People Prefer Greener Corridors: Evidence from Linking the Patterns of Tree and Shrub Diversity and Users’ Preferences in Lisbon’s Green Corridors
Abstract
1. Introduction
2. Materials and Methods
2.1. Study Area
2.2. Characteristics of Tree and Shrub Diversity and Functional Patterns
- (a)
- Relative abundance—number of tree and shrub individuals observed per survey;
- (b)
- Species richness (S)—number of tree and shrub species observed per survey;
- (c)
- Species evenness (J)—is a measure of diversity that quantifies how equal the community is numerically. Varies from 0 (zero) to 1 (one), with values closer to zero reflecting an uneven community is (i.e., one or more species are dominant) and vice versa.
- (a)
- Species size: tree (≥6 m) versus shrub (≤5 m) [29]. Species size does not refer to the observed size of the individuals, but the maximum size described for a given species;
- (b)
- Species origin: native versus exotic. Although it is not consensual, we considered species origin as a functional trait in this study;
- (c)
- Pollination mode: anemophilous (pollination occurs through the wind) versus entomophilous (insects are the pollinating agents). Pollination mode was determined based on field observations and morphological analysis [30];
- (d)
- Seed dispersal mode: anemochory (dispersion is wind-facilitated) versus zoochory (dispersion is animal-facilitated);
- (e)
- Foliage lifespan: deciduous (plants shed their leaves during unfavorable seasons) versus evergreens (maintain their foliage permanently);
- (f)
- Fruit type: fleshy (the pericarp is succulent and attracts animals that will contribute to seed dispersion) versus dry (the pericarp is dry and normally the seed is wind dispersed).
2.3. Characteristics of GCs Users
- (a)
- Gender: male or female.
- (b)
- Age: children <11 years old; young between 12 and 24 years old; adults between 25 and 64 years old; and elderly >65 years old.
