Urban Land-Use Efficiency Analysis by Integrating LCRPGR and Additional Indicators
Abstract
:1. Introduction
2. Materials and Methods
2.1. Study Area, Data, and Data Processing
2.2. Methods
3. Results
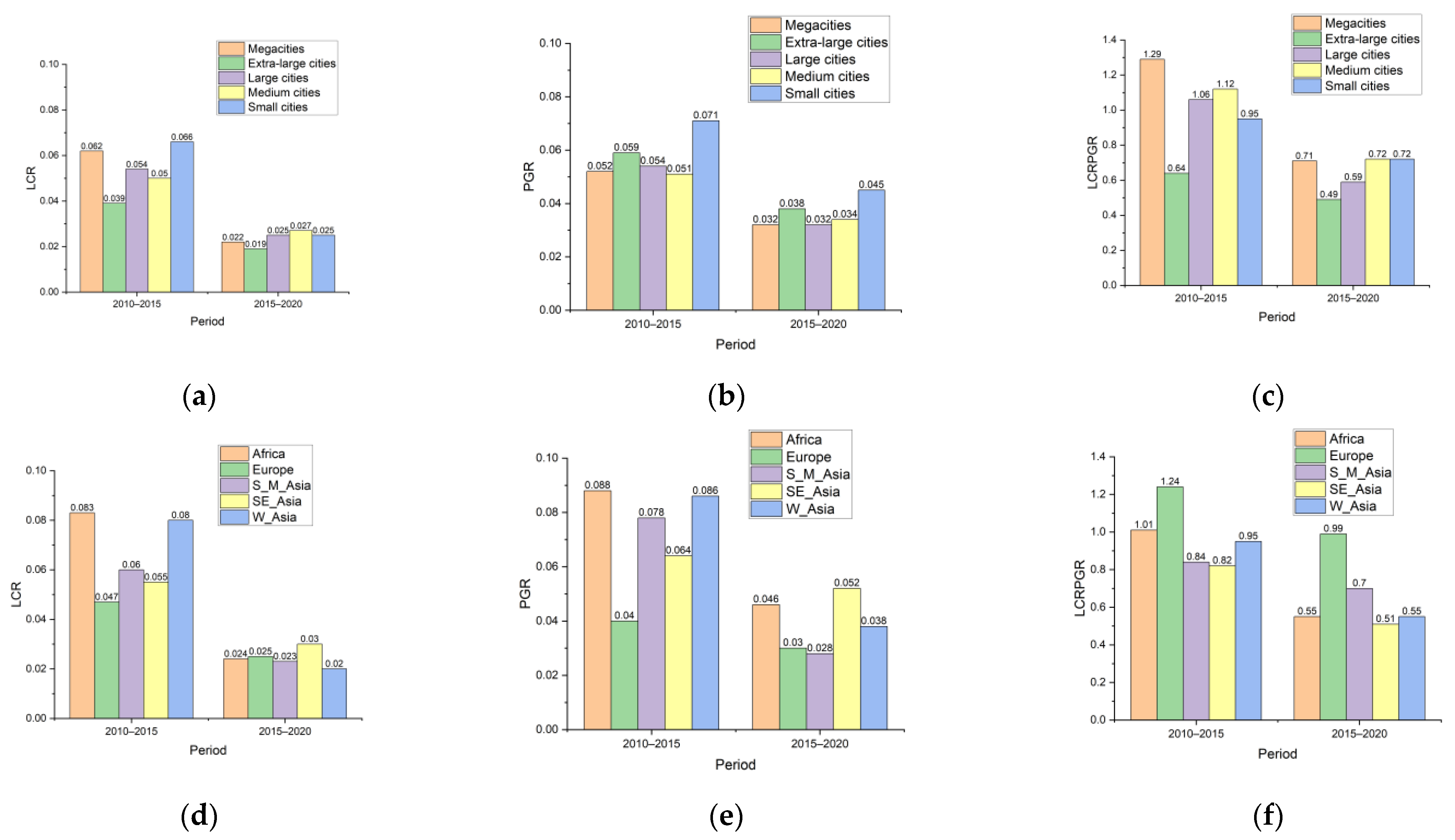
3.1. Results from the LCRPGR along the Study Area
3.2. Changes in the Overall Urban Built-Up Area in Different Urban Scales
3.3. LCPC Added Analysis for Cities with a Declined Trend in Urban Land Use
3.3.1. Overall Analysis of LCPC
3.3.2. Analysis of LCPC in the Expanded Built-Up Area
3.3.3. Analysis of LCPC in the Existing Built-Up Area
4. Discussion
5. Conclusions
- The LCRPGR values for 2015–2020 were generally lower than those from 2010–2015, indicating that overall land-use consumption had a downward trend. In addition, the urban sprawl speed and the urban sprawl intensity in 2020 were lower than those in 2015, while the growth of urban built-up areas slowed down, and the degree of compactness decreased over the years. These findings support the improvement of urban land-use efficiency in the study area for the measurement periods 2010–2015 to 2015–2020.
