Abstract
With the rapid development of information and communication technology, future intelligent transportation systems will exhibit a trend of cooperative driving of connected vehicles. Platooning is an important application technique for cooperative driving. Herein, optimized car-following models for platoon control based on intervehicle communication technology are proposed. On the basis of existing indicators, a series of evaluation methods for platoon safety, stability, and energy consumption is constructed. Numerical simulations are used to compare the effects of three traditional models and their optimized counterparts on the car-following process. Moreover, the influence of homogenous and heterogeneous attributes on the platoon is analyzed. The optimized model proposed in this paper can improve the stability and safety of vehicle following and reduce the total fuel consumption. The simulation results show that a homogenous platoon can enhance the overall stability of the platoon and that the desired safety margin (DSM) model is better suited for heterogeneous platoon control than the other two models. This paper provides a practical method for the design and systematic evaluation of a platoon control strategy, which is one of the key focuses in the connected and autonomous vehicle industry.
1. Introduction
A number of traffic problems, such as traffic congestion, road safety, energy consumption and pollution, pose major challenges to human productivity and life. The increase in vehicle ownership places higher demands on road capacity, traffic safety, and efficiency. With the rapid development of information and communication technology (ICT), vehicles can realize real-time information transmission through the Internet of Vehicles technology. Future intelligent transportation systems will exhibit a trend of cooperative driving of connected vehicles.
The adaptive cruise control (ACC) system is one of the most widely used advanced driver assistance systems. This system uses sensors to measure the intervehicle distance and adjusts the speed of the vehicle accordingly to maintain the required distance.
The cooperation of connected vehicles can greatly improve capacity and safety for both urban and highway traffic [1,2]. In a cooperative driving system (CDS), a particular vehicle acquires information on neighboring vehicles through intervehicle communication (IVC), and then the system adopts appropriate control laws to achieve certain driving objectives. Vehicular platooning is an important application technique for cooperative driving. Platooning in the context of cooperative driving is a closely coordinated following mechanism between multiple vehicles without any mechanical connections that maintains a safe intervehicle distance.
To analyze car-following strings of vehicles, two key elements need to be considered: the car-following method and the string analysis and evaluation of platoons. Different car-following strategies can be found in the literature, including constant clearance [3], constant time gap [4], constant safety factor [5], and variable time gap [6] strategies.
Car-following models are important for autonomous cruise control systems [7]. A number of researchers have proposed mathematical models for car-following simulations. These models, such as the Gazis–Herman–Rothery (GHR) model [8], optimal velocity (OV) [9], and full velocity difference (FVD) [10] models, effectively simulate car-following behaviors and explain how car-following occurs in actual scenarios. However, they do not specifically consider driving comfort and driving habits. Driving behavior is largely affected by the risk perception of drivers in real traffic. The desired safety margin (DSM) model is utilized to describe the longitudinal dynamic behavior of a vehicle on the basis of the stimulus-response concept and the risk homeostasis theory [11]. Zhang et al. investigated the influence of the response time on the dynamics of a DSM car-following model [12]. Different control methods were studied to determine if they met the specifications of string stability. Flores et al. proposed employing fractional control to design feedforward structures for both ACC and cooperative ACC (CACC) [13]. They found that fractional-order control (FOC) provided a more adaptable frequency response than classical controllers. Chehardoli et al. studied the adaptive control and identification of 1-D platoons of nonidentical vehicles [14]. In addition, model predictive control [15] and sliding mode control [16] have been investigated in previous studies. The platoon evaluation method includes individual evaluation and systematic evaluation. At present, the commonly used car-following evaluation indicators include time to collision (TTC), time headway (TH), comprehensive expression of TTC and TH [17], and safety margin (SM) [18]. These indicators are mainly used to describe the safety of car-following between two cars. However, there is no fixed evaluation indicator for a string system.
