Abstract
In this research, we developed a four-phase model, which takes the aggregate gradation and porosity into account in the prediction of the elastic modulus of concrete, based on the micromechanical theories. The model has been verified with experimental results. First, using the Mori Tanaka and the differential self-consistent (DSC) methods, the pores in both the mortar and interfacial transition zone (ITZ) were homogenized. Then, the continuously graded aggregates were divided into finite aggregate size intervals. Further, using the generalized self-consistent model and multiphase composite model derived from the Mori Tanaka method, an aggregate gradation model for the prediction of the elastic modulus of concrete was developed. By simulating the pores in concrete with expanded polystyrene sphere (EPS) grains, the effect of overall porosity on the elastic modulus of concrete was investigated. The research results show that aggregate gradation and porosity have remarkable influence on the elastic modulus of concrete, and the proposed model is effective to estimate the elastic modulus of concrete, the deviation between the predicted elastic modulus and experimental elastic modulus is less than 8%. The elastic modulus decreases with increasing ITZ porosity. However, for ITZ porosity exceeding 40%, the decrease in the elastic modulus is large with increasing ITZ porosity. For a fixed overall porosity, the ITZ porosity owned more influences than the mortar porosity on the elastic modulus of concrete. Enhancing the ITZ elastic modulus and decreasing the ITZ thickness are efficient in increasing the elastic modulus of concrete.
1. Introduction
Various kinds of pores and microcracks are distributed in concrete, and the main pore structure types include gel pore, capillary pore, internal bleeding pore, horizontal crack, residual pore, interfacial microcrack, etc. [,]. The gelation pore and the capillary pore less than 50 nm mainly affect the dry shrinkage and creep of concrete. Pores larger than 50 nm, internal bleeding holes, horizontal cracks, residual pores and interfacial microcracks may have a greater impact on concrete strength []. During the initial pouring and curing stage, there are no less than 10% pores in the concrete. As part of the pouring process, the internal and external temperatures, humidity, and hydration degree of the cementitious material all change []. Under an external load, the internal pores of concrete continue to expand throughout the concrete and generate new cracks, and these eventually form macroscopic cracks that lead to the overall concrete structural instability and failure []. Although the initial pores are small in size and occupy only a small percentage volume in the concrete, they often affect the degree of expansion and the distribution of the cracks. These effects are regarded as the reasons for the nonlinearity of the macro mechanical behavior of concrete. As one of the important parameters characterizing the macro mechanical properties of concrete, elastic modulus is also an important parameter in the study of porous materials, and many prediction models have been developed in earlier studies [,,].
Semiempirical models were the first models used for the prediction of the elastic modulus of porous materials, but their accuracies depended on the empirical parameters used [,]. Subsequently, the Kuster–Toksoz method [,] and the Mori–Tanaka method [,] were used for the prediction of the elastic modulus of porous concrete. In the study of reference [], a three-phase spherical model and a hollow cylindrical tube model were used to determine the effective modulus of porous concrete. However, all the above mentioned models basically belong to two-phase models, which comprise pores embedded in an ideal pore-free concrete matrix, besides, pores in the interfacial transition zone (ITZ) cannot be distinguished from pores in the mortar. Moreover, these models cannot readily reflect the effect of other mesocomponents in concrete on the elastic modulus. In the study of reference [], a finite element-based multiscale model is employed to examine the early-age mechanical behavior of cementitious composites under a mode-I loading condition.
The ITZ has relatively high porosity and is regarded as the weakest part of the mechanical properties of concrete, and the porosity of ITZ can usually reach 25–45% [,]. On the contrary, the mortar has relatively low porosity but accounts for a large overall area of pores, and the porosity of mortar only can reach 15–25% [,,]. Jiang et al. developed a numerical model, which can model the distributions of the pores in the ITZ and in the mortar []. Using a composite sphere assemblage model for porous materials, Nguyen et al. developed a theoretical method, which can consider the pores in the ITZ and in the mortar []. Based on the Mori–Tanaka method, Xiao et al. showed that the pores in the ITZ have more effect on the elastic modulus of concrete, as compared with those in the mortar []. Furthermore, the existing prediction models generally do not include the effect of aggregate gradation on the elastic modulus of concrete.
The aggregate occupies a large proportion in concrete and has a relatively high elastic modulus. Hence, its structural composition has a direct effect on the elastic modulus of concrete [,]. Li et al. investigated the effects of maximum aggregate size and aggregate gradation on the elastic modulus of concrete, in which the graded aggregates were divided into limited grades [,]. Zhu et al. to consider the interface effect, the concept of “effective aggregate” is put forward, namely, the Young’s modulus and Poisson’s ratio for each aggregate particle are replaced by an effective Young’s modulus and effective Poisson’s ratio []. The effect of aggregate gradation on the elastic modulus of concrete was considered indirectly by adjusting the percentage volume of ITZ in concrete [,]. However, different researchers use different methods to quantify the percentage volume of ITZ. Therefore, the objective of this study is to develop a four-phase model comprises of aggregate, mortar, ITZ, and pore. In this study, the effects of aggregate gradation and porosity, and the influential parameters, such as the aggregate gradation, porosity distributions in both the mortar and ITZ, thickness and elastic modulus of ITZ, on the elastic modulus of concrete were investigated.
Mechanics characteristic of concrete added to a physical mixture has been studied, in the study of Yunchao Tang and Lijuan Li [], the physical and mechanical property of rubber-modified recycled aggregate concrete samples with rubber contents of 0%, 4% and 9% were studied after exposure to 20 °C, 200 °C, 400 °C and 600 °C for 60 min, and based on the obtained results, a rubber content of 4% is recommended for use in rubber-modified recycled aggregate concrete. In the study of Yunchao Tang and Lijuan Li [], the axial compression behavior of recycled-aggregate-concrete-filled glass fiber reinforced polymer–steel composite tube columns, and three recycled-aggregate replacement ratios (25%, 50% or 100%), three slenderness ratios (20, 30 or 40) of glass fiber reinforced polymer and the recycled-aggregate replacement ratio had little impact on the bearing capacity and the replacement ratio of over 50% did exhibit excellent ductility. EPS (expanded polystyrene sphere) is a kind of light polymer with strong hydrophobicity, stable performance and was non-volatile. The EPS particle belongs to the porous materials, and has closed pore content more than 98%. Its elastic modulus is very low, generally between 2.5 and 11.5 MPa, and its strength is also very low. As compared with the mechanical properties of aggregate and mortar, expanded polystyrene (EPS) has such properties as lightweight, low strength and hydrophobicity. Therefore, EPS is suitable to be used as the pore structure in concrete [,,]. Hence, the pores in concrete have been simulated with EPS grains and the aggregate gradation has been measured, so as to investigate the effects of porosity and aggregate gradation on the elastic modulus of concrete. The effectiveness of the developed model has been verified with the results from physical experiments.
2. Micromechanical Model
At the mesoscopic scale, it is well accepted in this discipline that all of the aggregate, mortar and ITZ in concrete are isotropic, linear elastic media. On the other hand, the pores have been assumed to have sizes ranging from nanometer to millimeter, belonging to a multiscale concept, and have various shapes in different directions. In this study, all the pores in concrete have been assumed to be spherical and homogeneous, both in the mortar and ITZ. The overall volume of the pores has been quantified in the form of porosity. Figure 1 demonstrates a micromechanical model, which has been developed using the two-step equivalent method, as follows. Step 1, a two-phase model has been constructed with the mortar or interface as a matrix, which includes the pores, so as to determine the effective properties of the equivalent mortar and equivalent ITZ. Step 2, using the generalized self-consistent model and the multiphase composite model derived from the Mori–Tanaka method, a four-phase model for the prediction of the elastic modulus of concrete has been developed, with parameters such as aggregate gradation, and ITZ.