- With the reasonable LCRPGR value being 1, only one-third of the cities improved land-use efficiency for the periods 2010–2015 and 2015–2020. This means that many cities are facing the problem of inefficient use of urban land, either with relatively larger or smaller urban land consumption compared with the PGR.
- The mean LCPC values were calculated for cities with improved land-use efficiency. Regardless of geographical region or urban size, the LCPC values in the expanded built-up areas were higher than those of the existing built-up areas, demonstrating that the efficiency of urban land use in expanded built-up areas is lower than that of existing built-up areas. From 2010 to 2015 to 2020, the LCPC values in the expansion built-up regions showed a decreasing trend, which indicates that urban land use has become more efficient. This can be expected to have a positive impact on urban sustainability development. In addition, as the urban size decreased, the LCPC increased. This means that we need to pay more attention to the sustainable development of small-sized urban cities.
Author Contributions
Funding
Conflicts of Interest
References
- United Nations. Sustainable Development Goals. Available online: https://www.undp.org/sustainable-development-goals (accessed on 15 August 2021).
- Global Platform for Sustainable Cities. Urban sustainability framework. In Urban Sustainability Framework; International Bank for Reconstruction and Development/The World Bank: Washington DC, USA, 2018. [Google Scholar] [CrossRef] [Green Version]
- Wang, P.; Shao, Z.; Wang, J.; Wu, Q. The impact of land finance on urban land use efficiency: A panel threshold model for Chinese provinces. Growth Chang. 2020, 52, 310–331. [Google Scholar] [CrossRef]
- Wang, S.; Cebula, R.J.; Liu, X.; Foley, M. Housing prices and urban land use efficiency. Appl. Econ. Lett. 2021, 28, 1121–1124. [Google Scholar] [CrossRef]
- Cui, F.; Hamdi, R.; Yuan, X.; He, H.; Yang, T.; Kuang, W.; Termonia, P.; De Maeyer, P. Quantifying the response of surface urban heat island to urban greening in global north megacities. Sci. Total Environ. 2021, 801, 149553. [Google Scholar] [CrossRef] [PubMed]
- Liu, C.; Han, W.; Cai, Y.; Wen, Q.; Kong, K.; Guan, W. Spatial distribution and influencing factors of CO2 concentration near the ground in Korla. Environ. Sci. Technol. 2020, 4, 79–86. [Google Scholar]
- Dadi, D.; Azadi, H.; Senbeta, F.; Abebe, K.; Taheri, F.; Stellmacher, T. Urban sprawl and its impacts on land use change in Central Ethiopia. Urban For. Urban Green. 2016, 16, 132–141. [Google Scholar] [CrossRef]
- World Bank. Vietnam’s urbanization at a Crossroads: Embarking on an efficient, inclusive, and resilient pathway. In Vietnam’s Urbanization at a Crossroads; 2020; Available online: https://openknowledge.worldbank.org/handle/10986/34761 (accessed on 4 December 2021).
- United Nations Development Programme. What Are the Sustainable Development Goals. Available online: https://www.undp.org/content/undp/en/home/sustainable-development-goals.html (accessed on 15 August 2019).