A car-following model attempts to characterize the traffic flow by analyzing the behavior of each following car: the relationship between the microscale behavior of the driver and the macroscale phenomenon of traffic flow is established, and discrete traffic flow is described from a microscale perspective that does not prevent it from being linked to a continuous situation from a macroscale perspective. Acceleration in a car-following model indicates that a car is changing velocity. In addition, the velocity and distance variables of the model can be obtained via integration, allowing a macroscale traffic flow model to be established. The macroscale traffic model derived from microscale following theory is of great significance and not only shows the close connection between the microscale and macroscale models but also builds a bridge between theories from different sources.
To establish a vehicle type-dependent car-following model, considering driving comfort, the Chandler model, GHR model, and DSM model are optimized to find a car-following model that appropriately considers the acceleration of the leading vehicle. Based on the existing car-following indicators, some indicators for the evaluated platoon system include the first-order difference of the SM mean and the first-order difference of the SM standard deviation. Moreover, the differences between homogenous and heterogeneous attributes in the car-following platoon are considered. On the basis of the optimized car-following model, the security and stability of the platoon are analyzed from multiple perspectives and an evaluation method of the platoon system is constructed. The research in this paper provides optimization methods for platoon-following control and provides systematic evaluation indicators for platoons.
2. Methodology
2.1. Concept of Intelligent Connected Vehicles
The Internet of Vehicles promotes a deep integration of intelligent vehicles, intelligent transportation and mobile internet technologies. “Intelligent Vehicle + Mobile Internet” has changed the control mode of traditional smart cars with the perception of car sensor information as the core. This support provided by vehicles and IVC technology not only expands the scope of perception but also provides a new way to realize cluster control of intelligent vehicles.
The unique attributes of vehicles need to be considered when studying vehicle platoons. Differences in attributes affect the choice of system control strategies. There is a fundamental difference between connected vehicles and connected autonomous vehicles. The driver of a connected vehicle makes decisions about vehicle operations based on various information in the connected vehicle environment. A connected autonomous vehicle is a driverless intelligent vehicle that is driven by a machine system. Driver heterogeneity needs to be considered when a connected vehicle is the research target, whereas it can be assumed that the driver of a connected autonomous vehicle is homogeneous.
2.2. Car-Following Model
2.2.1. Traditional Car-Following Models
(1) Stimulus-Response Car-Following Model
This type of car-following model assumes that an acceleration or deceleration action is taken by the vehicle through the information perception of itself and neighboring vehicles. In 1958, the Chandler model was proposed [19], which can be expressed as
where T is the reaction time of the following vehicle’s driver, is the speed of the leading car, is the speed of the following car, and is the reaction intensity coefficient.
A linear car-following model is characterized by simplicity and sensitivity to stability analysis. The disadvantage is that the reaction of the following car only considers the influence of the relative speed of the two cars.
Gazis et al. proposed that the sensitivity coefficient is inversely proportional to the headway distance [20]. In 1961, Gazis proposed a general formula for a nonlinear car-following model [8]. The GHR model can be expressed as
where is the position of the leading car, is the position of the following car, and α, m, and l are parameters that need to be calibrated.
(2) DSM Model
When a driver follows another vehicle, they adjust the relative gap between the vehicles to ensure an acceptable risk level, which can be described by the DSM. Lu G (2012) described the DSM model according to the difference between a driver’s DSM and the perceived SM [18].
The DSM of car-following is expressed as
where is the reaction time of the following vehicle’s driver, is the SM, is the upper limit of the DSM under the car-following conditions, is the lower limit of the DSM under the car-following conditions, and and are the sensitivity factors for acceleration and deceleration, respectively.
2.2.2. Platooning Car-Following Model
A car-following model describes the dynamic process of vehicle motion during the car-following process. When a traditional vehicle is traveling with another vehicle on a road, the motion state of the following vehicle is mainly affected by that of the leading vehicle. On the basis of IVC technology, a vehicle can obtain information on multiple vehicles in a platoon during the car-following process, which helps the vehicle make optimal decisions in a timely manner. In Figure 1a, each vehicle is operated independently and there is a large intervehicle distance. In Figure 1b, multiple vehicles are built into a platoon, in which the vehicles can transmit information to each other. Considering the queue as a system, there is a close relationship between the vehicles inside the system, and each vehicle completes its driving task in coordination with the other vehicles in the system.
Figure 1.
