On the Effect of Recycled Polyolefins on the Thermorheological Performance of Polymer-Modified Bitumen Used for Roofing-Applications
Abstract
1. Introduction
2. Experimental
2.1. Methods
2.2. Materials
3. Results and Discussion
3.1. Phase Distribution
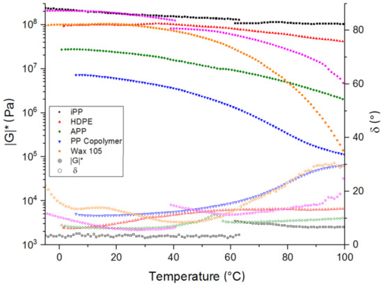
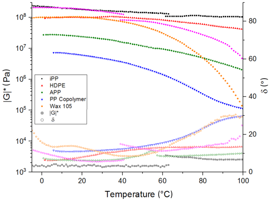
Rheology
4. Conclusions
- High crystallinity, high viscosity polyolefins (iPP, HDPE)
- Reduced crystallinity, low viscosity polyolefins (APP, PP Copolymer)
- Waxy polyolefins (Wax 105, Wax 115)
- High crystallinity polyolefins show the highest improvement considering high temperature |G*| and phase angle, given that the polymer-rich phase is the matrix phase. Additionally, they are generally less evenly distributed than the other investigated polyolefins and are more difficult to process due to their highly viscous behavior.
- Reduced crystallinity polyolefins improve high temperature |G*|, although not as much as the high crystallinity polyolefins, generally exhibit higher phase angles at the same modification level and are more evenly distributed when compared to high crystallinity polyolefins.
- Waxy polyolefins improve high temperature phase angle and |G*| similarly to reduced crystallinity polyolefins, are easily dispersed and exhibit the most uniform polymer distribution. However near their melting temperature, they exhibit a sharp phase angle increase and |G*| decrease, which may be relevant during application.
Author Contributions
Funding
Institutional Review Board Statement
Informed Consent Statement
Data Availability Statement
Acknowledgments
Conflicts of Interest
Appendix A






References
- Füssl, J.; Lackner, R.; Eberhardsteiner, J. Creep response of bituminous mixtures—rheological model and microstructural interpretation. Meccanica 2014, 49, 2687–2698. [Google Scholar] [CrossRef]
- Lesueur, D. The colloidal structure of bitumen: Consequences on the rheology and on the mechanisms of bitumen modification. Adv. Colloid Interface Sci. 2009, 145, 42–82. [Google Scholar] [CrossRef] [PubMed]
- Schaur, A.; Unterberger, S.; Lackner, R. Impact of molecular structure of SBS on thermomechanical properties of polymer modified bitumen. Eur. Polym. J. 2017, 96, 256–265. [Google Scholar] [CrossRef]
- McNally, T. 1—Introduction to polymer modified bitumen (PmB). In Polymer Modified Bitumen; McNally, T., Ed.; Woodhead Publishing Series in Civil and Structural Engineering; Woodhead Publishing: Cambridge, UK, 2011; pp. 1–21. [Google Scholar] [CrossRef]
- Kalantar, Z.N.; Karim, M.R.; Mahrez, A. A review of using waste and virgin polymer in pavement. Constr. Build. Mater. 2012, 33, 55–62. [Google Scholar] [CrossRef]
- Geyer, R.; Jambeck, J.; Law, K. Production, use, and fate of all plastics ever made. Sci. Adv. 2017, 3, 1–5. [Google Scholar] [CrossRef]
- Zhu, J.; Birgisson, B.; Kringos, N. Polymer modification of bitumen: Advances and challenges. Eur. Polym. J. 2014, 54, 18–38. [Google Scholar] [CrossRef]
- Fawcett, A.H.; McNally, T. Blends of bitumen with various polyolefins. Polymer 2000, 41, 5315–5326. [Google Scholar] [CrossRef]
- Fawcett, A.H.; McNally, T.; McNally, G.M.; Andrews, F.; Clarke, J. Blends of bitumen with polyethylenes. Polymer 1999, 40, 6337–6349. [Google Scholar] [CrossRef]
- Navarro, F.J.; Partal, P.; Martínez-Boza, F.J.; Gallegos, C. Novel recycled polyethylene/ground tire rubber/bitumen blends for use in roofing applications: Thermo-mechanical properties. Polym. Test. 2010, 29, 588–595. [Google Scholar] [CrossRef]
- Murphy, M.; O’Mahony, M.; Lycett, C.; Jamieson, I. Bitumens modified with recycled polymers. Mater. Struct. 2000, 33, 438–444. [Google Scholar] [CrossRef]
- Fuentes-Audén, C.; Sandoval, J.A.; Jerez, A.; Navarro, F.J.; Martínez-Boza, F.J.; Partal, P.; Gallegos, C. Evaluation of thermal and mechanical properties of recycled polyethylene modified bitumen. Polym. Test. 2008, 27, 1005–1012. [Google Scholar] [CrossRef]
