxalic acid solution that allows air to dry for about two minutes. In a polyethylene container, another group of fruits were taken. Then, a beaker containing 1-methylcyclopropane (1-MCP) solution was placed into the polyethylene container and sealed. The treatment was carried out for 4 h. For the preparation of 1-methylchyclopropane (1-MCP) solution, 2 g of the 1-MCP powder was mixed with 3 mL. Following treatments, four treated fruits were taken and screened into HDPE and LDPE packs and stored in a refrigerator for 30 days at 4–6 °C with 85% relative humidity. The untreated sample was used as a control. At 10 days, fruits were removed from the refrigerator and various quality characteristics were assessed.
2.3. Analysis of Physicochemical Properties
2.3.1. Determination of Weight Loss
The loss of weight was calculated with the following equation and expressed in terms of percentage.
2.3.2. Determination of Pericarp Color, pH, and Titratable Acidity
Chroma Meter (CR-2000 Japan) was used for measurement of pericarp color with L*, b*, and a* values. The digital pH meter (HI 2211 pH/ORP, China) was used for pH measurement. Titratable acidity against 0.1 N sodium hydroxide was determined by the Ranganna (1997) [9] method.
2.3.3. Determination of Total Sugar Contents
The Dubois et al. (1956) [10] method was used to determine the total sugar in treated and untreated fruits.
2.3.4. Determination of Vitamin C (Ascorbic Acid) Content
According to the method of Ranganna (1997) [10], the ascorbic acid content was determined. Pulp tissues (1 g) were mixed with 50 mL of meta-phosphoric acid (3% w/v) solution by using a pestle and mortar, and permitted to stand for 20 min. The mixture was then filtered through a filter paper of Whatman No: 41. Next, 1 mL of filtrate and 10 mL of 2,6-dichlorofenol dye solution was added to a falcon tube and vortex. The absorption was measured with a spectrophotometer (UV 1800 Shaanxi, China) at 518 nm and the results were shown as mg/100 g.
2.3.5. Evaluation of Total Anthocyanin Content
The overall content of anthocyanin was based on the Ranganna (1997) [9] method. One-gram pulp was mixed with 10 mL of HCl ethanol and then stood in the dark place for 30 min. The extract was filtered by a filter paper Whatman No: 41 and centrifuged for 20 min with 4000× g. The absorption was then measured with a spectrophotometer (UV 1800 Shaanxi, China) at 530 nm against the blank and the result was expressed as mg/100 g of pulp tissue. For determining the total content of anthocyanin, the following equation was used.
2.3.6. Assessment of Total Phenol Content
The total phenol content was measured according to the Singleton and Rossi (1965) [11] method. Pulp tissues (1 g) and 10 mL methanol were homogenized with the use of a mortar and pestle and filtered via a filtering paper of Whatman No: 41. One mL of homogenate sample was then taken in a falcon tube, 0.5 mL of Folin–Ciocalteu reagent was added afterwards, along with 1 mL of 7.5% saturated Na2CO3 and 8 mL of distilled water added to the tube and vortex. The tube was allowed for 35 min at room temperature in a dark place followed by centrifugation at 4000× g for 10 min. Standard concentration (0 to 0.213 mg/mL) was used to establish the calibration curve. Absorption was recorded at 765 nm against a blank using a spectrophotometer (UV 1800 Shaanxi, China). The results were expressed in mg of gallic acid equivalent to 100 g of pulp tissue.
2.3.7. Estimation of Flavonoid Content
In order to establish total flavonoid contents in control and processed fruits, the Kim et al. (2003) [12] method was used. A mortar and pestle were used to mix fruit pulp (1 g) with 10 mL of methanol, followed by a filtering through Whatman Filter paper No: 41. Then, 1 mL of filtrate and 4 mL of distilled water were mixed in a falcon tube, with 5% NaNO2 for 5 min at room temperature. After that, 0.3 mL of 10% AlCl3 solution was added and stood for 1 min. Then, it was thoroughly mixed with 2 mL of 1M NaOH and 2.4 mL of distilled water. The mixture was centrifuged at 4000× g for 5 min and kept for 15 min in the dark. Different concentrations (0 to 0.49 mg/mL) were used to prepare the standard curve. The absorption was measured with a spectrophotometer at 510 nm against a blank (UV 1800 Shaanxi, China) with results of mg catechin/100 g.
2.3.8. Antioxidant Activity Measured by DPPH Scavenging
The approaches used to test DPPH scavenging were Madhujith and Shahidi (2006) [13]. Tissues of pulp (1 g) were extracted using a mortar and pestle with 10 mL methanol, and were filtered through a filter paper of Whatman No: 41. Afterwards, 0.1 mL of extract was taken in a falcon tube and 1.9 mL of 0.3 mM DPPH solution was added. Then, the mixture was stood for 30 min in a dark position. Trolox was used as a positive control. At each concentration (0 to 1 μmol/g), different solutions were used to generate the standard curve. The absorption was measured with a spectrophotometer (UV 1800 Shaanxi, China) at 517 nm against the blank and the findings were shown with µmol Trolox equivalent (TE)/g.
