Dynamic Model of a Transcritical CO2 Heat Pump for Residential Water Heating
Abstract
1. Introduction
2. Materials and Methods
2.1. Prototype Description
2.2. Model Descriptions
2.2.1. Compressor Model
2.2.2. Expansion Device Model
2.2.3. Heat Exchangers Models
2.2.4. Gas Cooler Model
2.2.5. Evaporator Model
2.2.6. Heat Pump Model
3. Results
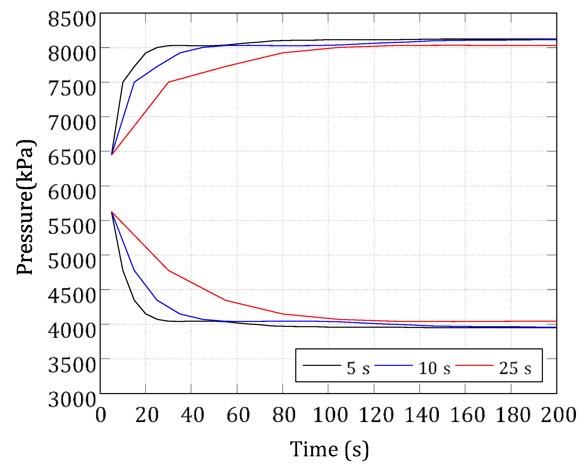
3.1. Time Step Selection
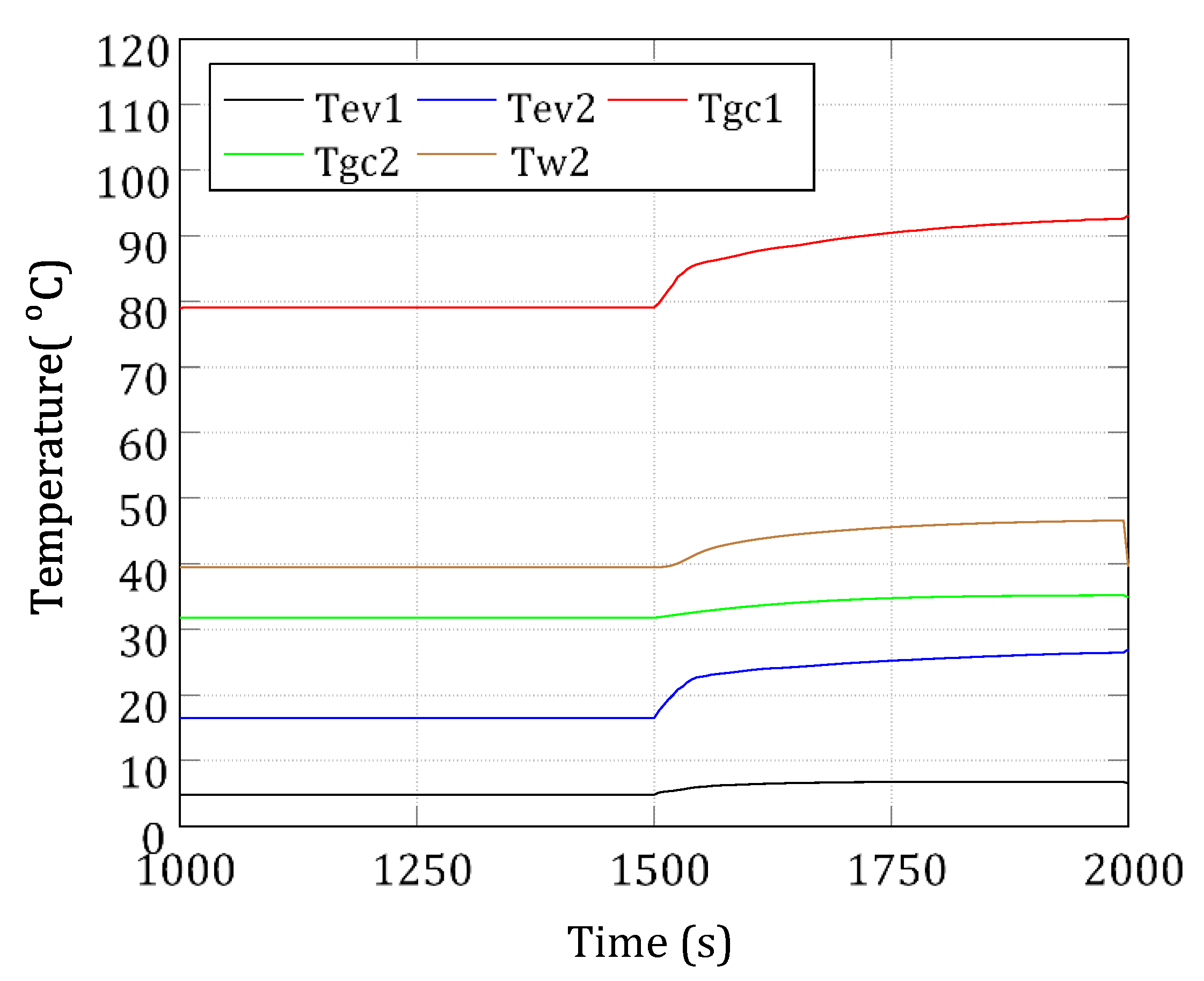
3.2. Volumetric Flow Rate Step—Model Validation
3.3. Expansion Valve Opening Area Step
4. Conclusions
- -
- the comparison between the experimental results and those obtained with the model show small deviations for the analyzed temperatures and volumetric flow rate;
- -
- the computational processing time is longer for the transient condition. To show the variables with good representativeness, time steps of 25 and 5 s are appropriate for steady state and transient conditions, respectively;
- -
- an increase in the volumetric water flow rate produces a decrease in the water outlet temperature. On the other hand, a reduction in the volumetric water flow rate produces a rise in the water outlet temperature, as one would expect;
- -
- the reduction of the internal area of the expansion device shows an increase of inlet and outlet compressor temperatures as well as in the water outlet temperature;
- -
- the reduction of the internal area of the expansion device shows a variation in the CO2 DX-SAHP coefficient of performance, as one would expect;
- -
- in the model presented in this paper, differently from what is usual in the literature for the CO2 DX-SAHP, the water outlet temperature is an input data. This makes it possible to use the model under real operating conditions for which this variable is controlled.