Schematic diagram of different car-following modes.
The location of a vehicle in a platoon determines the amount of information obtained. The vehicle at the end of a platoon can obtain information on all the preceding vehicles and perform acceleration and deceleration operations based on the obtained information, as shown in Figure 2. The information transmitted within the platoon may include a number of parameters, such as speed, acceleration, and heading angle. Vehicle acceleration is a physical parameter that describes how fast a vehicle’s speed changes.
Figure 2.
Schematic diagram of platoon information transmission.
Taking into account actual driving situations, we selected the acceleration of vehicles in the platoon as the key transmitted information.
The (n + 1)th vehicle can obtain the acceleration of the preceding vehicles in real time and average the acceleration information to obtain a correction function for its own acceleration , as shown in Equation (4).
where is the correction factor and is the acceleration of the ith car.
Substituting the correction function into the traditional car-following model, we obtain optimized models for platoon car-following. Equation (5) is the optimized Chandler model, Equation (6) is the optimized GHR model, and Equation (7) is the optimized DSM model.
where , , are the correction factors in the correction functions of optimized Chandler model, optimized GHR model, and optimized DSM model, respectively.
2.3. Platoon Simulation
We consider a platoon of connected vehicles that consists of 1 leader and 9 followers, which are indexed as 1 and 2–10, respectively. The road is assumed to be straight and flat, so the lateral vehicle motion is neglected for convenience. The control objective is to coordinate the longitudinal motion of the connected vehicles so that they maintain a desired intervehicle distance while maintaining a desired velocity.
We performed numerical simulations with the three optimized models mentioned above. The simulation scenario is a queue that travels 3 km on a single-lane road. The queue consists of 10 vehicles. In the initial phase, the intervehicle distance is 60 m, and the speed of each vehicle is 100 km/h with an acceleration of zero. When the external traffic conditions change, the car-following status changes. We set the interference conditions for the leading car in the queue so that the vehicle passes through uniform speed, deceleration, uniform speed, acceleration, and uniform motion stages. As shown in Figure 3, the first car travels at a constant speed within the first 1 km. It then decelerates at maximum deceleration for 2 s. Then, it accelerates for 2 s at maximum acceleration after 2 km.
Figure 3.
Schematic diagram of the simulation scenario.
The constraint parameters of the models are shown in Table 1. Considering the differences in the attributes of connected vehicles and connected autonomous vehicles, we analyze the two aspects of driver heterogeneity and homogeneity.
Table 1.
Model constraint parameters.
2.3.1. Homogeneous Platoon Simulation
The homogenous platoon simulation parameters are shown in Table 2. The parameters in the DSM model are determined [11].
Table 2.
Homogenous platoon simulation parameters.
2.3.2. Heterogeneous Platoon Simulation
The heterogeneous platoon simulation parameters are shown in Table 3. The values of reaction time , the reaction intensity coefficient , and parameter are normally distributed.
Table 3.
Heterogeneous platoon simulation parameters.
2.4. Platooning Evaluation
In this study, safety, stability, and energy consumption were considered in the platooning evaluation.
The TH and SM were used to evaluate the level of safety during fleet following. The coefficient of variation (CV), the first-order difference of the SM mean, and the first-order difference of the SM standard deviation were used to assess the stability within the queue during following. The vehicle specific power (VSP) was used to assess the energy consumption of the fleet.
2.4.1. Platooning Safety Evaluation
TH and SM are typically used as risk indicators in car-following [18]. TH is the time difference between the consecutive arrivals of two vehicles passing a measurement point on a lane. The TH can be expressed as
where is the position of the following vehicle, is the position of the leading vehicle, and is the speed of the following car.
TH is one of the more commonly used safety indicators for vehicle following. The Swedish National Road Administration requires drivers to maintain a TH of more than 3 s on suburban roads and may be penalized by the traffic police if the TH is less than 1 s [21]. Some U.S. driver manuals also recommend that the TH should be kept above 2 s when following a vehicle.
Näätänen and Summala regarded SM as the minimum distance that drivers wanted to maintain, due to the presence of threats [22]. Lu G et al. proposed a risk indicator, which was a quantified parameter of SM [18].
