Assessment of Cubic Equations of State: Machine Learning for Rich Carbon-Dioxide Systems
Abstract
1. Introduction
1.1. A Brief Insight into Equation of State and Machine Learning
1.2. Rise of Machine Learning in Science
1.3. Aspen Fluid Package Selection
2. Materials and Methods
2.1. Cubic Equation of State
2.2. Models Development
2.2.1. EoS Phase Property Prediction Methodology for EoS Evaluation
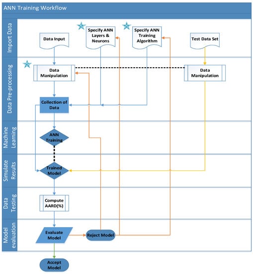
2.2.2. Machine Learning
Generation 1 and 2—Knime Analytics
Generation 3 and 4—Initial MATLAB Models for Predicting Density and Viscosity
Generation 3 and 4—Initial MATLAB Models for Predicting Density and Viscosity
Generation 6—Association with Equation of State Parameters
- Pseudo-reduced temperature and pressure.
- Peng–Robinson attraction and repulsion parameters.
- Pseudo-critical compressibility (though not incorporated in the final model).
3. Results and Discussion
3.1. Generation 1 and 2 Multi-Layered Perceptron (Knime Analytics)
3.2. Generation 3 and 4 Neural Network Prediction of Density and Viscosity (MATLAB)
3.3. Generation 3 and 4 Neural Network Prediction of Density and Viscosity (MATLAB)
3.4. Comparison of 3 and 5 Component Binary Mixtures for EoS and Generation 6 ANN with the Association of EoS (MATLAB)
3.5. Comparison of 3 and 5 Component Binary Mixtures for EoS and Generation 6 ANN with the Association of EoS (MATLAB)
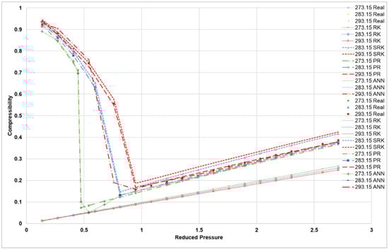
3.6. Compressibility Factor
4. Conclusions
Author Contributions
Funding
Institutional Review Board Statement
Informed Consent Statement
Data Availability Statement
Conflicts of Interest
References
- Anderson, C.; Beer, P.; Broad, R.; Brown, A.; Bui, M.; Darton, R.; Dixon, P.; Fennell, P.; Green, M.; Hackett, L.; et al. A Chemical Engineering Perspective on the Challenges and Opportunities of Delivering Carbon Capture and Storage at Commercial Scale. 2018. Available online: https://www.icheme.org/media/1401/ccs-report-2018.pdf (accessed on 25 August 2019).
- Boomsma, C.; Ter Mors, E.; Jack, C.; Broecks, K.; Buzoianu, C.; Cismaru, D.M.; Peuchen, R.; Piek, P.; Schumann, D.; Shackley, S.; et al. Community compensation in the context of Carbon Capture and Storage: Current debates and practices. Int. J. Greenh. Gas Control 2020, 101, 103128. [Google Scholar] [CrossRef]
- Tan, W.-L.; Ahmad, A.; Leo, C.; Lam, S.S. A critical review to bridge the gaps between carbon capture, storage and use of CaCO3. J. CO2 Util. 2020, 42, 101333. [Google Scholar] [CrossRef]
- National Institute of Standards and Technology. Search for Species Data by Chemical. In NIST Chemistry WebBook; National Institute of Standards and Technology: Gaithersburg, MA, USA, 2018. [Google Scholar]