Author Contributions
Funding
Institutional Review Board Statement
Informed Consent Statement
Data Availability Statement
Acknowledgments
Conflicts of Interest
Nomenclature
| Abbreviations | |
| COP | Coefficient of performance |
| DX | Direct expansion |
| GWP | Global Warming Potential |
| ODP | Ozone depletion potential |
| SAHP | Solar assisted heat pump; |
| Latin Symbols | |
| Area [m²] | |
| Regression coefficients | |
| Specific heat at constant pressure [Jkg−1K−1] | |
| Diameter [m] | |
| Fin efficiency | |
| Mass flux [kgs−1m−2] | |
| Enthalpy [Jkg−1] | |
| Heat transfer coefficient between the wall and the refrigerant [Wm−2K−1] | |
| Rotation speed [rps] | |
| Number of turns of the valve | |
| Pressure [Pa] | |
| Perimeter [m] | |
| Solar radiation [Wm−2] | |
| Temperature [°C] | |
| Overall heat transfer coefficient [Wm-2K-1)] | |
| Volumetric displacement [m3] | |
| Distance between the tubes [m] | |
| Greek Symbols | |
| Time step | |
| Efficiency | |
| Specific volume [m3kg−1] | |
| Density | |
| Special symbols | |
| Pressure loss due to the friction | |
| Mass flow rate [kgs−1] | |
| Refrigerant modified pressure | |
| Common subscripts and superscript | |
| Previously instant of time | |
| Inlet | |
| Outlet | |
| Critical point | |
| Compressor | |
| External | |
| Expansion device | |
| Equivalent orifice of the expansion device | |
| Evaporator | |
| Refrigerant | |
| Gas cooler | |
| Internal | |
| Compressor isentropic | |
| Internal tube | |
| Wall | |
| Isentropic | |
| Volumetric | |
| Water | |
References
- IEA (International Energy Agency). Electricity Information 2019. Available online: https://www.iea.org (accessed on 25 February 2020).