Figure 1.
A simplified four-phase model of concrete.
2.1. Volume Fractions
At the mesoscopic scale, concrete has been considered as a composite material, comprises of three components, i.e., aggregate, mortar and ITZ. There are pores in the mortar and ITZ. Thus, the volume fractions of these three components should add up to one, as follows:
where fa is the volume fraction of the aggregate, which can be calculated from the concrete mix proportions; and fm is the volume fraction of the mortar, which can be calculated based on the reference [], and fm can be calculated through Equation (2). Then, the volume fraction of ITZ, fi, can be calculated with Equation (1).
where h is the thickness of ITZ, , A = 0; , , , , is the quantity average diameter of aggregate and and are the second-order origin moment and third-order origin moment of the average diameter of the aggregate quantity.
If the overall porosity of concrete is fp, and the ITZ porosity is fip, then the mortar porosity fmp can be determined from Equation (3). It is noted that both the porosities in ITZ and mortar are the relative porosity.
2.2. Equivalent Mortar and Equivalent ITZ (Step 1)
In the two-phase model, only the artificially increased pores in the mortar or those in the ITZ were considered. Further, the pores in the mortar and in the ITZ were connected to each other. First, the effective modulus of the equivalent mortar comprised of pores embedded in a mortar matrix was determined using the Mori–Tanaka method, as is shown in Figure 2a. To simplify the calculation, the pores in the model have been assumed to be in the gas state. Hence, their bulk modulus and shear modulus are both zero. The expressions for the bulk modulus, , and shear modulus, , of the equivalent mortar are as follows:
where km and μm are the bulk modulus and shear modulus of the mortar matrix, respectively.