- (c)
- Company: alone or accompanied.
- (d)
- Mobility: walking, running, bicycle, others (skate, rollerblades, and scooter).
- (e)
- Purpose of using the GC: commuting to work/school, leisure, or sport.
2.4. Statistics
3. Results
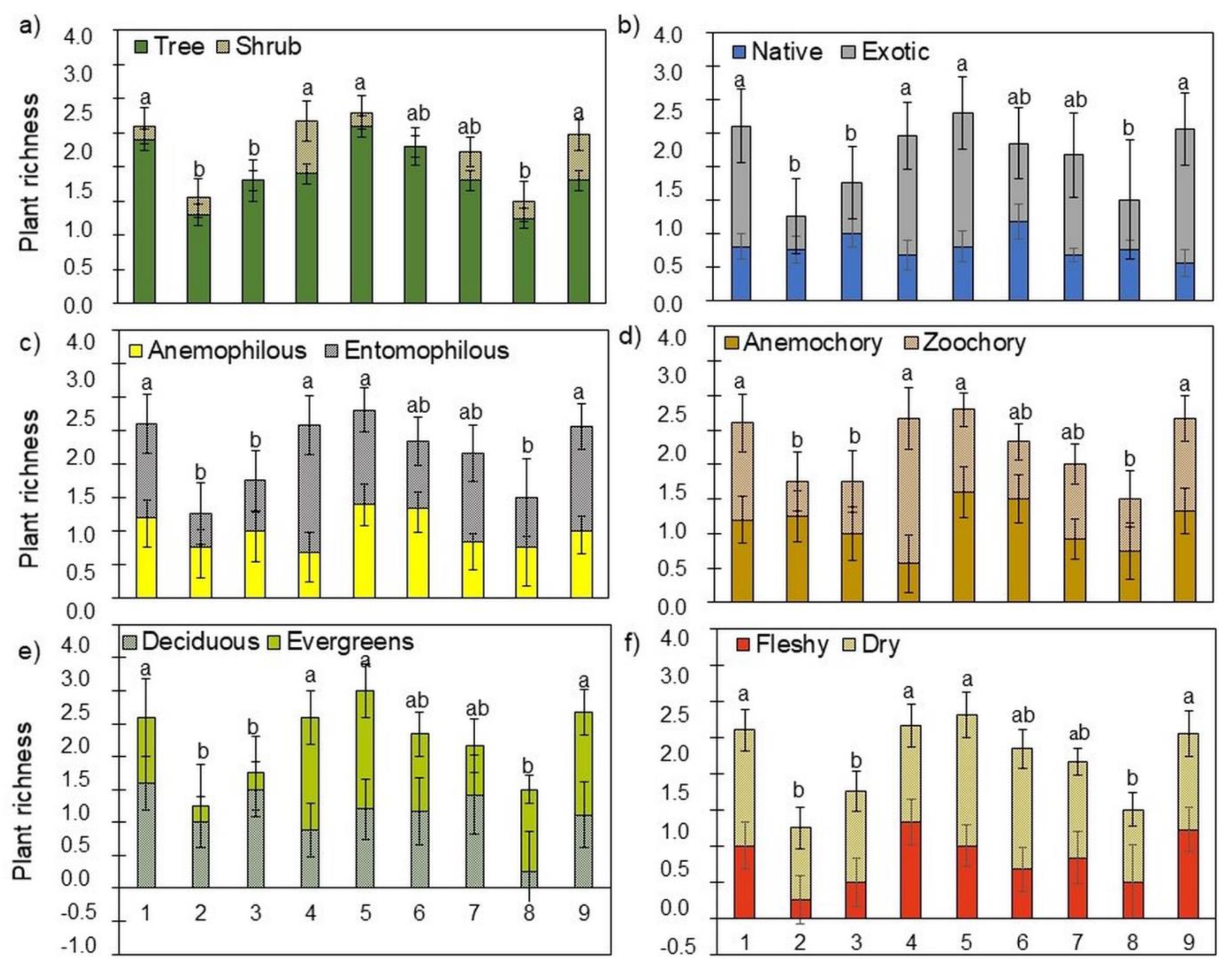
3.1. Tree and Shrub Diversity and Functional Patterns
3.2. GCs’ Users
3.3. Relationship between GCs’ Tree and Shrub Diversity and Users
4. Discussion
4.1. GCs Promote Urban Biodiversity and Human Wellbeing
4.2. Linking GCs’ Tree and Shrub Community and Users
5. Conclusions
Supplementary Materials
Author Contributions
Funding
Acknowledgments
Conflicts of Interest
References
- United Nations. World Urbanization Prospects; Department of Economic and Social Affairs, United Nation: New York, NY, USA, 2014. [Google Scholar]
- Soares, A.L.; Rego, F.C.; McPherson, E.G.; Simpson, J.R.; Peper, P.J.; Xiao, Q. Benefits and costs of street trees in Lisbon, Portugal. Urban For. Urban Green. 2011, 10, 69–78. [Google Scholar] [CrossRef]
- Lachowycz, K.; Jones, A.P. Towards a better understanding of the relationship between greenspace and health: Development of a theoretical framework. Landsc. Urban Plan. 2013, 118, 62–69. [Google Scholar] [CrossRef]
- Ribeiro, L.; Barão, T. Greenways for recreation and maintenance of landscape quality: Five case studies in Portugal. Landsc. Urban Plan. 2006, 76, 79–97. [Google Scholar] [CrossRef]
- Ferreira, J.C.; Machado, J.R. Infra-estruturas verdes para um futuro urbano sustentável. O contributo da estrutura ecológica e dos corredores verdes. Rev. LabVerde 2010. [Google Scholar] [CrossRef]
- Ferreira, J.C.; Silva, C.; Tenedorio, J.A.; Pontes, S.; Encarnação, S.; Marques, L. Coastal greenways: Interdisplinarity and integration challenges for the management of developed coastal areas. J. Coastal Res. 2006, 39, 1833–1837. Available online: https://www.jstor.org/stable/25743078 (accessed on 7 June 2021).
