Next Article in Journal
Beauty and Celebrity: Korean Entertainment and Its Impacts on Female Indonesian Viewers’ Consumption Intentions
Next Article in Special Issue
Investigations of Metal Pollution in Road Dust of Steel Industrial Area and Application of Magnetic Separation
Previous Article in Journal
Driver Behavior Classification at Stop-Controlled Intersections Using Video-Based Trajectory Data
 
 
Font Type:
Arial Georgia Verdana
Font Size:
Aa Aa Aa
Line Spacing:
Column Width:
Background:
Article

Implications of the Phytoremediation of Heavy Metal Contamination of Soils and Wild Plants in the Industrial Area of Haina, Dominican Republic

1
Instituto de Innovación en Biotecnología e Industria, Santo Domingo, Calle Oloff Palme esquina Nuñez de Cáceres, Urb. San Gerónimo, 10135 Santo Domingo, Dominican Republic
2
Departamento de Ingeniería Agronómica, Universidad Politécnica de Cartagena, ETSIA, Paseo Alfonso XIII 48, 30203 Cartagena, Spain
3
Departamento de Biología Vegetal, Facultad de Biología, Universidad de Murcia, Campus de Espinardo, 30100 Murcia, Spain
4
Departamento de Agroquímica y Medio Ambiente, Universidad Miguel Hernández de Elche, Avd. de la Universidad s/n, 03202 Elche, Spain
*
Authors to whom correspondence should be addressed.
Sustainability 2021, 13(3), 1403; https://doi.org/10.3390/su13031403
Submission received: 23 December 2020 / Revised: 25 January 2021 / Accepted: 26 January 2021 / Published: 29 January 2021
(This article belongs to the Special Issue Sustainable Management of Heavy Metals Ⅱ)

Abstract

The study evaluates pollution by Pb, Zn, and Cr, and a possible sustainable solution through phytoremediation technologies, in the surroundings of Haina, a very polluted area of the Dominican Republic. Soils and plants were analyzed at 11 sampling points. After sample processing, the elemental composition was analyzed by ICP-OES. Soil metal concentrations, contaminating factors, pollution load indexes, and the Nemerow pollution index were assessed. Soil metal concentrations showed Pb > Zn > Cr, resulting in very strong Pb pollution and medium-impact Zn pollution, with an anthropogenic origin in some sites. This means that some agricultural and residential restrictions must be applied. Accumulation levels in plant tissues, bioaccumulation factors in roots and shoots, and translocation factors were determined for Acalypha alopecuroidea, Achyranthes aspera, Amaranthus dubius, Bidens pilosa, Heliotropium angiospermum, Parthenium hysterophorus, and Sida rhombifolia. The vast majority of the plants showed very low levels of the potentially toxic elements studied, although it may be advisable to take precautions before consumption as they are all considered edible, fodder, and/or medicinal plants. Despite their low rate of bioaccumulation, most of the plants studied could be suitable for the application of phytoremediation of Zn in the field, although further studies are needed to assess their potential for this.

1. Introduction

In recent years, soil pollution has been accepted as a worldwide problem owing to the large number of sites contaminated with metals and metalloids as a result of urban, industrial, mining or ore tailing landfill activities [1,2], due to the hazards for humans and the ecosystem trophic chains [2] of these recalcitrant pollutants, generally referred to as potentially toxic elements (PTEs). In fact, soil polluted with PTEs, such as lead (Pb), zinc (Zn), and chromium (Cr), can be a primary source of human exposure to these metals [3,4]. However, while many heavy metals have negative effects on health, not all of them are toxic for living beings [5].
In recent decades, the implementation of new tools, based on biological processes which are much more economical and respectful to the natural processes of polluted areas, have been promoted [2,6]. Among these, phytoremediation is a good strategy to harvest or immobilize PTEs from soils and has been proven to be an effective and economical technique [6].
Phytoremediation includes different techniques [6]. One of them involves plants that absorb contaminants and bioaccumulate them in the harvestable parts of the plants; namely, phytoextraction [7]. Phytoextraction, unlike phytostabilization, aims to reduce the mobility of the contaminants as a result of their absorption and accumulation in the roots as well as inducing changes in their solubility or in the pH and/or redox potential of the rhizosphere [8]. The efficient use of this technique would allow the treated soil to be reused for agricultural, forestry, horticultural, or ludic purposes, avoiding the transfer of these PTEs to groundwater or nearby areas by wind and/or water erosion [9]. Moreover, the possible reuse of the decontaminated soil fits with the sustainable development goals of the United Nations and leaves soils capable of producing food and fiber for future generations.
A key point for the success of phytoremediation is the selection of plants that can tolerate significant levels of soil contamination. In this respect, numerous species (e.g., Artemisia argyi H.Lév. & Vaniot, Bidens pilosa L., Miscanthus giganteus J.M.Greef & Deuter ex Hodkinson & Renvoize, Sida hermaphrodita (L.) Rusby) [4,10] have demonstrated their ability to accumulate, extract, or tolerate the presence of PTEs in soils. In light of the foregoing, it is understandable that much of the current research in this field concentrates on plant species colonizing heavily polluted environments [11]. Overall, in regions such as Europe, China, and North America, the environmental impacts of pollution by hazardous elements and their clean-up strategies have been evaluated in detail [4,8]. In contrast, this assessment remains very poor in tropical areas, including Central and South America and, therefore, also in the Caribbean [12,13,14,15,16,17]. It is crucial to find new species useful for the phytoremediation of PTEs such as Pb, due to the lack of a universal species capable of growing in all existing contaminated sites and under all environmental and climatic conditions.
Within the Caribbean, the Dominican Republic has experienced rapid industrial development in the last few decades and, in some cases, this has resulted in heavy metal contamination. Examples of this can be found in the surroundings of the city of Haina, an industrial area that has been exposed to significant soil contamination for several decades caused by a constellation of companies that were operating in the area without observing environmental regulations [18].
This study aims to characterize the vegetation and soils that are highly contaminated with lead and other metals from a former battery factory located in the Caribbean, to identify their environmental risks but also assess the possible usefulness of some of these plant species for phytoextraction or phytostabilization purposes. Based on the information previously available on pollution levels in the vicinity of Haina, three metals typically linked to industrial activities, such as Cr, Pb, and Zn, were selected for this study.

2. Materials and Methods

2.1. Site Description

The city of Haina (18°25′ N, 70°02′ W) belongs to the province of San Cristóbal and is located to the south of Santo Domingo. It covers a surface of 38.49 km2 and has around 100,000 inhabitants. The river Haina flows next to the city. The area has a tropical and humid climate [19]. At the San Cristóbal weather station, situated at 44 m a.s.l and about 20 km away from Haina, the average annual temperature is 25.90 °C and the annual precipitation is 1556.7 mm [19].
According to CONAU [20], in the lower part of the Haina river basin near the sea, where Haina is situated, there are different types of vegetation such as wetlands, riparian and mixed forests, and secondary vegetation formed by shrubs and altered riparian vegetation. Nevertheless, the studied area is very anthropized, with many human settlements, crops, pastures, and other activities [21]. Soils in this location have been developed in low areas of coastal reef limestone, in combination with some inclusion of alluvial fans from the Haina River [22].
The city of Haina is the most important industrial center in the Dominican Republic. It houses more than a hundred industries, possesses the only national petroleum refinery, and more than 50% of the electricity available in the country is produced there. It is also the location of the most important port in the country, which in 2002 registered merchandise operations of 10.4 million t, or about 65% of the total movement of goods in the Dominican Republic [23]. It has been listed as one of the ten most polluted cities in the world [18,23]. The total number of pollutants emitted each year by the industrial complex is 15,819 t, and includes Pb, acids, and other pollutants [23]. These huge quantities of hazardous substances generated each year by the industrial complex must be added to the urban waste produced daily by the city of Haina.

2.2. Selection of Sampling Points

Sampling was carried out in the community of Paraíso de Dios, an urban area located 20 km east of Haina. The soils studied belong mainly to Luvic Calcisols group of the World Reference Base (WRB) international standard system for soil classification. The soils are in areas relatively close to the coast, with irregular surfaces, and present coral limestone as the underlying material [24]. Soil and plant samples were taken at and around the former site of a vehicle battery recycling plant. After analyzing the orography, the geological material, and the soil use, a total of 11 sampling points were selected. Initially, they were selected forming a mesh around the focus of the pollution. The mesh was composed of three parallel strips each about 300 m long and distanced 200 m from each other. In each strip, three approximately equidistant sampling points were chosen. Finally, the characteristics of the area made it necessary to change the orientation of some strips and the location of some points (Figure 1).
Strip 1 was centered in the battery factory (point 1B) and also contained points 1A, in an industrial area and 1C, in an inhabited area. Strip 2 was drawn north of Strip 1 and contained two semi-natural areas, 2A and 2B, and an urban area, 2C. Strip 3 was traced south-east of Strip 1, passing through a commercial area, 3B, and contained points 3A, in a glen within the village, and 3C, near the river bank. In addition to these nine sampling points, another point outside the mesh was also selected, about 100 m away from Strip 3 and located in the vicinity of the port of Haina (point 4). Finally, a study control zone (point 0) was selected, situated about 1200 m northwest of the battery factory, in a site considered, a priori, free of contamination. Its values were used as background levels for soils in this area.

2.3. Soil Sampling Procedure

Within a radius of approximately 5 m from each of the 11 sampling points, six soil sub-samples were randomly selected to characterize each of these single sampling points. With the help of a hand auger for heterogeneous soils, 2 kg of soil were taken from the surface layers (0–20 cm depth). These samples were stored in self-sealing plastic bags, which were properly labelled. After taking each soil sample, the sampler was rinsed with distilled water to avoid contamination between the different sampling points.
All the soil samples were air-dried in trays under environmental conditions and passed through a polyethylene sieve with a 2 mm pore mesh to remove coarse materials. A homogenized aliquot was taken from each sample. All handling procedures were carried out without coming into contact with any metal to avoid possible cross-contamination of the samples, which were kept for subsequent verification.

2.4. Plant Sampling Procedure

After the initial recognition of the vascular flora of the Haina area, a rich floristic catalogue was obtained. Finally, according to the recommendations made by Bech et al. [12], a total of seven species were selected, based on their greater abundance and constancy in the sampling points studied. Most of the selected plants grew in anthropic environments and were located on roadsides, roads, near homes, in crops of agricultural interest, or in naturalized forests. All of them are considered, to a greater or lesser extent, edible, forage, and/or medicinal plants according to the Caribbean Applied Research Program on Folk Medicine—TRAMIL Database (http://www.tramil.net), the CABI Invasive Species Compendium (https://www.cabi.org/isc/datasheet/45573), the National Commission for the Knowledge and Use of Biodiversity of Mexico (http://www.conabio.gob.mx/malezasdemexico/boraginaceae/heliotropium-angiospermum/fichas/ficha.htm), the Database Plant Search Page (https://pfaf.org), and/or the Useful Tropical Plants Database (http://tropical.theferns.info).
Samples were collected from the seven plant species studied at each of the 11 sampling points where soil samples were taken. The samplings were carried out between the months of April and June 2013. Three complete specimens of each species were taken in each sampling point, so the number of plant samples collected was 231. For each of these specimens, the underground parts (roots) and the aerial parts (stems and leaves) were separated for their analyses. Therefore, the final number of samples analyzed was 462. Plant samples were placed in properly labelled, clean plastic bags and taken to the laboratory for chemical testing [4].
The selected species, as well as their common names in the study area and the families to which they belong, are enumerated below. For the nomenclature, the Tropicos data base (http://www.tropicos.org) was followed. The studied species are the following: the annual herb Acalypha alopecuroidea Jacq. (ají con pelo, Euphorbiaceae), the perennial herb Achyranthes aspera L. (rabo de gato, Amaranthaceae), the annual herbaceous plant Amaranthus dubius Mart. ex Thell (bledo, Amaranthaceae), the annual herb Bidens pilosa L. (puntillo, Asteraceae), the perennial or sub-shrub herb Heliotropium angiospermum L. (alacrancillo, Boraginaceae), the annual herbaceous plant Parthenium hysterophorus L. (yerba amarga, Asteraceae), and the short-lived shrub or sub-shrub Sida rhombifolia L. (escoba, Malvaceae).