Figure 2.
The homogenization procedures.
Further, Figure 2b shows a two-phase model with the ITZ as a matrix and the pores are embedded in the ITZ. Since the porosity in the ITZ is high, it is inaccurate to use the Mori–Tanaka method to carry out the predictions, especially for porosity greater than 0.3–0.4. On the other hand, the differential self-consistent (DSC) method can give accurate predictions for a matrix with high porosity, which is more suitable to our research condition []. Therefore, in this current research it is proposed to adopt the DSC method to determine the effective bulk modulus and shear modulus of the equivalent ITZ, which could be discovered in Equations (6)–(8).
where ki, μi and νi are the bulk modulus, shear modulus, and Poisson’s ratio of the ITZ matrix, respectively; besides, and are the bulk modulus and shear modulus of the equivalent ITZ, accordingly.
2.3. Prediction Model of Elastic Modulus of Concrete Comprises of Equivalent Mortar and Equivalent Inclusion (Step 2)
In order to include the effect of ITZ on the elastic modulus of concrete, the aggregates were simplified as spheres based on the generalized self-consistent model []. The aggregates and the equivalent ITZ constitute an equivalent inclusion, as shown in Figure 3. The expression for the corresponding effective bulk modulus, khom, is as follows:
where c = (ρ/b)3, in which ρ is the radius of the aggregate and b is the radius of the equivalent inclusion; and ka is the bulk modulus of the aggregate. Furthermore, by assuming that the thickness of the ITZ is not influenced by aggregate size and there is no overlap of ITZ layers between neighboring aggregates, (b–ρ) is supposed to be the thickness of the ITZ.

Figure 3.
The generalized self-consistent model.
For the effective shear modulus, μhom, of the equivalent inclusion, the generalized self-consistent model gives an implicit expression:
where, νa and νi are the Poisson’s ratios of the aggregate and ITZ, respectively. Equation (10) has two roots, and the positive root is taken as the solution of this equation.
In a real concrete, the aggregates of different sizes are surrounded by a continuous mortar matrix. In this study, the continuously graded aggregates were divided into N-level aggregate size intervals. The arithmetic average of the upper and lower limits of each aggregate size interval were used as the average aggregate size dr (r = 1, 2, …, N) of the corresponding interval. Further, the volume fraction of the rth-phase aggregate dr was measured in the experiment. The effective module and (r = 1, 2, …, N) of the rth-phase equivalent inclusion have been calculated using Equations (9)–(16), respectively. Hence, the continuously graded aggregates in concrete can be simplified as finite average aggregates. Then, using the multiphase composite model derived from the Mori–Tanaka method, a prediction model comprising the equivalent mortar matrix, and the finite equivalent inclusions was developed, as is shown in Figure 4.
where, , and cr are the bulk modulus, shear modulus and volume fraction of the rth phase equivalent inclusion, respectively; and k and μ are the effective bulk modulus, and shear modulus of concrete, respectively, Fm is constant, and it has no physical meaning.

Figure 4.
A prediction model comprising equivalent mortar and finite equivalent inclusions.
2.4. Effective Elastic Modulus and Poisson’s Ratio of Concrete
After forming the equivalent model according to the procedures in Section 2, the effects of the porosity distribution and the aggregate gradation on the effective bulk modulus, k, and the effective shear modulus, μ, of concrete can be determined. If the aggregate, mortar and ITZ are all isotropic, and the pores are homogeneous in the concrete, then the concrete can be considered as an isotropic material, which has only two elastic constants, i.e., bulk modulus and shear modulus. Then, the effective elastic modulus, E, and Poisson’s ratio, ν, of the concrete can be determined from the following equations:
3. Experiment and Verification of Model
3.1. Experimental Program
Mesoscopic pores have a great influence on the mechanical properties of concrete, and the purpose of this study is to investigate the effect of new microscopic pores on the elastic modulus. In order to verify the prediction model, the concrete specimens of three different water–cement ratios and four different porosities have been tested. Zhou et al. showed that if the EPS (expanded polystyrene sphere) grains of about 1 mm diameter is used in an experiment, there is no floating phenomenon in the concrete vibration []. So, EPS grains of about 1 mm diameter have been used in the experiment to simulate the pores, with porosity fp of 1%, 3% and 5%. In this study, the porosity has been defined as the percentage of the apparent volume of EPS grains to the overall volume of concrete. Mesoscopic pores (10−6–10−3 m) have a great influence on the mechanical properties of concrete, and the purpose of this study was to investigate the effect of new microscopic pores on the elastic modulus. EPS grains of about 1 mm diameter were used in this research to simulate the newly added mesoporosity. Since there is no absolutely compacted concrete in existence, the mesoscopic pore was artificially increased by 1%, 3%, 5%, which did not include natural porosity. The natural porosity of concrete still existed in this research, so the total porosity of concrete in this study was higher than the actual porosity.
After fixing the porosity, the volume of the pores (EPS) needing to be fabricated in concrete is known. Then, the volume of the EPS grains needing to be fabricated is controlled indirectly by measuring the mass of the EPS grains. Since the EPS grains are lightweight, an electronic balance with an accuracy of 0.001 g was used to weigh the mass of the EPS grains. Thereafter, the weighed EPS grains were mixed evenly with sand or cement, the mixture was poured into a mixing tank, and mixed evenly with the other mixtures. Cylindrical specimens of 300 mm of height and 150 mm in diameter have been used to determine the static compressive elastic modulus of concrete. The specimens were placed in a standard curing chamber, with a temperature of 20 ± 2 °C, and a relative humidity above 95%. The specimens were cured for 28 days. The static compressive elastic modulus test of concrete was performed according to Chinese National Standard DL/T 5150-2017 Test Code for Hydraulic Concrete and GB/T 50081-2019 Standards for Test Method of Mechanical Properties on Ordinary Concrete. The EPS particles mixed in concrete and the elastic modulus test of concrete were shown in Figure 5 and Figure 6. The specimen size, curing conditions and method of determination in the mortar experiment were regarded as the same as those in the concrete experiment mentioned above.