- Shi, X.; Qin, M.; Li, B.; Zhang, D. A Framework for Optimizing Green Infrastructure Networks Based on Landscape Connectivity and Ecosystem Services. Sustainability 2021, 13, 10053. [Google Scholar] [CrossRef]
- Suarez-Rubio, M.; Thomlinson, J.R. Landscape and patch-level factors influence bird communities in an urbanized tropical island. Biol. Conserv. 2009, 142, 1311–1321. [Google Scholar] [CrossRef]
- Roy, S.; Byrne, J.; Pickering, C. A systematic quantitative review of urban tree benefits, costs, and assessment methods across cities in different climatic zones. Urban For. Urban Green. 2012, 11, 351–363. [Google Scholar] [CrossRef]
- de Freitas, W.K.; Pinheiro, M.A.S.; Abrahão, L.L.F. Análise da Arborização de Quatro Praças no Bairro da Tijuca, RJ, Brasil. Floresta E Ambiente 2015, 22, 23–31. [Google Scholar] [CrossRef]
- Briz, J.; De Felipe, I. Incorporacion de la naturaleza em cada Rincón de la ciudad: Naturalización urbana. Arquitectura y Paisaje 2004, 120, 12–19. [Google Scholar]
- Boada, M.; Sanchez, S. Naturaleza y cultura, biodiversidad urbana. In Ecoinovação Para Melhoria Ambiental de Produtos e Serviços-Experiências Espanholas e Brasileiras Nos Setores Industrial, Urbano e Agrícola; Ometto, A.R., Peres, R.B., Saavedra, Y.M.B., Eds.; Diagrama Editorial: São Carlos, Brazil, 2012; pp. 131–142. [Google Scholar]
- Cornelissen, J.H.C.; Lavorel, S.; Garnier, E.; Díaz, S.; Buchmann, N.; Gurvich, D.E.; Reich, P.; ter Steege, H.; Morgan, H.D.; Van Der Heijden, M.G.A.; et al. A handbook of protocols for standardised and easy measurement of plant functional traits worldwide. Aust. J. Bot. 2003, 51, 335–380. [Google Scholar] [CrossRef]
- Monalisa-Francisco, N.; Ramos, F.N. Composition and Functional Diversity of the Urban Flora of Alfenas-MG, Brazil. Floresta E Ambient. 2019, 26, 11. [Google Scholar] [CrossRef]
- Aronson, M.F.; Handel, S.N.; Clemants, S.E. Fruit type, life form and origin determine the success of woody plant invaders in an urban landscape. Biol. Invasions 2007, 9, 465–475. [Google Scholar] [CrossRef]
- Knapp, S.; Kühn, I.; Schweiger, O.; Klotz, S. Challenging urban species diversity: Contrasting phylogenetic patterns across plant functional groups in Germany. Ecol. Lett. 2008, 11, 1054–1064. [Google Scholar] [CrossRef] [PubMed]
- Kramer, J.A.; Krupek, R.A. Caracterização florística e ecológica da arborização de praças públicas do município de Guarapuava, PR. Rev. Árvore 2012, 36, 647–658. [Google Scholar] [CrossRef]
- McKinney, M.L. Urbanization as a major cause of biotic homogenization. Biol. Conserv. 2006, 127, 247–260. [Google Scholar] [CrossRef]
- Schlaepfer, M.A.; Sax, D.F.; Olden, J.D. The Potential Conservation Value of Non-Native Species. Conserv. Biol. 2011, 25, 428–437. [Google Scholar] [CrossRef]
- Jim, C. Characteristics of Urban Park Trees in Hong Kong in Relation to Greenspace Planning and Development. Acta Hortic. 2004, 643, 123–128. [Google Scholar] [CrossRef]
- Luz, A.C.; Buijs, M.; Aleixo, C.; Metelo, I.; Grilo, F.; Branquinho, C.; Santos-Reis, M.; Pinho, P. Should I stay or should I go? Modelling the fluxes of urban residents to visit green spaces. Urban For. Urban Green. 2019, 40, 195–203. [Google Scholar] [CrossRef]
- CML; Câmara Municipal de Lisboa. Biodiversidade na Cidade de Lisboa. Uma Estratégia Para 2020. 2015. Available online: https://issuu.com/camara_municipal_lisboa/docs/biodiversidade_estrat_2020 (accessed on 7 June 2021).
- CML. Plano Diretor Municipal de Lisboa. 2012. Available online: https://dre.pt/dre/analise-juridica/aviso/11622-2012-1787349 (accessed on 7 June 2021).
- Durigan, G.; de Siqueira, M.F.; Franco, G.A.D.C.; Bridgewater, S.; Ratter, J.A. The vegetation of priority areas for Cerrado conservation in São Paulo Sate, Brazil. Edinburgh J. Bot. 2003, 60, 217–241. [Google Scholar] [CrossRef]
- Chase, M.W.; Christenhusz, M.J.M.; Fay, M.F.; Byng, J.W.; Judd, W.S.; Soltis, D.E.; Mabberley, D.J.; Sennikov, A.N.; Soltis, P.S.; The Angiosperm Phylogeny Group; et al. An update of the Angiosperm Phylogeny Group classification for the orders and families of flowering plants: APG IV. Bot. J. Linn. Soc. 2016, 181, 1–20. [Google Scholar] [CrossRef]
- ICNF-Instituto da Conservação da Natureza e das Florestas. Espécies Arbóreas Indígenas em Portugal Continental. Guia de Utilização 2016, 1, 1–44. Available online: https://www.icnf.pt/api/file/doc/2ed27 (accessed on 7 June 2021).