2.5. Analytical Methods

Soil electrical conductivity (EC) was determined with a Crison GLP 32 conductometer and pH values were measured using a pH electrode (Crison GLP 22 pH meter) with a solid: water ratio of 1:2.5. Soil samples were digested with nitric acid (HNO3) and hydrogen peroxide (H2O2) using the USEPA Method 3050B [25]. The concentrations of Pb, Zn, and Cr in the digestion solution were determined by atomic absorption flame spectrometry (Thermo Scientific iCE 3000 Atomic Absorption Spectrometer). For each metal, minimum, maximum, and mean concentrations, as well as standard deviation (SD) and background values, were calculated.
The plant samples were initially washed with tap water, paying special attention to cleaning the underground parts. A brush was used in order to remove the remains of soil and avoid damaging the roots. Subsequently, they were rinsed off twice with distilled water. Then, they were ground and dried at 60 °C for 48 h in an oven. Once dry, they were crushed in a mill and about 5 g of dry weight of each sample was taken for analysis. An Ohaus precision scale, model AR2140, was used to weigh the samples. Then, they were digested in a microwave oven using a mixture of HNO3 (65% concentration) and H2O2 (30% concentration) at a ratio of 4:1, respectively [4]. The elemental composition was analyzed by inductively coupled optical emission spectrometry (ICP-OES), with the model iCAP 6000 Series of Thermo Scientific in the Ionomic Laboratory of CEBAS-CSIC (Murcia, Spain). The results were expressed in mg/kg (parts per million).

2.6. Quality Assurance and Quality Control (QA/QC)

In order to ensure the quality control (QC) of the analyses, all the assays were carried out using purified water obtained from an Elix 3/Milli-Q Element system (Millipore, Billerica, MA, USA), in addition to high quality trace metal grade reagents provided by Fisher-Scientific. The glassware and polyethylene material were properly treated with 10% NHO3 (v/v) and rinsed with deionized water before use. Due to the metal content of soils and plants, two reference materials, with moderate to moderately high Pb, Zn, and Cr content, as well as blank samples, were included in each batch for quality assurance (QA) in the analyses. For soils, SRM 2711a (Montana II soil moderately elevated trace element concentrations), a standard reference material, was used, while rye grass certified reference material ERM-CD281 was used for the quality of trace element biomonitoring in the plants. Results within the ±10% range of the certified values were accepted as satisfactory. Three repetitions were made for each sample, taking as acceptable those results with a relative standard deviation of less than 5%. The analyses were carried out in the laboratory of the Institute of Innovation in Biotechnology and Industry (IIBI) of Santo Domingo, Dominican Republic.

2.7. Soil Metal Pollution Assessment

There are several typical indexes that have been widely used and that can be estimated through different mathematical models to assess the level of metallic soil contamination. In this research, up to three different indexes were used: contamination factor (CF), pollution load index (PLI), and the Nemerow pollution index (N).
The CF index, referred to by other authors as a single factor pollution index (Pi) [26], compares a metal sample concentration with the metal background concentration. This index is calculated for a given metal (i) using the following Equation (1)
CF = Ci Bi
where Ci and Bi are the estimated concentration (C) and the background value (B) of the metal i, respectively. This index distinguishes the soil contamination levels according to their intensities on a scale ranging from 1 to 6 (0 = none, 1 = none to medium, 2 = moderate, 3 = moderate to strong, 4 = strongly polluted, 5 = strong to very strong, 6 = very strong) [27]. A value of 6 implies that the metal quantity is a hundred times greater than what would be expected in a location according to its geology.
Since the geochemical background values of the soils in the Haina area were not available, they were estimated from the most natural soils existing in this area, where the control station of this study was located (sampling point 0). These background values were calculated using a statistical approach, adding twice the standard deviation to the average values of the natural soils [28].
In turn, PLI is a potent tool for heavy metal pollution evaluation and can be assessed for each site according to Tomlinson et al. [29] (2):
PLI = (CF1 × CF2 × CF3 ×......CFn) 1/n
where n is the number of metals studied. According to Chakravarty and Patgiri [30], a PLI value <1 indicates no pollution, while a PLI value >1 indicates pollution. This empirical index provides a simple, comparative means to assess metal pollution levels.
N index can be expressed for a given metal (i) by the following Equation (3) [26]:
N = ( CFi ) 2 m a x + ( CFi ) 2 a v e   2
where CFi is the contamination factor for the i metal, and (CFi)max and (CFi)ave are the maximum and average values, respectively, in the CF index. The grading standard for the N index of heavy metals is as follows [26], N ≤ 0.7: safe level; 0.7 < N ≤ 1: alert level; 1 < N ≤ 2: mild pollution; 2 < N ≤ 3: moderate pollution; N ˃ 3: heavy pollution.
To complement these analyses, two more coefficients were considered to check the behavior and origin of the metals in the studied sampling points: the soil contrast coefficient (KCC) and the coefficient of variation (CV).
The KCC can be expressed for a given metal (i) as follows (4):
KCC = Ci COi
where Ci and COi are the measured concentration and the control sampling point value of metal i, respectively [26]. This coefficient reflects the average degree of pollution of the considered soils, where numbers clearly ˃1 reflect a high pollution level regarding this element.
The CV coefficient, which is the standard deviation/mean of the values of the soil concentrations for each metal [31], was applied to highlight the discrete distribution levels of different concentrations of the studied metals, as well as to indirectly highlight the activity of these metals in their settlement. Under natural conditions, the PTE content is low and has a relatively stable distribution, although human activity can have an intense effect on this situation. In this respect, CV is the most determining factor in establishing the variability of each analyzed element [32]. CV values >1 represent an anomaly in the normal values found in nature, where normal values are usually <0.4. Therefore, values <0.4 suggest a possible natural origin, whereas values >1 indicate that the element is of anthropogenic origin [31].
For isoconcentration maps of Pb, Zn, and Cr, the inverse distance weighting (IDW) interpolation was applied to map the metal distribution by using QGis v.3.14. IDW is an exact, convex interpolation method that adapts only to the continuous model of spatial variation [33]. This tool attributes each entry point to a local influence that decreases with distance and calculates the prediction values of unknown interpolated points by weighting the medium of known data point values [33].

2.8. Plant Metal Pollution Assessment

Both the bioaccumulation factor (BAF) and the translocation factor (TF) are widely used to evaluate the assimilation capacity of trace elements from the soil in the belowground and aerial tissues of the plants. These factors were used to assess the phytostabilization or phytoextraction capacity of heavy metals for each native plant species. These statements, expressed graphically, are contained in the following formulas:
BAF = Cplant   part Csoil  
TF = Cshoot Croot  
where Cplant part and Csoil are the measured element concentrations in the plant tissues, roots, or shoots, and in the soil, respectively, while Cshoot and Croot are the concentrations of an element in the aboveground and underground parts of the plants. The definition of BAF used in the present study [34] is considered to be more informative when evaluating the ability of different taxa for phytoremediation than the definition presented by authors who considered only the concentration of elements in the roots [14].
The BAF is a highly descriptive factor of the phytoremediation potential, which reveals the ability of plants to store significant amounts of elements, such as metals and metalloids [35]. BAF values >1 for the accumulation of PTEs from soil to roots (BAFroot) indicate a high potential for phytostabilization activities in the plant species, while values >1 for the accumulation of these soil elements in the aerial parts or shoots (BAFshoot) reveal a high capacity for phytoextraction tasks in the plant species [35].
TF values give us information about the mobility and transfer of elements in the plant, providing basic information about the accumulation mechanism of these elements in shoots from the roots [6]. TF values >1 indicate an elevated mobility of elements from roots to shoots and thus is a relevant indicator of the phytoextraction potential of the plant species [14,35]. Therefore, the feature of a phytoextractor is that both BAFshoot and TF are >1 [26,35], with those plants with higher TF values being better accumulators [11]. Better candidates for phytostabilization purposes are those with BCFroot >1 and TF <1 [14,35].

2.9. Statistical Analysis

The standard descriptive statistical measures for metal concentrations, such as mean values and standard deviation, were calculated with the program R 3.3.1 [36]. To determine whether the differences of the metal concentrations between different species were significant, a test was carried out in accordance with Kruskal & Wallis [37]. This test is a nonparametric alternative to a variance analysis and, therefore, does not depend on the normality of the data. Since this type of evidence shows that at least one of the treated populations differs significantly from the others in their expected values but does not specify how many differ or what they are, the Conover test was used [38] to identify species with significantly higher or lower values of metal concentration. The necessary calculations were carried out using the PMCMR package available under R [39].
To compare two related samples and determine whether the differences between the mean values were significant, as is the case in the comparisons between aerial parts and roots of the same species, the Wilcoxon signed rank test was used [40]. It is a non-parametric test and, therefore, its use does not depend on the manner in which the data is distributed. For the visual presentation of the statistical data in the form of diagrams, the ggplot2 package [41] was used within R 3.3.1 [36].
To calculate the BAF and TF values, the program R 3.3.1 [36] was used by means of a small program (script) that allowed the computation of all of the values simultaneously and also elaborated the graphs to view the results in an automated way using the ggplot2 package [41]. Finally, Pearson’s correlation coefficients [42] and the corresponding p-values were calculated with the cor.test function of R 3.6.3 [43].

3. Results and Discussion

3.1. Soil Characterisation and Metal Content

The typical soils of the study area are mainly Luvic Calcisols (WRB) [24], brown in color, with a depth of 50 to 100 cm, an average slope of about 7% gradually decreasing from sampling point 0 to sampling point 4, a clay loam texture, and good drainage [44]. In surface soil horizons, the percentage of base saturation was high, the average cation exchange capacity was variable but mostly high, the organic matter content was between 2% and 3%, and the percentage of Ca(CO3)2 varied in the range of 8% to 16% [45]. Considering these parameters, these soils have good characteristics for plant growth and to favor the fixation of metals in the soil [44,45]. Soil properties such as pH and EC of all the sampling points, as well as metal concentration (minimum, maximum, and mean values) are summarized in Table 1. The chemical properties of the soil were not significantly different among the samples studied. In accordance with their calcareous nature [22], Haina area soil pH ranged from 7.50 to 8.94, which means that all the studied soils showed basic characteristics. The EC values ranged from 21.90 to 881.00 µS/cm, which means that they are non-saline soils [46]. Bioavailability and mobility of metals strongly depends on soil pH [47]. Therefore, these basic characteristics of the soils studied favor the low mobility of Pb and Zn, although not of Cr, which may partially mitigate the toxicological risks associated with the first two metals [48]. On the other hand, low EC values are favorable for plant growth [49].
In comparison with the average content of Pb, Zn, and Cr in the Earth’s crust [48], the soil background levels for the studied area (Table 1) showed values of Pb and Zn clearly above the mean value of the planet’s top layer, whereas for Cr, the situation was just the opposite. The contents of the elements studied in the soils of Haina are shown in Figure 2. Most of the considered soils were characterized by high levels of Pb and, to a lesser extent, Zn, which exceeded the background values of the Haina soils. Cr was the opposite, with values clearly below the background values for all the soils of this area.
Based on these data, it should be noted that the concentrations of these elements varied greatly in the study area, with levels of Pb 0.1–62.9 (average 9.9) and Zn 0.0–5.4 (average 0.7) times the background values (Table 1). For the case of Pb, these high levels could indicate an impact of the human activities associated with this metal. Pb concentrations in soils near the former battery factory were extremely high (1B and 1A), gradually decreasing with the distance from this industrial location. Nevertheless, very high values were observed, especially in some lower areas at the bottom of the slope, as in the case of 3A, although high levels were also found in some sampling points located at somewhat higher elevations, as is the case of 2A (Figure 2). In relation to other elements studied, some hotspots of Zn were detected in 3B and 3C, and to a lesser extent, in 3A. These are sites located downstream of the industrial area (Figure 2). In this case, results suggest that the main sources of pollution of Zn in the area are from industrial and commercial activities. Conversely, Cr does not present relevant values in any of the sampling points.
Unlike other areas contaminated by Pb where pollution was caused by other factors, such as vehicle exhausts derived from the use of petrol with Pb [50], in this case it seems clear that the former battery factory is the main source of this metal pollution. With respect to these data, the erosion of polluted soils as well as the effect of the slope may be the main reasons for the distribution patterns of Pb in the studied soils [9]. Previous studies carried out have shown the existence of positive correlations between atmospheric deposition and high metal concentration in the soils of other industrial areas [51,52].
The relationships among the PTEs can provide important information about the sources and routes of dispersion of these elements [53]. The Spearman correlation coefficient and its levels of significance in Haina soils are summarized in Table 2. The clear lack of correlation between the three metals studied can be observed, suggesting a different potential source and different geochemical characteristics. Pb contamination sources may be strongly related to the long period of battery factory activity. The source of the Zn contamination is not clear, although it seems to be basically associated with the commercial activity located in the study area (3B) and ends up clearly affecting neighboring areas (3A and 3C). No relevant pollution data were found for Cr. In the cases of Pb and Zn, gravity in favor of the slope and transport through erosive processes could have had some influence on this distribution of the elements.

3.2. Soil Pollution and Risk Assessment

In assessing the pollution and risks associated with the Haina soils, a dual analysis was chosen. Firstly, a technical assessment of the pollution levels was carried out using a series of indexes capable of providing information about the current state of contamination of the different sites studied. Secondly, an assessment of the levels of risk and/or intervention for the different levels of soil contamination was performed, comparing them with different regulatory frameworks of application in an international context.
When observing the CF values for each sampling point (Table 3), in most of the soil sampling points, the CF for Pb was above 1.50, while for Zn it was below 1.00, except for two sampling points, and it was below 0.55 for Cr. In general, the CFPb oscillated between 0.61 and 45.99 (excluding the control point), which indicates that the studied soils showed strong variations depending on the level of contaminants they presented. In turn, with regards to the level of soil contamination by Zn, the CFZn ranged from 0.10 to 1.70, indicating a moderate impact of this pollutant on the studied soils. Finally, the CFCr varied between 0.26–0.55, which indicates no pollution.
According to the intensity of the Pb contamination levels and following the recommendations by Muller [27] for CF levels, the soils were classified according to their pollution levels (Table 3). Thus, the soils in the vicinity of the former battery factory (1B) were considered highly contaminated (CF ≥ 6), as were the soils in the vicinity of some industrial areas (1A) and a nearby forest (2A). The soils of a gully zone located at lower elevations (3A) showed strong to very strong level of pollution (CF value between 5 and 6). The forest site, located upstream from the industrial area (2C), presented a moderate level of pollution (CF between 2 and 3). A low level of Pb pollution was found in the commercial (3B) and residential (1C) areas (CF values between 1 and 2), while the rest of the localities did not present any level of metal contamination (2B, 3C, and 4, in addition to 0).
In relation to Zn (Table 3), the sampling stations located in the lowlands (commercial areas 3B and 3C), showed a higher CF than the rest of the localities and correspond, in any case, to a low level of pollution. The rest of the locations presented values without any contamination since the CF value was <1. Finally, in the case of Cr, CF values were extremely low in all the sampling points considered since they were <1 in all cases (Table 3), which means an absolute absence of contamination by this element.
When examining the global contamination of the soils of the study area using the PLI, very different behaviors were observed depending on the sampling points studied (Table 3). According to the rating scale of Chakravarty and Patgiri [30], the average levels of the soils studied corresponds to those of moderately contaminated soils. Nevertheless, a large part of them could be considered as uncontaminated (PLI values <1.0). Only in the case of the former battery factory facilities (1B), in a gully located downstream (3A), in the industrial area (1A), and in the commercial area (3B) do the PLI values correspond to moderate contamination, with values between 1 and 2. However, since in the overall PLI formula low levels of CF for the less abundant elements (Zn and Cr) can modulate the large magnitude of CFPb in some localities, we must be cautious in drawing conclusions from this index.
Finally, according to the N index, metal values followed this sequence (Table 3): Pb > Zn > Cr. Thus, considering NPb, the level of pollution associated with Pb [26] should be considered very heavy pollution since its level is up to 11 times higher than the limit considered to be highly contaminated. On the other hand, for Zn, according to the NZn value, the contamination of the studied area can be considered mild pollution. Finally, for Cr, the whole area can be considered safe due to the low value of NCr. These results are consistent with those found for the KCC, with Pb levels more than 23 times the established level considering soil to be strongly contaminated, with Zn slightly above this limit, and Cr clearly below (Table 3).
In addition to the previous comments, let us consider the CV. The CV values are high when they come from anthropogenic sources and low when their origin is natural [31]. In view of the CV values, it seems that the high levels of Pb and Zn in some soils of the Haina area come from particles emitted from the industrial sites.
The CV of trace elements followed this order: Pb > Zn > Cr. Based on the CV, the considered elements can be separated into two groups (Table 3): Pb and Zn, whose CV values are >1.0, and Cr whose CV value is <0.4. Looking at these data, it seems clear that Pb and Zn may have different sources from Cr. Lead pollution might be the result of the long-term effects of the factories, such as the former battery factory present in this location [23], as well as some industrial or commercial activities in the case of Zn [53]. The main process in the old battery factory was the recycling of automotive batteries, a process that generated a large amount of Pb particles that were fired by the boilers into the air and eventually deposited on the soils of the factory’s immediate surroundings [18]. Zn compounds were also extensively used in some industrial processes as detergents and antioxidants [5]. In addition, tire wear may contribute to an increased Zn content in some soils affected by vehicle traffic [54]. In relation to Cr, it was traditionally used in some industrial processes and leather tanning [50], although in the Haina area, it is not probable that any activity which would have had influence on the levels of this element existed.
A second level of analysis of the risks and levels of soil interventions in Haina refers to the comparison of their PTE content with the levels reflected in different international regulatory frameworks. Due to the lack of legislation on soil pollution by heavy metals in the Dominican Republic, the existing legislation in other countries was revised in order to evaluate the results obtained in this study. There are several regulations that apply to heavy metals, mainly in farm, residential, or industrial soils from various nations (Table 4). Threshold values have different names around the world, although the countries have similar values and levels in relation to the risk and intervention to be carried out in each case [55,56,57,58]. According to these national regulations on environmental quality standards for soils, there would be a pollution-warning threshold for the Pb pollution for most of the soils, and for Zn only in some of the studied sites.
Other authors [58] have analyzed the use of PTE screening levels in soils by regulatory agencies and countries worldwide, as a criterion for clean-up standards or eco-receptor toxicity. Given these general regulations, only sampling points 1B and 1A would not be recommended for residential use because of their high Pb levels, although industrial activities could be developed on them. However, given the high variability of worldwide legislation and ambiguity that might arise in some cases, direct comparison with a specific and updated regulation could be more effective.
For this reason, a concrete assessment of the metal content of Haina area soils was made with one of the most modern and comprehensive legislations in this field, the Chinese regulation (GB15618-2018) [59]. In this regulation, as is the case in many other countries, standards for farming uses are stricter than for other soil uses, as the quality of farmland can affect the amount and safety of food products [60]. In accordance with this regulation, agricultural uses would be subjected to a detailed risk analysis in points 2A and 3A due to excessively high levels of Pb, and in points 3B and 3C for elevated levels of Zn, whereas in 1B and possibly also in 1A, these uses would be directly banned due to their extremely high Pb levels. Additionally, residential uses would be subject to risk analysis in 1A and 1B due to the possible risks arising from their high Pb levels. Therefore, a large part of these soils would be considered contaminated sites, in some cases with certain risks to humans, ecosystems, or soil use [55].
Regarding the contamination level of the topsoil, according to different indices (CF, PLI, N, and KCC), it can be stated that the contamination is extremely high in Pb for the sites close to the former battery plant, moderate for Zn in some of the residential and commercial areas, and non-existent for Cr. Moreover, according to the CV index, it was possible to describe the origin of the metals [32]. In this sense, Cr is clearly shown to have a natural origin, with values below 0.4, while Pb and Zn have shown an anthropogenic origin due to their abnormally high levels of CV >1 [31,32]. In turn, according to different regulatory frameworks in an international context, there is clear Pb contamination in most of the soils and Zn contamination only in some of the studied sites. Regarding possible land-use limitations, some places near the former battery plant would not be recommended for residential use because of their high Pb levels, although industrial activities could be developed on them. According to the Chinese regulation, agricultural uses would be banned in some areas close to the battery factory due to the elevated Pb content and would be under review and research in some residential and commercial areas for high levels of Pb and, to a lesser extent, for Zn. Similarly, in relation to residential uses, the points close to the old battery plant would be under risk analysis for high levels of Pb.

3.3. Potentially Toxic Element Concentrations in Plants

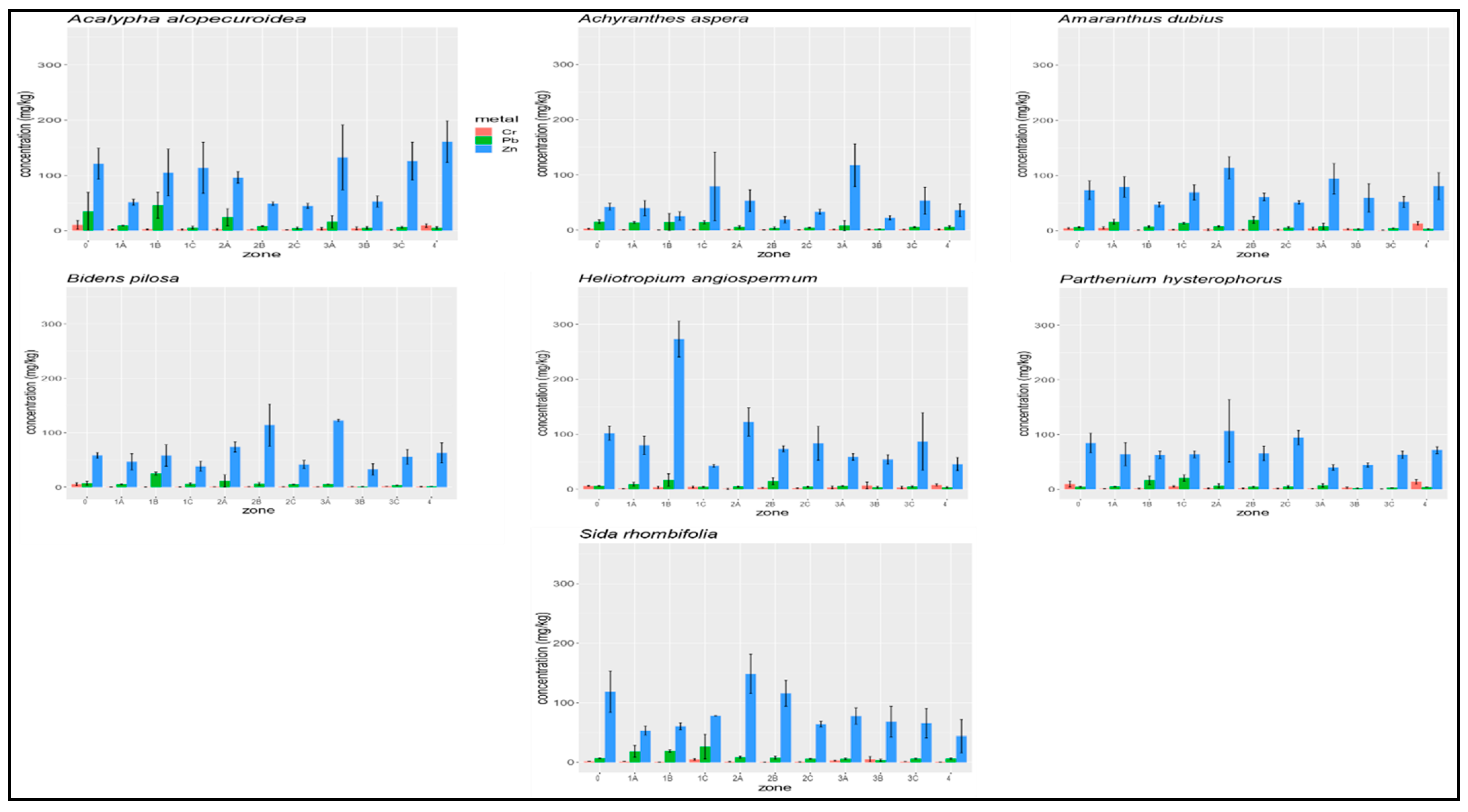
The average concentration and SD in dry weight (DW) of the PTEs in the aerial and radicular parts of the seven plant species studied in the Haina area are detailed in Figure 3 and Figure 4. According to these data, the mean bioaccumulation levels for all plants followed this decreasing order: Zn > Pb > Cr. This scale of plant accumulation is quite variable, possibly depending on the taxa considered and the pollution levels of the studied area, so this described order usually varies when consulting different studies [61].
For all the selected species, Pb concentrations in the plant shoots ranged from 1.05 to 46.22 mg/kg and in the roots from 1.50 to 101.32 mg/kg, with the maximum average level found in the shoots of A. alopecuroidea and roots of A. aspera. Considering that the analysis of shoots and roots was carried out with the same sample weight for both parts, if the mean values between the aerial and underground parts are considered, the accumulation values can be estimated for the whole plant. Average concentrations of Pb by species in the entire plants was not very high, with average values ranging between 10.15 mg/kg in H. angiospermum and 17.82 mg/kg in S. rhombifolia, closely followed by A. alopecuroidea and P. hysterophorus, with 16.55 and 15.32 mg/kg, respectively. In turn, Pb average root concentrations ranged between 13.24 mg/kg in H. angiospermum and 25.26 mg/kg in S. rhombifolia, while for shoots these Pb values ranged between 7.06 mg/kg in H. angiospermum and 15.17 mg/kg in A. alopecuroidea. If one looks at the sampling points, the most outstanding maximum values for Pb were those referring to 1B (101.32 mg/kg in S. rhombifolia roots and 46.22 mg/kg in A. alopecuroidea shoots). These values were much lower than those found in other plant taxa in the areas polluted by metals [12]. Although soil pollution levels in these areas can go beyond 1000 mg/kg (Figure 2) in some cases, the bioaccumulation levels remain very low. This means that these plants can modulate the accumulation of high quantities of Pb both in their roots and in their shoots. In any case, even for these taxa that exceed the “normal” maximum values of plants growing in unpolluted soils, which is set at 10 mg/kg [48], these levels can be considered high. In fact, this bioaccumulation rate was clearly lower than the threshold value usually considered to be a hyperaccumulator taxa (1000 mg/kg) [62]. These taxa, in contrast, should be considered to be tolerant and not accumulators.
A. alopecuroidea showed the largest amount of Zn for the entire plant in their tissues, followed by H. angiospermum and S. rhombifolia, with 81.36, 80.23, and 80.19 mg/kg, respectively. In turn, for the set of studied taxa, Zn accumulation levels in the aboveground parts of the plants ranged from 19.06 to 273.25 mg/kg and in the belowground parts from non-detectable to 205.46 mg/kg, with the maximum level in the shoots of H. angiospermum and the roots of A. alopecuroidea. Studying species by species, it was seen that the concentration of Zn in the entire plants studied was not very high, with average values that ranged between 40.86 and 81.36 mg/kg in A. aspera and A. alopecuroidea, respectively. Even for the case of roots, these values were very low: 34.11 mg/kg in A. aspera and 78.94 mg/kg in S. rhombifolia, which was also the case for shoots (47.61 mg/kg in A. aspera and 95.78 mg/kg in A. alopecuroidea). It should also be noted that the maximum value found corresponds to H. angiospermum, which showed 273.25 mg/kg in its shoots at sampling point 1B, which means that for Zn, as for Pb, these taxa cannot be considered hyperaccumulator species since to be considered as such they would have to accumulate a minimum of 10,000 mg/kg of Zn [62].
Finally, regarding Cr accumulation in the entire plant, P. hysterophorus was the species with the highest Cr level, followed by H. angiospermum and A. dubius, with 3.58, 3.46, and 3.03 mg/kg, respectively. At the same time, for the set of studied species, Cr accumulation levels in the aerial parts of the plants ranged from non-detectable to 13.82 mg/kg and in the roots from non-detectable to 8.39 mg/kg, with the maximum level in the shoots and roots of H. angiospermum. The values detected for this metal were, in general, very low both in Haina plants and soils. In the case of Cr, for which no reference value is available to classify a plant as a hyperaccumulator, given its low levels of accumulation, none of the taxa studied in the study area could be considered good accumulators of this metal.
These results are consistent with the information found in the literature, with greater accumulation of Pb in the roots and Zn in the shoots, and with no such clear behavior exhibited for Cr [48].
The absorption of elements, some of them toxic, carried out by plants is performed passively, with the massive flow of water to the roots, or actively, through specific ion transportation mechanisms across the root cell membranes [63]. These mechanisms allow certain plant species to bioaccumulate ions of some elements in concentrations higher than those present in the environment, soil, or water in which they live [64]. Bioaccumulation levels vary by species [48]. In any case, it should be considered that the level of PTE bioaccumulation by the plants studied is high for Pb and medium for Zn, at least in some areas, and low for Cr.
For metals such as Pb, Zn, and Cr, the levels considered normal, tolerable for crops, and excessive or toxic, in plant leaves (DW) are (5–10, 0.5–10, and 30–300), (27–150, 50–100, and 100–400) and (0.1–0.5, 2, and 5–30) mg/kg, respectively [48]. According to these values, the metal for which a greater number of plants accumulated excessive levels was Zn, in almost 20% of the plants, followed by Cr in 12%, and Pb in only 3%. In the case of Zn, A. alopecuroidea was the only species that showed accumulation levels in its aerial parts within the range of toxicity in approximately half of the plants analyzed, although even in these cases the accumulation levels were not too high. Consequently, the considered taxa that grow in the Haina area did not accumulate relevant amounts of the metals, either in shoots and roots, independent of the species, showing no visible symptoms of intoxication. Regarding these values, in most (90%) of the shoots of the analyzed plants, PTE contents were below the toxic levels [48].
Additionally, for the case of edible or medicinal plant species, it should be taken into account that A. alopecuroidea for Pb and Cr, A. dubius, H. angiospermum, and P. hysterophorus for Cr, and S. rhombifolia for Pb, exceeded the limits set for crops [48], therefore necessary precautions should be taken to avoid the consumption of the shoots of these plants in the Haina area.
When making a correlation analysis between the bioaccumulation levels (Figure 1) and concentrations of metals in the soils in which these plants grow (Figure 2), the total lack of correlation for Zn and Cr was verified (Table 5). This lack of coincidence between the distribution of Zn and Cr in plants growing in the Haina area indicates that the ability of plants to accumulate these soil elements does not depend entirely on their concentration in the soil, which coincides with some recent studies for terrestrial and aquatic ecosystems subject to polymetallic contamination [65]. Some authors attribute this fact to stress caused to plants by toxic elements, which promotes an active regulation of these elements in the plant tissues [66], but also to the shielding effect and plant physiology [67]. However, for Pb, there was an almost total correlation between both parameters (Table 5), with some exceptions, which coincides with that expressed by other authors [68].
Regarding the average values between shoots and roots (Figure 3 and Figure 4), except for Pb, a greater accumulation of metals was observed in the shoots, with a mean accumulation of Pb, Zn, and Cr of 9.29, 74.61, and 2.56 mg/kg, respectively. On the other hand, Pb accumulation in the roots was substantially higher than in the shoots, as opposed to the other two metals considered, with average levels of 19.48, 56.73, and 2.40 mg/kg for Pb, Zn, and Cr, respectively. According to these data, it seems that all the species were able to accumulate more Pb in their roots than in their shoots. On the contrary, all the plants accumulated more Zn in the aerial part of the plant in comparison to the roots, whereas the accumulation pattern for Cr was more anomalous. Nevertheless, in order to check whether there were differences in the accumulation of metals between the shoots and roots of the studied species, a Wilcoxon test was conducted (Table 6). This test revealed that in the case of Pb there were significant differences (p < 0.05) for all the species except A. alopecuroidea, for most taxa considered in relation to Zn, and for only three taxa in the case of Cr.
In this respect, it should be noted that the differences in the Zn and Pb contents in various parts of the plants were mostly explained by their physiological function. Zn is an essential element [5] and plants have root mechanisms to limit its accumulation, for example, through the chelation of this element in the root, which causes a decrease in its mobility. On the other hand, Pb has no role in plant metabolism [5], and plant taxa have not developed specific detoxification mechanisms for this metal. In fact, Pb accumulates in root tissues as insoluble phosphate complexes, and only a small fraction is translocated to the shoots [34].

3.4. Bioaccumulation and Translocation of PTEs

The ability of plants to bioaccumulate toxic elements from soils can be estimated using the BAF, while their ability to translocate these PTEs from roots to shoots can be measured using the TF [26]. When analyzing Pb BAF values in detail (Table 7), they were observed to be very low. The species with the highest BAFroot were S. rhombifolia, A. aspera and A dubius, and P. hysterophorus. The species with the highest BAFshoot value was A. alopecuroidea, with the remaining species showing lower values. For Zn, BAFroot values were in the range of 0.51–1.55. The species that presented the highest values were S. rhombifolia, A. alopecuroidea, H. angiospermum, and P. hysterophorus, with the remaining taxa showing values of <1. Regarding Zn BAFshoot values, H. angiospermum showed the highest, followed by S. rhombifolia, A. alopecuroidea, A. dubius, P. hysterophorus, and B. pilosa, while the rest of the taxa had values of <1. Finally, with respect to the Cr BAF values, all of them were <1, for roots and shoots, in the range 0.12–0.27 and 0.08–0.29 respectively.
The build-up of metals caused by plants growing in contaminated environments depends on the metal speciation and concentration, and the soil pH and plant types, among other parameters, in addition to their different physiological responses to polluting processes [69]. The total metal concentrations as well as their bioavailability are basic components for the process of translocating metal from the underground parts of plants towards their shoots. At the same time, soil pH is one of the most influential parameters when it comes to regulating the conversion of elements from immobile states to mobile forms [70]. The high pH values that are present in the studied area (Table 1) could have partly determined the low bioaccumulation found in this study [69,70].
With regard to the average TF values (Table 7), the highest were observed for Zn, with values always >1.0 (B. pilosa > H. angiospermum > A. dubius > all other taxa), followed by Cr, with four taxa >1.0 (H. angiospermum > A. dubius > A. alopecuroidea > S. rhombifolia), and finally Pb, with one taxon >1.0 (A. alopecuroidea). These results reveal the existence of moderate potential in terms of transporting Zn to the aerial parts of the plant, but in any case, with values higher than the average levels of soil contamination. These results can be considered normal, due to the existence of active and efficient Zn transportation mechanisms from the roots to the aerial parts [13]. As previously shown, the Pb concentrations in the roots were higher in almost all of the species. The concentration of shoots reveals the absence of active Pb absorption and translocation into the tissues of the sprouts of plants developed in the contaminated soils in the Haina area, something that was expected given that this element has a low rate of mobility and assimilation [34]. For Cr, although the levels of transfer to shoots are higher, it presents a very similar situation to that of Pb in terms of its very low accumulation levels. Furthermore, as far as Cr and Pb are concerned, their low average BAF values could indicate that the species studied can be generally considered to be metal-excluders [71]. It should also be noted that Zn is more available to plants than Pb and Cr [48].

3.5. Implications for Phytoremediation

The phytoremediation capacity of plant species can be, at least partially, assessed by BAF and TF [6]. Although BAF values >1 demonstrate the potential utility of some vegetal species for phytoremediation, and plants with high TF values have a good ability to act on pollution from toxic elements, both factors are relevant in order to assess the utility of a taxon for different phytoremediation purposes [14,26].
Depending on the levels of bioaccumulation and on the part of the plant in which the toxic elements are concentrated, the different taxa could be useful in phytostabilization or for phytoextraction purposes [6,7]. A basic feature of phytoextraction is the level of toxic elements accumulated in the harvestable parts, or shoots, as well as good production of aerial biomass [7]. Phytostabilization, on the other hand, consists of the long-term stabilization of PTEs in soils, either by accumulating them in the roots [7] or by reducing the toxicity of these pollutants by blocking their mobility and bioavailability in soils [72].
Therefore, phytostabilization requires species that are tolerant to the presence of high concentrations of PTEs in soils but do not translocate PTEs to their aboveground parts, and have values of PTE accumulation in roots expressed as BAFroot >1, while phytoextraction requires the translocation of the absorbed elements to the plant parts that can be easily harvested (BAFshoot > 1) [6,14,35]. According to the criteria for considering plant species as hyperaccumulators [34,62], it is necessary to establish a pattern of PTE translocation from below to aboveground in species that could be beneficial for biomonitoring toxic element pollution, in addition to the selection of tolerant plant species for phytoremediation purposes.
As shown in Table 7, none of the studied taxa were suitable for phytoremediation of Pb and Cr, or for phytostabilization or phytoextraction purposes since their BAF values for roots and shoots were considerably <1. Concerning Zn, some taxa, such as A. alopecuroidea, H. angiospermum, P. hysterophorus, and S. rhombifolia showed an average accumulation levels of this metal in their roots, with BAFroot >1. However, all these species, plus A. dubius and B. pilosa, should be considered for phytoextraction purposes instead of for phytostabilization, because they also showed average levels of Zn accumulations in their shoots (BAFshoot). These were even higher than those found in the roots, and translocation levels were also >1. In this regard, H. angiospermum was the most suitable species for Zn phytoextraction, followed by B. pilosa, A. dubius, A. alopecuroidea, S. rhombifolia, and P. hysterophorus, in descending order. Nevertheless, it should not be forgotten that both of the average levels of Zn accumulation in the plant tissues, as with the BAFshoot and TF values of all the studied taxa, are moderate. If we consider as well that the maximum value of the accumulation of Zn in shoots was only 273.25 mg/kg, compared to the 10,000 mg/kg required for a taxon to be considered a hyperaccumulator [62], this makes us doubt the suitability of these taxa for phytoextraction. Given that these results are inconclusive, it was of interest to carry out a more detailed analysis of the behavior of these plants in each of the sampling zones and at different levels of contamination (Table 8).
In light of these analyses, it appears that the parameters characterizing the accumulating plants, namely the transfer of metals from the roots and their accumulation in the shoots, make us question the usefulness of the taxa studied as phytoextractors. It is of interest to compare the mean values of Zn accumulation for all the taxa assessed in sampling points with low and high soil pollution (Figure 3 and Figure 4). In light of these data, it is observed that there are no great differences in the levels of accumulation between the plants growing at different levels of contamination, so this necessarily has to manifest itself in notable differences of BAF for both roots and shoots.
Thus, according to the results given in Table 8, it can be highlighted that the accumulation levels in the aerial parts (BAFshoot) and the transfer values (TF) are higher in the sites with lower concentrations of Zn in the soil (2B, 1A, 2A, and 4), in comparison with the low values of these parameters in plants that have grown in sampling points with higher levels of environmental pollution (3B, 3C, 3A, and 1C). Additionally, if we look at the levels of root bioaccumulation (BAFroot), some differences can be detected, with higher values in the same sampling points with lower concentrations in the soil than in those with higher concentrations of edaphic Zn.
The analysis of the BAF values of Zn in the studied taxa shows that they are high in their aerial parts and in their roots only when the concentrations of this metal in the soil are low or very low, which seriously questions their phytoextractive character.
On the other hand, if we analyses the behavior of each of the species studied, we can obtain more accurate results about their phytoremediator character. Thus, with respect to the only metal for which the studied plants exhibited accumulative capacity, the bioaccumulation of Zn in plants growing in the Haina area reached only 273.25 mg/kg in the shoots, and 205.46 mg/kg in the roots. These amounts are far removed from the 10,000 mg/kg that a species must accumulate to be considered as a hyperaccumulator [62]. In any case, species such as H. angiospermum, and secondarily, B. pilosa, A. dubius, A. alopecuroidea, S. rhombifolia, and P. hysterophorus, have shown moderate potential as phytoextractors. They could be used for areas with moderate and low Zn contamination in order to carry out a slow process of soil cleaning. On the other hand, and although it might sound paradoxical, because of their low levels of accumulation, these taxa could also be used to phytostabilize these soils [7].
When comparing the behaviors of the taxa evaluated with the data available for each species in studies carried out by other authors, it was possible to verify a coincidence, at least partially, for some of the species considered. Thus, except for A. alopecuroidea and H. angiospermum, medicinal taxa for which no studies regarding their phytoremediation potential have been carried out, some studies have been performed that address the potential utility of the rest of the species for phytoremediation. The medicinal plant B. pilosa seems to have low remediation efficiency for Cr, and even less for Pb [73], although some authors consider this species to be an effective phytoremediator for pyrene-nickel compounds [74] as well as for the elimination of Cd [75]. Amaranthus dubius, which can be edible and used as animal forage (http://tropical.theferns.info), was reported to bioaccumulate low amounts of Zn, no amount of Pb [76], and have limited potential for Cr bioaccumulation [77]. Some authors detected high accumulations of Zn, moderate amounts of Cr, and low amounts of Pb [78]. Other studies revealed that Cr and Pb can be stored mainly in the roots and show low rates of translocation to their aerial parts, which would determine the low potential of this taxon for phytoremediation purposes [79]. In relation to S. rhombifolia, this medicinal plant showed medium tolerance to Cd and a low accumulation capacity for this metal [80]. Regarding P. hysterophorus, some studies revealed the high tolerance of this medicinal species to Zn, Cr, and Pb [81], and even its moderate accumulation capacity for Zn, moderate-low capacity for Cr, and low capacity for Pb [82], with some authors proposing this species for the removal of Pb and Ni from contaminated soils [83]. Finally, for the only taxon that has not shown any phytoremediation ability in this research, A. aspera, a species with some medicinal and food uses (https://pfaf.org), studies have shown the possible accumulation of Cu and Fe, and to a lesser extent Zn [84].
In view of the results obtained in this study, it seems that the species studied have carried out processes to exclude metals such as Pb and Cr in all cases, as well as Zn in environments with higher concentrations of this element in the soil. Tolerance to metals of the studied taxa may be due to physiological and molecular mechanisms, such as metal exclusion, chelation, and other processes [71]. It is revealing that, in general terms, most of the taxa tolerate the presence of PTEs in the soils of Haina through processes of exclusion, producing only certain bioaccumulation processes at very low levels of Zn at sites with moderate or low concentrations of this metal. It should be highlighted that the success of phytoextraction depends on the identification of taxa capable of not only concentrating toxic elements but also producing abundant biomass [85].
Due to the strong basic character of the soils in the Haina area, it is possible that the levels of bioaccumulation of the assessed species are reduced, thus further studies with these taxa could include assessments of their accumulation levels under field and controlled conditions and different substrate characteristics. Although the natural absorption of metals by plants is always preferable, it is sometimes recommended to stimulate this absorption of soil elements that are little available to plants. Several technologies could be used, such as pH modification [73] and the addition of chelates like citric acid, EDTA, and EDDS, among others, which increase the solubility and leaching of soil elements, and therefore their possibility of being absorbed by plants [86].
The implementation of phytoremediation programs using phytoremediator species has raised some environmental concerns regarding the invasion and disturbance of native ecosystems due to the introduction of exotic plants that may alter the functioning of these ecosystems [87]. Regrettably, few studies have been carried out in this field in tropical regions, with very few species useful for phytoremediation from these areas having been assessed so far. Therefore, it is of great interest to find native species, in this case from Caribbean areas, which can be used for these purposes. More studies are required to study other species from these tropical regions as well as assessing the maximum potential of some of the species analyzed in this study for the phytoremediation of PTEs. These studies should include analyses of plant yield after the accumulation of metals, particularly in their aerial parts, with a view to the phytoextraction of PTEs in soils affected by heavy metals and other toxic elements.

4. Conclusions

In relation to the pollution level in the Haina area of the Dominican Republic due to Pb, Zn, and Cr, the contamination associated with Pb was considered to be very strong, while for Zn, the value corresponded to mild contamination, and for Cr, the whole area had values that matched the safety levels. No relevant data on Cr contamination were found in the whole area. According to the different pollution indexes, the soil Pb contamination varied among the different sampling points from zero to very strong pollution. In the case of Zn, the soil contamination had zero to medium impact on the soils studied. Finally, no soil contamination by Cr was detected. Contaminated soils can be found in the areas of the former battery factory and in nearby sites, as well as in the commercial sites downstream from this industrial settlement. Finally, with regards to the geochemical characteristics and the potential source of each metal, the data seem to indicate a human source for Pb, associated with the former battery factory, for Zn at least some industrial or commercial activities, while for Cr, its origin seems to be natural.
Summarizing all these risk assessments, it can be concluded that these results reveal hazards in soils strongly affected by Pb and partially affected by Zn. Although in the Dominican Republic there is no legislation on soil contamination, according to some international standards and considering the most modern and comprehensive regulations, the pollution-warning threshold is reached for Pb in most of the soils studied, and for Zn only in some points. For this reason, agricultural uses should be directly banned in the area of the old battery settlement and in the locations closest to it due to excessive Pb contamination, while other nearby places, as well as some commercial sites downstream from the battery plant, should be subject to a detailed risk analysis due to their significant levels of Pb and Zn, respectively. With regards to residential uses of the land, only the old battery factory location would not be advisable for residential use, although some industrial activities could be developed in this area, while the closer sites should be subjected to a risk analysis due to their high Pb levels. Consequently, the risk associated with these high levels of pollution makes it necessary to implement a remediation program in order to reduce the hazards for people and ecosystems in this municipality.
Most of the plants studied in this area showed PTEs below toxic levels. However, because some taxa have exceeded the limits set for crops and because all these taxa have food, fodder, or medicinal uses, precautions should be taken to avoid poisoning from the consumption of these plants. In relation to the appropriateness of the different taxa for phytoremediation purposes, all of the taxa studied, except A. aspera, could be considered for the phytoextraction of Zn, but only at low levels of soil contamination, which seriously questions their character as phytoextractors. On the contrary, no taxon has shown usefulness for phytostabilization and/or the phytoextraction of Pb and Cr. In any case, the performance of these taxa as phytostabilizers or phytoextractors, particularly for Zn, will depend not only on the levels of soil contamination and bioaccumulation in different parts of the plant but also on the production of biomass from the shoots. Further studies should therefore be carried out to assess the yield and potential of some of the taxa studied under field conditions, as well as the study of other tropical plant species useful in the framework of phytoremediation and sustainable soil remediation.

Author Contributions

A.R., field sampling, laboratory investigation, result analysis and reviewing of the manuscript; G.G., conceptualization, result analysis, writing original manuscript, supervision, review and editing; O.W. result analysis and statistics, writing—review and editing; J.N.-P., graph creation and review; R.M.R., conceptualization, result analysis, supervision, writing—review and editing. All authors have read and agreed to the published version of the manuscript.

Funding

This work was supported by Fondo Nacional de Innovación y Desarrollo Científico y Tecnológico (FONDOCYT) of the Dominican Republic under Grant number 2010-2B1-003.

Data Availability Statement

The data presented in this study are available on request from thecorresponding author. The data are not publicly available due to data which also forms part of an ongoing study.

Acknowledgments

A.R. thanks Yenny Rodríguez (Servicio Geológico Nacional Dominicano) for her help in the geographical and hydrological characterization of the Haina area; Wilkin Encarnación (Jardín Botánico Nacional de Santo Domingo “Rafael Ma. Moscoso”) for his collaboration in the characterization of the vegetation; Ángel Pimentel (Universidad Autónoma de Santo Domingo) for advising on statistical issues; Mahmoud Magdy (Ain Shams University, Cairo) for his constant guidance and support. All authors thank Diego Rivera (Universidad de Murcia) for his help with the nomenclature of plants and literature sources, and Jan and John Purves for their supervision of English grammar. Authors are grateful to the three anonymous reviewers for their helpful comments on a previous version of the manuscript.

Conflicts of Interest

The authors declare no conflict of interest.

References

  1. Burges, A.; Alkorta, I.; Epelde, L.; Garbisu, C. From phytoremediation of soil contaminants to phytomanagement of ecosystem services in metal contaminated sites. Int. J. Phytoremediation 2017, 20, 384–397. [Google Scholar] [CrossRef] [PubMed]
  2. Pietrzykowski, M.; Antonkiewicz, J.; Gruba, P.; Pająk, M. Content of Zn, Cd and Pb in purple moor-grass in soils heavily contaminated with heavy metals around a zinc and lead ore tailing landfill. Open Chem. 2018, 16, 1143–1152. [Google Scholar] [CrossRef]
  3. Reilly, C. Metal Contamination of Food, 2nd ed.; Elsevier Applied Science: London, UK, 1991; pp. 1–284. [Google Scholar]
  4. Li, K.; Lun, Z.; Zhao, L.; Zhu, Q.; Gu, Y.; Li, M. Screening for Autochthonous Phytoextractors in a Heavy Metal Contaminated Coal Mining Area. Int. J. Environ. Res. Public Health 2017, 14, 1068. [Google Scholar] [CrossRef] [PubMed]
  5. De Miguel, E.; Callaba, A.; Arranz, J.C.; Chacón, E.; Gallego, E.; Alberruche, E.; Alonso, C.; Canteli, P.; Iribarren, I.; Palacios, H. Determinación de los Niveles de Fondo y Niveles de Referencia de Metales Pesados y otros Elementos Traza en Suelos de la Comunidad de Madrid; Publicaciones del Instituto Geológico y Minero de España, Serie Medio Ambiente, Terrenos Contaminados; Instituto Geológico y Minero de España: Madrid, Spain, 2002; Volume 2, pp. 1–167. [Google Scholar]
  6. Ali, H.; Khan, E.; Sajad, M.A. Phytoremediation of heavy metals—Concepts and applications. Chemosphere 2013, 91, 869–881. [Google Scholar] [CrossRef] [PubMed]
  7. Greipsson, S. Phytoremediation. Nat. Educ. Knowl. 2011, 3, 7. [Google Scholar]
  8. Antosiewicz, D.M.; Escudĕ-Duran, C.; Wierzbowska, E.; Skłodowska, A. Indigenous plant species with the potential for the phytoremediation of arsenic and metals contaminated soil. Water Air Soil Pollut. 2008, 193, 197–210. [Google Scholar] [CrossRef]
  9. Pandey, V.C.; Pandey, D.N.; Singh, N. Sustainable phytoremediation based on naturally colonizing and economically valuable plants. J. Clean. Prod. 2015, 86, 37–39. [Google Scholar] [CrossRef]
  10. Antonkiewicz, J.; Kołodziej, B.; Bielińska, E.; Witkowicz, R.; Tabor, S. Using Jerusalem artichoke to extract heavy metals from municipal sewage sludge amended soil. Pol. J. Environ. Stud. 2018, 27, 513–527. [Google Scholar] [CrossRef]
  11. Fischerová, Z.; Tlustoš, P.; Száková, J.; Šichorová, K. A comparison of phytoremediation capability of selected plant species for given trace elements. Environ. Pollut. 2006, 144, 93–100. [Google Scholar] [CrossRef]
  12. Bech, J.; Poschenrieder, C.; Barceló, J.; Lansac, A. Plants from mine spoils in the south American area as potential sources of germplasm for phytoremediation technologies. Acta Biotechnol. 2002, 22, 5–11. [Google Scholar] [CrossRef]
  13. Bech, J.; Roca, N.; Tume, P.; Ramos-Miras, J.; Gil, C.; Boluda, R. Screening for new accumulator plants in potential hazards elements polluted soil surrounding Peruvian mine tailings. Catena 2016, 136, 66–73. [Google Scholar] [CrossRef]
  14. Yoon, J.; Cao, X.; Zhou, Q.; Ma, L.Q. Accumulation of Pb, Cu, and Zn in native plants growing on a contaminated Florida site. Sci. Total Environ. 2006, 368, 456–464. [Google Scholar] [CrossRef] [PubMed]
  15. Sánchez-Pinzón, M.S. Contaminación por Metales Pesados en el Botadero de Basuras de Moravia en Medellín, Colombia: Transferencia a Flora y Fauna y Evaluación del Potencial fitorremediador de Especies Nativas e Introducidas. Trabajo de Grado, Pontificia Universidad Javeriana, Gibuj, Bogotá, D.C, July 2010. Available online: https://repository.javeriana.edu.co/bitstream/handle/10554/837/cien38.pdf?sequence=1&isAllowed=y (accessed on 5 October 2020).
  16. Santos-Jallath, J.; Castro-Rodríguez, A.; Huezo-Casillas, J.; Torres-Bustillos, L. Arsenic and heavy metals in native plants at tailings impoundments in Queretaro, Mexico. Phys. Chem. Earth Parts A/B/C 2012, 37–39, 10–17. [Google Scholar] [CrossRef]
  17. Ramírez, A.; García, G.; Werner, O.; Ros, R.M. In vitro lead tolerance and accumulation in three Chrysanthemum cultivars for phytoremediation purposes with ornamental plants. Int. J. Phytoremediation 2020, 22, 1110–1121. [Google Scholar] [CrossRef]
  18. Blacksmith Institute. Project Completion Report: Used Lead Acid Bacteria Site Remediation. New York, 2014. Available online: https://www.pureearth.org/wp-content/uploads/2014/03/Haina-Project-Completion-Upated-2017-1.pdf (accessed on 5 October 2020).
  19. Lora Salcedo, R.; Czerwenka, J.; Bolay, E. Atlas de diagramas climáticos de la República Dominicana; Secretaría de Estado de Agricultura: Santo Domingo, Dominican Republic, 1983; pp. 1–91. [Google Scholar]
  20. CONAU. Planes de Manejo del Cinturón Verde de la Ciudad de Santo Domingo. Zona Ambiental “B”, Arroyo Guzmán; Consejo Nacional de Asuntos Urbanos, Presidencia de la República Dominicana: Santo Domingo, Dominican Republic, 2000; pp. 1–119. [Google Scholar]
  21. Gómez-Mena, J.; Julia Mera, E.; Meyreles, L.; Portorreal, F. Historia natural y social del río Haina. Primera parte: Características físico naturales de la cuenca Haina. Ciencia y Sociedad 2008, 33, 475–494. [Google Scholar] [CrossRef][Green Version]
  22. Blesch, R.R. Mapa Geomorfológico, República Dominicana. Departamento de Cooperación Técnica de la Organización de los Estados Americanos, Washington DC, 1967. Available online: https://esdac.jrc.ec.europa.eu/content/mapa-geomorfologico-republica-dominicana (accessed on 5 October 2020).
  23. McCartor, A.; Becker, D. Blacksmith Institute’s World’s Worst Pollution Problems Report. New York, 2010. Available online: http://www.worstpolluted.org./files/FileUpload/files/2010/WWPP-Report-2010-Top-Six-Toxic-Threats-Web.pdf (accessed on 5 October 2020).
  24. Gardi, C.; Angelini, M.; Barceló, S.; Comerma, J.; Cruz Gaistardo, C.; Encina Rojas, A.; Jones, A.; Krasilnikov, P.; Mendonça Santos Brefin, M.L.; Montanarella, L.; et al. (Eds.) Atlas de suelos de América Latina y el Caribe, Comisión Europea—Oficina de Publicaciones de la Unión Europea, L-2995 Luxembourg, 2014. Available online: https://esdac.jrc.ec.europa.eu/Library/Maps/LatinAmerica_Atlas/Documents/LAC.pdf (accessed on 11 January 2021).
  25. USEPA. Method 3050B: Acid Digestion of Sediments, Sludges, and Soils; Environmental Protection Agency: Washington, DC, USA, 1996.
  26. Wang, Z.; Liu, X.; Qin, H. Bioconcentration and translocation of heavy metals in the soil-plants system in Machangqing copper mine, Yunnan Province, China. J. Geochem. Explor. 2019, 200, 159–166. [Google Scholar] [CrossRef]
  27. Muller, G. Index of geo-accumulation in sediments of the Rhine River. Geojournal 1969, 2, 108–118. [Google Scholar]
  28. Chen, M.; Lena, Q.M.; Harris, W.G. Baselines concentrations of 15 trace elements in Florida surface soils. J. Environ. Qual. 1999, 28, 1173–1181. [Google Scholar] [CrossRef]
  29. Tomlinson, D.L.; Wilson, J.G.; Harris, C.R.; Jeffrey, D.W. Problems in the assessment of heavy-metal levels in estuaries and the formation of a pollution index. Helgol. Meeresunters. 1980, 33, 566–575. [Google Scholar] [CrossRef]
  30. Chakravarty, I.M.; Patgiri, A.D. Metal Pollution Assessment in Sediments of the Dikrong River, N.E. Indian J. Hum. Ecol. 2009, 27, 63–67. [Google Scholar] [CrossRef]
  31. Han, Y.M.; Du, P.X.; Cao, J.J.; Posmentier, E.S. Multivariate analysis of heavy metal contamination in urban dusts of Xi’an, Central China. Sci. Total Environ. 2006, 355, 176–186. [Google Scholar] [CrossRef]
  32. Zhan, H.; Jiang, Y.; Yuan, J.; Hu, X.; Nartey, O.D.; Wang, B. Trace metal pollution in soil and wild plants from lead–zinc smelting areas in Huixian County, Northwest China. J. Geochem. Explor. 2014, 147, 182–188. [Google Scholar] [CrossRef]
  33. Shepard, D. A two-dimensional interpolation function for irregularly-spaced data. In Proceedings of the 23rd ACM National Conference, New York, NY, USA, 27–29 August 1968; pp. 517–524. [Google Scholar] [CrossRef]
  34. Blaylock, M.J.; Salt, D.E.; Dushenkov, S.; Zakharova, O.; Gussman, C.; Kapulnik, Y.; Ensley, B.D.; Raskin, I. Enhanced accumulation of Pb in Indian mustard by soil-applied chelating agents. Environ Sci. Technol. 1997, 31, 860–865. [Google Scholar] [CrossRef]
  35. Bhat, S.A.; Bhatti, S.S.; Singh, J.; Sambyal, V.; Nagpal, A.; Vig, A.P. Vermiremediation and Phytoremediation: Eco Approaches for Soil Stabilisation. Austin Environ. Sci. 2016, 1, 1006. [Google Scholar]
  36. R Development Core Team. R: A Language and Environment for Statistical Computing; R Development Core Team: Vienna, Austria, 2016. [Google Scholar]
  37. Kruskal, W.H.; Wallis, W.A. Use of ranks in one-criterion variance analysis. J. Am. Stat. Assoc. 1952, 47, 583–621. [Google Scholar] [CrossRef]
  38. Conover, W.J.; Iman, R.L. On Multiple-Comparisons Procedures; Los Alamos Scientific Laboratory: Los Alamos, NM, USA, 1979; pp. 1–14. [Google Scholar]
  39. Pohlert, T. The Pairwise Multiple Comparison of Mean Ranks Package (PMCMR); R Project for Statistical Computing: Vienna, Austria, 2014; Available online: http://CRAN.R-project.org/package=PMCMR (accessed on 5 October 2020).
  40. Wilcoxon, F. Individual comparisons by ranking methods. Biom. Bull. 1945, 1, 80–83. [Google Scholar] [CrossRef]
  41. Wickham, H. ggplot2 Elegant Graphics for Data Analysis; Springer Nature: Berlin/Heidelberg, Germany, 2009; pp. 1–213. [Google Scholar]
  42. Pearson, K. Notes on regression and inheritance in the case of two parents. Proc. R. Soc. Lond. 1895, 58, 240–242. [Google Scholar]
  43. R Core Team. R: A Language and Environment for Statistical Computing; R Foundation for Statistical Computing: Vienna, Austria, 2020; Available online: https://www.R-project.org/ (accessed on 5 October 2020).
  44. SEA. Características de los Suelos de la República Dominicana por URP y ASDS; Secretaría de Estado de Agricultura, Gobierno de Concentración Nacional, República Dominicana, 1985. Available online: http://www.fnad.org/Documentos/Caracter%C3%ADsticas%20de%20los%20suelos%20de%20la%20Rep%C3%BAblica%20Dominicana%20por%20URP%20y%20ASDS.pdf (accessed on 11 January 2021).
  45. Viñas, A.J.; García, L.V.; Siljeström, P.; Gil, A. Estudio de los suelos sobre caliza coralina en la sección de Najayo (República Dominicana). In Proceedings of the 11 Congreso Nacional de la Ciencia del Suelo, Seville, Spain, 26–30 September 1988; pp. 432–436. [Google Scholar]
  46. Artiola, J.F.; Walworth, J.L.; Musil, S.A.; Crimmins, M.A. Soil and land pollution. In Environmental and Pollution Science; Brusseau, M.L., Pepper, I.L., Gerba, C.P., Eds.; Academic Press, Elsevier: San Diego, CA, USA, 2019; pp. 219–235. [Google Scholar]
  47. Wang, C.; Yang, Z.; Yuan, X.; Browne, P.; Chen, L.; Ji, J. The influences of soil proper- ties on Cu and Zn availability in soil and their transfer to wheat (Triticum aestivum L.) in the Yangtze River delta region, China. Geoderma 2013, 193–194, 31–139. [Google Scholar] [CrossRef]
  48. Kabata-Pendias, A. Trace Elements in Soils and Plants, 4th ed.; CRC Press, Taylor and Francis Group: Boca Ratón, FL, USA, 2011; p. 548. [Google Scholar] [CrossRef]
  49. Läuchli, A.; Grattan, S.R. Plant growth and development under salinity stress. In Advances in Molecular Breeding toward Drought and Salt Tolerant Crops; Jenks, M.A., Hasegawa, P.M., Jain, S.M., Eds.; Springer: Dordrecht, The Netherlands, 2007; pp. 261–283. [Google Scholar] [CrossRef]
  50. Saby, N.; Arrouays, D.; Boulonne, L.; Jolivet, C.; Pochot, A. Geostatistical assessment of Pb in soil around Paris, France. Sci. Total Environ. 2006, 367, 212–221. [Google Scholar] [CrossRef]
  51. Lindström, M. Urban land use influences on heavy metal fluxes and surface sediment concentrations of small lakes. Water Air Soil Pollut. 2001, 126, 363–383. [Google Scholar] [CrossRef]
  52. Sharma, R.K.; Agrawal, M.; Marshall, F.M. Heavy metal (Cu, Zn, Cd and Pb) contamination of vegetables in urban India: A case study in Varanasi. Environ. Pollut. 2008, 154, 254–263. [Google Scholar] [CrossRef] [PubMed]
  53. Manta, D.S.; Angelone, M.; Bellanca, A.; Neri, R.; Sprovieri, M. Heavy metals in urban soils: A case study from the city of Palermo (Sicily), Italy. Sci. Total Environ. 2002, 300, 229–243. [Google Scholar] [CrossRef]
  54. Ellis, J.B.; Revitt, D.M. Incidence of heavy metals in street surface sediments: Solubility and grain size studies. Water Air Soil Pollut. 1982, 17, 87–100. [Google Scholar] [CrossRef]
  55. Chen, S.B.; Wang, M.; Li, S.S.; Zhao, Z.Q. Overview on Current Criteria for Heavy Metals and its hint for the revision of soil environmental quality standards in China. J. Integr. Agric. 2018, 17, 765–774. [Google Scholar] [CrossRef]
  56. Wu, J.; Teng, Y.; Lu, S.; Wang, Y.; Jiao, X. Evaluation of Soil Contamination Indices in a Mining Area of Jiangxi, China. PLoS ONE 2014, 9, e112917. [Google Scholar] [CrossRef]
  57. US Environmental Protection Agency Risk-Based Regional Screening Levels (RSLs)—Generic Tables. United States Environmental Protection Agency, Washington DC, November 2015. Available online: https://www.epa.gov/risk/regional-screening-levels-rsls-generic-tables (accessed on 11 January 2021).
  58. Provoost, J.; Cornelis, C.; Swartjes, F. Comparison of soil clean-up standards for trace elements between countries: Why do they differ? J. Soils Sediments 2006, 6, 173–181. [Google Scholar] [CrossRef]
  59. Zhao, X. Developing an Appropriate Contaminated Land Regime in China. Lessons Learned from the US and UK, 2nd ed.; Springer: New York, NY, USA, 2019; pp. 1–326. [Google Scholar]
  60. Yang, Z.; Yu, T.; Hou, Q.; Xia, X.; Feng, H.; Huang, C.; Wang, L.; Lv, Y.; Zhang, M. Geochemical evaluation of land quality in China and its applications. J. Geochem. Explor. 2014, 139, 122–135. [Google Scholar] [CrossRef]
  61. Hu, B.; Xue, J.; Zhou, Y.; Shao, S.; Fu, Z.; Li, Y.; Chen, S.; Qi, L.; Shi, Z. Modelling bioaccumulation of heavy metals in soil-crop ecosystems and identifying its controlling factors using machine learning. Environ. Pollut. 2020, 262, 114308. [Google Scholar] [CrossRef]
  62. Baker, A.J.; Brooks, R. Terrestrial higher plants which hyperaccumulate metallic elements. A review of their distribution, ecology and phytochemistry. Biorecovery 1989, 1, 81–126. [Google Scholar]
  63. Nouri, J.; Lorestani, B.; Yousefi, N.; Khorasani, N.; Hasani, A.H.; Seif, F.; Cheraghi, M. Phytoremediation potential of native plants grown in the vicinity of Ahangaran lead–zinc mine (Hamedan, Iran). Environ. Earth Sci. 2011, 62, 639–644. [Google Scholar] [CrossRef]
  64. Kim, I.S.; Kang, K.H.; Johnson-Green, P.; Lee, E.J. Investigation of heavy metal accumulation in Polygonum thunbergii for phytoextraction. Environ. Pollut. 2003, 126, 235–243. [Google Scholar] [CrossRef]
  65. Senze, M.; Kowalska-Góralska, M. Evaluation of the bioaccumulation of metals in submerged plants of the Verdon river and lake Sainte-Croix (France)–preliminary research. J. Elem. 2020, 25, 297–314. [Google Scholar] [CrossRef]
  66. Fernández-Ondoño, E.; Bacchetta, G.; Lallena, A.M.; Navarro, F.B.; Ortiz, I.; Jiménez, M.N. Use of BCR sequential extraction procedures for soils and plant metal transfer predictions in contaminated mine tailings in Sardinia. J. Geochem. Explor. 2017, 172, 133–141. [Google Scholar] [CrossRef]
  67. Sun, Z.; Chen, J.; Wang, X.; Lv, C. Heavy metal accumulation in native plants at a metallurgy waste site in rural areas of Northern China. Ecol. Eng. 2016, 86, 60–68. [Google Scholar] [CrossRef]
  68. Barrutia, O.; Artetxe, U.; Hernández, A.; Olano, J.M.; García-Plazaola, J.I.; Garbisu, C.; Becerril, J.M. Native plant communities in an abandoned Pb-Zn mining area of northern Spain: Implications for phytoremediation and germplasm preservation. Int. J. Phytoremediation 2011, 13, 256–270. [Google Scholar] [CrossRef] [PubMed]
  69. Pandey, V.C.; Singh, K.; Singh, R.P.; Singh, B. Naturally growing Saccharum munja L. on the fly ash lagoons: A potential ecological engineer for the revegetation and stabilization. Ecol. Eng. 2012, 40, 95–99. [Google Scholar] [CrossRef]
  70. Sainger, P.A.; Dhankhar, R.; Sainger, M.; Kaushik, A.; Singh, R.P. Assessment of heavy metal tolerance in native plant species from soils contaminated with electroplating effluent. Ecotoxicol. Environ. Saf. 2011, 74, 2284–2291. [Google Scholar] [CrossRef] [PubMed]
  71. Monterroso, C.; Rodríguez, F.; Chaves, R.; Diez, J.; Becerra-Castro, C.; Kidd, P.S.; Macías, F. Heavy metal distribution in mine-soils and plants growing in a Pb/Zn-mining area in NW Spain. Appl. Geochem. 2014, 44, 3–11. [Google Scholar] [CrossRef]
  72. Eapen, S.; Dsouza, S.F. Prospects of genetic engineering of plants for phytoremediation of toxic metals. Biotech. Adv. 2005, 23, 97–114. [Google Scholar] [CrossRef]
  73. Solange-Sánchez, M.; Torrenegra, R.D.; Martínez, H.; Salazar, C.E.; Barahona, R. Biomass production and heavy metal absorption by four plants grown at the Moravia dump, Medellín, Colombia. Acta Biol. Colomb. 2010, 15, 271–288. [Google Scholar]
  74. Liu, X.; Mao, Y.; Zhang, X.; Gu, P.; Niu, Y.; Chen, X. Effects of PASP/NTA and TS on the phytoremediation of pyrene-nickel contaminated soil by Bidens pilosa L. Chemosphere 2019, 237, 124502. [Google Scholar] [CrossRef] [PubMed]
  75. Dou, X.; Dai, H.; Skuza, L.; Wei, S. Bidens pilosa L. hyperaccumulating Cd with different species in soil and the role of EDTA on the hyperaccumulation. Environ. Sci. Pollut. Res. Int. 2019, 26, 25668–25675. [Google Scholar] [CrossRef] [PubMed]
  76. Molina, E.; González-Redondo, P.; Montero, K.; Ferrer, R.; Moreno-Rojas, R.; Sánchez-Urdaneta, A. Effect of collection season and plant organ on the metal content of Amaranthus dubius Mart. ex Thell. Interciencia 2011, 36, 386–391. [Google Scholar]
  77. Ongon’g, R.O.; Edokpayi, J.N.; Msagati, T.A.; Tavengwa, N.T.; Ijoma, G.N.; Odiyo, J.O. The Potential Health Risk Associated with Edible Vegetables Grown on Cr (VI) Polluted Soils. Int. J. Environ. Res. Public Health 2020, 17, 470. [Google Scholar] [CrossRef] [PubMed]
  78. Nabulo, G.; Young, S.D.; Black, C.R. Assessing risk to human health from tropical leafy vegetables grown on contaminated urban soils. Sci. Total Environ. 2010, 408, 5338–5351. [Google Scholar] [CrossRef]
  79. Mellem, J.J.; Baijnath, H.; Odhav, B. Translocation and accumulation of Cr, Hg, As, Pb, Cu and Ni by Amaranthus dubius (Amaranthaceae) from contaminated sites. J. Environ. Sci. Health Part A 2009, 44, 568–575. [Google Scholar] [CrossRef]
  80. Wu, M.; Luo, Q.; Liu, S.; Zhao, Y.; Long, Y.; Pan, Y. Screening ornamental plants to identify potential Cd hyperaccumulators for bioremediation. Ecotoxicol. Environ. Saf. 2018, 162, 35–41. [Google Scholar] [CrossRef]
  81. Gautam, M.; Agrawal, M. Identification of metal tolerant plant species for sustainable phytomanagement of abandoned red mud dumps. Appl. Geochem. 2019, 104, 83–92. [Google Scholar] [CrossRef]
  82. Irshad, M.; Ahmad, S.; Pervez, A.; Inoue, M. Phytoaccumulation of heavy metals in natural plants thriving on wastewater effluent at Hattar industrial estate, Pakistan. Int. J. Phytoremediation 2015, 17, 154–158. [Google Scholar] [CrossRef]
  83. Malik, R.N.; Husain, S.Z.; Nazir, I. Heavy metal contamination and accumulation in soil and wild plant species from industrial area of Islamabad, Pakistan. Pak. J. Bot. 2010, 42, 291–301. [Google Scholar]
  84. Khanam, A.; Singh, B.S. Determination of heavy metal ions in selected medicinal plants of Agra. In Chemistry of Phytopotentials: Health, Energy and Environmental Perspectives; Khemani, L.D., Srivastava, M.M., Srivastava, S., Eds.; Springer: Berlin/Heidelberg, Germany, 2012; pp. 289–291. [Google Scholar] [CrossRef]
  85. Chaney, R.L.; Malik, M.; Li, Y.M.; Brown, S.L.; Angle, J.S.; Baker, A.J.M. Phytoremediation of soil metals. Curr. Opin. Biotechnol. 1997, 8, 279–284. [Google Scholar] [CrossRef]
  86. Romkens, P.; Bouwman, L.; Japenga, J.; Draaisma, C. Potentials and drawbacks of chelate-enhanced phytoremediation of soils. Environ. Pollut. 2002, 116, 109–121. [Google Scholar] [CrossRef] [PubMed]
  87. Delorme, T.A.; Gagliardi, J.V.; Angle, J.S.; Chaney, R.L. Influence of the zinc hyperaccumulator Thlaspi caerulescens J. & C. Presl. and the nonmetal accumulator Trifolium pratense L. on soil microbial populations. Can. J. Microbiol. 2001, 47, 773–776. [Google Scholar] [CrossRef] [PubMed]
Figure 1. The study area and sampling points situated in the community of Paraíso de Dios in the municipality of Haina, included in the rectangle of the inserted map in the lower left corner. The area delimited around point 1B corresponds to the former installations of the vehicle battery recycling plant.
Figure 1. The study area and sampling points situated in the community of Paraíso de Dios in the municipality of Haina, included in the rectangle of the inserted map in the lower left corner. The area delimited around point 1B corresponds to the former installations of the vehicle battery recycling plant.
Sustainability 13 01403 g001
Figure 2. Isoconcentration maps of Pb, Zn, and Cr (mg/kg dry weight (DW)) in the soils of the study area.
Figure 2. Isoconcentration maps of Pb, Zn, and Cr (mg/kg dry weight (DW)) in the soils of the study area.
Sustainability 13 01403 g002
Figure 3. Mean concentrations of Pb, Zn, and Cr in the roots of plants growing spontaneously in a natural area and ten contaminated sampling points in the Haina area. The vertical bars associated to each histogram show the double standard deviation of the mean (n = 3).
Figure 3. Mean concentrations of Pb, Zn, and Cr in the roots of plants growing spontaneously in a natural area and ten contaminated sampling points in the Haina area. The vertical bars associated to each histogram show the double standard deviation of the mean (n = 3).
Sustainability 13 01403 g003
Figure 4. Mean concentrations of Pb, Zn, and Cr in the shoots of plants growing spontaneously in a natural area and ten contaminated sampling points in the Haina area. The vertical bars associated to each histogram show the double standard deviation of the mean (n = 3).
Figure 4. Mean concentrations of Pb, Zn, and Cr in the shoots of plants growing spontaneously in a natural area and ten contaminated sampling points in the Haina area. The vertical bars associated to each histogram show the double standard deviation of the mean (n = 3).
Sustainability 13 01403 g004
Table 1. Soil properties, Pb, Zn, and Cr concentrations, and background values for these elements for the Haina area (n = 11). Electrical conductivity (EC) is expressed in µS/cm; minimum, maximum, and mean and background values are expressed in mg/kg. SD: standard deviation.
Table 1. Soil properties, Pb, Zn, and Cr concentrations, and background values for these elements for the Haina area (n = 11). Electrical conductivity (EC) is expressed in µS/cm; minimum, maximum, and mean and background values are expressed in mg/kg. SD: standard deviation.
pHECPbZnCr
Minimum values7.5021.905.502.8310.30
Maximum values8.94881.002452.00940.0030.30
Mean8.12297.45386.54119.2015.67
SD0.27165.12586.47166.475.65
Background values for Haina area--39.00174.9836.18
Table 2. Matrix of Spearman correlation coefficients for Cr, Pb, and Zn in the soils of Haina (n = 11). The lower triangle of the matrix indicates the correlation coefficient, the upper triangle, the associated p values. The correlation between metal concentrations is negative and low and in no case statistically significant.
Table 2. Matrix of Spearman correlation coefficients for Cr, Pb, and Zn in the soils of Haina (n = 11). The lower triangle of the matrix indicates the correlation coefficient, the upper triangle, the associated p values. The correlation between metal concentrations is negative and low and in no case statistically significant.
CrPbZn
Cr-0.350.10
Pb−0.17-0.62
Zn−0.29−0.07-
Table 3. Indexes applied to the Haina area soils to assess their pollution levels: contamination factor (CF) for the three elements considered (Pb, Zn, and Cr) and pollution load index (PLI). The average values of CF and PLI were calculated for all the sampling points studied, excluding the control point. The Nemerow (N) index, soil contrast coefficient (KCC), and coefficient of variation (CV) are also shown.
Table 3. Indexes applied to the Haina area soils to assess their pollution levels: contamination factor (CF) for the three elements considered (Pb, Zn, and Cr) and pollution load index (PLI). The average values of CF and PLI were calculated for all the sampling points studied, excluding the control point. The Nemerow (N) index, soil contrast coefficient (KCC), and coefficient of variation (CV) are also shown.
Studied Sampling PointsCFPbCFZnCFCrPLI
0 (control point)0.420.300.550.41
1A24.880.100.491.07
1B45.990.160.551.59
1C1.490.500.290.60
2A13.140.150.430.95
2B0.720.090.260.26
2C2.350.310.460.70
3A5.780.910.361.24
3B1.711.700.351.01
3C0.611.400.280.62
40.810.180.290.35
Average CF and PLI8.900.550.370.80
N33.121.260.47-
KCC23.401.560.79-
CV1.521.400.36-
Table 4. Summary of regulatory reference values for soil Pb, Zn, and Cr levels in various countries and worldwide (mg/kg). NA: not available, *: Cr (III), **: Cr (VI). A: adapted from Wu et al. [56], B: adapted from USEPA [57], C: adapted from Provoost et al. [58], D: adapted from Zhao [59].
Table 4. Summary of regulatory reference values for soil Pb, Zn, and Cr levels in various countries and worldwide (mg/kg). NA: not available, *: Cr (III), **: Cr (VI). A: adapted from Wu et al. [56], B: adapted from USEPA [57], C: adapted from Provoost et al. [58], D: adapted from Zhao [59].
CountryDenominationPbZnCr
Austria AGuidelines100300100
Canada AResidential/parkland-commercial-industrial guidelines140–600200–36064–87
Germany ASoil grain size: clay-loam/silt-sand40–10060–20030–100
The Netherlands ATarget—intervention guidelines85–530140–720100–380
Switzerland AGuidelines5015050
USA BThreshold limit values10020075
Maximum soil limits for residential use40023,000NA
Maximum soil limits for industrial land use80035,000NA
Worldwide CSoil screening levels or soil clean-up standards for residential areas.60–1000100–23,00025–100,000 *
Soil screening levels or soil clean-up standards for industrial use.300–2500360–100,00087–100,000 *
China DRisk screening values for agricultural soils, excluding paddy soils, with pH ˃7.5170300250
Risk intervention values for agricultural soils, excluding paddy soils, with pH ˃7.51000No limit1300
Risk screening values for construction land400–800No limit3–5.7 **
Risk intervention values for construction land800–2500No limit30–78 **
Table 5. Correlation between soil Pb concentration and plant Pb concentration. Pearson’s correlation coefficient was calculated for roots, shoots, and whole plants (for the analysis of roots, shoots, and whole plants, n = 11 for each species). Significant correlation coefficients (p < 0.05) are given in bold face.
Table 5. Correlation between soil Pb concentration and plant Pb concentration. Pearson’s correlation coefficient was calculated for roots, shoots, and whole plants (for the analysis of roots, shoots, and whole plants, n = 11 for each species). Significant correlation coefficients (p < 0.05) are given in bold face.
RootShootWhole Plant
SpeciesCorrel.p ValueCorrel.p ValueCorrel.p Value
Acalypha alopecuroidea0.90570.00010.66120.02670.86110.0007
Achyranthes aspera0.82660.00170.50020.11710.77350.0052
Amaranthus dubius0.19020.57530.13360.69540.17490.6069
Bidens pilosa0.87630.00040.85080.00090.87970.0004
Heliotropium angiospermum0.62350.04040.67870.02170.69130.0185
Parthenium hysterophorus0.89620.00020.44820.16680.84280.0011
Sida rhombifolia0.85140.00090.50370.11420.84680.0010
Table 6. Wilcoxon test for significant differences (p < 0.05) among Pb, Zn, and Cr bioaccumulation in the shoots and roots of the studied species in the Haina area (n = 33 for each species). Significant correlation coefficients are given in bold face.
Table 6. Wilcoxon test for significant differences (p < 0.05) among Pb, Zn, and Cr bioaccumulation in the shoots and roots of the studied species in the Haina area (n = 33 for each species). Significant correlation coefficients are given in bold face.
SpeciesPbZnCr
Acalypha alopecuroidea0.788200.212020.39380
Achyranthes aspera3.753 × 10−50.029240.02938
Amaranthus dubius0.001430.000570.64300
Bidens pilosa0.000905.588 × 10−60.01242
Heliotropium angiospermum0.006180.007950.14650
Parthenium hysterophorus4.792 × 10−50.018220.03955
Sida rhombifolia1.894 × 10−50.808800.20450
Table 7. Bioaccumulation (BAF) and translocation factor (TF) of Pb, Zn, and Cr in the selected plants in the Haina area. BAFroot: metal accumulation ratio of soil to plant roots. BAFshoot: metal accumulation ratio of soil to plant shoots. The data corresponds to average values of the 11 sampling points.
Table 7. Bioaccumulation (BAF) and translocation factor (TF) of Pb, Zn, and Cr in the selected plants in the Haina area. BAFroot: metal accumulation ratio of soil to plant roots. BAFshoot: metal accumulation ratio of soil to plant shoots. The data corresponds to average values of the 11 sampling points.
BAFrootBAFshootTF
SpeciesPbZnCrPbZnCrPbZnCr
Acalypha alopecuroidea0.171.400.180.291.500.211.401.311.21
Achyranthes aspera0.350.510.130.170.670.080.451.390.82
Amaranthus dubius0.350.820.200.161.300.270.531.541.30
Bidens pilosa0.250.700.120.101.250.090.511.650.68
Heliotropium angiospermum0.191.210.240.131.840.290.631.591.49
Parthenium hysterophorus0.301.040.270.111.300.290.441.250.96
Sida rhombifolia0.371.550.140.161.550.150.511.191.20
Table 8. Bioaccumulation factor (BAF) and translocation factor (TF) of Zn in the selected plants for each sampling point in the Haina area. BAFroot: Zn accumulation ratio of soil to plant roots. BAFshoot: Zn accumulation ratio of soil to plant shoots.
Table 8. Bioaccumulation factor (BAF) and translocation factor (TF) of Zn in the selected plants for each sampling point in the Haina area. BAFroot: Zn accumulation ratio of soil to plant roots. BAFshoot: Zn accumulation ratio of soil to plant shoots.
Sampling PointsBAFrootBAFshootTF
00.751.121.70
1A1.802.241.28
1B1.742.151.24
1C0.380.541.62
2A1.942.721.52
2B2.663.091.35
2C0.550.741.45
3A0.370.391.18
3B0.110.111.20
3C0.200.141.56
40.861.501.52
Publisher’s Note: MDPI stays neutral with regard to jurisdictional claims in published maps and institutional affiliations.

Share and Cite

MDPI and ACS Style

Ramírez, A.; García, G.; Werner, O.; Navarro-Pedreño, J.; Ros, R.M. Implications of the Phytoremediation of Heavy Metal Contamination of Soils and Wild Plants in the Industrial Area of Haina, Dominican Republic. Sustainability 2021, 13, 1403. https://doi.org/10.3390/su13031403

AMA Style

Ramírez A, García G, Werner O, Navarro-Pedreño J, Ros RM. Implications of the Phytoremediation of Heavy Metal Contamination of Soils and Wild Plants in the Industrial Area of Haina, Dominican Republic. Sustainability. 2021; 13(3):1403. https://doi.org/10.3390/su13031403

Chicago/Turabian Style

Ramírez, Agripina, Gregorio García, Olaf Werner, José Navarro-Pedreño, and Rosa M. Ros. 2021. "Implications of the Phytoremediation of Heavy Metal Contamination of Soils and Wild Plants in the Industrial Area of Haina, Dominican Republic" Sustainability 13, no. 3: 1403. https://doi.org/10.3390/su13031403

APA Style

Ramírez, A., García, G., Werner, O., Navarro-Pedreño, J., & Ros, R. M. (2021). Implications of the Phytoremediation of Heavy Metal Contamination of Soils and Wild Plants in the Industrial Area of Haina, Dominican Republic. Sustainability, 13(3), 1403. https://doi.org/10.3390/su13031403

Note that from the first issue of 2016, this journal uses article numbers instead of page numbers. See further details here.

Article Metrics

Back to TopTop