Figure 5.
The expanded polystyrene sphere (EPS) particles are mixed in concrete.

Figure 6.
The elastic modulus of concrete is measured.
In the determination of the elastic modulus, the specimen should be preloaded first, and the load should be uniformly applied to 40% of the axial compressive strength , which was the control load of the elastic modulus test. The loading rate was 0.3 MPa/s, and the unloading speed was the same to zero, so repeatedly preloading three times, until the difference between the two adjacent deformation was no more than 0.003 mm, otherwise the above process should be repeated. It was worth noting that when the difference between the deformation values obtained on both sides of the specimen was greater than 20% of the average deformation values on both sides, the position of the specimen should be adjusted until the requirements were met. After preloading, the specimens were formally tested, and the loading rate was the same as that during preloading. First, it was loaded to the initial load with the stress of 0.5 MPa, and the load was continuously loaded for 30 s, the initial deformation value was tested. Then the load was increased in turn and the deformation value was measured, and the deformation value under each load (at least 6) was recorded. When the loading stress reached 50% (0.5) of the axial compressive strength, the micrometer was removed. The static compressive elastic modulus of the specimen was calculated according to Equation (24).
where, was the initial load, which the stress was 0.5 MPa (N); was the control load, which the stress was 0.4 (N); A was the section area of the specimen (mm2); was the standard spacing for measurement (mm) and was the deformation value of the specimen from to (mm).
3.2. Raw Materials and Mix Proportion
In this experiment, the ordinary Portland cement Dunshi 32.5R, produced by Shaanxi Jidong Cement Plant, was used. The water requirement for normal consistency of cement was 28.6% (mass fraction), the cement soundness was qualified, the initial setting time of cement was 4.2 h, the final setting time of cement was 5.3 h, the compressive strength of cement mortar for 28 d was 39.6 MPa and the flexural strength of cement mortar for 28 d was 6.56 MPa. The EPS primary particles of about 1 mm diameter were purchased from the market. The particles were of homogeneous grain size, spherical and had a smooth surface, a bulk density of 27 kg/m3 and an apparent density of 47 kg/m3. The fine aggregates were fluvial sand from the Weihe River, belonging to medium sand. The coarse aggregates were river aggregates from the Yangling reach of the Weihe River, with rock types including mainly granite, diorite and sandstone, and a little quartzite, and gneiss. Under the saturated surface dry condition, the maximum aggregate size was 40 mm, with a density of about 2730 kg/m3 and an elastic modulus of about 50 GPa []. Table 1 displays the measured aggregate gradation.

Table 1.
Results of aggregate grading test.
The experimental control factors include water cement ratio and EPS content, and the water to cement ratio (w/c) were 0.65, 0.55 and 0.42 respectively, which correspond to the concrete specimen numbers C-65, C-55 and C-42, and there was no superplasticizer added to the testing concrete. For each concrete specimen, there were four different porosities, i.e., 0%, 1%, 3% and 5%, which did not include natural porosity. The natural porosity of concrete still existed in this research. The corresponding concrete specimen numbers were C-65-0, C-65-1, C-65-3 and C-65-5. With the wet filtering method, the material of the mortar specimens was obtained by filtering off the coarse aggregates with a grain size bigger than 5 mm from the original concrete. The corresponding mortar specimen numbers were M-65-0, M-55-0 and M-42-0, and there were no EPS grains in the mortar specimens. In this study, 15 experimental groups were set and six specimens were set in each experimental group, among which three specimens were used to measure the axial compressive strength of concrete and the other three specimens were used to measure the elastic modulus of concrete. A total of 90 specimens were tested. It is worth noting that the measured data of the concrete axial compressive strength were used to measure the elastic modulus. The detailed mixture ratios of the concrete and mortar specimens are shown in Table 2.

Table 2.
Concrete and mortar mix proportions.
3.3. Experimental Results
Figure 5 shows the EPS grain distribution status in the fractured specimens of the splitting tensile strength test of concrete. It can be seen that for all tested porosities, the EPS grains in concrete were distributed in a relatively homogeneous manner. The grains were mainly in the mortar, which basically agreed with the assumption of homogeneous distribution of pores in the developed model. On the other hand, there were some EPS grains around the aggregates and at the aggregate peeling places. This is an indication that the EPS grains were also distributed to the ITZ. For all the tested concrete mix proportions, and for the EPS grains in the mortar, they were assumed to be in the mortar pores. Similarly, for the EPS grains in the contact surface between the aggregate and mortar, they were assumed to be in the interface pores. The amount of EPS grains in the aggregate edge section was recorded. Figure 7 shows a representative cross section. Based on the statistics of EPS grains distribution in the cross section of the numerous concrete representative cross section obtained by splitting test specimens, it shows that when the artificially increased porosities in concrete were 1%, 3% and 5%, the corresponding artificially increased ITZ porosity in concrete were 34%, 37% and 40%, respectively, and the ITZ porosity was consistent with the measured data by references []. Further, the mortar porosity can be calculated using Equation (3). The experimental results of the static compressive elastic modulus of concrete and mortar are shown in Table 3. It can be seen that the elastic modulus of concrete decreased with increasing porosity. The elastic modulus should be calculated as the arithmetic mean of the measured value of three specimens. Besides, in case the difference between the maximum or minimum elastic modulus of one specimen and intermediate elastic modulus of three specimens was 15% over the intermediate elastic modulus, the intermediate elastic modulus of these three specimens should be taken as the value of the elastic modulus. The test will be invalid in the event of two specimens obeying the above provision, at this time, this experiment must be repeated.

Figure 7.
The distribution of EPS grains in concrete.

Table 3.
Test results of elastic modulus of concrete (GPa).
3.4. Verification of Model
Even though many concrete parameters were tested in this study, the values of some ITZ parameters could be taken from the literature. The Poisson’s ratios of the aggregate, mortar and ITZ were taken as νa = 0.15, νm = 0.2 and νI = 0.3, respectively []. For intrinsic concrete (fp = 0), the elastic modulus of the ITZ was taken as 0.4 times the elastic modulus of mortar [], i.e., Ei = 0.4Em. The thickness h of the ITZ was assumed 50 μm [,]. The natural pores were inevitable, the prediction model considered the effect of natural pores, and the effects of natural pores were already contained in the computational parameters of aggregate, mortar and ITZ. The computational parameters of aggregate, mortar and ITZ were measured experimentally, and these computational parameters were described in Table 4. It is worth noting that the effect of natural pores on the elastic modulus was included in the computational parameters of aggregate, mortar and ITZ. From Table 1, the continuously graded aggregates were divided into nine aggregate size intervals. The average aggregate size and the volume fraction of each aggregate size interval could be calculated. Thus, the predicted results of the elastic modulus of concrete at different porosities could be determined by solving Equations (1)–(23), as shown in Table 5.

Table 4.
Material data of concrete components.

Table 5.
Predicted results of the elastic modulus of concrete (GPa).
The predicted effective elastic modulus from the developed model was compared with the experimental elastic modulus, as shown in Table 6. The predicted elastic modulus was greater than the experimental elastic modulus. However, for all test cases, the differences were less than 7.72%. This is an indication that the developed four-phase model was effective in giving accurate estimate of the elastic modulus of concrete. In the study of references [,,], the deviation between the predicted value and the test value were 8.91%, 9.27% and 10.61%, respectively. The difference in deviation was caused by the different factors involved in different prediction models, concrete porosity was not involved, only ITZ is considered in the prediction model of reference [,], mortar pores and interfacial pores were not distinguished in reference []. In this research, a four-phase model, which takes the aggregate gradation, ITZ porosity and mortar porosity into account in the prediction of the elastic modulus of concrete, was formed based on the micromechanical theories.

Table 6.
Comparisons of theoretical and experimental effective elastic modulus.
4. Analyses and Discussion
4.1. Effect of ITZ Porosity
Using C-42-3 concrete as an example, the effect of the ITZ porosity fip on the elastic modulus of concrete was analyzed, and the results are shown in Figure 8. It can be seen that the elastic modulus of concrete decreased with increasing ITZ porosity. For 0 < fip ≤ 0.4, the decrease in the elastic modulus of concrete was small with increasing ITZ porosity. However, for fip > 0.4, the decrease in the elastic modulus was large with increasing ITZ porosity. This is an indication that the effect of the ITZ porosity on the elastic modulus increased with increasing ITZ porosity. Further, as fip increased from 0 to 0.8, fmp only changed by 1%, which shows that the decrease in the elastic modulus was mainly caused by the increase in the ITZ porosity. Furthermore, the effect was greater for thicker ITZ. Thus, a thinner ITZ, with a smaller ITZ porosity gave a greater elastic modulus of concrete.

Figure 8.
Effects of porosity and thickness of ITZ on the effective elastic modulus of concrete.
4.2. Effect of the Elastic Modulus of ITZ
Using C-42-0 concrete as an example, the effects of the elastic modulus and the thickness of the ITZ on the elastic modulus of concrete are shown in Figure 9. It can be seen that the elastic modulus of concrete increased with increasing Ei/Em. For Ei/Em < 0.4, the effective elastic modulus of concrete increased rapidly with increasing elastic modulus of ITZ. On the other hand, for Ei/Em > 0.4, the elastic modulus of concrete increased gently with increasing elastic modulus of ITZ. Further, the elastic modulus decreased with increasing ITZ thickness. Therefore, a thinner ITZ with a greater ITZ elastic modulus gave a greater elastic modulus of concrete.

Figure 9.
Effects of elastic modulus and thickness of ITZ on the effective elastic modulus of concrete.
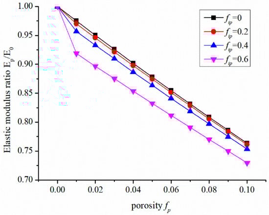
4.3. Effect of Overall Porosity
In order to significantly illustrate the effect of porosity on concrete elastic modulus, the value range of total porosity was 0–10%, and the porosity was different from the actual porosity of concrete. Using C-42-0 concrete as an example, the effect of porosity on the elastic modulus and Poisson’s ratio of concrete were investigated, and the results are shown in Figure 10 and Figure 11. From Figure 10, it can be seen that the elastic modulus of concrete decreased gradually with increasing porosity. For 5% and 10% porosities, the elastic modulus of concrete was approximately 85% and 75% of that of the ideal pore-free concrete matrix, respectively. So, the decrease in the elastic modulus of concrete with increasing porosity was linear. Moreover, the effect was greater for increasing ITZ porosity. In Figure 11, when the Poisson’s ratio of the concrete matrix was less than 0.2, the effective Poisson’s ratio of concrete increased with increasing porosity. However, the increase was very small. Therefore, the ITZ porosity could be considered as having no effect on the Poisson’s ratio of concrete.

Figure 10.
Relationships between porosity and elastic modulus ratio of concrete.

Figure 11.
Relationships between porosity and the Poisson ratio of concrete.
5. Conclusions
In this study, a four-phase model for the prediction of the elastic modulus of concrete was developed. The prediction of the elastic modulus was expected to lay a foundation for the study of safety evaluation and design of concrete structures with pore defects. However, in this study, only the artificially created porosity by the EPS grains was considered, and the natural porosity of concrete matrix was included in the matrix.
- The research results show that aggregate gradation had remarkable influence on the elastic modulus of concrete, and the proposed model was effective in estimating the elastic modulus of concrete.
- The proposed model distinguished the mortar porosity from the ITZ porosity. When the overall porosity was fixed, the ITZ porosity had more significant influence on the elastic modulus of concrete than the mortar porosity. When fip < 0.4, the elastic modulus had a small decrease in magnitude with the increase in fip.
- When the overall porosity was 5% and 10%, respectively, the elastic modulus of concrete were approximately 85% and 75% of that of ideal pore-free concrete matrix, and the effect became large when the porosity of ITZ increased. Nevertheless, the effective Poisson’s ratio was basically not influenced by the change in ITZ porosity.
- Enhancing the ITZ elastic modulus and decreasing the ITZ thickness were efficient in increasing the elastic modulus of concrete.
Author Contributions
Conceptualization, G.Z. and M.W.; data curation, L.W., H.L. and Y.Y.; formal analysis, G.Z., Z.Y. and Y.G.; funding acquisition, G.Z. and M.W.; investigation, Z.Y.; methodology, G.Z., Z.Y., L.W. and H.L.; resources, G.Z. and M.W.; software, Z.Y., L.W. and Y.Y.; visualization, H.L. and Y.Y.; writing—original draft, Z.Y., M.W., Y.Y. and Y.G.; writing—review and editing, G.Z. All authors have read and agreed to the published version of the manuscript.
Funding
The authors would like to thank the anonymous reviewers for their constructive suggestions to improve the quality of the paper. This research was supported by the Scientific Research Foundation of Kunming University of Science and Technology (KKSY201704026), Supported by Open Research Fund Program of State key Laboratory of Hydroscience and Engineering (sklhse-2019-C-02), Supported by Natural Science Foundation of Yunnan Province (2019FD052), National Natural Science Foundation of China (51669008, 51969010, 51869008).
Institutional Review Board Statement
Not applicable.
Informed Consent Statement
Not applicable.
Data Availability Statement
Not applicable.
Conflicts of Interest
The authors declare no conflict of interest.
References
- Tang, S.W.; Li, Z.J.; Chen, E.; Shao, H.Y. Impedance Measurement to Characterize the Pore Structure in Portland Cement Paste. Constr. Build. Mater. 2014, 51, 106–112. [Google Scholar] [CrossRef]
- Hou, D.W.; Li, D.Y.; Hua, P.C.; Jiang, J.D.; Zhang, G.P. Statistical Modelling of Compressive Strength Controlled by Porosity and Pore Size Distribution for Cementitious Materials. Cem. Concr. Comp. 2018, 96, 11–20. [Google Scholar] [CrossRef]
- Mehta, P.K.; Monteiro, P.J.M. Concrete: Microstructure, Properties, and Materials; Prentice-Hall: Upper Saddle River, NJ, USA, 2013. [Google Scholar]
- Kumar, R.; Bhattacharjee, B. Porosity, Pore Size Distribution and in Situ Strength of Concrete. Cem. Concr. Res. 2003, 33, 155–164. [Google Scholar] [CrossRef]
- Xuan, D.X.; Houben, L.J.M.; Molenaar, A.A.A.; Shui, Z.H. Mechanical Properties of Cement-treated Aggregate Material—A Review. Mater. Des. 2012, 33, 496–502. [Google Scholar] [CrossRef]
- Jurowski, K.; Grzeszczyk, S. Influence of Selected Factors on the Relationship between the Dynamic Elastic Modulus and Compressive Strength of Concrete. Materials 2018, 11, 477. [Google Scholar] [CrossRef]
- Chen, H.J.; Wu, C.H. Influence of Aggregate Gradation on the Engineering Properties of Lightweight Aggregate Concrete. Appl. Sci. 2018, 8, 1324. [Google Scholar] [CrossRef]
- Duan, Z.; Hou, S.; Poon, C.S.; Xiao, J.; Liu, Y. Using Neural Networks to Determine the Significance of Aggregate Characteristics Affecting the Mechanical Properties of Recycled Aggregate Concrete. Appl. Sci. 2018, 8, 2171. [Google Scholar] [CrossRef]
- Martin, L.P.; Rosen, D.M. Evaluation of Ultrasonically Determined Elasticity-porosity Relations in Zinc Oxide. J. Am. Ceram. Soc. 1996, 79, 1281–1289. [Google Scholar] [CrossRef]
- Panakkal, J.P. Longitudinal Ultrasonic Velocity as a Predictor of Young’s Modulus in Porous Materials. Mater. Eval. 1997, 55, 1367–1371. [Google Scholar]
- Kuster, G.T.; Toksoz, M.N. Velocity and Attenuation of Seismic Waves in Two-phase Media: Part II. Experimental Results. Geophysics 1974, 39, 607–618. [Google Scholar] [CrossRef]
- Yaman, I.O.; Aktan, H.M.; Hearn, N. Active and Non-active Porosity in Concrete Part II: Evaluation of Existing Models. Mater. Struct. 2002, 35, 110–116. [Google Scholar] [CrossRef]
- Nilsen, A.U.; Monteiro, P.J.M.; Gjorv, O.E.E. Stimation of the Elastic Modulus of Lightweight Aggregate. Cem. Concr. Res. 1995, 25, 276–280. [Google Scholar] [CrossRef]
- Gong, S.; Li, Z.; Zhao, Y.Y. An Extended Mori–tanaka Model for the Elastic Modulus of Porous Materials of Finite Size. Acta Mater. 2011, 59, 6820–6830. [Google Scholar] [CrossRef]
- Du, X.; Jin, L.; Ma, G. Macroscopic Effective Mechanical Properties of Porous Dry Concrete. Cem. Concr. Res. 2013, 44, 87–96. [Google Scholar] [CrossRef]
- Esmaeeli, H.S.; Shishehbor, M.; Weiss, W.J.; Zavattieri, P.D. A Two-step Multiscale Model to Predict Early Age Strength Development of Cementitious Composites Considering Competing Fracture Mechanisms. Constr. Build. Mater. 2019, 208, 577–600. [Google Scholar] [CrossRef]