SM is quantified as
where is the speed of the leading car, is the relative spacing between the two cars, is the response time of the braking system, is the deceleration of the following car at time t, and is the deceleration of the leading car.
Although TH has been used for ACC, it is affected by absolute speed. However, SM is a suitable quantitative indicator of homeostatic risk perception in the car-following process [18].
2.4.2. Platooning Stability Evaluation
The CV and a series of SM-related indicators were used to evaluate the stability of the platoon. The CV is a statistic that measures the degree of variability in the platoon. In general, a variable with a high CV has a substantial degree of dispersion. When describing a set of discrete data, the mean or standard deviation is often used. The first-order difference is the difference between consecutive neighbors in a discrete function. On the basis of the platooning system, we extend the SM indicator to the first-order difference of the mean and the first-order difference of the standard deviation, as shown in Equations (11) and (12),
where is the standard deviation of the speed, MFD is the first-order difference of the mean of the SM, SFD is the first-order difference of the standard deviation of the SM, MSM is the mean of the SM, and Std.SM is the standard deviation of the SM.
2.4.3. Platooning Energy Evaluation
According to general research, there are more than 30 factors affecting the fuel consumption of motor vehicles. In summary, these factors can be classified in three primary categories, including the motor vehicle characteristics, the road traffic conditions and the natural environment. Fundamentally, a motor vehicle consumes fuel to do work. Therefore, the amount of work directly affects the fuel consumption. For a particular motor vehicle, the actual driving characteristics of the motor vehicle and the road characteristics can be measured by one parameter, namely, the VSP [23]. It is expressed as
where VSP represents the specific power of the vehicle (kW/t), is the speed (m/s), is the acceleration (m/s2), and is the road gradient. We set to zero in this paper.
3. Results and Discussion
3.1. Homogeneous Platoon Simulation Results
This paper describes the car-following state using time-position diagrams, time-speed diagrams, and time-acceleration diagrams. Figure 4a,c shows the simulation results of the traditional Chandler and GHR models. When the leading vehicle starts to decelerate or accelerate, the acceleration and deceleration of the following vehicles are sequentially adjusted. Figure 4b,d shows the simulation results of the optimized models. When the leading car starts to decelerate or accelerate, the acceleration and deceleration of the following vehicles are simultaneously adjusted. When interference occurs, the vehicles can adjust to a uniform speed more quickly, and the speed and acceleration reach a convergence state faster. Figure 4e shows the simulation results of the traditional DSM model. When the leading vehicle starts to decelerate, the fluctuations in the platoon are obvious, and the following vehicle at the end of the platoon stops. Figure 4f shows the simulation results of the optimized DSM model, wherein the fluctuations in vehicle speed are relatively small.
Figure 4.
Time-position plots from the homogeneous platoon simulations.
Figure 4 shows the time-position plots from the homogeneous platoon simulations with the traditional and optimized Chandler, GHR, and DSM models. The deceleration of the lead vehicle has a greater impact on the fleet than the acceleration of the lead vehicle in all three models. By observing the deceleration and acceleration sections, it can be seen that the optimized model has a better following effect than the conventional model. Compared with Figure 4a,c,e in Figure 4b,d,f the distance between the front and rear vehicles in the fleet is greater, and the fluctuations caused by acceleration and deceleration interference are smaller. In the optimized Chandler model and optimized GHR model, the vehicles in the rear part of the fleet do not exhibit a significant sharp deceleration under acceleration/deceleration interference, and the trajectory changes are relatively smooth.
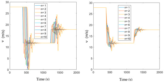
Figure 5 shows the time-velocity diagrams from the homogeneous platoon simulations with the traditional and optimized Chandler, GHR, and DSM models. The time-speed diagram clearly shows the change in speed over time for different disturbances in the queue. Observations from the deceleration and acceleration sections show that the optimized model exhibits a better following effect. Compared with Figure 5a,c,e, in Figure 5b,d,f, the minimum speed of the vehicle is greater, and the fluctuations in the vehicle speed decrease under the two disturbances. Among the three models, the GHR model exhibits the greatest improvement. Among them, the optimized Chandler model and the optimized GHR model exhibit smooth changes in vehicle speed in the fleet under acceleration and deceleration interference and do not exhibit significant hysteresis characteristics. The optimized DSM model can avoid stopping at the end of the fleet due to the delayed reaction under deceleration interference.