- Mukhtar, M.; Ameyaw, B.; Yimen, N.; Zhang, Q.; Bamisile, O.; Adun, H.; Dagbasi, M. Building retrofit and energy conservation/efficiency review: A techno-environ-economic assessment of heat pump system retrofit in housing stock. Sustainability 2021, 13, 983. [Google Scholar] [CrossRef]
- Arroyo, M.F.R.; Miguel, L.J. The trends of the energy intensity and CO2 emissions related to final energy consumption in Ecuador: Scenarios of national and worldwide strategies. Sustainability 2020, 12, 20. [Google Scholar] [CrossRef]
- Szreder, M.; Miara, M. Impact of compressor drive system efficiency on air source heat pump performance for heating hot water. Sustainability 2020, 12, 10521. [Google Scholar] [CrossRef]
- Nunes, R.; Koury, R.; Roberts, R.; Machado, L. Transient model of a static evaporator for an air-water heat pump. Therm. Eng. 2012, 1, 1–7. [Google Scholar]
- Koury, R.; Faria, R.; Nunes, R.; Ismail, K.; Machado, L. Dynamic model and experimental study of an air-water heat pump for residential use. Int. J. Refrig. 2013, 36, 674–688. [Google Scholar] [CrossRef]
- White, S.; Yarrall, M.; Cleland, D.; Hedley, R. Modelling the performance of a transcritical CO2 heat pump for high temperature heating. Int. J. Refrig. 2002, 25, 479–486. [Google Scholar] [CrossRef]
- Hepbasli, A.; Kalinci, Y. A review of heat pump water heating systems. Renew. Sustain. Energy Rev. 2009, 13, 1211–1229. [Google Scholar] [CrossRef]
- Chua, K.J.; Chou, S.K.; Yang, W. Advances in heat pump systems: A review. Appl. Energy 2010, 87, 3611–3624. [Google Scholar] [CrossRef]
- UNEP (United Nations Environment Programme). Montreal Protocol on Substances that Deplete the Ozone Layer; UNEP: New York, NY, USA, 1987. [Google Scholar]
- GECR (Global Environmental Change Report). Kyoto Protocol to the United Nations Framework Conservation on Climate Change; GECR: New York, NY, USA, 1997. [Google Scholar]
- UNEP (United Nations Environment Programme). The Montreal Protocol on Substances that Deplete the Ozone Layer; UNEP: Kigali, Rwanda, 2016. [Google Scholar]
- Lorentzen, G.; Pettersen, J. New Possibilities for Non-CFC Refrigeration; Technical Report; International Atomic Energy Agency (IAEA): Vienna, Austria, 1992. [Google Scholar]
- Bullard, C. Transcritical CO2 systems-recent progress and new challenges; Bulletin; Institute of International Finance (IIF): New York, USA, 2004. [Google Scholar]
- Wang, Z.; Guo, P.; Zhang, H.; Yang, W.; Mei, S. Comprehensive review on the development of SAHP for domestic hot water. Renew. Sustain. Energy Rev. 2017, 72, 871–881. [Google Scholar] [CrossRef]
- Kong, X.; Zhang, D.; Li, Y.; Yang, Q. Thermal performance analysis of a direct-expansion solar-assisted heat pump water heater. Energy 2011, 36, 6830–6838. [Google Scholar] [CrossRef]
- Sun, X.; Wu, J.; Dai, Y.; Wang, R. Experimental study on roll-bond collector/evaporator with optimized-channel used in direct expansion solar assisted heat pump water heating system. Appl. Therm. Eng. 2014, 66, 571–579. [Google Scholar] [CrossRef]
- Sun, X.; Dai, Y.; Novakovic, V.; Wu, J.; Wang, R. Performance comparison of direct expansion solar-assisted heat pump and conventional air source heat pump for domestic hot water. Energy Procedia 2015, 70, 394–401. [Google Scholar] [CrossRef]
- Duarte, W.M.; Paulino, T.F.; Pabon, J.J.; Sawalha, S.; Machado, L. Refrigerants selection for a direct expansion solar assisted heat pump for domestic hot water. Sol. Energy 2019, 184, 527–538. [Google Scholar] [CrossRef]
- Oliveira, R.N.; Faria, R.N.; Antonanzas-Torres, F.; Machado, L.; Koury, R.N.N. Dynamic model and experimental validation for a gas cooler of a CO2 heat pump for heating residential water. Sci. Technol. Built Environ 2016, 22, 30–40. [Google Scholar] [CrossRef]
- Faria, R.N.; Nunes, R.O.; Koury, R.N.N.; Machado, L. Dynamic modeling study for a solar evaporator with expansion valve assembly of a transcritical CO2 heat pump. Int. J. Refrig. 2016, 64, 203–213. [Google Scholar] [CrossRef]
- Paulino, T.F.; Oliveira, R.N.; Maia, A.A.T.; Palm, B.; Machado, L. Modeling and experimental analysis of the solar radiation in a CO2 direct-expansion solar-assisted heat pump. Appl. Therm. Eng. 2019, 148, 160–172. [Google Scholar] [CrossRef]