- United Nations. Human Settlements Programme (UN-HABITAT). Urbanization and Development: Emerging Futures; (No. HS/038/16E); UN-Habitat: Nairobi, Kenya, 2016. [Google Scholar]
- UN-Habitat. SDG Indicator 11.3.1 Training Module: Land Use Efficiency; UN-Habitat: Nairobi, Kenya, 2018. [Google Scholar]
- Parnell, S. Defining a global urban development agenda. World Dev. 2016, 78, 529–540. [Google Scholar] [CrossRef]
- Akuraju, V.; Pradhan, P.; Haase, D.; Kropp, J.P.; Rybski, D. Relating SDG11 indicators and urban scaling—An exploratory study. Sustain. Cities Soc. 2020, 52, 101853. [Google Scholar] [CrossRef]
- UN-Habitat. Metadata on SDGs indicator 11.3.1 Indicator category: Tier II. Metadata on SDG Indicator 11.3.1. 2019. Available online: https://unhabitat.org/wp-content/uploads/2019/04/Metadata-on-SDG-Indicator-11.3.1.pdf (accessed on 10 May 2019).
- UK Office for National Statistics. Using Innovative Methods to Report against the Sustainable Development Goals 2018. Available online: https://www.ons.gov.uk/economy/environmentalaccounts/articles/usinginnovativemethodstoreportagainstthesustainabledevelopmentgoals/2018-10-22 (accessed on 1 December 2018).
- Zhang, L.; Zhang, L.; Xu, Y.; Zhou, P.; Yeh, C.-H. Evaluating urban land use efficiency with interacting criteria: An empirical study of cities in Jiangsu China. Land Use Policy 2020, 90, 104292. Available online: https://linkinghub.elsevier.com/retrieve/pii/S0264837719303886 (accessed on 15 August 2021). [CrossRef]
- United Nations. The Sustainable Development Goals Report; United Nations: New York, NY, USA, 2016; Available online: https://www.un.org/development/desa/publications/sustainable-development-goals-.report-2016.html (accessed on 2 March 2019).
- The Sustainable Development Goals Report 2020; United Nations: New York, NY, USA, 2020.
- Mudau, N.; Mwaniki, D.; Tsoeleng, L.; Mashalane, M.; Beguy, D.; Ndugwa, R. Assessment of SDG Indicator 11.3. 1 and Urban Growth Trends of Major and Small Cities in South Africa. Sustainability 2020, 12, 7063. [Google Scholar] [CrossRef]
- Koroso, N.H.; Zevenbergen, J.A.; Lengoiboni, M. Urban land use efficiency in Ethiopia: An assessment of urban land use sustainability in Addis Ababa. Land Use Policy 2020, 99, 105081. [Google Scholar] [CrossRef]
- Ghazaryan, G.; Rienow, A.; Oldenburg, C.; Thonfeld, F.; Trampnau, B.; Sticksel, S.; Jürgens, C. Monitoring of Urban Sprawl and Densification Processes in Western Germany in the Light of SDG Indicator 11.3.1 Based on an Automated Retrospective Classification Approach. Remote Sens. 2021, 13, 1694. [Google Scholar] [CrossRef]
- Li, C.; Cai, G.; Du, M. Big Data Supported the Identification of Urban Land Efficiency in Eurasia by Indicator SDG 11.3.1. ISPRS Int. J. Geo-Inf. 2021, 10, 64. [Google Scholar] [CrossRef]
- Laituri, M.; Davis, D.; Sternlieb, F.; Galvin, K. SDG Indicator 11.3.1 and Secondary Cities: An Analysis and Assessment. ISPRS Int. J. Geo-Inf. 2021, 10, 713. [Google Scholar] [CrossRef]
- Melchiorri, M.; Pesaresi, M.; Florczyk, J.A.; Corbane, C.; Kemper, T. Principles and Applications of the Global Human Settlement Layer as Baseline for the Land Use Efficiency Indicator—SDG 11.3.1. ISPRS Int. J. Geo Inf. 2019, 8, 96. [Google Scholar] [CrossRef] [Green Version]
- Wang, Y.; Huang, C.; Feng, Y.; Zhao, M.; Gu, J. Using Earth Observation for Monitoring SDG 11.3.1-Ratio of Land Consumption Rate to Population Growth Rate in Mainland China. Remote Sens. 2020, 12, 357. [Google Scholar] [CrossRef] [Green Version]
- Schiavina, M.; Melchiorri, M.; Corbane, C.; Florczyk, A.J.; Freire, S.; Pesaresi, M.; Kemper, T. Multi-Scale Estimation of Land Use Efficiency (SDG 11.3.1) across 25 Years Using Global Open and Free Data. Sustainability 2019, 11, 5674. [Google Scholar] [CrossRef] [Green Version]
- GHSL. Available online: https://ghslsys.jrc.ec.europa.eu/download.php?ds=smod (accessed on 15 August 2019).