- Bikmukhametov, T.; Jäschke, J. Combining machine learning and process engineering physics towards enhanced accuracy and explainability of data-driven models. Comput. Chem. Eng. 2020, 138, 106834. [Google Scholar] [CrossRef]
- Nikkholgh, M.R.; Moghadassi, A.R.; Parvizian, F. A New Approach for Estimating Compressibility Factor of Natural Gas Based on Artificial Neural Network; International Chemical Engineering Congress & Exhibition: Kish, Iran, 2009; pp. 1–6. [Google Scholar]
- Venkatasubramanian, V. The promise of artificial intelligence in chemical engineering: Is it here, finally? AIChE J. 2019, 65, 466–478. [Google Scholar] [CrossRef]
- Sizochenko, N.; Syzochenko, M.; Fjodorova, N.; Rasulev, B.; Leszczynski, J. Evaluating genotoxicity of metal oxide nanoparticles: Application of advanced supervised and unsupervised machine learning techniques. Ecotoxicol. Environ. Saf. 2019, 185, 109733. [Google Scholar] [CrossRef] [PubMed]
- Al-Jabery, K.; Obafemi-Ajayi, T.; Olbricht, G.; Wunsch, D. View on ScienceDirect Computational Learning Approaches to Data Analytics in Biomedical Applications, 1st ed.; Academic Press: Cambridge, MA, USA, 2019; Volume 1. [Google Scholar]
- Carlson, E.C. Don’t Gamble with Physical Properties for Simulations. Chem. Eng. Prog. 1996, 92, 35–46. [Google Scholar]
- Kontogeorgis, G.M.; Coutsikos, P. Thirty Years with EoS/GEModels—What Have We Learned? Ind. Eng. Chem. Res. 2012, 51, 4119–4142. [Google Scholar] [CrossRef]
- Adachi, Y.; Sugie, H.; Lu, B.C.-Y. Evaluation of cubic equation of state. J. Chem. Eng. Jpn. 1984, 17, 624–631. [Google Scholar] [CrossRef]
- Harmens, A.; Knapp, H. Three-Parameter Cubic Equation of State for Normal Substances. Ind. Eng. Chem. Fundam. 1980, 19, 291–294. [Google Scholar] [CrossRef]
- Onken, U.; Fischer, K.; Rarey, J. Estimation of Physical Properties. In Ullmann’s Encyclopedia of Industrial Chemistry; Wiley: Hoboken, NJ, USA, 2000. [Google Scholar]
- Imre, A.; Martinás, K.; Rebelo, L.P.N. Thermodynamics of Negative Pressures in Liquids. J. Non-Equilibrium Thermodyn. 1998, 23, 351–375. [Google Scholar] [CrossRef]
- Patel, N.C. The Calculation of Thermodynamic Properties and Phase Equilibria Using a New Cubic Equation of Stat. 1980. Available online: https://repository.lboro.ac.uk/articles/thesis/The_calculation_of_thermodynamic_properties_and_phase_equilibria_using_a_new_cubic_equation_of_state/9237890 (accessed on 10 August 2019).
- Forero, G.L.A.; Velásquez, J.J.A. A modified Patel–Teja cubic equation of state: Part I—Generalized model for gases and hydrocarbons. Fluid Phase Equilibria 2013, 342, 8–22. [Google Scholar] [CrossRef]
- Salehpour, A.R.; Nasrifar, K. Predicting the Liquid Density of Gas Condensates and LNG Mixtures from Equations of State. J. Algorithms Comput. 2013, 42, 257–268. Available online: https://jac.ut.ac.ir/article_7751.html. (accessed on 27 August 2019).