Figure 5.
Time-velocity diagrams from the homogeneous platoon simulations.
Figure 6 shows the time-acceleration diagrams from the homogeneous platoon simulations with the traditional and optimized Chandler, GHR, and DSM models. The time-acceleration diagram clearly shows the variation in acceleration over time under different disturbances during the queue. It can be found that the optimized model exhibits a better following effect under the interference of deceleration and acceleration. Compared with Figure 6a,c,e, in Figure 6b,d,f, the fluctuations in vehicle acceleration decrease, and the acceleration of the platoon reaches convergence in a shorter time in both disturbances. Among the three models, the GHR model exhibits the greatest improvement. Among them, the optimized DSM model avoids the case where the end of the fleet adopts the maximum acceleration after sharp deceleration under deceleration disturbance.

Figure 6.
Time-acceleration plots from the homogeneous platoon simulations.
3.2. Heterogeneous Platoon Simulation Results
Taking the Chandler model as an example, we performed a numerical simulation of the heterogeneous queue, and the results are shown in Figure 7. The speed and acceleration of the platoon car vary greatly. There are a number of vehicles in the platoon that suddenly brake, indicating that the acceleration reduction operation of the leading vehicle has a greater impact on the following vehicles. In contrast with the homogenous platoon, the heterogeneous platoon is prone to excessive distance and frequent changes in speed during the car-following process. The 10th vehicle exhibits very obvious deceleration and acceleration, which partly indicates that the driver of the 10th car has a clear driving style.
Figure 7.
Time-position diagrams from the heterogenous platoon simulations with the traditional and optimized Chandler models.
Figure 7 shows the time-position diagrams from the heterogeneous platoon simulations with the traditional and optimized Chandler models. The optimized Chandler model solves the problem of fleet fluctuations under deceleration disturbance and allows the fleet to maintain a greater following distance. The figure shows that the optimized Chandler model may have little effect on the fleet under acceleration disturbance.
Figure 8 shows the time-velocity diagrams from the heterogeneous platoon simulations with the traditional and optimized Chandler models. The optimized Chandler model reduces the fluctuations in the fleet between two disturbances, allowing the vehicles to maintain a higher speed and avoiding the phenomenon of three vehicles stopping at the end of the fleet under the deceleration disturbance. The figure shows that the optimized Chandler model may have very little effect on the fleet under acceleration disturbances.
Figure 8.
Time-velocity diagrams from the heterogenous platoon simulations with the traditional and optimized Chandler models.
Figure 9 shows the time-acceleration plots from the heterogeneous platoon simulations with the traditional and optimized Chandler models. The optimized Chandler model significantly solves the phenomenon of rapid acceleration and deceleration of the fleet, due to two interferences, and reduces the time required for acceleration convergence.
Figure 9.
Time-acceleration diagrams from the heterogenous platoon simulations with the traditional and optimized Chandler models.
3.3. Platooning Evaluation Results
3.3.1. Safety Evaluation
Figure 10 shows the safety evaluation during the car-following process. Compared with the traditional car-following model, the optimized model based on IVC provides a better TH and SM. Deceleration causes the SM to decrease, whereas acceleration causes the SM to increase. The optimized model reduces the fluctuation range of the SM.

Figure 10.
Time headway (TH) and safety margin (SM) changes for the different models.
In the homogeneous platoon simulations, the TH and SM values fluctuate and then tend to stabilize when the platoon is disturbed. The simulation results from the traditional Chandler model show that the TH decreases when the front of the platoon is disturbed by the deceleration of the lead vehicle. The simulation results from the optimized Chandler model show that the TH tends to increase during interference, which can meet the safety requirements of the fleet, but when the fleet is following at a constant speed, the TH of the fleet is greater than 3 s, which may cause the distance between the vehicles to be too large. Compared to the traditional GHR model, the optimized GHR model is able to increase the TH during deceleration disturbances. The simulation results from the optimized DSM model show that the fleet TH fluctuations decrease during deceleration disturbances. Likewise, the optimized model reduces the effect of acceleration and deceleration disturbances on the SM.