- Sociedade Portuguesa de Botânica. Flora-On: Flora de Portugal Interactiva. 2014. Available online: www.flora-on.pt (accessed on 7 June 2021).
- Duncan, R.P.; Clemants, S.E.; Corlett, R.T.; Hahs, A.K.; McCarthy, M.A.; McDonnell, M.J.; Schwartz, M.W.; Thompson, K.; Vesk, P.A.; Williams, N.S.G. Plant traits and extinction in urban areas: A meta-analysis of 11 cities. Glob. Ecol. Biogeogr. 2011, 20, 509–519. [Google Scholar] [CrossRef]
- Salviatí, E.J. Tipos vegetais aplicados ao paisagismo. Paisag. Ambiente 1993, 9–45. Available online: https://www.revistas.usp.br/paam/article/download/133781/129652/257110. (accessed on 7 June 2021).
- Van Der Pijl, L. Principles of Dispersal in Higher Plants; Springer-Verlarg: Berlin/Heidelberg, Germany, 1982; 161p. [Google Scholar]
- Colwell, R.K.; Chao, A.; Gotelli, N.J.; Lin, S.-Y.; Mao, C.X.; Chazdon, R.L.; Longino, J.T. Models and estimators linking individual-based and sample-based rarefaction, extrapolation and comparison of assemblages. J. Plant. Ecol. 2012, 5, 3–21. [Google Scholar] [CrossRef]
- R Core Team. R: A Language and Environment for Statistical Computing; R Foundation for Statistical Computing: Vienna, Austria, 2019. [Google Scholar]
- de Almeida, J.R.; Barbosa, C.G. Diagnóstico da Arborização Urbana da Cidade de Cacoal-Ro. Rev. Soc. Bras. Arborização Urb. 2010, 5, 61–81. [Google Scholar] [CrossRef]
- Pauleit, S.; Jones, N.; Garcia-Martin, G.; Garcia-Valdecantos, J.L.; Rivière, L.M.; Vidal-Beaudet, L.; Bodson, M.; Randrup, T.B. Tree establishment practice in towns and cities—Results from a European survey. Urban For. Urban Green. 2002, 1, 83–96. [Google Scholar] [CrossRef]
- Mata, D. (Câmara Municipal de Lisboa, Lisboa, Portugal). Personal communication, 2020.
- CML; Câmara Municipal de Lisboa. Plantação de Árvores e Arbustos: Aumento da Densidade de Cobertura Arbórea ao Longo da Infraestrutura Verde Urbana de Lisboa. 2021. Available online: https://life-lungs.lisboa.pt/acoes/plantacao-de-arvores-e-arbustos/rega (accessed on 7 June 2021).
- Knapp, S.; Dinsmore, L.; Fissore, C.; Hobbie, S.E.; Jakobsdottir, I.; Kattge, J.; King, J.Y.; Klotz, S.; McFadden, J.P.; Cavender-Bares, J. Phylogenetic and functional characteristics of household yard floras and their changes along an urbanization gradient. Ecology 2012, 93, S83–S98. [Google Scholar] [CrossRef]
- Williams, N.S.G.; Schwartz, M.W.; Vesk, P.A.; McCarthy, M.A.; Hahs, A.K.; Clemants, S.E.; Corlett, R.T.; Duncan, R.P.; Norton, B.A.; Thompson, K.; et al. A conceptual framework for predicting the effects of urban environments on floras. J. Ecol. 2009, 97, 4–9. [Google Scholar] [CrossRef]
- Guimarães, M. Há mais aves nos grandes centros urbanos hoje? Ciência Cult. 2006, 58, 14–15. Available online: http://cienciaecultura.bvs.br/scielo.php?script=sci_arttext&pid=S0009-672520060002 (accessed on 7 June 2021).