- Graboski, M.S.; Daubert, T.E. A Modified Soave Equation of State for Phase Equilibrium Calculations. 3. Systems Containing Hydrogen. Ind. Eng. Chem. Process. Des. Dev. 1979, 18, 300–306. [Google Scholar] [CrossRef]
- AspenTech. Aspen HYSYS; AspenTech: Bedford, MA, USA, 2019. [Google Scholar]
- Fateen, S.-E.K.; Khalil, M.M.; Elnabawy, A.O. Semi-empirical correlation for binary interaction parameters of the Peng–Robinson equation of state with the van der Waals mixing rules for the prediction of high-pressure vapor–liquid equilibrium. J. Adv. Res. 2013, 4, 137–145. [Google Scholar] [CrossRef] [PubMed]
- Mohagheghian, E.; Zafarian-Rigaki, H.; Motamedi-Ghahfarrokhi, Y.; Hemmati-Sarapardeh, A. Using an artificial neural network to predict carbon dioxide compressibility factor at high pressure and temperature. Korean J. Chem. Eng. 2015, 32, 2087–2096. [Google Scholar] [CrossRef]
- Nazeri, M.; Chapoy, A.; Burgass, R.; Tohidi, B. Measured densities and derived thermodynamic properties of CO2-rich mixtures in gas, liquid and supercritical phases from 273 K to 423 K and pressures up to 126 MPa. J. Chem. Thermodyn. 2017, 111, 157–172. [Google Scholar] [CrossRef]
- Hwang, C.-A.; Iglesias-Silva, G.A.; Holste, J.C.; Hall, K.R.; Gammon, B.E.; Marsh, K.N. Densities of Carbon Dioxide + Methane Mixtures from 225 K to 350 K at Pressures up to 35 MPa. J. Chem. Eng. Data 1997, 42, 897–899. [Google Scholar] [CrossRef]
- Mazzoccoli, M.; Bosio, B.; Arato, E. Pressure–Density–Temperature Measurements of Binary Mixtures Rich in CO2 for Pipeline Transportation in the CCS Process. J. Chem. Eng. Data 2012, 57, 2774–2783. [Google Scholar] [CrossRef]
- Gaganis, V.; Homouz, D.; Maalouf, M.; Khoury, N.; Polychronopoulou, K. An Efficient Method to Predict Compressibility Factor of Natural Gas Streams. Energies 2019, 12, 2577. [Google Scholar] [CrossRef]














| Cubic Equation | a | b | c | Simplified Equation |
|---|---|---|---|---|
| Van der Waals | a | 0 | 0 | |
| Redlich and Kwong | b | 0 | ||
| Soave Modified Redlich Kwong | b | 0 | ||
| Peng Robinson | b | B | ||
| Harmens-Knapp | ||||
| Schmidt-Wenzel | ||||
| Patel-Teja | ||||
| Modified Nasrifar Moshfeghian | ||||
| Cubic Equation | a | B | α |
|---|---|---|---|
| Redlich and Kwong | |||
| Soave Modified Redlich Kwong | |||
| Peng Robinson |
| Carbon Dioxide | Nitrogen | Methane | Argon | Oxygen | |
|---|---|---|---|---|---|
| Carbon Dioxide | 0 | −2.00 × 10−2 | 0.1 | 0 | 9.75 × 10−2 |
| Nitrogen | −2.00 × 10−2 | 0 | 3.60 × 10−2 | 0 | −1.20 × 10−2 |
| Methane | 0.1 | 3.60 × 10−2 | 0 | 2.30 × 10−2 | 0 |
| Argon | 0 | 0 | 2.30 × 10−2 | 0 | 1.04 × 10−2 |
| Oxygen | 9.75 × 10−2 | −1.20 × 10−2 | 0 | 1.04 × 10−2 | 0 |
| Carbon Dioxide | Nitrogen | Methane | Argon | Oxygen | |
|---|---|---|---|---|---|
| Carbon Dioxide | 0 | −1.71 × 10−2 | 9.56 × 10−2 | 0 | 9.75 × 10−2 |