In the heterogeneous platoon simulations, the TH and SM fluctuations in the optimized model are smaller than those in the traditional model, the TH remains at approximately 2 s, and the SM remains above 0.8.
Compared with the other two models, the optimized DSM model provides no significant improvement in the TH and SM of the heterogeneous platoon.
Quantitative measurement can help us obtain better evaluation of traditional models and optimized models. Table 4 shows the descriptive statistics of TH and SM for the different models in homogeneous platoon and heterogeneous platoon.
Table 4.
Descriptive statistics of safety evaluation indicators for the different models.
3.3.2. Stability Evaluation
Figure 11 shows the CV changes in the homogeneous and heterogenous platoon simulations. The acceleration and deceleration of the lead vehicle cause two peaks in the CV, and the deceleration interference has a greater impact on the fleet stability. The results show that the optimized model effectively reduces the CV.
Figure 11.
CV changes for the different models.
Compared with the CV in the homogenous platoon simulation, the CV in the heterogeneous platoon simulation varies greatly, and the peak CV in the DSM model reaches 0.7. This shows that a homogenous platoon is beneficial to enhance the overall stability of the platoon.
When the lead car is subjected to an external interference, the first-order difference of the mean and the first-order difference of the standard deviation abruptly changes, which is obviously different from the steady state. These two indexes can accurately evaluate the overall stability of the system.
Figure 12 shows the MFD and SFD of the fleet during the homogeneous platoon simulations, Figure 11 shows the MFD and SFD of the fleet during the heterogeneous platoon simulations, and the red dots show the simulation results of the optimized model. The optimization method based on IVC reduces the fluctuations in the fleet MFD and SFD and improves the stability of the fleet.

Figure 12.
Mean-first difference (MFD) and Std-first difference (SFD) changes in the homogeneous platoon simulations.
The MFD and SFD distributions of the GHR and DSM models are more discrete than those of the Chandler model. From the variation graphs of MFD and SFD, the proposed optimization method in this paper is effective in improving the GHR model.
As shown in Figure 12 and Figure 13, the heterogeneous platoon has a longer duration of instability and a larger range of mutations than the homogeneous platoon. The optimization method based on vehicles and IVC is not sufficiently effective to improve the indicators of the DSM model. This shows that the DSM model, which takes into account the characteristics of the driver, is more suitable for heterogeneous platoon control.
Figure 13.
Mean-first difference (MFD) and Std-first difference (SFD) changes in the heterogeneous platoon simulations.
Table 5 shows the descriptive statistics of stability evaluation indicators for the different models in homogeneous platoon and heterogeneous platoon. Traditional models and optimized models are better evaluated using the minimum, maximum, mean, and standard deviation of the stability indicators.
Table 5.
Descriptive statistics of stability evaluation indicators for the different models.
3.3.3. Energy Evaluation
Figure 14 shows a comparison of the total fuel consumption of the three models and their optimized models in the car-following simulations. Compared to the traditional car-following model, the optimized model reduces the total fuel consumption during the car-following process, and this reduction is most evident in the Chandler model. Heterogeneous platoons consume more fuel than homogeneous platoons. The reason is that drivers with aggressive or anxious driving styles in heterogeneous platoons are more likely to frequently perform acceleration and deceleration operations.
Figure 14.
Vehicle specific power (VSP) in the different models.
4. Conclusions
Cooperative driving of connected vehicles is becoming a new trend of intelligent transportation systems. For an environment with connected vehicles, this paper proposes optimized car-following models for platoon control based on IVC technology. Three traditional car-following models and their optimized platooning car-following models are introduced. Numerical simulations are used to compare the effects of the three traditional models and their optimized counterparts on the car-following process. The differences between homogenous and heterogeneous attributes in the platoons are also considered in the simulations. Finally, based on existing car-following evaluation indicators, evaluation indicators that comprehensively consider platoon safety, stability, and energy consumption are constructed to evaluate the platoon system, including the first-order difference of the SM mean and the first-order difference of the SM standard deviation. The key findings are listed as follows:
- When the leading vehicle accelerates and decelerates, the optimized models make the vehicles adopt a more appropriate adjustment strategy than the traditional models, which is beneficial to the internal recovery of the stable car-following state.