- García-Morales, M.; Partal, P.; Navarro, F.J.; Gallegos, C. Effect of waste polymer addition on the rheology of modified bitumen. Fuel 2006, 85, 936–943. [Google Scholar] [CrossRef]
- Saroufimr, E.; Celauro, C.; Mistretta, M. A simple interpretation of the effect of the polymer type on the properties of PMBs for road paving applications. Constr. Build. Mater. 2018, 158, 114–123. [Google Scholar] [CrossRef]
- Celauro, C.; Saroufimr, E.; Mistretta, M.; La Mantia, F. Influence of Short-Term Aging on Mechanical Properties and Morphology of Polymer-Modified Bitumen with Recycled Plastics from Waste Materials. Polymers 2020, 12, 1985. [Google Scholar] [CrossRef] [PubMed]
- Ragaert, K.; Delva, L.; Van Geem, K. Mechanical and chemical recycling of solid plastic waste. Waste Manag. 2017, 69, 24–58. [Google Scholar] [CrossRef] [PubMed]
- Grigore, M.E. Methods of Recycling, Properties and Applications of Recycled Thermoplastic Polymers. Recycling 2017, 2, 24. [Google Scholar] [CrossRef]
- Rajeshwar, K. The kinetics of the thermal decomposition of green river oil shale kerogen by non-isothermal thermogravimetry. Thermochim. Acta 1981, 45, 253–263. [Google Scholar] [CrossRef]
- Handle, F.; Füssl, J.; Neudl, S.; Grossegger, D.; Eberhardsteiner, L.; Hofko, B.; Hospodka, M.; Blab, R.; Grothe, H. The bitumen microstructure: A fluorescent approach. Mater. Struct. 2016, 49. [Google Scholar] [CrossRef]
- Naskar, M.; Chaki, T.; Reddy, K.S. Effect of waste plastic as modifier on thermal stability and degradation kinetcs of bitumen/waste plastic blends. Thermochim. Acta 2010, 509, 128–134. [Google Scholar] [CrossRef]
- Wunderlich, B. Thermal Analysis; Academic Press: San Diego, CA, USA, 1990; pp. 417–431. [Google Scholar]







| Name | Identity | T/ | T/ |
|---|---|---|---|
| HDPE | HDPE | 135 | - |
| iPP | iPP | 160 | - |
| APP | APP | 82/165 | −35 |
| PP Copolymer | Poly-alpha-Olefine, PP based | 51/160 | −31 |
| Wax 105 | Recycled waxy polymer, PE based | 89–105 | - |
| Wax 115 | Recycled waxy polymer, PE based | 50–115 | - |
| Name | 5 wt% Blend | 16 wt% Blend | 30 wt% Blend |
|---|---|---|---|
| HDPE | X | X | |
| iPP | X | X | |
| APP | X | X | |
| PP Copolymer | X | X | |
| Wax 105 | X | X | |
| Wax 115 | X | X |
| Polymer | 5 wt% Blend | 16 wt% Blend | 30 wt% Blend |
|---|---|---|---|
| iPP | accumulated | lamellar | - |
| HDPE | loosely distributed | continuous | - |
| APP | - | loosely distributed | continuous |
| PP Copolymer | - | continuous | continuous |
| Wax 105 | - | continuous | continuous |
| Wax 115 | - | homogeneous | homogeneous |
Publisher’s Note: MDPI stays neutral with regard to jurisdictional claims in published maps and institutional affiliations. |
© 2021 by the authors. Licensee MDPI, Basel, Switzerland. This article is an open access article distributed under the terms and conditions of the Creative Commons Attribution (CC BY) license (http://creativecommons.org/licenses/by/4.0/).
Share and Cite
Wieser, M.; Schaur, A.; Unterberger, S.H.; Lackner, R. On the Effect of Recycled Polyolefins on the Thermorheological Performance of Polymer-Modified Bitumen Used for Roofing-Applications. Sustainability 2021, 13, 3284. https://doi.org/10.3390/su13063284
Wieser M, Schaur A, Unterberger SH, Lackner R. On the Effect of Recycled Polyolefins on the Thermorheological Performance of Polymer-Modified Bitumen Used for Roofing-Applications. Sustainability. 2021; 13(6):3284. https://doi.org/10.3390/su13063284
Chicago/Turabian StyleWieser, Martin, Andreas Schaur, Seraphin Hubert Unterberger, and Roman Lackner. 2021. "On the Effect of Recycled Polyolefins on the Thermorheological Performance of Polymer-Modified Bitumen Used for Roofing-Applications" Sustainability 13, no. 6: 3284. https://doi.org/10.3390/su13063284
APA StyleWieser, M., Schaur, A., Unterberger, S. H., & Lackner, R. (2021). On the Effect of Recycled Polyolefins on the Thermorheological Performance of Polymer-Modified Bitumen Used for Roofing-Applications. Sustainability, 13(6), 3284. https://doi.org/10.3390/su13063284