- Elsharief, A.; Cohen, M.D.; Olek, J.O. Influence of Aggregate Size, Water Cement Ratio and Age on the Microstructure of the Interfacial Transition Zone. Cem. Concr. Res. 2003, 33, 1837–1849. [Google Scholar] [CrossRef]
- Delagrave, A.; Bigas, J.P.; Ollivier, J.P.; Marchand, J.; Pigeon, M. Influence of the interfacial zone on the chloride diffusivity of mortars. Adv. Cem. Bas. Mater. 1997, 5, 86–92. [Google Scholar] [CrossRef]
- Wang, L.; Luo, R.Y.; Zhang, W.; Jin, M.M.; Tang, S.W. Effects of Fineness and Content of Phosphorus Slag on Cement Hydration, Permeability, Pore Structure and Fractal Dimension of Concrete. Fractals 2020. [Google Scholar] [CrossRef]
- Wang, L.; Jin, M.M.; Guo, F.X.; Wang, Y.; Tang, S.W. Pore Structural and Fractal Analysis of the Influence of FLY ASH and Silica Fume on the Mechanical Property and Abrasion Resistance of Concrete. Fractals 2020. [Google Scholar] [CrossRef]
- Wang, L.; Guo, F.X.; Yang, H.M.; Wang, Y.; Tang, S.W. Comparison of FLY ASH, PVA Fiber, Mgo and Shrinkage-reducing Admixture on the Frost Resistance of Face Slab Concrete via Pore Structural and Fractal Analysis. Fractals 2020. [Google Scholar] [CrossRef]
- Jiang, J.Y.; Sun, G.W.; Wang, C.H. Numerical Calculation on the Porosity Distribution and Diffusion Coefficient of Interfacial Transition Zone in Cement-Based Composite Materials. Constr. Build. Mater. 2013, 39, 134–138. [Google Scholar] [CrossRef]
- Nguyen, N.B.; Giraud, A.; Grgic, D. A Composite Sphere Assemblage Model for Porous Oolitic Rocks. Int. J. Rock Mech. Min. Sci. 2011, 48, 909–921. [Google Scholar] [CrossRef]
- Xiao, S.; Qiao, Q. Mesoscopic Influence Factor Analysis on the Equivalent Elastic Modulus of Concrete. J. Shenyang Jianzhun Univ. 2015, 31, 636–643. [Google Scholar]
- Nadeau, J.C. A Multiscale Model for Effective Modulus of Concrete Incorporating ITZ Water–cement Ratio Gradients, Aggregate Size Distributions, and Entrapped Voids. Cem. Concr. Res. 2003, 33, 103–113. [Google Scholar] [CrossRef]
- Elices, M.; Rocco, C.G. Effect of Aggregate Size on the Fracture and Mechanical Properties of a Simple Concrete. Eng. Fract. Mech. 2008, 75, 3839–3851. [Google Scholar] [CrossRef]
- Li, G.Q.; Zhao, Y.; Pang, S.S. Four-Phase Sphere Modeling of Effective Bulk Modulus of Concrete. Cem. Concr. Res. 1999, 29, 839–845. [Google Scholar] [CrossRef]
- Li, G.Q.; Zhao, Y.; Pang, S.S.; Li, Y. Effective Young’s Modulus Estimation of Concrete. Cem. Concr. Res. 1999, 29, 1455–1462. [Google Scholar] [CrossRef]
- Zhu, X.; Gao, Y.; Dai, Z.; Corr, D.J.; Shah, S.P. Effect of Interfacial Transition Zone on the Young’s Modulus of Carbon Nanofiber Reinforced Cement Concrete. Cem. Concr. Res. 2018, 107, 49–63. [Google Scholar] [CrossRef]
- Zheng, J.J.; Li, C.Q.; Zhou, X.Z. An Analytical Method for Prediction of the Elastic Modulus of Concrete. Mag. Concr. Res. 2006, 58, 665–673. [Google Scholar] [CrossRef]
- Zheng, J.J.; Zhou, X.Z.; Jin, X.Y. An N-layered Spherical Inclusion Model for Predicting the Elastic Modulus of Concrete with Inhomogeneous ITZ. Cem. Concr. Comp. 2012, 34, 716–723. [Google Scholar] [CrossRef]
- Tang, Y.C.; Feng, W.H.; Feng, W.X.; Chen, J.M.; Bao, D.J.; Li, L.J. Compressive Properties of Rubber-Modified Recycled Aggregate Concrete Subjected to Elevated Temperatures. Constr. Build. Mater. 2021, 268, 1121181. [Google Scholar] [CrossRef]
- Tang, Y.C.; Fang, S.; Chen, J.M.; Ma, L.Y.; Li, L.J.; Wu, X.G. Axial Compression Behavior of Recycled-Aggregate-Concrete-Filled GFRP–Steel Composite Tube Columns. Eng. Struct. 2020, 216, 110676. [Google Scholar] [CrossRef]
- Amianti, M.; Botaro, V.R. Recycling of EPS: A New Methodology for Production of Concrete Impregnated with Polystyrene (CIP). Cem. Concr. Comp. 2008, 30, 23–28. [Google Scholar] [CrossRef]
- Miled, K.; Sab, K.; Roy, R.L. Particle Size Effect on Eps Lightweight Concrete Compressive Strength: Experimental Investigation and Modeling. Mech. Mater. 2007, 39, 222–240. [Google Scholar] [CrossRef]
- Miled, K.; Sab, K.; Roy, R.L. Effective Elastic Properties of Porous Materials: Homogenization Schemes vs. Experimental Data. Mech. Res. Commun. 2011, 38, 131–135. [Google Scholar] [CrossRef]
- Chen, H.; Sun, W.; Stroeven, P. Quantitative Solution of Volume Fraction of Interface in Cementitious Composites. Acta Mater. Comp. Sin. 2006, 23, 133–142. [Google Scholar]
- Christensen, R.M.; Lo, K.H. Solutions for Effective Shear Properties in Three Phase and Cylinder Models. J. Mech. Phys. Solids 1979, 27, 315–330. [Google Scholar] [CrossRef]
- Zhou, K.K.; Chen, B.; Chen, L.Z. Effects of Particle Distribution on the Mechanical Properties of Expanded Polystyrene Sphere-concrete Mixes. J. Harbin Eng. Univ. 2010, 31, 195–201. [Google Scholar]
- IWHR, Rock Mechanics Parameters of the Manual; Water Conservancy and Electric Power Press: Beijing, China, 1991.
- Gao, Y.; Schutter, G.D.; Ye, G. Micro-and Meso-Scale Pore Structure in Mortar in Relation to Aggregate Content. Cem. Concr. Res. 2013, 52, 149–160. [Google Scholar] [CrossRef]
- Simeonov, P.; Ahmad, S. Effect of Transition Zone on the Elastic Behavior of Cement-based Composites. Cem. Concr. Res. 1995, 25, 165–176. [Google Scholar] [CrossRef]
- Lutz, M.P.; Monteiro, P.J.M.; Zimmerman, R.W. Inhomogeneous Interfacial Transition Zone Model for the Bulk Modulus of Mortar. Cem. Concr. Res. 1997, 27, 1113–1122. [Google Scholar] [CrossRef]
- Du, X.Q.; Li, Z.L. A Prediction Model for Elastic Modulus of Concrete Considering the Inhomogeneity of Interfacial Transition Zone. J. Yangtze River Sci. Res. Inst. 2019, 36, 153–158. [Google Scholar]
Publisher’s Note: MDPI stays neutral with regard to jurisdictional claims in published maps and institutional affiliations. |
© 2021 by the authors. Licensee MDPI, Basel, Switzerland. This article is an open access article distributed under the terms and conditions of the Creative Commons Attribution (CC BY) license (http://creativecommons.org/licenses/by/4.0/).