- Compared with homogenous platoons, heterogeneous platoons are prone to excessive intervehicle distances, abnormal vehicle speed changes, and higher fuel consumption during the car-following process, resulting in a larger range of evaluation indicators.
- The results show that homogenous platooning helps to enhance the overall stability of the platoon. Moreover, the optimization method based on vehicles and IVC is not sufficiently effective to optimize the DSM model, indicating that the DSM model is more suitable for heterogeneous platoon control.
As the main contribution, this research provides an optimization method for platoon control, that is, considering the acceleration of the preceding vehicle on the basis of the traditional car-following models, and provides a set of systematic evaluation indicators for platooning. This paper can provide platooning technology for automobile enterprises, logistics enterprises, and insurance enterprises. However, limitations still exist in this study; for example, this research mainly focuses on a platoon with longitudinal car-following, whereas lateral operations such as lane-changing collaboration must be further explored in the next stage of work. Furthermore, the simulation results obtained in this study need to be further verified in future work, and the impact of wireless access technologies and V2X communication technologies on the platooning applications should be further considered.
Author Contributions
Collection and analysis of the basic data was completed by G.Y., S.L. contributed to the components, and materials. Data analysis was completed by Q.S. The paper was written by G.Y., S.L., and Q.S. All authors have read and agreed to the published version of the manuscript.
Funding
This research was supported by the National Natural Science Foundation (51708421).
Institutional Review Board Statement
Not applicable.
Informed Consent Statement
Not applicable.
Data Availability Statement
Not applicable.
Conflicts of Interest
The authors declare that there are no conflicts of interest regarding the publication of this paper.
References
- Xu, B.; Li, S.E.; Bian, Y.; Li, S.; Ban, X.J.; Wang, J.; Li, K. Distributed conflict-free cooperation for multiple connected vehicles at unsignalized intersections. Transp. Res. Part C Emerg. Technol. 2018, 93, 322–334. [Google Scholar] [CrossRef]
- Lioris, J.; Pedarsani, R.; Tascikaraoglu, F.Y.; Varaiya, P. Platoons of connected vehicles can double throughput in urban roads. Transp. Res. Part C Emerg. Technol. 2017, 77, 292–305. [Google Scholar] [CrossRef]
- Swaroop, D.; Huandra, R. Intelligent cruise control system design based on a traffic flow specification. Veh. Syst. Dyn. 1998, 30, 319–344. [Google Scholar] [CrossRef]
- Swaroop, D.; Rajagopal, K. A review of constant time headway policy for automatic vehicle following. In Proceedings of the ITSC 2001. 2001 IEEE Intelligent Transportation Systems, Oakland, CA, USA, 25–29 August 2001; Proceedings (Cat. No. 01TH8585). IEEE: New York, NY, USA, 2001; pp. 65–69. [Google Scholar]
- Ioannou, P.A.; Chien, C.-C. Autonomous intelligent cruise control. IEEE Trans. Veh. Technol. 1993, 42, 657–672. [Google Scholar] [CrossRef]
- Zhao, J.; Oya, M.; el Kamel, A. A safety spacing policy and its impact on highway traffic flow. In Proceedings of the 2009 IEEE Intelligent Vehicles Symposium, Xi’an, China, 3–5 June 2009; IEEE: New York, NY, USA, 2009; pp. 960–965. [Google Scholar]
- Wang, J.; Zhang, L.; Zhang, D.; Li, K. An adaptive longitudinal driving assistance system based on driver characteristics. IEEE Trans. Intell. Transp. Syst. 2013, 14, 1–12. [Google Scholar] [CrossRef]