- Rabelo, S.N.; Paulino, T.F.; Duarte, W.M.; Sawalha, S.; Machado, L. Experimental analysis of the influence of water mass flow rate on the performance of a CO2 direct-expansion solar assisted heat pump. Int. J. Chem. Mol. Eng. 2018, 12, 327–331. [Google Scholar]
- Rabelo, S.N.; Paulino, T.F.; Duarte, W.M.; Maia, A.A.; Machado, L. Experimental analysis of the influence of the expansion valve opening on the performance of the small size CO2 solar assisted heat pump. Sol. Energy 2019, 190, 255–263. [Google Scholar] [CrossRef]
- Barreto, D. Perfil do consumo residencial e usos finais da água. Ambiente Construído 2008, 8, 23–40. [Google Scholar]
- Wong, L.; Mui, K.; Guan, Y. Shower water heat recovery in high-rise residential buildings of Hong Kong. Appl. Energy 2010, 87, 703–709. [Google Scholar] [CrossRef]
- Cavallini, A.; Cecchinato, L.; Corradi, M.; Fornasieri, E.; Zilio, C. Two-stage transcritical carbon dioxide cycle optimisation: A theoretical and experimental analysis. Int. J. Refrig. 2005, 28, 1274–1283. [Google Scholar] [CrossRef]
- Cheng, L.; Ribatski, G.; Quibén, J.M.; Thome, J.R. New prediction methods for CO2 evaporation inside tubes: Part I—A two-phase flow pattern map and a flow pattern based phenomenological model for two-phase flow frictional pressure drops. Int. J. Heat Mass Transf. 2008, 51, 111–124. [Google Scholar] [CrossRef]
- Sarkar, J.; Bhattacharyya, S.; Ramgopal, M. A transcritical CO2 heat pump for simultaneous water cooling and heating: Test results and model validation. Int. J. Energy Res. 2009, 33, 100–109. [Google Scholar] [CrossRef]
- Fox, R.W.; McDonald, A.; Pitchard, P. Introduction to fluid mechanics, 6th ed.; John Wiley & Sons: Hoboken, NJ, USA, 2006. [Google Scholar]
- Martin, K.; Rieberer, E. Expansion devices for CO2: Results of measurements and simulation model. In Proceedings of the 22nd IIR International Congress of Refrigeration, Beijing, Chine, 21–26 August 2007. [Google Scholar]
- Spindler, K. A review on heat transfer correlations for supercritical carbon dioxide under cooling conditions. In Proceedings of the 7th IIR Gustav Loretzen Conference on Natural Working Fluids, Trondheim, Norway, 28–31 May 2006. [Google Scholar]
- Cheng, L.; Ribatski, G.; Wojtan, L.; Thome, J.R. New flow boiling heat transfer model and flow pattern map for carbon dioxide evaporating inside horizontal tubes. Int. J. Heat Mass Transf. 2006, 49, 4082–4094. [Google Scholar] [CrossRef]
- Ozisik, M.N. Heat Transfer: A Basic Approach, 1st ed.; McGraw-Hill: New York, NY, USA, 1985. [Google Scholar]
- Span, R.; Wagner, W. A new equation of state for carbon dioxide covering the fluid region from the triple-point temperature to 1100 K at pressures up to 800 MPa. J. Phys. Chem. 1996, 25, 1509–1596. [Google Scholar] [CrossRef]
- Bergman, T.L.; Incropera, F.P.; DeWitt, D.P.; Lavine, A.S. Fundamentals of Heat and Mass Transfer, 7th ed.; John Wiley & Sons: Hoboken, NJ, USA, 2011. [Google Scholar]














| Variable | Average Deviation (°C) | Maximum Deviation (°C) |
|---|---|---|
| 0.9 | 2.1 | |
| 1.7 | 1.9 | |
| 1.4 | 1.5 | |
| 1.9 | 2.7 | |
| −0.3 | 1.3 |
Publisher’s Note: MDPI stays neutral with regard to jurisdictional claims in published maps and institutional affiliations. |
© 2021 by the authors. Licensee MDPI, Basel, Switzerland. This article is an open access article distributed under the terms and conditions of the Creative Commons Attribution (CC BY) license (http://creativecommons.org/licenses/by/4.0/).
Share and Cite
Diniz, H.A.G.; Paulino, T.F.; Pabon, J.J.G.; Maia, A.A.T.; Oliveira, R.N. Dynamic Model of a Transcritical CO2 Heat Pump for Residential Water Heating. Sustainability 2021, 13, 3464. https://doi.org/10.3390/su13063464
Diniz HAG, Paulino TF, Pabon JJG, Maia AAT, Oliveira RN. Dynamic Model of a Transcritical CO2 Heat Pump for Residential Water Heating. Sustainability. 2021; 13(6):3464. https://doi.org/10.3390/su13063464
Chicago/Turabian StyleDiniz, Hélio A. G., Tiago F. Paulino, Juan J. G. Pabon, Antônio A. T. Maia, and Raphael N. Oliveira. 2021. "Dynamic Model of a Transcritical CO2 Heat Pump for Residential Water Heating" Sustainability 13, no. 6: 3464. https://doi.org/10.3390/su13063464
APA StyleDiniz, H. A. G., Paulino, T. F., Pabon, J. J. G., Maia, A. A. T., & Oliveira, R. N. (2021). Dynamic Model of a Transcritical CO2 Heat Pump for Residential Water Heating. Sustainability, 13(6), 3464. https://doi.org/10.3390/su13063464