| Nitrogen | −1.71 × 10−2 | 0 | 3.12 × 10−2 | −2.00 × 10−3 | −1.40 × 10−2 |
| Methane | 9.56 × 10−2 | 3.12 × 10−2 | 0 | 3.90 × 10−2 | 0 |
| Argon | 0 | −2.00 × 10−3 | 3.90 × 10−2 | 0 | 1.60 × 10−2 |
| Oxygen | 9.75 × 10−2 | −1.40 × 10−2 | 0 | 1.60 × 10−2 | 0 |
| Component | RMM | Critical Properties | Acentric Factor (Unitless) | Standard Ideal Gas Formation of | |||
|---|---|---|---|---|---|---|---|
| Pressure, MPa | Temperature, K | Volume, m3/mol | Enthalpy (kJ/mol) | Gibbs Energy (kJ/mol) | |||
| Carbon Dioxide | 44.010 | 7.38 | 304.18 | 9.4120 × 10−5 | 0.228 | −393.51 | −394.39 |
| Nitrogen | 28.013 | 3.40 | 40.55 | 8.9081 × 10−5 | 0.040 | 0 | 0 |
| Methane | 16.043 | 4.60 | 190.56 | 9.8630 × 10−5 | 0.011 | −74.8 | −50.8 |
| Argon | 39.948 | 4.87 | 150.8 | 7.4303 × 10−5 | 0 | 0 | 0 |
| Oxygen | 31.998 | 5.05 | 154.6 | 7.9997 × 10−5 | 0.022 | 0 | 0 |
| Input | Output | Relative Deviation (%) | ARD (%) | |||
|---|---|---|---|---|---|---|
| Phase | Temperature (K) | Pressure (MPa) | Density (kg/m3) | |||
| Experimental | Calculated | |||||
| L | 6.71 | 88.8 | 385.2 | 820.4 | 112.98 | 112.98 |
| L | 51.73 | 107.36 | 1071.4 | 1082.5 | 1.04 | 1.04 |
| G | 1.81 | 3.76 | 59.2 | 56.5 | −4.58 | 4.58 |
| L | 6.36 | 81.08 | 239.8 | 758.2 | 216.13 | 216.13 |
| L | 22.57 | 95.63 | 943.5 | 943.8 | 0.04 | 0.04 |
| L | 36.41 | 100.46 | 997.5 | 1008.3 | 1.08 | 1.08 |
| L | 54.13 | 105.21 | 1049.7 | 1061.6 | 1.13 | 1.13 |
| L | 105.09 | 114.13 | 1145.2 | 1141.2 | −0.35 | 0.35 |
| L | 50.12 | 99.96 | 996.4 | 1010.0 | 1.36 | 1.36 |
| L | 126.33 | 114.56 | 1142.9 | 1149.7 | 0.59 | 0.59 |
| G | 2.19 | 3.74 | 46.3 | 39.0 | −15.59 | 15.59 |
| SC | 15.88 | 64.24 | 732.5 | 723.9 | −1.18 | 1.18 |
| SC | 54.07 | 94.15 | 942.9 | 942.9 | 0.00 | 0.00 |
| SC | 77.97 | 100.87 | 1012.0 | 1012.1 | 0.01 | 0.01 |
| SC | 26.16 | 56.85 | 612.0 | 611.8 | −0.02 | 0.02 |
| SC | 77.94 | 90.08 | 907.3 | 909.2 | 0.21 | 0.21 |
| Min | −15.59 | Average | ||||
| Max | 216.13 | 22.27 | ||||
| Input | Output | |||||
|---|---|---|---|---|---|---|
| Phase | Temperature (K) | Pressure (MPa) | Density (kg/m3) | Relative Deviation (%) | ARD (%) | |
| Experimental | Calculated | |||||
| L | 273.4 | 6.71 | 888 | 820.4 | −7.61 | 7.61 |
| L | 273.4 | 51.73 | 1073.6 | 1082.5 | 0.83 | 0.83 |
| G | 283.3 | 1.81 | 37.6 | 56.5 | 50.15 | 50.15 |
| L | 283.3 | 6.36 | 810.8 | 758.2 | −6.49 | 6.49 |
| L | 283.3 | 22.57 | 956.3 | 943.8 | −1.30 | 1.30 |
| L | 283.3 | 36.41 | 1004.6 | 1008.3 | 0.37 | 0.37 |
| L | 283.3 | 54.13 | 1052.1 | 1061.6 | 0.90 | 0.90 |
| L | 283.3 | 105.09 | 1141.3 | 1141.2 | −0.01 | 0.01 |
| L | 298.4 | 50.12 | 999.6 | 1010.0 | 1.04 | 1.04 |
| L | 298.4 | 126.33 | 1145.6 | 1149.7 | 0.36 | 0.36 |
| G | 323.4 | 2.19 | 37.4 | 39.0 | 4.40 | 4.40 |
| SC | 323.4 | 15.88 | 642.4 | 723.9 | 12.69 | 12.69 |