- Jiang, H.; Sun, Z.; Guo, H.; Weng, Q.; Du, W.; Xing, Q.; Cai, G. An assessment of urbanization sustainability in China between 1990 and 2015 using land use efficiency indicators. NPJ Urban Sustain. 2021, 1, 34. [Google Scholar] [CrossRef]
- Wilson, B.; Chakraborty, A. The Environmental Impacts of Sprawl: Emergent Themes from the Past Decade of Planning Research. Sustainability 2013, 5, 3302–3327. [Google Scholar] [CrossRef] [Green Version]
- UN-Habitat. Metadata on SDG Indicator 11.3.1. 2021. Available online: https://unstats.un.org/sdgs/metadata/files/Metadata-11-03-01.pdf (accessed on 10 September 2021).
- Sun, Z.; Xu, R.; Du, W.; Wang, L.; Lu, D. High-Resolution Urban Land Mapping in China from Sentinel 1A/2 Imagery Based on Google Earth Engine. Remote Sens. 2019, 11, 752. [Google Scholar] [CrossRef] [Green Version]
- United Nations. Department of Economic and Social Affairs, Population. Division. World Urbanization Prospects: The 2018 Revision; United Nations: New York, NY, USA, 2018. [Google Scholar]
- UN-Habitat. SDG Goal 11 Monitoring Framework: A Guide to Assist National and Local Governments to Monitor and Report on SDG Goal 11+ Indicators; United Nations: New York, NY, USA, 2019. [Google Scholar]
- Shi, L.; Liu, F.; Zhang, Z.; Zhao, X.; Liu, B.; Xu, J.; Wen, Q.; Yi, L.; Hu, S. Spatial differences of coastal urban expansion in China from 1970s to 2013. Chin. Geogr. Sci. 2015, 25, 389–403. [Google Scholar] [CrossRef]
- Zhang, Y.; Yang, D.; Zhang, X.; Dong, W.; Zhang, X. Regional structure and spatial morphology characteristics of oasis urban agglomeration in arid area—A case of urban agglomeration in northern slope of Tianshan Mountains, Northwest China. Chin. Geogr. Sci. 2009, 19, 341. [Google Scholar] [CrossRef]
- Yan, M.; Huang, J. A Review of Research on Urban Spatial Expansion at Home and Abroad. Prog. Geogr. Sci. 2018, 16, 68–70. [Google Scholar]
- Meng, F.; Yin, C.; Meng, X.; Xiao, Q. Extraction of urban built-up areas by impervious surface concentration method. Remote Sens. Inf. 2020, 35, 8–15. [Google Scholar]
- Yu, X.; Li, Q.; Yang, C. Research on Remote Sensing Monitoring of Urban Spatial Expansion in the Main City of Chongqing. Geogr. Spat. Inf. 2013, 32, 1039–1050. [Google Scholar]
- Tian, L.; Li, Y.; Yan, Y.; Wang, B. Measuring urban sprawl and exploring the role planning plays: A shanghai case study. Land Use Policy 2017, 67, 426–435. [Google Scholar] [CrossRef]
- Knaap, G.-J.; Song, Y.; Ewing, R.; Clifton, K. Seeing the Elephant: Multi-Disciplinary Measures of Urban Sprawl; National Centre for Smart Growth Research and Education: Washington, DC, USA, 2005; pp. 10–11. [Google Scholar]
- Haldorson, M. Sweden Examples on 11.2.1, 11.3.1 and 11.7.1. In Proceedings of the International Seminar on United Nations Global Geospatial Information Management, Nairobi, Kenya, 7 December 2018. [Google Scholar]
- United Nations Human Settlements Program. Module 3: Land Consumption Rate. 2018. Available online: https://www.unescwa.org/sites/www.unescwa.org/files/u593/Module_3_land_consumption_edite586d_23-03-2018.pdf (accessed on 20 November 2018).