- Kinoshita, L.S.; Torres, R.B.; Forni-Martins, E.R.; Spinelli, T.; Ahn, Y.J.; Constâncio, S.S. Composição florística e síndromes de polinização e de dispersão da mata do Sítio São Francisco, Campinas, SP, Brasil. Acta Bot. Bras. 2006, 20, 313–327. [Google Scholar] [CrossRef]
- Vale, A.; Navarro, L.; Rojas, D.; Alvarez, J.C. Breeding system and pollination by mimicry of the orchid Tolumnia guibertiana in Western Cuba. Plant. Species Biol. 2011, 26, 163–173. [Google Scholar] [CrossRef]
- Corlett, R.T. Interactions between birds, fruit bats and exotic plants in urban Hong Kong, South China. Urban. Ecosyst. 2005, 8, 275–283. [Google Scholar] [CrossRef]
- Wang, H.-F.; MacGregor-Fors, I.; López-Pujol, J. Warm-temperate, immense, and sprawling: Plant diversity drivers in urban Beijing, China. Plant. Ecol. 2012, 213, 967–992. [Google Scholar] [CrossRef]
- Vidra, R.L.; Shear, T.H.; Stucky, J.M. Effects of vegetation removal on native understory recovery in an exotic-rich urban forest1. J. Torrey Bot. Soc. 2007, 134, 410–419. [Google Scholar] [CrossRef]
- Corbet, S.A.; Bee, J.; DasMahapatra, K.; Gale, S.; Gorringe, E.; La Ferla, B.; Moorhouse, T.; Trevail, A.; Van Bergen, Y.; Vorontsova, M. Native or Exotic? Double or Single? Evaluating Plants for Pollinator-friendly Gardens. Ann. Bot. 2001, 87, 219–232. [Google Scholar] [CrossRef]
- Shackleton, C.M.; Shackleton, R.T. Knowledge, perceptions and willingness to control designated invasive tree species in urban household gardens in South Africa. Biol. Invasions 2016, 18, 1599–1609. [Google Scholar] [CrossRef]
- Seebens, H.; Essl, F.; Dawson, W.; Fuentes, N.; Moser, D.; Pergl, J.; Pyšek, P.; van Kleunen, M.; Weber, E.; Winter, M.; et al. Global trade will accelerate plant invasions in emerging economies under climate change. Glob. Chang. Biol. 2015, 21, 4128–4140. [Google Scholar] [CrossRef] [PubMed]
- O’Brien, B.C. Xeriscaping: Sources of new native ornamental plants. In Progress in New Crops; Janick, J., Ed.; ASHS: Arlington, VA, USA, 1996; pp. 536–539. Available online: https://hort.purdue.edu/newcrop/proceedings1996/V3-536.html (accessed on 7 June 2021).
- Heiden, G.; Barbieri, R.L.; Stumpf, E.R.T. Considerações sobre o uso de plantas ornamentais nativas. Rev. Bras. De Hortic. Ornam. 2006, 12, 2–7. [Google Scholar] [CrossRef][Green Version]
- Munshi-South, J. Urban landscape genetics: Canopy cover predicts gene flow between white-footed mouse (Peromyscus leucopus) populations in New York City. Mol. Ecol. 2012, 21, 1360–1378. [Google Scholar] [CrossRef]
- Knapp, S.; Kühn, I.; Stolle, J.; Klotz, S. Changes in the functional composition of a Central European urban flora over three centuries. Perspect. Plant. Ecol. Evol. Syst. 2010, 12, 235–244. [Google Scholar] [CrossRef]
- Ordóñez, C.; Duinker, P.N. Ecological integrity in urban forests. Urban. Ecosyst. 2012, 15, 863–877. [Google Scholar] [CrossRef]
- Abreu, L.V.; Labaki, L.C. Conforto térmico propiciado por algumas espécies arbóreas: Avaliação do raio de influência através de diferentes índices de conforto. Ambiente Construído 2010, 10, 103–117. [Google Scholar] [CrossRef]
- González-García, A.; Belliure, J.; Gómez-Sal, A.; Dávila, P. The role of urban greenspaces in fauna conservation: The case of the iguana Ctenosaura similis in the “patios” of León city, Nicaragua. Biodivers. Conserv. 2009, 18, 1909–1920. [Google Scholar] [CrossRef]
- Pauw, A.; Louw, K. Urbanization Drives a Reduction in Functional Diversity in a Guild of Nectar-feeding Birds. Ecol. Soc. 2012, 17. [Google Scholar] [CrossRef]
- Flynn, D.F.B.; Gogol-Prokurat, M.; Nogeire, T.; Molinari, N.; Richers, B.T.; Lin, B.B.; Simpson, N.; Mayfield, M.M.; DeClerck, F. Loss of functional diversity under land use intensification across multiple taxa. Ecol. Lett. 2009, 12, 22–33. [Google Scholar] [CrossRef] [PubMed]
- Ugolini, F.; Massetti, L.; Calaza-Martínez, P.; Cariñanos, P.; Dobbs, C.; Ostoić, S.K.; Marin, A.M.; Pearlmutter, D.; Saaroni, H.; Šaulienė, I.; et al. Effects of the COVID-19 pandemic on the use and perceptions of urban green space: An international exploratory study. Urban For. Urban Green. 2020, 56, 126888. [Google Scholar] [CrossRef] [PubMed]
- INE—Instituto Nacional de Estatística. Censos 2011 da População Residente que Trabalha ou Estuda por Município. 2011. Available online: http://www.ine.pt (accessed on 7 June 2021).
- CML; Câmara Municipal de Lisboa. II Diagnóstico Social de Lisboa 2015–2016. 2016. Available online: www.am-lisboa.pt/documentos/1518709936A8sST5fr2Qg86FJ5 (accessed on 7 June 2021).






| Designation | GC | Extension (km2) | Year of Implementation | Biophysical Structures | Function(s) |
|---|---|---|---|---|---|
| 1 | Ocidental | 0.40 | 2015–2017 | Public equipment, vegetable gardens, green spaces | Ecological Cultural |
| 2 | Vale de Alcântara | 0.53 | 2017–2020 | Bike lane, public equipment (sports), green spaces | Ecological Recreational |
| 3 | Olivais | 0.59 | 2013–2017 | Bike lane, public equipment, vegetable gardens, green spaces | Ecological |
| 4 | Monsanto | 0.72 | 1977–2012 | Bike lane, public equipment (sports), green spaces | Ecological Recreational |
| 5 | Alta do Lumiar | 0.78 | 2013 | Public equipment, water source, green spaces | Ecological |
| 6 | Oriental | 1.91 | 2013–2020 | Bike lane, vegetable gardens, public equipment (sports), green spaces | Ecological Recreational Cultural |
| 7 | Ribeirinho | 3.58 | 2009–2020 | Bike lane, public equipment (sports), green spaces | Ecological Recreational Cultural |
| 8 | Central | 5.10 | 2010–2016 | Public equipment, water source, green spaces | Ecological Recreational Cultural |
| 9 | Periférico | 5.81 | 2009–2020 | Bike lane, public equipment, vegetable gardens, green spaces | Ecological |
| Green Corridor | ||||||||||||||||
|---|---|---|---|---|---|---|---|---|---|---|---|---|---|---|---|---|
| Family | Species | O | S | P | D | L | F | 1 | 2 | 3 | 4 | 5 | 6 | 7 | 8 | 9 |
| (5) | (4) | (4) | (9) | (5) | (6) | (12) | (4) | (9) | ||||||||
| Adoxaceae | Viburnum tinus (L.) | N | S | E | A | E | F | 3 | ||||||||
| Altingiaceae | Liquidambar styraciflua (L.) | E | T | E | A | D | D | 1 | ||||||||
| Anacardiaceae | Pistacia lentiscus (L.) | E | T | A | Z | E | F | 6 | ||||||||
| Schinus molle (L.) | E | T | E | Z | E | F | 1 | |||||||||
| Apocynaceae | Nerium oleander (L.) | E | S | E | A | E | D | 2 | 7 | |||||||
| Aquifoliaceae | Ilex aquifolium (L.) | E | T | E | Z | E | F | 1 | ||||||||
| Araucariaceae | Araucaria heterophylla (Salisb.) | E | T | A | A | E | D | 2 | ||||||||
| Arecaceae | Chamaerops humilis (L.) | N | S | A | Z | E | F | 3 | ||||||||
| Livistona chinensis (Jacq.) | E | T | E | Z | E | F | 2 | |||||||||
| Washingtonia robusta (Wendland) | E | T | E | Z | E | F | 1 | |||||||||
| Betulaceae | Almus glutinosa (L.) | N | T | A | A | D | D | 1 | 6 | 3 | ||||||
| Bignoniaceae | Jacaranda mimosifolia (D. Don) | E | T | E | A | E | D | 1 | ||||||||
| Buxaceae | Buxus sempervirens (L.) | E | S | E | Z | E | D | 60 | ||||||||
| Cannabaceae | Celtis australis (L.) | E | T | E | A | D | F | 2 | 4 | 1 | 1 | 6 | 1 | |||
| Caprifoliaceae | Abelia x grandiflora (André) | E | S | E | A | E | D | 5 | ||||||||
| Casuarinaceae | Casuarina equisetifolia (L.) | E | T | E | A | E | D | 3 | 2 | |||||||
| Cupressaceae | Cupressus sempervirens (L.) | E | T | A | A | E | D | 2 | ||||||||
| Cupressus lusitanica (Miller) | E | T | A | A | E | D | 16 | |||||||||
| Cycadaceae | Cycas revoluta (Thunberg) | E | S | E | Z | E | D | 5 | ||||||||
| Elaeagnaceae | Elaeagnus angustifolia (L.) | E | S | E | Z | D | F | 20 | 1 | |||||||
| Ericaceae | Arbutus unedo (L.) | N | T | E | Z | E | F | 1 | 4 | 3 | 1 | 6 | ||||
| Rhododendron ponticum (L.) | E | S | A | A | E | D | 1 | |||||||||
| Fabaceae | Acacia melanoxylon (Aiton) | E | T | E | Z | E | D | 3 | 3 | |||||||
| Albizia julibrissin (Durazz) | E | T | A | A | D | D | 1 | |||||||||
| Cercis siliquastrum (L.) | E | T | E | A | D | D | 1 | 3 | 3 | 1 | 1 | |||||
| Ceratonia síliqua (L.) | E | T | A | A | E | D | 1 | |||||||||
| Coronilla valentina (L.) | N | T | E | A | E | D | 1 | |||||||||
| Erythrina crista-galli (L.) | E | T | E | Z | D | D | 1 | |||||||||
| Erythrina variegata (L.) | E | T | E | Z | D | D | 3 | |||||||||
| Sophara japonica (L.) | E | T | E | A | D | D | 1 | |||||||||
| Tipuana tipu (Benth.) | E | T | E | A | E | D | 1 | |||||||||
| Fagaceae | Quercus ilex (Lam.) | E | T | A | Z | E | D | 1 | ||||||||
| Quercus robur (L.) | E | T | A | Z | D | D | 1 | |||||||||
| Quercus pubescens (Willd.) | E | T | A | Z | D | D | 2 | 1 | ||||||||
| Quercus suber (L.) | N | T | A | Z | E | D | 2 | 6 | 1 | 10 | ||||||
| Lamioceae | Vitex agnus costus (L.) | N | T | A | Z | D | F | 1 | ||||||||
| Lauraceae | Laurus nobilis (L.) | E | T | E | Z | E | F | 1 | ||||||||
| Magnoliaceae | Magnolia grandiflora (L.) | E | T | E | Z | E | D | 4 | ||||||||
| Meliaceae | Melia azedarach (L.) | E | T | E | Z | D | F | 5 | 6 | |||||||
| Moraceae | Ficus carica (L.) | E | T | E | Z | D | F | 1 | ||||||||
| Morus nigra (L.) | E | S | E | Z | D | F | 1 | 1 | ||||||||
| Myoporaceae | Myoporum laetum (Forst.) | E | T | E | A | E | F | 4 | ||||||||
| Myrtaceae | Callistemon speciosus (Sims) | E | S | E | Z | E | D | 18 | ||||||||
| Eucalyptus globulus (Labill.) | E | T | E | A | E | D | 2 | |||||||||
| Myrtus communis (L.) | E | S | E | Z | E | F | 1 | 1 | ||||||||
| Oleaceae | Fraxinus angustifolia (Vahl) | N | T | A | A | D | D | 8 | 3 | 3 | ||||||
| Ligustrum lucidum (Aiton) | E | T | E | Z | E | F | 5 | |||||||||
| Olea europaea (L.) | E | T | A | Z | E | F | 6 | 3 | 5 | 1 | 2 | |||||
| Phillyrea latifolia (L.) | N | T | E | Z | E | F | 2 | 1 | ||||||||
| Pinaceae | Pinus pinaster (Aiton) | N | T | A | A | E | D | 1 | 5 | 5 | 1 | 8 | 3 | |||