| SC | 323.4 | 54.07 | 941.5 | 942.9 | 0.14 | 0.14 |
| SC | 323.4 | 77.97 | 1008.7 | 1012.1 | 0.34 | 0.34 |
| SC | 373.5 | 26.16 | 568.5 | 611.8 | 7.63 | 7.63 |
| SC | 373.5 | 77.94 | 900.8 | 909.2 | 0.94 | 0.94 |
| Min | −7.61 | Average | ||||
| Max | 50.15 | 5.95 | ||||
| Prediction of Viscosity | |||
|---|---|---|---|
| Density | Gen 3 (No Density) | Gen 4 (With Density) | |
| Min Deviation (%) | −1.014 | −37.670 | −8.469 |
| Max Deviation (%) | 1.144 | 34.959 | 5.807 |
| AARD (%) | 0.230 | 4.121 | 1.130 |
| Number of Folds | SVM Accuracy (%) | |||||
|---|---|---|---|---|---|---|
| Linear | Quadratic | Cubic | Fine Gaussian | Medium Gaussian | Coarse Gaussian | |
| 1 (No Validation) | 96.80 | 100.00 | 100.00 | 98.40 | 88.90 | 76.20 |
| 2 | 88.90 | 96.80 | 98.40 | 90.50 | 85.70 | 74.60 |
| 4 | 95.20 | 93.70 | 98.40 | 93.70 | 85.70 | 77.80 |
| 6 | 88.90 | 90.50 | 93.70 | 88.90 | 74.60 | 69.80 |
| 8 | 96.80 | 96.80 | 95.20 | 95.20 | 82.50 | 76.20 |
| 10 | 96.80 | 95.20 | 98.40 | 96.80 | 85.70 | 76.20 |
| 15 | 95.20 | 93.70 | 93.70 | 93.70 | 82.50 | 74.60 |
| 20 | 96.80 | 96.80 | 95.20 | 96.80 | 84.10 | 77.80 |
| 30 | 96.80 | 95.20 | 96.80 | 95.20 | 85.70 | 74.60 |
| 40 | 96.80 | 95.20 | 95.20 | 96.80 | 84.10 | 76.20 |
| 50 | 96.80 | 95.20 | 96.80 | 96.80 | 84.10 | 76.20 |
| RK | SRK | PR | ANN | |
|---|---|---|---|---|
| Maximum ARD (%) | 98.77 | 290.09 | 271.83 | 65.70 |
| AARD (%) | 52.25 | 14.98 | 7.46 | 2.81 |
| RK | SRK | PR | ANN | |
|---|---|---|---|---|
| Maximum ARD (%) | 569.89 | 659.02 | 638.98 | 553.57 |
| AARD (%) | 79.77 | 19.39 | 13.29 | 12.24 |
Publisher’s Note: MDPI stays neutral with regard to jurisdictional claims in published maps and institutional affiliations. |
© 2021 by the authors. Licensee MDPI, Basel, Switzerland. This article is an open access article distributed under the terms and conditions of the Creative Commons Attribution (CC BY) license (http://creativecommons.org/licenses/by/4.0/).
Share and Cite
Truc, G.; Rahmanian, N.; Pishnamazi, M. Assessment of Cubic Equations of State: Machine Learning for Rich Carbon-Dioxide Systems. Sustainability 2021, 13, 2527. https://doi.org/10.3390/su13052527
Truc G, Rahmanian N, Pishnamazi M. Assessment of Cubic Equations of State: Machine Learning for Rich Carbon-Dioxide Systems. Sustainability. 2021; 13(5):2527. https://doi.org/10.3390/su13052527
Chicago/Turabian StyleTruc, George, Nejat Rahmanian, and Mahboubeh Pishnamazi. 2021. "Assessment of Cubic Equations of State: Machine Learning for Rich Carbon-Dioxide Systems" Sustainability 13, no. 5: 2527. https://doi.org/10.3390/su13052527
APA StyleTruc, G., Rahmanian, N., & Pishnamazi, M. (2021). Assessment of Cubic Equations of State: Machine Learning for Rich Carbon-Dioxide Systems. Sustainability, 13(5), 2527. https://doi.org/10.3390/su13052527