2.3.9. Antioxidant Activity Measured by Reducing Power
The method of Oyaizu (1986) [14] was used to evaluate the reducing power in the control and treated fruit. Pulp tissue (1 g) was homogenized using a pestle and a mortar with 10 mL of methanol and was filtrated through a filter paper of Whatman No: 41. The homogenate was then combined in a test tube with 2.5 mL (0.2 m, pH 6.6) phosphate buffer solution containing 2.5 mL of ferric-cyanide potassium (1% w/v). The blend was subsequently incubated at 50 °C for 20 min. After incubation, 2.5 mL of 10% trichloroacetic acid (TCA) was added to the blend and centrifuged for 10 min at 1750 g. Trolox was used as a positive control. The standard curve was generated using different concentrations (0 to 11 μmol/g). The absorbance was recorded at 700 nm against a blank with a spectrophotometer (UV 1800 Shaanxi, China) and expressed as µmol Trolox equivalent (TE)/g.
2.3.10. Measurement of Superoxide Dismutase (SOD) Enzyme Assay
Superoxide dismutase (SOD) activity was evaluated according to the Kumar et al. (2012) [15] method by calculating the inhibition of photo reduction of nitro blue tetrazolium chloride (NBT). Pulp tissue (1 g) was mixed with 10 mL sodium phosphate buffer pH (6.8) containing 2% polyviny-pyrolidone (w/v) and filtered using Whatman No: 41. The filtrate was then centrifuged for 20 min at 4000× g. Following this, 0.10 mM EDTA, 50 mM Sodium Carbonate, 12 mM L-Methionine, 50 mM Nitroblue Tetrazolium Chloride, (NBT), and 10 μM Riboflavin was used in a tube with 50 mM sodium phosphate buffer pH (7.6) to create a reaction mix of 3 mL. A spectrophotometer (UV 1800 Shaanxi, China) was recorded at 560 nm and a SOD reaction was conducted at the ambient temperature for 15 min. The number of enzymes that cause photochemical inhibition of the nitroblue tetrazolium chloride (NBT) by up to 50% was specified as a unit (U) of the SOD action. The following equation was used to inhibit the nitroblue tetrazolium chloride:
2.3.11. Statistical Analysis
The experiment was performed three times for each sample. The data were analyzed using SPSS software (ANOVA) (version 22.0). The Duncan test was used to compare one way ANOVA with p ≤ 0.05 significant level for each variable among treatment, packaging materials, and storage time.
3. Results and Discussions
3.1. Effects of Treatment on the Physicochemical Properties
Different physicochemical properties, including weight loss, pH, and titratable acidity, along with total sugar of litchi fruits treated with oxalic acid and 1-MCP in LDPE and HDPE, are presented in Figure 1. The untreated (control) samples were fresh up to 6 days during the whole storage period.

Figure 1.
Physicochemical properties of litchi fruits treated with 1-methylcyclopropane (1-MCP) and oxalic acid in high-density polyethylene (HDPE) and low-density polyethylene (LDPE) during storage. (a) Weight loss, (b) pH value, (c) titratable acidity, (d) total sugar content. 1-MCP = 1-methylcyclopropane; HDPE = high-density polyethylene; LDPE = low-density polyethylene. Different uppercase letters (A–D) indicate significant (p ≤ 0.05) differences among treatments. Different lowercase letters (a–j) indicate significant (p ≤ 0.05) differences among storage periods.
Lower weight loss was observed with fruits treated with 1-MCP in HDPE (1.13%) and 1-MCP in LDPE (5.5%) than with those treated with oxalic acid in LDPE (6.93%) and oxalic acid in HDPE (1.63%) throughout storage period (Figure 1a). Sakhale et al. (2018) [16] also reported a reduction in weight loss when mangoes were treated with 1-MCP treatment. Furthermore, Borkar et al. (2008) [17] found minimum weight loss in Guava samples with ethylene-absorbent unperforated HDPE. The decreased weight loss in samples was attributed to the drop in respiration. According to Poudel et al. (2016), they mentioned that weight loss was correlated with litchi browning [18]. It has been reported that increasing weight loss is related to factors, such as CO2 composition around the fruits, relative humidity, respiratory, and oxidation processes [18,19].
Fruits treated with 1-MCP in HDPE were lower in pH (5.05) than those fruits treated with oxalic acid in LDPE (5.25), oxalic acid in HDPE (5.13), and 1-MCP in LDPE (5.25) at 30 days of storage (Figure 1b). Sisler and Serek (1997) [6] also suggested that the lower pH level was caused by the delayed ripening of 1-MCP and the development of acidic compounds through the degradation of reducing sugar. In this study, the increase in pH was related to lowered titratable acidity of litchi fruits. The decreased conversion of organic acid by respiration could have led to lowered titratable acidity thereby increasing the pH value.
During the storage period, 1-MCP and HDPE treatment showed greater titratable acidity (0.38–0.28%) in comparison to fruit treated with oxalic acid in HDPE (0.30–0.21%), in LDPE (0.35–0.22%), and 1-MCP in LDPE (0.31–0.23%) (Figure 1c). Liu et al. (2013) [20] obtained similar results for ‘Laiyang’ pear. The use of 1-MCP delayed the ripening process by blocking the ethylene receptors that resulted in high titratable acidity being maintained during the storage period [6]. There was a high value of titratable acidity found in guava fruits packed in 250-gauge non-perforated HDPE bags [17]. A decline in titratable acidity could be the result of the use of different organic acids during respiration or conversion to sugars.
Each treated fruit’s total sugar content increased at ten days then decreased progressively except for 1-MCP and oxalic acid treated in HDPE at 30 days (Figure 1d). Higher total sugar contents were found in fruits treated with oxalic acid (55.53 mg/100 g) and 1-MCP (49.07 mg/100 g) in HDPE-treated fruits, than those fruits treated with 1-MCP (35.06 mg/100 g) and oxalic acid (42.01 mg/100 g) in LDPE at 30 days. Hailu et al. (2012) [21] have reported that the total sugar content of guava fruits was higher in HDPE than LDPE. The increase in total sugar is because of the conversion of complex starch to simple sucrose and the conversion of polysaccharides to soluble solids [22]. The overall sugar levels can be decreased by 1-MCP owing to delayed maturation. Total sugar content decreased may be due to the breakdown of sugar during the respiration phase [23].
3.2. Effects of Treatment on the Color Values
The L* (lightness) values of all treated fruits decreased throughout the storage period. On the other hand, a* and b* values increased at 20 days followed by a decline in the rest of the days (Figure 2). 1-MCP-treated fruits had higher L*, a*, and b * values than those of other treatments throughout storage period. These results are in agreement with a previous study, wherein pericarp color values of litchi were retained [5]. HDPE-treated fruits tended to display higher L* values relative to LDPE-treated fruits, although all values were not significantly different at 30 days of storage. Rao and Shivashankara (2015) [24] also reported that the plastic bag (HDPE) due to the combined effect of increased humidity and altered atmospheric composition can delay color change in broccoli. In this study, the decreased L* values suggested the reduced lightness of the litchi pericarp surface color, which may be linked to pericarp browning. The oxidation of pericarp phenolic compound by polyphenol peroxidase (PPO) and peroxidase (POD) could have led to litchi pericarp browning [25]. Moreover, the reduction in a* (redness) and b* (yellowness) values could be due to the degradation of the pericarp anthocyanin content [25]. Based on visual appearance, 1-MCP in HDPE-treated fruits maintained better pericarp color than other treatments (Appendix A Scheme A1).

Figure 2.
Changes of pericarp color value of litchi fruits treated with 1-MCP and oxalic acid in HDPE and LDPE during storage. (a) L*, (b) a*, and (c) b* 1-MCP=1-methylcyclopropane; HDPE=High Density Polyethylene; LDPE=Low Density Polyethylene. Different uppercase letters (A–D) indicate significant (p ≤ 0.05) differences among treatments. Different lowercase letters (a–h) indicate significant (p ≤ 0.05) differences among storage periods.
3.3. Effects of Treatment on the Content of Vitamin C, Anthocyanins, Phenol, and Flavonoids
The higher levels of vitamin C (ascorbic acid) were found in fruits treated with HDPE (74.73–34.95 mg/100 g) rather than in 1-MCP in LDPE treatments (62.37–32.26 mg/100 g), oxalic acid in HDPE treatments (55.91–22.58 mg/100 g), and oxalic acid in LDPE treatments (45.70–20.43 mg/100 g) (Figure 3a). Liu et al. (2015) [26] have reported that the use of 1-MCP on peach lowers the gene expression of ascorbate peroxidase (main oxidative enzyme) precursor synthesis, thereby maintaining the high levels of vitamin C content. In another study, Sivakumer et al. (2012) [12] also found higher levels of vitamin C content in 1-MCP-treated mango fruits. Arthey and Philip (2005) [27] reported that HDPE containers retained higher vitamin C levels in apricot. The higher levels of vitamin C content retained during storage is due to the prevention of oxidative deterioration of vitamin C [28]. It is known that vitamin C content is influenced by temperature, light, heat, and pH [28]. The storage temperature also influences phenolics, anthocyanins, and vitamin C as reported by Kalt et al. (1999) [29].

Figure 3.
Changes of bioactive properties treated with 1-MCP and oxalic acid in HDPE and LDPE during storage. (a) Vitamin C, (b) total anthocyanin content, (c) total phenolic content, (d) total flavonoid content. 1-MCP = 1-methylcyclopropane; HDPE = high-density polyethylene; LDPE = low-density polyethylene. Different uppercase letters (A–D) indicate significant (p ≤ 0.05) differences among treatments. Different lowercase letters (a–j) indicate significant (p ≤ 0.05) differences among storage periods.
In this study, the total anthocyanin contents of treated fruits increased up to 20 days, followed by a reduction in the rest of the storage period (Figure 3b). The fruits treated with oxalic acid had a higher content of anthocyanin than other samples during the time of storage. Variation in the total anthocyanin content was observed for fruits treated with 1-MCP in HDPE (0.24–0.39 mg/100 g), 1-MCP in LDPE (0.30–0.43 mg/100 g), oxalic acid in HDPE (0.32–0.49 mg/100 g), and oxalic acid in LDPE (0.42–0.52 mg/100 g) during the storage period. The increased total anthocyanin content in the samples may be due to the transfer of pericarp anthocyanin to the litchi flesh surface. The decrease in the overall anthocyanin content could be due to the degradation of the anthocyanin by polyphenol oxidase (PPO) enzyme [30].
The overall phenol content of all processed fruits steadily decreased with increasing storage time. However, fruits treated with 1-MCP in HDPE maintained substantially higher total phenol content (97.79–55.70 mg/100 g) as a contrast to 1-MCP in LDPE (97.79–31.74 mg/100 g), oxalic acid in HDPE (97.79–32.21 mg/100 g), and LDPE (97.79–28.83 mg/100 g) at 30 days (Figure 3c). These results were higher than peach fruit treated with oxalic acid reported by Razavi et al. (2017) [31]. Hoang et al. (2011) [32] also reported that 1-MCP treatment maintained higher phenolic compounds in the flesh of apples. A similar result was also obtained by Cao et al. (2011) [33] in loquat fruit. The use of HDPE prevented the exchange of gases that could cause oxidation, thereby resulting in higher phenolic compounds. Studies have shown that the decrease in total phenol content could be due to the presence of oxygen, light and temperature [34]. A high oxidation rate of total phenol by PPO could have contributed to the reduction of total phenol [35]. Catro-Barquero et al. (2018) [36] have shown that the increase in polyphenols could be due to reactions between oxidized polyphenols and the development of a new antioxidant compound.
The total flavonoid content of all fruits decreased significantly (p ≤ 0.05) with increasing storage periods. Higher total flavonoid content was observed in fruits treated with 1-MCP in HDPE (82.46–48.54 mg/100 g), while fruits treated with oxalic acid in LDPE (54.91–7.60 mg/100 g) showed minimum total flavonoid content at the end of storage period (Figure 3d). Our values were much greater than plum fruit treated with oxalic acid observed by Martínez-Esplá et al. (2019) [37]. Fawbush et al. (2009) [38] reported that during storage time, 1-MCP-treated apples had higher flavonoid levels. The preservation of total flavonoid contents in loquat fruits by 1-MCP was also observed in a study by Maclean et al. (2006) [39]. Kim et al. (2003) [12] showed that activation of flavonoid biosynthetic pathways could lead to an increase in flavonoid levels. The decrease in flavonoid levels is associated with the defense materials such as hesperidin, naringin, and flavones being gradually destroyed. Moreover, increased cell integration and cellular PPO/PDO activity could lead to a reduction of litchi fruit flavonoid content during the storage period [40].
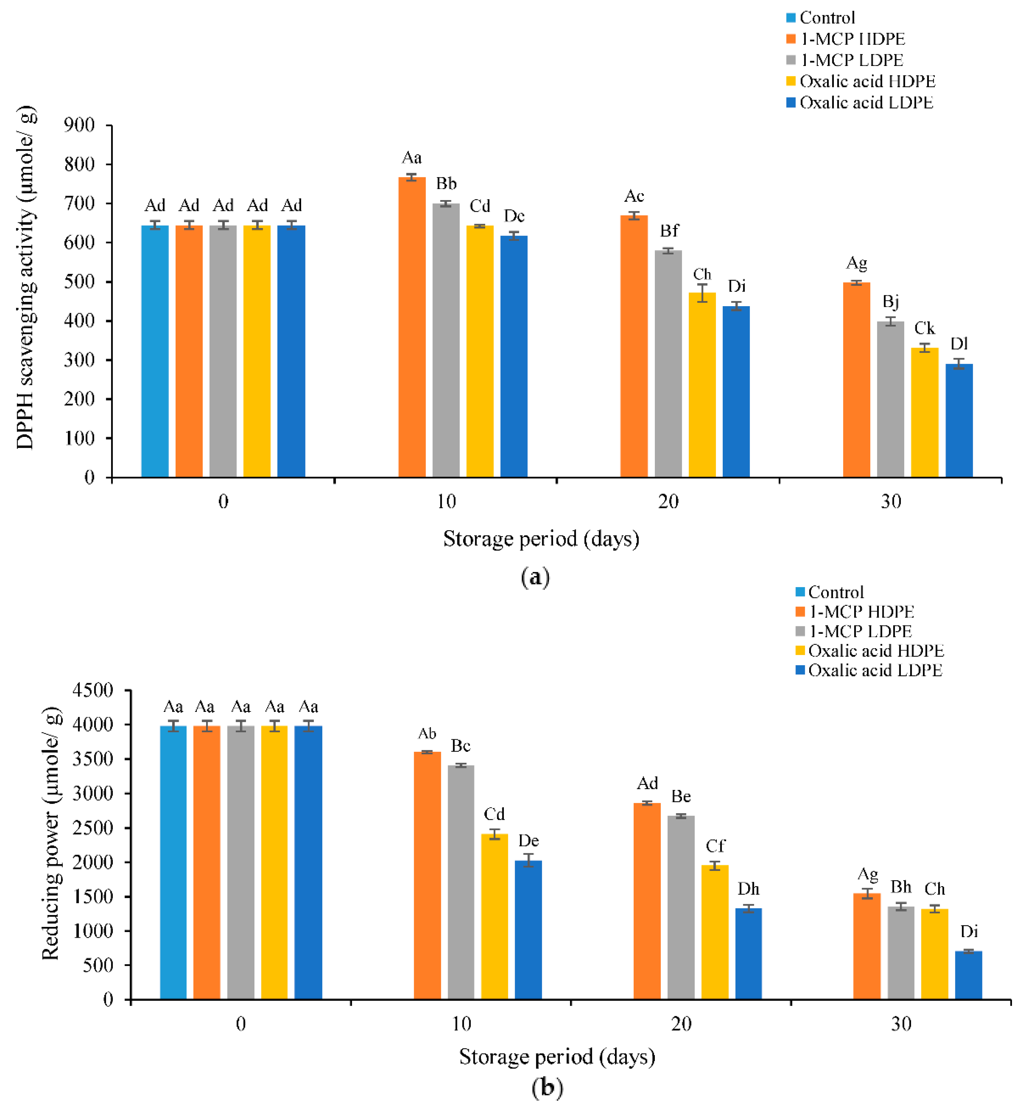
3.4. Effects of Treatments on DPPH Scavenging Activity
Fruits treated with 1-MCP in HDPE had maximal DPPH scavenging activity (497.701–766.667 μmol/g) compared with fruits treated with 1-MCP in LDPE (398.851–700 μmol/g), oxalic acid in HDPE (331.034–642.529 μmol/g), and oxalic acid in LDPE (290.804–617.24 μmol/g) over the entire storage process (Figure 4a). Hasan and Mahfouz (2012) [41] have reported higher DPPH scavenging activity for 1-MCP treatment of coriander leaves. Kolniak et al. (2014) [42] reported a reduction in the loss of DPPH activity in apples by 1-MCP during storage. Ramli and Ahmed (2017) [43] also observed higher antioxidant (DPPH) activity in curry leaves packaged in HDPE. In this study, the suppression of anthocyanin, phenolic, and ascorbic oxidation could have increased the DPPH antioxidant activity. The DPPH radical scavenging activity may be related to total phenolic content [44]. In the case of HDPE, fruits treated with 1-MCP had considerably (p ≤ 0.05) higher reducing power (1544.444 μmol/g) than oxalic acid in LDPE (705.556 μmol/g), 1-MCP in LDPE (1355.556 μmol/g), and oxalic acid in HDPE (1322.222 μmol/g) at 30 days (Figure 4b). Chang et al. (2002) [45] reported that antioxidant activity is correlated with reducing power. Cao et al. (2011) [33] have also confirmed that 1-MCP fruit treatment prevents the decrease in reducing power, thereby retaining higher reducing power values. Several bioactive compounds (ascorbic acid, anthocyanins, phenol, and flavonoid content) could have contributed to this study’s higher reducing power reduction. However, the loss of reducing power is related to the oxidation of polyphenolic compounds, complex formation with other food components, or transformation from active polyphenols to inactive compounds [46].
Figure 4.
Changes of (a) DPPH scavenging activity, and (b) reducing power of litchi fruits treated with 1-MCP and oxalic acid in HDPE and LDPE during storage. 1-MCP = 1-methylcyclopropane; HDPE = high-density polyethylene; LDPE = low-density polyethylene. Different uppercase letters (A–D) indicate significant (p ≤ 0.05) differences among treatments. Different lowercase letters (a–l) indicate significant (p ≤ 0.05) differences among storage periods.
3.5. Effects of Treatments on Superoxide Dismutase (SOD) Activity
Superoxide dismutase (SOD) activity of all treated fruits dramatically increased at 10 days, followed by a gradual decrease during the rest of the storage period. Fruits treated with 1-MCP in HDPE retained higher superoxide dismutase (SOD) activity (39.08–21.23 units/g) compared to oxalic acid in HDPE (35.50–10.16 units/g), oxalic acid in LDPE (36.7–8.17 units/g), and 1-MCP in LDPE (36.64–9.68 units/g) up to 30 days (Figure 5). Results indicate that 1-MCP treatment may induce and enhance SOD activities. Yun et al. (2021) [47] found that hot water treatment significantly reduced SOD activity of litchi fruit. Massolo et al. (2011) have found similar findings in eggplants [48]. Duan et al. (2011) [49] indicated that superoxide dismutase (SOD) is a detoxifying enzyme that could also lead to delayed senescence in the scavenging of superoxide dismutase (SOD) enzymes. Higher superoxide dismutase (SOD) enzymes can reduce lipid peroxidation and electrolyte leakage [3,50].
Figure 5.
Changes of superoxide dismutase (SOD) activity of litchi fruits treated with 1-MCP and oxalic acid in HDPE and LDPE during storage. 1-MCP = 1-methylcyclopropane; HDPE = high-density polyethylene; LDPE = low-density polyethylene. Different uppercase letters (A–D) indicate significant (p ≤ 0.05) differences among treatments. Different lowercase letters (a–f) indicate significant (p ≤ 0.05) differences among storage periods.
3.6. Correlation among Acidity, Bioactive Compounds, Antioxidant, and Enzyme Activity
In this study, Pearson’s correlation was applied in order to establish correlation among antioxidant properties, antioxidant activity, enzyme assay, and acidity (Table 1). Total phenol strongly correlated with flavonoid (r = 0.936), vitamin C (r = 0.751) antioxidant activity (r = 0.935 for reducing power and r = 0.828 for DPPH), enzyme assay (r = 0.714), and acidity (r = 0.822) and negatively correlated with anthocyanin content (r = −0.894) (Table 1). According to the correlation analysis, total flavonoid was positively related with reducing power (r = 0.945), DPPH (r = 0.850), acidity (r = 0.829), and vitamin C (r = 0.803) while anthocyanin was negatively correlated with reducing powder (r = −0.903), DPPH (r = −0.817), acidity (r = −0.803), and vitamin C (r = −0.802). Moreover, reducing powder and DPPH exhibited strong correlation with acidity (r = 0.829 and r = 0.856, respectively), vitamin C (r = 0.865 and r = 0.975, respectively). In addition, acidity and vitamin C were significantly linked with enzyme activity (r = 0.790 and r = 0.832, respectively). Several researchers have already reported a correlation between antioxidant properties and antioxidant activity [51,52].
Table 1.
Pearson’s correlation among bioactive compounds, antioxidants, and enzyme activity of litchi fruit during storage.
4. Conclusions
During the storage period, litchi fruits treated with 1-MCP in HDPE had lower weight loss, anthocyanin content while retaining higher red pericarp, titratable acidity, and vitamin C content than other treatments. Moreover, antioxidant enzyme (superoxide dismutase) and non-enzyme antioxidant capacities (phenolic, flavonoids, DPPH scavenging activity, and reducing power) were more active in fruits treated with 1-MCP in HDPE than other treatments. Our findings therefore indicated that the application of 1-MCP along with HDPE could be favorable for improving the post-harvest quality and the shelf-life of litchi fruits.
Author Contributions
Conceptualization, methodology, data curation, original draft preparation, M.S.H., R.H. and R.I.C., software, validation, formal analysis, original draft preparation, review, and editing K.R., K.A.K. and S.A. investigation, resources, and review, M.A.A. and M.T.I. visualization, supervision, original draft preparation, review, and editing M.A. All authors have read and agreed to the published version of the manuscript.
Funding
This research received funding from University Grant Commission (UGC), Bangladesh, Project no: 37.01.0000.073.04.039. Year 2019–2020, Government of the People’s Republic of Bangladesh.
Institutional Review Board Statement
Not applicable.
Informed Consent Statement
Not applicable.
Data Availability Statement
Data are available in this article.
Conflicts of Interest
The authors declare no conflict of interest.
Appendix A

Scheme A1.
Appearance of fresh and treated litchi fruits during storage. (a) Appearance of fresh litchi fruits (without treatment) at initial day. (b) Appearance of treated litchi fruits at 10 days. (c) Appearance of treated litchi fruits at 20 days. (d) Appearance of treated litchi fruits at 30 days.
Scheme A1.
Appearance of fresh and treated litchi fruits during storage. (a) Appearance of fresh litchi fruits (without treatment) at initial day. (b) Appearance of treated litchi fruits at 10 days. (c) Appearance of treated litchi fruits at 20 days. (d) Appearance of treated litchi fruits at 30 days.


References
- Neog, M.; Saikia, L. Control of postharvest pericarp browning of litchi (Litchi chinensis Sonn). J. Food Sci. Technol. 2010, 47, 100–104. [Google Scholar] [CrossRef]
- Ramma, I. Postharvest Sulphur Dioxide Fumigation and Low Acid Dip for Pericarp Colour Retention and Decay Prevention on Litchi. In Report of the Food and Agricultural Research Council; AMAS: Reduit, Mauritius, 2003; pp. 41–48. [Google Scholar]
- Zheng, X.; Tian, S. Effect of oxalic acid on control of postharvest browning of litchi fruit. Food Chem. 2006, 96, 519–523. [Google Scholar] [CrossRef]
- Candan, A.P.; Graell, J.; Crisosto, C.; Larrigaudiere, C. Improvement of storability and shelf-life of ‘Blackamber’ plums treated with 1-methylcyclopropene. Food Sci. Technol. Int. 2006, 15, 437–444. [Google Scholar] [CrossRef]
- De Reuck, K.; Sivakumar, D.; Korsten, L. Integrated application of 1-methylcyclopropene and modified atmosphere packaging to improve quality retention of litchi cultivars during storage. Postharharvest Biol. Technol. 2009, 52, 71–77. [Google Scholar] [CrossRef]
- Sisler, E.C.; Serek, M. Inhibitors of ethylene responses in plant at the receptor level: Recent development. Physiol. Plantar. 1997, 100, 577–582. [Google Scholar] [CrossRef]
- Yadav, S.; Kumar, A.; Saini, R.S. Biochemical and organoleptic quality changes during storage of ber fruit transported with different packaging materials. Haryana J. Hortic. Sci. 2005, 34, 25–28. [Google Scholar]
- Kudachikar, V.B.; Kulkarni, S.G.; Vasantha, M.S.; Prasad, B.A. Effect of modified atmosphere packaging on shelf- life and fruit quality of banana stored at low temperature. J. Food Sci. Technol. 2007, 44, 74–78. [Google Scholar]
- Ranganna, S. Plant Pigments in Manual Analysis of Fruit and Vegetable Products; Ranganna, S., Ed.; TaTa McGraw-Hill Publishing Co., Ltd.: New Delhi, India, 1997; pp. 72–93. [Google Scholar]
- Dubois, M.; Gilles, K.A.; Hamilton, J.K.; Rebers, P.T.; Smith, F. Colorimetric method for determination of sugars and related substances. Anaytical Chem. 1956, 28, 350–356. [Google Scholar] [CrossRef]
- Singleton, V.L.; Rossi, J.A. Calorimetry of total phenolic with phosphomolybdic phosphotungstic acid reagents. Am. J. Enol. Vitic. 1965, 16, 144–158. [Google Scholar]
- Kim, D.O.; Jeong, S.W.; Lee, C.Y. Antioxidant capacity of phenolic phytochemicals from various cultivars of plums. Food Chem. 2003, 81, 321–326. [Google Scholar] [CrossRef]
- Madhujith, T.; Shahidi, F. Optimization of the extraction of antioxidative constituents of six barley cultivars and their antioxidant properties. J. Agric. Food Chem. 2006, 54, 8048–8057. [Google Scholar] [CrossRef]
- Oyaizu, M. Studies on products of browning reaction: Antioxidative activity of products of browning reaction. Jpn. J. Nutr. 1986, 44, 307–315. [Google Scholar] [CrossRef]
- Kumar, R.R.; Goswami, S.; Sharma, S.K.; Singh, K.; Gadpayle, K.A.; Kumar, N.; Manorama, S.; Rai, R.D. Protection against heat stress in wheat involves change in cell membrane stability, antioxidant enzymes, osmolyte, H2O2 and transcript of heat shock protein. Int. J. Plant Physiol. Biochem. 2012, 4, 83–91. [Google Scholar]
- Sakhale, B.K.; Gaikwad, S.S.; Chavan, R.F. Application of 1-methylcyclopropene on mango fruit (Cv. Kesar): Potential for shelf life enhancement and retention of quality. J. Food Sci. Technol. 2018, 55, 776–781. [Google Scholar] [CrossRef] [PubMed]
- Borkar, P.A.; Jadhao, S.D.; Bakane, P.H.; Borkar, S.L.; Murumkar, R.P. Effect of ethylene absorbent and different packaging materials on storage life of Banana. Asian J. Biochem. Sci. 2008, 3, 233–236. [Google Scholar]
- Poudel, S.; Shrestha, A.K.; Mishra, K.; Gotame, T.P.; Regmi, R. Influence of Postharvest Treatment of Oxalic Acid on Shelf Life and Quality of Litchi Fruit cv. Muzaffarpur. Int. J. Environ. Agric. Biotech. 2016, 1, 896–901. [Google Scholar] [CrossRef]
- Ayranci, E.; Tunc, S. A method for measurement of the oxygen permeability and the development of edible films to reduce the rate of oxidative reaction of fresh foods. Food Chem. 2003, 80, 423–431. [Google Scholar] [CrossRef]
- Liu, R.; Lai, T.; Xu, Y.; Tian, S. Changes in physiology and quality of laiying pear in long time storage. Sci. Hortic. 2013, 150, 31–35. [Google Scholar] [CrossRef]
- Hailu, M.; Workneh, T.S.; Belew, D. Effect of packaging materials on the quality of Guava cultivars (Musa spp.). J. Food Sci. Technol. 2014, 51, 2947–2963. [Google Scholar] [CrossRef] [PubMed]
- Divya, A.R.; Jayashree, S.; Bhogi, B. Effect of storage methods on national quality of sapota candy. Asian J. Dairy Food Res. 2014, 33, 104–108. [Google Scholar] [CrossRef]
- Shubham, M.N.K.; Kumar, R.; Dongariyal, A.; Rai, R.; Arya, M.K. Effect of edible coating and packaging on postharvest life and quality of litchi (Litchi chinensis Sonn.) fruits during storage. J. Pharmacogn. Phytochem. 2020, 9, 3018–3023. [Google Scholar]
- Rao, D.V.S.; Shivashankara, K.S. Individual shrink wrapping extends the storage life and maintains the antioxidants of mangoes (cvs ‘Alphonso and Baganapalli’) stored at 8 °C. J. Food Sci. Technol. 2015, 52, 4351–4359. [Google Scholar] [CrossRef]
- Zhang, Z.; Pang, X.; Zuoliang, J.; Jiang, Y. Role of anthocyanin degradation in litchi pericarp browning. Food Chem. 2001, 75, 217–221. [Google Scholar] [CrossRef]
- Liu, H.; Cao, J.; Jiang, W. Changes in phenolics and antioxidant property of peach fruit during ripening and responses to 1-methylcyclopropene. Postharvest Biol. Technol. 2015, 108, 111–118. [Google Scholar]
- Arthey, D.; Philip, R.A. Fruit Processing Nutrition, Product and Quality Management, 2nd ed.; Brijbasi Art Press Ltd.: Noida, India, 2005; p. 45. [Google Scholar]
- Alam, M.K.; Ahmed, M.; Akter, M.S.; Islam, N.; Eun, J. Effect of carboxymethylcellulose and starch as thickening agents on the quality of tomato ketchup. Pak. J. Nutr. 2009, 8, 1144–1149. [Google Scholar]
- Kessy, H.N.E.; Hu, Z.; Zhao, L.; Zhou, M. Effect of Steam Blanching and Drying on Phenolic Compounds of Litchi Pericarp. Molecules 2016, 21, 729. [Google Scholar] [CrossRef] [PubMed]
- Jiang, Y.M.; Li, Y.B. Effects of chitosan coating on postharvest life and quality of longan fruit. Food Chem. 2000, 73, 139–143. [Google Scholar] [CrossRef]
- Razavi, F.; Hajilou, J.; Dehgan, G.; Hassani, R.N.B. Effect of postharvest oxalic acid treatment on ethylene production, quality parameters, and antioxidant potential of peach fruit during cold storage. Iran. J. Plant Physiol. 2017, 7, 2027–2036. [Google Scholar]
- Hoang, N.T.T.; Golding, J.B.; Wilkes, M.A. The effect of postharvest 1-MCP treatment and storage atmosphere on ‘Cripps Pink’ apple phenolic and antioxidant activity. Food Chem. 2011, 127, 1249–1256. [Google Scholar] [CrossRef]
- Cao, S.; Zheng, Y.; Yang, Z. Effect of 1-MCP treatment on nutritive and functional properties of loquat fruit during cold storage. N. Z. J. Crop Hortic. Sci. 2011, 39, 61–70. [Google Scholar] [CrossRef]
- Arnnok, P.; Ruangviriyachai, C.; Mahachai, R.; Techawongstein, S. Determination of total phenolics and anthocyanin contents in the pericarp of hot chilli pepper (Capsicum annuum L.). Int. Food Res. J. 2012, 19, 235–243. [Google Scholar]
- Altunkaya, A.; Gokmen, V. Effect of various inhibitors on enzymatic browning, antioxidant activity and total phenol content of fresh lettuce (Lactuca sativa). Food Chem. 2008, 107, 1173–1179. [Google Scholar] [CrossRef]
- Catro-Barquero, R.; Lamuela-Raventós, M.; Doménech, R.; Estruch, S.; Castro-Barquero, R.M.; Lamuela-Raventós, M.; Doménech, R. Estruch. Relationship between Mediterranean dietary polyphenol intake and obesity. Nutrients 2018, 10, 1523. [Google Scholar] [CrossRef]
- Martínez-Esplá, A.; Serrano, M.; Martínez-Romero, D.; Valeroa, D.; Zapata, P.J. Oxalic acid pre-harvest treatment increases antioxidant systems and improves plum quality at harvest and during postharvest storage. J. Sci. Food Agric. 2019, 99, 235–243. [Google Scholar] [CrossRef]
- Fawbush, F.; Nock, J.F.; Watkins, C.B. Antioxidant contents and activities of peels and pulps from cv. Golden Delicious apples as related to their phenolic composition. Post. Biol. Technol. 2009, 52, 30–37. [Google Scholar] [CrossRef]
- MacLean, D.D.; Murr, D.P.; DeEll, J.R.; Horvath, C.R. Postharvest variation in apple (Malus Domestica Borkh.) flavonoids following harvest, storage and 1-MCP treatment. J. Agric. Food Chem. 2006, 54, 870–878. [Google Scholar] [CrossRef]
- Jiang, Y.; Li, Y.; Jianrong, L. Browning control, shelf life extension and quality maintenance of frozen litchi fruit by hydrochloric acid. J. Food Eng. 2004, 63, 147–151. [Google Scholar] [CrossRef]
- Hasan, F.A.S.; Mahfouz, S.A. Effect of 1-MCP on the postharvest senescence of coriander leaves during storage and its retention of antioxidant enzyme activity. Sci. Hortic. 2012, 17, 521–533. [Google Scholar]
- Kolniak-Ostek, J.; Wojdyło, A.; Markowski, J.; Siucin’ska, K. 1-Methylcyclopropene postharvest treatment and their effect on apple quality during long-term storage time. Eur. Food Res. Technol. 2014, 239, 603–612. [Google Scholar] [CrossRef]
- Ramli, R.; Ahmad, F.T. Effect of different storage conditions on the quality curry leaves (Murraya koenigii). In Proceedings of the International Conference of FASSA Jember, Jember, Indonesia, 1–3 August 2017. [Google Scholar]
- Duan, X.; Wu, G.; Jiang, Y. Evaluation of the Antioxidant Properties of Litchi Fruit Phenolics in Relation to Pericarp Browning Prevention. Molecules 2007, 12, 759–771. [Google Scholar] [CrossRef]
- Chang, L.W.; Yen, W.J.; Huang, S.C.; Duh, P.D. Antioxidant activity of sesame coat. Food Chem. 2002, 78, 347–354. [Google Scholar] [CrossRef]
- Nowacka, M.; Sledz, M.; Wiktor, A.; Witrowa-Rajchert, D. Changes of Radical Scavenging Activity and Polyphenols Content During Storage of Dried Apples. Int. J. Food Propert. 2014, 17, 1317–1331. [Google Scholar] [CrossRef]
- Yun, Z.; Gao, H.; Chen, X.; Chen, Z.; Zhang, Z.; Li, T.; Qu, H.; Jiang, Y. Effects of hydrogen water treatment on antioxidant system of litchi fruit during the pericarp browning. Food Chem. 2021, 336, 127618. [Google Scholar] [CrossRef]
- Massolo, J.F.; Concello´n, A.; Chaves, A.R. 1-methylcyclopropene (1-MCP) delays senescence, maintains quality and reduces browning of non-climacteric eggplant (Solanum melongena L.) fruit. Postharv. Biol. Technol. 2011, 59, 10–15. [Google Scholar] [CrossRef]
- Duan, X.W.; Liu, T.; Zhang, D.D.; Su, X.G.; Lin, H.T.; Jiang, Y.M. Effect of pure oxygen atmosphere on antioxidant enzyme and antioxidant activity of harvested litchi fruit during storage. Food Res. Int. 2011, 44, 1905–1911. [Google Scholar] [CrossRef]
- Singh, S.P.; Singh, Z. Controlled and modified atmospheres influence chilling injury, fruit quality and antioxidative system of Japanese plums (Prunus salicina Lindell). Int. J. Food Sci. Technol. 2013, 48, 363–374. [Google Scholar] [CrossRef]
- Lu, J.; Zhao, H.; Chen, J.; Fan, W.; Dong, J.; Kong, W.; Sun, J.; Cao, Y.; Cai, G. Evolution of Phenolic Compounds and Antioxidant Activity during Malting. J. Agric. Food Chem. 2007, 55, 10994–11001. [Google Scholar] [CrossRef]
- Samee, W.; Engkalohakul, M.; Nebbua, N.; Direkrojanavuti, P.; Sornchaithawatwong, C.; Kamkaen, N. Correlation Analysis between Total Acid, Total Phenolic and Ascorbic Acid Contents in Fruit Extracts and Their Antioxidant Activities. Thai. Pharm. Health Sci. J. 2006, 1, 196–203. [Google Scholar]
Publisher’s Note: MDPI stays neutral with regard to jurisdictional claims in published maps and institutional affiliations. |
© 2021 by the authors. Licensee MDPI, Basel, Switzerland. This article is an open access article distributed under the terms and conditions of the Creative Commons Attribution (CC BY) license (http://creativecommons.org/licenses/by/4.0/).