- Gazis, D.C.; Herman, R.; Rothery, R.W. Nonlinear follow-the-leader models of traffic flow. Oper. Res. 1961, 9, 545–567. [Google Scholar] [CrossRef]
- Bando, M.; Hasebe, K.; Nakayama, A.; Shibata, A.; Sugiyama, Y. Dynamical model of traffic congestion and numerical simulation. Phys. Rev. E 1995, 51, 1035. [Google Scholar] [CrossRef] [PubMed]
- Jiang, R.; Wu, Q.; Zhu, Z. Full velocity difference model for a car-following theory. Phys. Rev. E 2001, 64, 017101. [Google Scholar] [CrossRef] [PubMed]
- Lu, G.; Cheng, B.; Wang, Y.; Lin, Q. A car-following model based on quantified homeostatic risk perception. Math. Probl. Eng. 2013, 2013, 165–185. [Google Scholar] [CrossRef]
- Zhang, J.; Wang, Y.; Lu, G.; Long, W. Analysis string stability of a new car-following model considering response time. In Proceedings of the 2017 13th IEEE Conference on Automation Science and Engineering (CASE), Xi’an, China, 20–23 August 2017; IEEE: New York, NY, USA, 2017; pp. 853–857. [Google Scholar]
- Flores, C.; Milanés, V. Fractional-order-based acc/cacc algorithm for improving string stability. Transp. Res. Part C Emerg. Technol. 2018, 95, 381–393. [Google Scholar] [CrossRef]
- Chehardoli, H.; Ghasemi, A. Adaptive centralized/decentralized control and identification of 1-d heterogeneous vehicular platoons based on constant time headway policy. IEEE Trans. Intell. Transp. Syst. 2018, 19, 1–11. [Google Scholar] [CrossRef]
- Dunbar, W.B.; Caveney, D.S. Distributed receding horizon control of vehicle platoons: Stability and string stability. IEEE Trans. Autom. Control 2012, 57, 620–633. [Google Scholar] [CrossRef]
- Guo, X.; Wang, J.; Liao, F.; Teo, R.S.H. Distributed adaptive integrated-sliding-mode controller synthesis for string stability of vehicle platoons. IEEE Trans. Intell. Transp. Syst. 2016, 17, 2419–2429. [Google Scholar] [CrossRef]
- Kondoh, T.; Yamamura, T.; Kitazaki, S.; Kuge, N.; Boer, E.R. Identification of visual cues and quantification of drivers’ perception of proximity risk to the lead vehicle in car-following situations. J. Mech. Syst. Transp. Logist. 2008, 1, 170–180. [Google Scholar] [CrossRef]
- Lu, G.; Cheng, B.; Lin, Q.; Wang, Y. Quantitative indicator of homeostatic risk perception in car following. Saf. Sci. 2012, 50, 1898–1905. [Google Scholar] [CrossRef]
- Chandler, R.E.; Herman, R.; Montroll, E.W. Traffic dynamics: Studies in car following. Oper. Res. 1958, 6, 165–184. [Google Scholar] [CrossRef]
- Gazis, D.C.; Herman, R.; Potts, R.B. Car-following theory of steady-state traffic flow. Oper. Res. 1959, 7, 499–505. [Google Scholar] [CrossRef]
- Vogel, K. A comparison of headway and time to collision as safety indicators. Accid. Anal. Prev. 2003, 35, 427–433. [Google Scholar] [CrossRef]
- Näätänen, R.; Summala, H. Road User Behavior and Traffic Accidents; North-Holland Publishing Co.: Amsterdam, The Netherlands, 1976. [Google Scholar]
- Jimenez-Palacios, J.L. Understanding and Quantifying Motor Vehicle Emissions with Vehicle Specific Power and Tildas Remote Sensing; Massachusetts Institute of Technology: Cambridge, MA, USA, 1998. [Google Scholar]
Publisher’s Note: MDPI stays neutral with regard to jurisdictional claims in published maps and institutional affiliations. |
© 2021 by the authors. Licensee MDPI, Basel, Switzerland. This article is an open access article distributed under the terms and conditions of the Creative Commons Attribution (CC BY) license (http://creativecommons.org/licenses/by/4.0/).