| Pinus pinea (L.) | N | T | A | Z | E | D | 3 | 2 | 1 | 1 | 9 | 2 | ||||
| Pittosporaceae | Pittosporum tobia (Thunb.) | E | S | E | Z | E | D | 12 | 9 | |||||||
| Platanaceae | Platanus hispanica (Mill.) | E | T | A | A | D | D | 2 | 2 | 1 | 8 | |||||
| Proteaceae | Grevillea robusta (Cunn.) | E | T | A | A | D | D | 8 | 4 | |||||||
| Rosaceae | Cotoneaster coriaceus (Franch.) | E | S | E | Z | D | F | 7 | ||||||||
| Crataegus monogyna (Jacq.) | N | T | E | Z | D | F | 9 | |||||||||
| Cotoneaster pannosus (Franch.) | E | S | E | Z | E | F | 3 | |||||||||
| Prunus avium (L.) | E | T | E | Z | D | F | 4 | 1 | 8 | |||||||
| Prunus dulcis (Mill.) | E | T | E | Z | D | F | 1 | 1 | 1 | |||||||
| Prunus cerasifera (Ehrh.) | E | T | E | Z | D | F | 1 | 1 | ||||||||
| Pyracantha (Roem.) | E | T | E | Z | E | F | 9 | |||||||||
| Pyracantha coccinea (Roem.) | E | S | E | Z | E | F | 1 | |||||||||
| Sorbus aria (L.) | E | T | E | Z | D | F | 1 | |||||||||
| Sorbus latifolia (Lam.) | N | T | E | Z | D | F | 1 | |||||||||
| Salicaceae | Populus alba (L.) | N | T | A | A | D | D | 2 | 3 | 1 | ||||||
| Populus nigra (L.) | N | T | A | A | D | D | 1 | 6 | 8 | 6 | 12 | 5 | 21 | 7 | ||
| Salix alba (L.) | E | T | A | A | D | D | 1 | |||||||||
| Scrophulariaceae | Buddleja daviddii (Franch.) | E | S | E | A | D | D | 6 | ||||||||
| Tamaricaceae | Tamarix africana (Poir.) | E | T | E | A | D | D | 2 | ||||||||
| Tamarix parviflora (DC.) | E | S | E | A | D | D | 2 | |||||||||
| 35 families | 70 species | 27 | 20 | 20 | 145 | 61 | 37 | 121 | 27 | 79 | ||||||
| GCs | Number of Surveys | Relative Abundance (ind. Survey−1) | Species Richness (sp. Survey−1) | Species Evenness (J) |
|---|---|---|---|---|
| 1—Ocidental | 5 | 5.4 ± 3.8 b | 2.6 ± 0.5 a | 0.4 ± 0.1 a |
| 2—Alcântara | 4 | 5.0 ± 3.9 b | 1.5 ± 0.5 b | 0.4 ± 0.1 a |
| 3—Olivais | 4 | 5.0 ± 3.9 b | 1.8 ± 0.5 b | 0.4 ± 0.1 a |
| 4—Monsanto | 9 | 16.1 ± 3.7 a | 2.7 ± 0.5 a | 0.3 ± 0.1 b |
| 5—Lumiar | 5 | 12.2 ± 2.5 a | 2.8 ± 0.5 a | 0.3 ± 0.1 b |
| 6—Oriental | 6 | 6.2 ± 1.8 ab | 2.3 ± 0.5 ab | 0.3 ± 0.1 b |
| 7—Ribeirinho | 12 | 10.1 ± 1.7 ab | 2.1 ± 0.6 ab | 0.3 ± 0.1 b |
| 8—Central | 4 | 6.8 ± 1.4 ab | 1.5 ± 0.8 b | 0.4 ± 0.1 a |
| 9—Periférico | 9 | 8.8 ± 0.0 ab | 2.7 ± 0.5 a | 0.3 ± 0.1 b |
| Explaining Variable | DF | Deviance | p-Value |
|---|---|---|---|
| Functions | 3 | 33.398 | <0.001 |
| Tree and shrub relative abundance | 1 | 17.438 | <0.001 |
| Tree and shrub richness | 1 | 2.320 | 0.1277 |
| Residuals (Shapiro–Wilk test) | 0.1321 | ||
| AIC | 514.6 | ||
Publisher’s Note: MDPI stays neutral with regard to jurisdictional claims in published maps and institutional affiliations. |
© 2021 by the authors. