A Parametric Study to Assess Lightweight Aggregate Concrete for Future Sustainable Construction of Reinforced Concrete Beams
Abstract
1. Introduction
2. Basis of Design for Reinforced LWC Beams in Bending
2.1. ULS Design Equations for Structures Subject to Pure Bending
2.1.1. Closed-Form Expressions for ULS Design
2.1.2. Linear Elastic Analysis with Limited Redistribution
3. Case Study and Formulation of the Parametric Analysis
3.1. Case Study
3.2. Definition of the Parametric Analysis
- Live load qlive: four possible alternatives of 2, 3, 4 and 5 kN/m2.
- The tributary width TW of the floor slab supported by the beam: six possible values ranging from 3.5 m to 6 m, at 0.5 m intervals.
- Cross-sectional dimensions b (width) and h (depth) (m). Two different typologies have been considered: (i) downstand beams, with depths h between 35 and 55 cm (at 5 cm intervals) and widths b of 25, 30 or 35 cm; and (ii) flat beams or wide-shallow beams (WSBs) with a depth h equal to that of the floor slab (27 cm) and seven different values of the cross-sectional width b, ranging from 40 to 70 cm at 5 cm intervals.
- Concrete cover d′ (to longitudinal rebar centre): four possible values ranging from 3.5 cm to 5 cm, at 0.5 cm intervals.
- Concrete compressive strength fck or flck: four possible grades, 20, 25, 30 and 35 MPa.
- Density class: three types of LWC with classes 1.6, 1.8, 2.0 plus the conventional concrete, NWC.
- Cement type: two cement strength grades are considered, 42.5 or 52.5 MPa. This parameter, along with the density class and concrete strength, determines the cement consumption of the LWC or NWC used by the beam and the floor slab.
- Span length L: seven different values ranging from 4 m to 7 m, at 0.5 m intervals.
- Redistribution factor: seven different values ranging from 1 to 0.7, at 0.05 intervals.
- Maximum ULS design load (in kN) transmitted to the three supports of the continuous beam.
- Cement consumption (in kg) of the cast ‘in situ’ LWC concrete used in both the beam and the tributary floor slab that is supported by it.
- Mass of steel (in kg) used in the longitudinal reinforcements of the beam.
- Estimation of the equivalent carbon dioxide (CO2) emissions associated with the cement consumption and steel used as longitudinal reinforcements.
- Compliance of the designs with the Serviceability Limit State (SLS). The cracked cross-sectional inertia of the critical sections is calculated to obtain the tensile stress of the longitudinal reinforcement under the relevant SLS combination of loads. This stress is then used to verify cracking without direct calculation—as described in Eurocode 2 [2]—and the limiting ratio of span length L to effective depth d, to omit an explicit analysis of the vertical deflection—also in compliance with Eurocode 2.
3.3. Cement Consumption in Lightweight Concrete
4. Results and Discussion
4.1. Downstand Beams
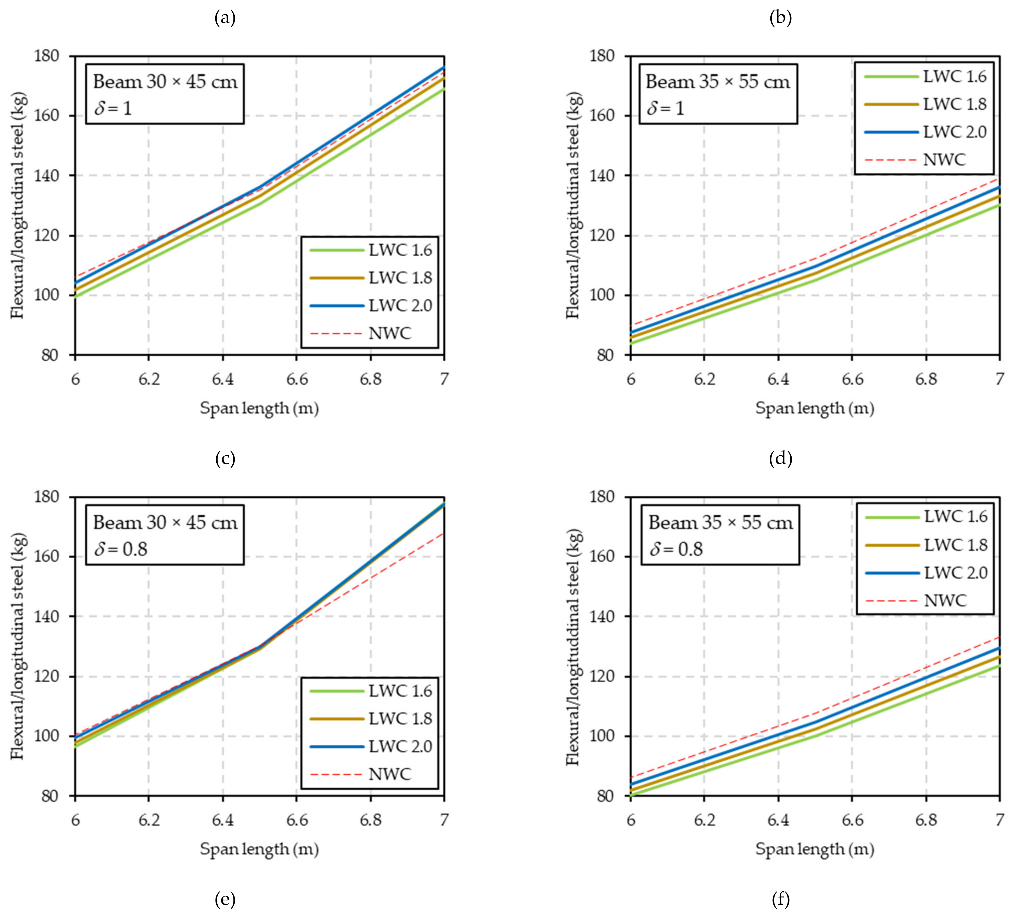
4.1.1. Beam Size, Concrete and Cement Strength and Redistribution Factor
4.1.2. Live Load, Tributary Width and Concrete Cover
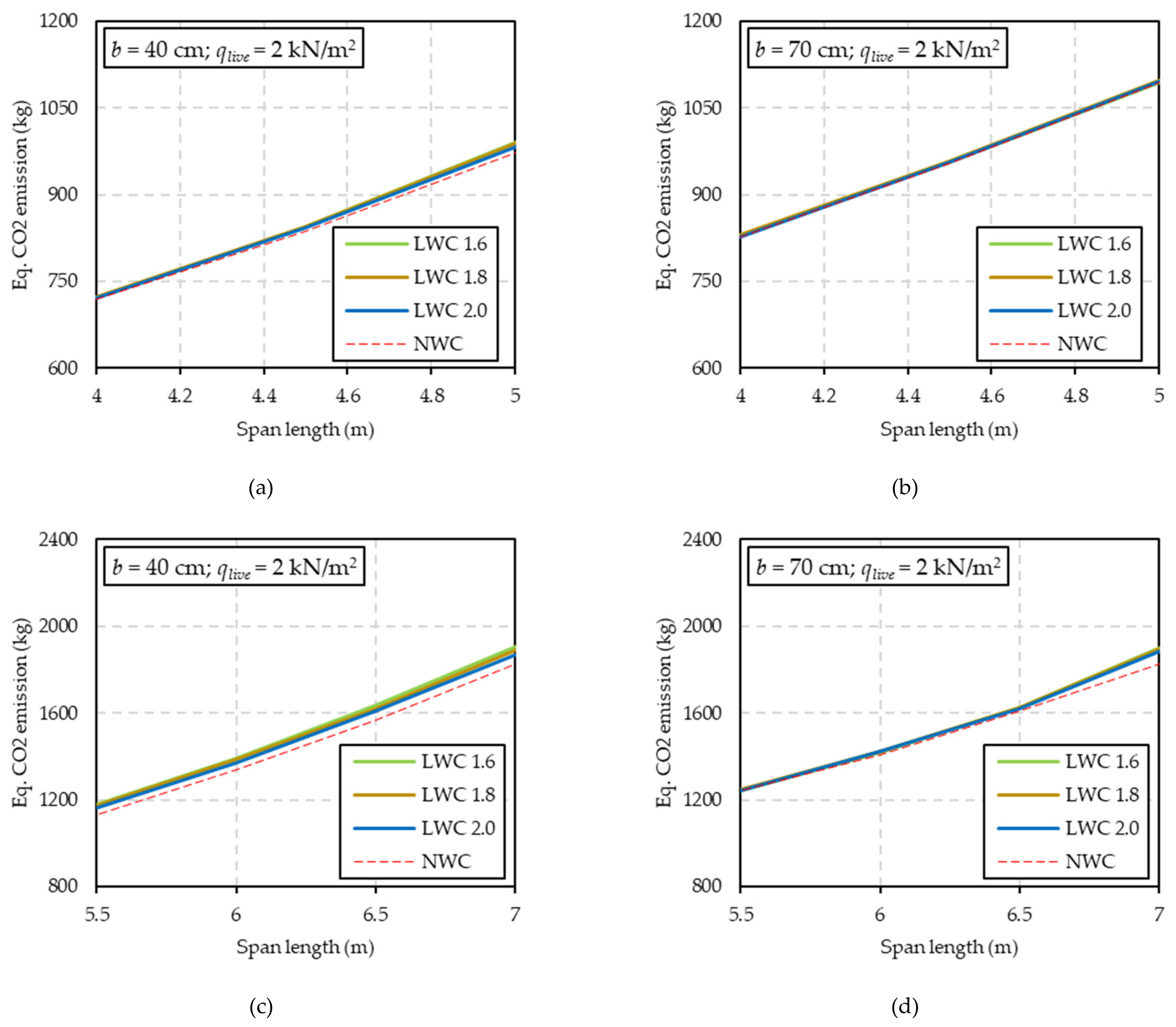
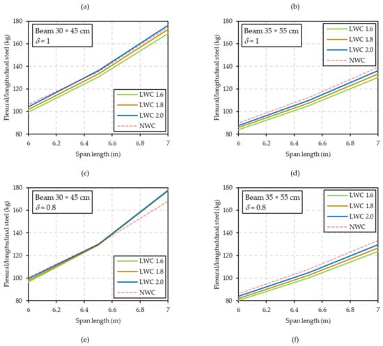
4.2. Flat Beams and Wide-Shallow Beams
4.3. Compliance with the Serviceability Limit States
5. Conclusions
- The methodology presented here has only been applied to reinforced concrete beams supporting the floor slabs. As has been shown in the discussion, the use of LWC seems to help reducing the longitudinal reinforcement requirements in the beams (with values between 4% and 5% with density class 1.8).
- This trend would also likely be observed in the ULS design of the bending strength of the beam-and-block floor slabs. However, it has been neglected in the present work. Therefore, the reduction in the global CO2 emissions when using LWC in beams and floor slabs would be potentially more significant than the results presented here, which are thus conservative.
- According to the available mix design methods, lightweight concretes with dry oven densities below 1600 kg/m3 were not deemed to be feasible while simultaneously trying to control the cement content. Moreover, this is in agreement with most experimental studies on LWC for structural purposes.
- It has been demonstrated that lightweight concretes help saving the mass of reinforcing steel required by concrete beams in a number of situations, with both downstand beams and flat beams. Nevertheless, the cement consumption is of great concern. That said, lightweight aggregate concretes with a dry oven density of 2000 kg/m3 would not have a negative impact on sustainability in the most conventional design scenarios.
- The overall self-weight of the horizontal levels in buildings could be reduced by 4% to 6% if lightweight concretes of density class 2 or 1.8 were used, with an immediate positive effect on the sizing of concrete columns and foundations.
- LWC of class 1.6 or lighter would demand a greater cement consumption and even longitudinal steel reinforcement in some situations. Therefore, it is not clear whether they have a more negative impact on carbon dioxide emissions and sustainability without resorting to a global analysis of the whole structural frame, including its foundations and seismic performance.
- In spite of the stricter requirements associated with the rotation capacity of reinforced lightweight concrete beams, as formulated by the European standard, the ductility of members subjected to bending was not compromised. The parametric analysis only detected some unfeasible or uttermost impossible design cases with flat beams or wide-shallow beams designed with a redistribution factor δ below 0.85. Furthermore, if the width-to-effective depth ratio of a wide-shallow beam lies within the recommended values and if the beam slenderness (span length-to-effective depth) remains below 22, lightweight concrete hardly affects the equivalent CO2 emissions on account of cement and steel, regardless of the occupancy category.
- Overall, compliance with SLS was not affected. Material stresses and cracking did not show significant problems. The limit on beam slenderness, to comply with vertical deflection without explicit calculations was marginally stricter than with conventional concrete. Despite this, the parametric analysis determined that class 2.0 LWC would allow for slightly more robust beams to be obtained in SLS when moderate values of moment redistribution had been previously used for the ULS design of reinforcements.
Author Contributions
Funding
Institutional Review Board Statement
Informed Consent Statement
Data Availability Statement
Acknowledgments
Conflicts of Interest
References
- Chen, Y.X.; Wu, F.; Yu, Q.; Brouwers, H.J.H. Bio-Based Ultra-Lightweight Concrete Applying Miscanthus Fibers: Acoustic Absorption and Thermal Insulation. Cem. Concr. Compos. 2020, 114, 103829. [Google Scholar] [CrossRef]
- European Committee for Standarisation. Eurocode 2: Design of Concrete Structures - Part 1-1: General Rules and Rules for Buildings; European Union: Brussels, Belgium, 2010; p. 225. [Google Scholar]
- International Federation for Structural Concrete (fib). Fib Model Code for Concrete Structures 2010; Ernst & Sohn: Berlin, Germany, 2013; ISBN 978-3-433-03061-5. [Google Scholar]
- Kim, C.H.; Jang, H.S. Concrete Shear Strength of Normal and Lightweight Concrete Beams Reinforced with FRP Bars. J. Compos. Constr. 2014, 18, 04013038. [Google Scholar] [CrossRef]
- Charif, A.; Shannag, M.J.; Dghaither, S. Ductility of Reinforced Lightweight Concrete Beams and Columns. Lat. Am. J. Solids Struct. 2014, 11, 1251–1274. [Google Scholar] [CrossRef]
- Bernardo, L.F.A.; Nepomuceno, M.C.S.; Pinto, H.A.S. Flexural Ductility of Lightweight-Aggregate Concrete Beams. J. Civ. Eng. Manag. 2016, 22, 622–633. [Google Scholar] [CrossRef]
- Bogas, J.A.; Ferrer, B.; Pontes, J.; Real, S. Biphasic Compressive Behavior of Structural Lightweight Concrete. ACI Mater. J. 2017, 114, 49–56. [Google Scholar] [CrossRef]
- Ali, A.; Iqbal, S.; Holschemacher, K.; Bier, T.A. Comparison of Flexural Performance of Lightweight Fibre-Reinforced Concrete and Normalweight Fibre-Reinforced Concrete. Period. Polytech. Civ. Eng. 2017, 61, 498–504. [Google Scholar] [CrossRef]
- Mohammed, B.S.; Foo, W.L.; Abdullahi, M. Flexural Strength of Palm Oil Clinker Concrete Beams. Mater. Des. 2014, 53, 325–331. [Google Scholar] [CrossRef]
- Tang, C.-W. Effect of Presoaking Degree of Lightweight Aggregate on the Properties of Lightweight Aggregate Concrete. Comput. Concr. 2017, 19, 69–78. [Google Scholar] [CrossRef]
- Mastali, M.; Kinnunen, P.; Isomoisio, H.; Karhu, M.; Illikainen, M. Mechanical and Acoustic Properties of Fiber-Reinforced Alkali-Activated Slag Foam Concretes Containing Lightweight Structural Aggregates. Constr. Build. Mater. 2018, 187, 371–381. [Google Scholar] [CrossRef]
- Real, S.; Bogas, J.A.; Gomes, M.d.G.; Ferrer, B. Thermal Conductivity of Structural Lightweight Aggregate Concrete. Mag. Concr. Res. 2016, 68, 798–808. [Google Scholar] [CrossRef]
- Real, S.; Gomes, M.G.; Moret Rodrigues, A.; Bogas, J.A. Contribution of Structural Lightweight Aggregate Concrete to the Reduction of Thermal Bridging Effect in Buildings. Constr. Build. Mater. 2016, 121, 460–470. [Google Scholar] [CrossRef]
- Lee, Y.H.; Chua, N.; Amran, M.; Yong Lee, Y.; Hong Kueh, A.B.; Fediuk, R.; Vatin, N.; Vasilev, Y. Thermal Performance of Structural Lightweight Concrete Composites for Potential Energy Saving. Crystals 2021, 11, 461. [Google Scholar] [CrossRef]
- Makul, N.; Fediuk, R.; Amran, M.; Zeyad, A.M.; Murali, G.; Vatin, N.; Klyuev, S.; Ozbakkaloglu, T.; Vasilev, Y. Use of Recycled Concrete Aggregates in Production of Green Cement-Based Concrete Composites: A Review. Crystals 2021, 11, 232. [Google Scholar] [CrossRef]
- Al-Ani, I.A.; Hamidon, W.; Al-Ansari, N.; Mohtar, W.H. Development of Lightweight Concrete Using Industrial Waste Palm Oil Clinker. J. Civ. Eng. Archit. 2020, 14, 293–307. [Google Scholar] [CrossRef]
- Mo, K.H.; Visintin, P.; Alengaram, U.J.; Jumaat, M.Z. Prediction of the Structural Behaviour of Oil Palm Shell Lightweight Concrete Beams. Constr. Build. Mater. 2016, 102, 722–732. [Google Scholar] [CrossRef]
- Li, J.J.; Niu, J.G.; Wan, C.J.; Jin, B.; Yin, Y.L. Investigation on Mechanical Properties and Microstructure of High Performance Polypropylene Fiber Reinforced Lightweight Aggregate Concrete. Constr. Build. Mater. 2016, 118, 27–35. [Google Scholar] [CrossRef]
- Bashar, I.I.; Alengaram, U.J.; Jumaat, M.Z.; Islam, A.; Santhi, H.; Sharmin, A. Engineering Properties and Fracture Behaviour of High Volume Palm Oil Fuel Ash Based Fibre Reinforced Geopolymer Concrete. Constr. Build. Mater. 2016, 111, 286–297. [Google Scholar] [CrossRef]
- Agwa, I.S.; Omar, O.M.; Tayeh, B.A.; Abdelsalam, B.A. Effects of Using Rice Straw and Cotton Stalk Ashes on the Properties of Lightweight Self-Compacting Concrete. Constr. Build. Mater. 2020, 235, 117541. [Google Scholar] [CrossRef]
- Congqi, F.; Meiying, Y. Seismic Performance of a Reinforced Lightweight Aggregate Concrete Frame. Key Eng. Mater. 2007, 340–341, 1139–1144. [Google Scholar]
- Liu, X.; Wu, T.; Wei, H. Seismic Behavior of Lightweight Aggregate Concrete Frame. J. Vibroeng. 2017, 19, 4410–4422. [Google Scholar] [CrossRef][Green Version]
- Chandra, S.; Berntsson, L. Fire Resistance of Lightweight Aggregate Concrete. In Lightweight Aggregate Concrete; Elsevier: Amsterdam, The Netherlands, 2002; pp. 291–319. [Google Scholar]
- Suntharalingam, T.; Gatheeshgar, P.; Upasiri, I.; Poologanathan, K.; Nagaratnam, B.; Rajanayagam, H.; Navaratnam, S. Numerical Study of Fire and Energy Performance of Innovative Light-Weight 3D Printed Concrete Wall Configurations in Modular Building System. Sustainability 2021, 13, 2314. [Google Scholar] [CrossRef]
- Kockal, N.U.; Ozturan, T. Strength and Elastic Properties of Structural Lightweight Concretes. Mater. Des. 2011, 32, 2396–2403. [Google Scholar] [CrossRef]
- Im, C.-R.; Yang, K.-H.; Kim, S.; Mun, J.-H. Flexural Performance of Lightweight Aggregate Concrete Columns. Eng. Struct. 2022, 251, 113545. [Google Scholar] [CrossRef]
- Hendrix, S.E.; Kowalsky, M.J. Seismic Shear Behavior of Lightweight Aggregate Concrete Square Columns. ACI Struct. J. 2010, 107, 680–688. [Google Scholar]
- Kowalsky, M.J.; Priestley, M.J.N.; Seible, F. Shear and Flexural Behavior of Lightweight Concrete Bridge Columns in Seismic Regions. ACI Struct. J. 1999, 96, 136–148. [Google Scholar]
- Wu, T.; Wei, H.; Zhang, Y.; Liu, X. Axial Compressive Behavior of Lightweight Aggregate Concrete Columns Confined with Transverse Steel Reinforcement. Adv. Mech. Eng. 2018, 10, 168781401876663. [Google Scholar] [CrossRef]
- Ahamad, S.H.; Xie, Y.; Yu, T. Shear Strength of Reinforced Lightweight Concrete Beams of Normal and High Strength Concrete. Mag. Concr. Res. 1994, 46, 57–66. [Google Scholar] [CrossRef]
- Deifalla, A.; Awad, A.; Seleem, H.; Abdelrahman, A. Investigating the Behavior of Lightweight Foamed Concrete T-Beams under Torsion, Shear, and Flexure. Eng. Struct. 2020, 219, 110741. [Google Scholar] [CrossRef]
- Walraven, J.; Belletti, B.; Esposito, R. Shear Capacity of Normal, Lightweight, and High-Strength Concrete Beams According to Model Code 2010. I: Experimental Results versus Analytical Model Results. J.Struct. Eng. 2013, 139, 1593–1599. [Google Scholar] [CrossRef]
- Zhang, Y.; Aslani, F. Compressive Strength Prediction Models of Lightweight Aggregate Concretes Using Ultrasonic Pulse Velocity. Constr. Build. Mater. 2021, 292, 123419. [Google Scholar] [CrossRef]
- Rashad, A.M. Lightweight Expanded Clay Aggregate as a Building Material – An Overview. Constr. Build. Mater. 2018, 170, 757–775. [Google Scholar] [CrossRef]
- Pelisser, F.; Barcelos, A.; Santos, D.; Peterson, M.; Bernardin, A.M. Lightweight Concrete Production with Low Portland Cement Consumption. J. Clean. Prod. 2012, 23, 68–74. [Google Scholar] [CrossRef]
- European Committee for Standarisation. Eurocode 1. Actions on Structures - Part 1-1: General Actions - Densities, Self Weight, Imposed Loads for Buildings; European Union: Brussels, Belgium, 2009; p. 44. [Google Scholar]
- Ministerio de Fomento, Gobierno de España. Instrucción de Hormigón Estructural (EHE-08); Centro de Publicadiones-Secretaria General Técnica-Ministerio de Fomento: Madrid, Spain, 2011; ISBN 8449808995.
- Ekdahl, A. Climate Change and the Production of Iron and Steel: An Industry View. Available online: https://www.worldsteel.org/en/dam/jcr:1b7492b1-15f5-401a-88f1-7ae488e0553f/SteelTalks%2520May%25202021_Asa%2520Ekdahl.pdf (accessed on 10 December 2021).
- Klee, H. Cement Industry Energy and CO2 Performance: Getting the Numbers Right. Available online: https://docs.wbcsd.org/2016/12/GNR.pdf (accessed on 10 December 2021).
- Bogas, J.A.; Gomes, A. A Simple Mix Design Method for Structural Lightweight Aggregate Concrete. Mater. Struct. 2013, 46, 1919–1932. [Google Scholar] [CrossRef]
- Fernández-Canovas, M. Hormigón, 10th ed.; Ibergarceta Publicaciones S.L.: Madrid, Spain, 2013. [Google Scholar]
- Conforti, A.; Minelli, F.; Plizzari, G.A. Wide-Shallow Beams with and without Steel Fibres: A Peculiar Behaviour in Shear and Flexure. Compos. Part B Eng. 2013, 51, 282–290. [Google Scholar] [CrossRef]
- Özbek, E.; Aykaç, B.; Bocek, M.; Yılmaz, M.C.; Mohammed, A.B.K.; Er, Ş.B.; Aykaç, S. Behavior and Strength of Hidden Rc Beams Embedded in Slabs. J. Build. Eng. 2020, 29, 101130. [Google Scholar] [CrossRef]
- Conforti, A.; Minelli, F.; Tinini, A.; Plizzari, G.A. Influence of Polypropylene Fibre Reinforcement and Width-to-Effective Depth Ratio in Wide-Shallow Beams. Eng. Struct. 2015, 88, 12–21. [Google Scholar] [CrossRef]
- Kim, M.S.; Kang, J.; Lee, Y.H. Improved Shear Strength Equation for Concrete Wide Beams. Appl. Sci. 2019, 9, 4513. [Google Scholar] [CrossRef]
- Beeby, A.W.; Narayanan, R.S. Designers’ Guide to EN1992-1-1 and EN1992-1-2. Eurocode 2: Design of Concrete Structures.; Thomas Telford Ltd.: London, UK, 2010; ISBN 978-0-7277-3105-0. [Google Scholar]





















| Density Class | 1 | 1.2 | 1.4 | 1.6 | 1.8 | 2.0 |
|---|---|---|---|---|---|---|
| Oven dry density (kg/m3) | 801–1000 | 1001–1200 | 1201–1400 | 1401–1600 | 1601–1800 | 1801–2000 |
| η1 | 0.67 | 0.73 | 0.78 | 0.84 | 0.89 | 0.95 |
| εlcu2 (‰) | 2.35 | 2.55 | 2.74 | 2.93 | 3.12 | 3.31 |
| λLWC, Equation (5) | 0.72 | 0.74 | 0.76 | 0.77 | 0.79 | 0.80 |
| k, Equation (6) | 0.39 | 0.39 | 0.40 | 0.40 | 0.41 | 0.41 |
| Density Class | 1.0 | 1.2 | 1.4 | 1.6 | 1.8 | 2.0 | NWC | |
|---|---|---|---|---|---|---|---|---|
| d′/d = 0.05 | δ = 1 | 408 | 435 | 435 | 435 | 435 | 435 | 435 |
| δ = 0.9 | 394 | 430 | 435 | 435 | 435 | 435 | 435 | |
| δ = 0.8 | 373 | 407 | 435 | 435 | 435 | 435 | 435 | |
| δ = 0.7 | 336 | 368 | 401 | 434 | 435 | 435 | 435 | |
| d′/d = 0.1 | δ = 1 | 345 | 378 | 411 | 435 | 435 | 435 | 435 |
| δ = 0.9 | 318 | 350 | 382 | 414 | 435 | 435 | 435 | |
| δ = 0.8 | 276 | 306 | 336 | 366 | 396 | 427 | 435 | |
| δ = 0.7 | 200 | 228 | 255 | 282 | 309 | 336 | 363 | |
| d′/d = 0.15 | δ = 1 | 283 | 313 | 344 | 374 | 405 | 435 | 435 |
| δ = 0.9 | 242 | 270 | 299 | 328 | 357 | 386 | 415 | |
| δ = 0.8 | 178 | 204 | 230 | 257 | 283 | 309 | 335 | |
| δ = 0.7 | 65 | 87 | 109 | 130 | 152 | 174 | 195 | |
| d′/d = 0.2 | δ = 1 | 220 | 248 | 276 | 304 | 332 | 360 | 388 |
| δ = 0.9 | 165 | 191 | 217 | 242 | 268 | 294 | 320 | |
| δ = 0.8 | 80 | 103 | 125 | 147 | 169 | 192 | 214 | |
| δ = 0.7 | −70 | −54 | −38 | −22 | −5 | 11 | 27 | |
| Density Class | NWC | Class 1.8 | Class 1.2 |
|---|---|---|---|
| Specific weight of cast “in situ” concrete (kN/m3) | 25 | 19.5 | 13.5 |
| gbeam (kN/m) | 3.38 | 2.63 | 1.82 |
| Total vertical ULS load (kN) | 286.6 | 272.5 | 252.4 |
| Saving (%) | N/A | 4.9% | 11.9% |
| Density Class | NWC | Class 1.8 | Class 1.2 |
|---|---|---|---|
| MEd at B (m·kN) without redistribution | −232.8 | −221.4 | −205.0 |
| Mthr,δ=1 (m·kN) | ±250.2 | ±198.6 | ±173.6 |
| Stress σs2 (MPa) | N/A | 435 | 382 |
| As2,req (mm2) | N/A | 141.6 | 222.7 |
| As1,req (mm2) | 1561.9 | 1487.3 | 1347.8 |
| As,total,hogging (mm2) | 1675.3 | 1628.9 | 1570.5 |
| MEd,max,sagging (m·kN) without redistribution | 143.1 | 136.7 | 127.5 |
| As2,req (mm2) | N/A | N/A | N/A |
| As1,req (mm2) | 885.0 | 860.9 | 802.5 |
| As,total,sagging (mm2) | 998.4 | 974.3 | 915.9 |
| Density Class | NWC | Class 1.8 | Class 1.2 |
|---|---|---|---|
| MEd at B (m·kN) with redistribution δ = 0.8 | −186.3 | −177.1 | −164.0 |
| Mthr,δ=0.8 (m·kN) | ±173.4 | ±137.3 | ±118.8 |
| Stress σs2 (MPa) | 435 | 402 | 311 |
| As2,req (mm2) | 80.2 | 267.8 | 393.2 |
| As1,req (mm2) | 1179.4 | 1112.7 | 1021.8 |
| As,total,hogging (mm2) | 1292.8 | 1380.5 | 1415.0 |
| MEd,max,sagging (m·kN) with redistribution δ = 0.8 | 149.0 | 141.7 | 131.2 |
| Stress σs2 (MPa) | N/A | 402 | 311 |
| As2,req (mm2) | N/A | 29.7 | 107.8 |
| As1,req (mm2) | 925.8 | 892.5 | 817.9 |
| As,total,sagging (mm2) | 1039.2 | 1005.9 | 931.3 |
| Density Class | NWC | Class 1.8 | Class 1.2 |
|---|---|---|---|
| MEd at B (m·kN) with redistribution δ = 0.7 | −163.0 | −155.0 | −143.5 |
| Mthr,δ=0.7 (m·kN) | ±129.7 | ±102.5 | ±88.5 |
| Stress σs2 (MPa) | 372 | 317 | 234 |
| As2,req (mm2) | 241.8 | 447.3 | 634.6 |
| As1,req (mm2) | 1000.6 | 950.7 | 877.3 |
| As,total,hogging (mm2) | 1242.3 | 1398.0 | 1511.9 |
| MEd,max,sagging (m·kN) with redistr. δ = 0.7 | 158.5 | 150.7 | 139.6 |
| Stress σs2 (MPa) | 372 | 317 | 234 |
| As2,req (mm2) | 209.0 | 410.7 | 588.8 |
| As1,req (mm2) | 972.5 | 924.0 | 852.6 |
| As,total,sagging (mm2) | 1181.5 | 1334.8 | 1441.4 |
| Density Class | NWC | Class 1.8 | Class 1.2 |
|---|---|---|---|
| δ = 1 | 59.6 | 58.1 (−2.5%) | 55.1 (−7.5%) |
| δ = 0.8 | 56.3 | 56.1 (−5.8%) | 53.7 (−9.9%) |
| δ = 0.7 | 61.1 (+2.5%) | 68.9 (+15.7%) | 74.4 (+25%) |
| NWC/LWC Strength fck/flck | 20 MPa | 25 MPa | 30 MPa | 35 MPa | |
|---|---|---|---|---|---|
| NWC | CEM 42.5 | 255 | 283 | 312 | 340 |
| CEM 52.5 | 234 | 259 | 283 | 308 | |
| Density class 2.0 | CEM 42.5 | 266 | 290 | 314 | 337 |
| CEM 52.5 | 243 | 266 | 289 | 313 | |
| Density class 1.8 | CEM 42.5 | 277 | 297 | 316 | 334 |
| CEM 52.5 | 251 | 273 | 295 | 317 | |
| Density class 1.6 | CEM 42.5 | 277 | 297 | 316 | 334 |
| CEM 52.5 | 251 | 273 | 295 | 317 | |
| Span Length | L = 4.5 m | L = 6.5 m | |||
|---|---|---|---|---|---|
| Redistribution factor | δ = 1 | δ = 0.8 | δ = 1 | δ = 0.8 | |
| b × h = 25 × 35 cm | NWC | 58 kg | 56 kg | 220 kg | 240 kg |
| LWC 1.8 | 57 kg | 57 kg | 222 kg | 255 kg | |
| b × h = 35 × 55 cm | NWC | 42 kg | 41 kg | 113 kg | 108 kg |
| LWC 1.8 | 40 kg | 39 kg | 107 kg | 103 kg | |
| Span Length | L = 4.5 m | L = 5.5 m | L = 6.5 m | |
|---|---|---|---|---|
| b × h = 25 × 35 cm | NWC | 58 ÷ 945 (1 to ≈ 16) | 117 ÷ 1155 (1 to ≈10) | 220 ÷ 1365 (1 to ≈6) |
| LWC 1.8 | 57 ÷ 992 (1 to ≈ 17) | 116 ÷ 1212 (1 to ≈10) | 222 ÷ 1433 (1 to ≈6) | |
| b × h = 35 × 55 cm | NWC | 42 ÷ 1195 (1 to ≈28) | 71 ÷ 1461 (1 to ≈21) | 113 ÷ 1727 (1 to ≈15) |
| LWC 1.8 | 40 ÷ 1255 (1 to ≈28) | 68 ÷ 1533 (1 to ≈23) | 107 ÷ 1812 (1 to ≈17) | |
| qlive (kN/m2) | 2 | 3 | 4 | 5 |
|---|---|---|---|---|
| NWC | 20.6 | 18.5 | 16.6 | 15 |
| LWC 2.0 | 21.3 | 19 | 16.9 | 15 |
| LWC 1.8 | 21.9 | 19.5 | 17.2 | 15.3 |
| LWC 1.6 | 22.3 | 19.8 | 17.5 | 15.4 |
| qlive (kN/m2) | 2 | 3 | 4 | 5 |
|---|---|---|---|---|
| NWC | 19.6 | 17.3 | 15.2 | 13.3 |
| LWC 2.0 | 20 | 17.3 | 15 | 13.2 |
| LWC 1.8 | 20.5 | 17.6 | 15.2 | 13.4 |
| LWC 1.6 | 20.8 | 17.8 | 15.3 | 13.4 |
| qlive (kN/m2) | 2 | 3 | 4 | 5 |
|---|---|---|---|---|
| NWC | 18.9 | 16.3 | 14.3 | 12.5 |
| LWC 2.0 | 19 | 16.4 | 14.2 | 12.5 |
| LWC 1.8 | 19.4 | 16.6 | 14.4 | 12.6 |
| LWC 1.6 | 19.6 | 16.8 | 14.5 | 12.6 |
| Span Length L (m) | 4 | 4.5 | 5 | 5.5 | 6 | 6.5 | 7 |
|---|---|---|---|---|---|---|---|
| NWC | 0.60 | 0.70 | 0.77 | 0.85 | 0.93 | 1.01 | - |
| LWC 2.0 | 0.61 | 0.69 | 0.77 | 0.85 | 0.93 | - | - |
| LWC 1.8 | 0.63 | 0.71 | 0.80 | 0.88 | - | - | - |
| LWC 1.6 | 0.66 | 0.74 | 0.82 | 0.89 | - | - | - |
| Factor δ = 1 | Factor δ = 0.85 | Factor δ = 0.7 | ||||
|---|---|---|---|---|---|---|
| Span Length L (m) | 6.5 | 7 | 6.5 | 7 | 6.5 | 7 |
| NWC | 0.76 | 0.82 | 0.74 | 0.80 | 0.6 | - |
| LWC 2.0 | 0.75 | 0.82 | 0.72 | 0.78 | - | - |
| LWC 1.8 | 0.78 | 0.85 | 0.74 | 0.80 | - | - |
| LWC 1.6 | 0.81 | 0.88 | 0.76 | 0.81 | - | - |
Publisher’s Note: MDPI stays neutral with regard to jurisdictional claims in published maps and institutional affiliations. |
© 2021 by the authors. Licensee MDPI, Basel, Switzerland. This article is an open access article distributed under the terms and conditions of the Creative Commons Attribution (CC BY) license (https://creativecommons.org/licenses/by/4.0/).
Share and Cite
Vives, I.; Varona, F.B.; Tenza-Abril, A.J.; Pereiro-Barceló, J. A Parametric Study to Assess Lightweight Aggregate Concrete for Future Sustainable Construction of Reinforced Concrete Beams. Sustainability 2021, 13, 13893. https://doi.org/10.3390/su132413893
Vives I, Varona FB, Tenza-Abril AJ, Pereiro-Barceló J. A Parametric Study to Assess Lightweight Aggregate Concrete for Future Sustainable Construction of Reinforced Concrete Beams. Sustainability. 2021; 13(24):13893. https://doi.org/10.3390/su132413893
Chicago/Turabian StyleVives, Ismael, Francisco B. Varona, Antonio J. Tenza-Abril, and Javier Pereiro-Barceló. 2021. "A Parametric Study to Assess Lightweight Aggregate Concrete for Future Sustainable Construction of Reinforced Concrete Beams" Sustainability 13, no. 24: 13893. https://doi.org/10.3390/su132413893
APA StyleVives, I., Varona, F. B., Tenza-Abril, A. J., & Pereiro-Barceló, J. (2021). A Parametric Study to Assess Lightweight Aggregate Concrete for Future Sustainable Construction of Reinforced Concrete Beams. Sustainability, 13(24), 13893. https://doi.org/10.3390/su132413893