- Herold, M.; Scepan, J.; Clarke, K.C. The Use of Remote Sensing and Landscape Metrics to Describe Structures and Changes in Urban Land Uses. Environ. Plan. A Econ. Space 2002, 34, 1443–1458. [Google Scholar] [CrossRef] [Green Version]







| City Number | LCRPGR↓ | LCRPGR↑ | |
|---|---|---|---|
| Megacities | 3 | — | — |
| Extra-large cities | 4 | — | — |
| Large cities | 45 | 68.9% | 31.1% |
| Medium cities | 73 | 58.9% | 41.1% |
| Small cities | 212 | 70.4% | 29.6% |
| The Belt and Road | 338 |
| City Number | LCRPGR↓ | LCRPGR↑ | |
|---|---|---|---|
| Africa | 37 | 75.7% | 24.3% |
| EUR | 106 | 47.2% | 52.8% |
| W_Asia | 66 | 78.6% | 21.4% |
| S_M_Asia | 42 | 81.8% | 18.2% |
| SE_Asia | 87 | 73.6% | 26.4% |
| The Belt and Road | 338 |
| LCRPGR Change Trend | Interpretation | Example | Meaning |
|---|---|---|---|
| Close to 1 | The absolute value of the difference between the LCRPGR value and 1 for 2015–2020 is smaller than that for 2010–2015 | LCRPGR value for 2010–2015 is 2.19 then decreases to 1.22 for 2015–2020 | Improved land-use efficiency |
| Not close to 1 | The absolute value of the difference between the LCRPGR value and 1 for 2015–2020 is larger than that for 2010–2015 | LCRPGR value for 2010–2015 is 1.28 then increases to 1.92 for 2015–2020 | Declined land-use efficiency |
| Country Name | City Name | LCPC15_N | LCPC20_N | Area20-15 | Pop20-15 | LCPC_15 | LCPC_20 |
|---|---|---|---|---|---|---|---|
| Russian Federation | Orenburg | 229.04 | −3097.48 | −38.13 | 20246.80 | 196.48 | 122.45 |
| Saudi Arabia | Yanbu al Bahr | 286.29 | −58.07 | −2.07 | 81168.20 | 259.69 | 190.60 |
| Russian Federation | Penza | 170.28 | −2204.55 | −68.73 | 31211.35 | 201.94 | 58.45 |
| Russian Federation | Tver | 81.34 | −366.02 | −23.71 | 73367.06 | 107.86 | 33.41 |
Publisher’s Note: MDPI stays neutral with regard to jurisdictional claims in published maps and institutional affiliations. |
© 2021 by the authors. Licensee MDPI, Basel, Switzerland. This article is an open access article distributed under the terms and conditions of the Creative Commons Attribution (CC BY) license (https://creativecommons.org/licenses/by/4.0/).
Share and Cite
Li, C.; Cai, G.; Sun, Z. Urban Land-Use Efficiency Analysis by Integrating LCRPGR and Additional Indicators. Sustainability 2021, 13, 13518. https://doi.org/10.3390/su132413518
Li C, Cai G, Sun Z. Urban Land-Use Efficiency Analysis by Integrating LCRPGR and Additional Indicators. Sustainability. 2021; 13(24):13518. https://doi.org/10.3390/su132413518
Chicago/Turabian StyleLi, Chaopeng, Guoyin Cai, and Zhongchang Sun. 2021. "Urban Land-Use Efficiency Analysis by Integrating LCRPGR and Additional Indicators" Sustainability 13, no. 24: 13518. https://doi.org/10.3390/su132413518
APA StyleLi, C., Cai, G., & Sun, Z. (2021). Urban Land-Use Efficiency Analysis by Integrating LCRPGR and Additional Indicators. Sustainability, 13(24), 13518. https://doi.org/10.3390/su132413518
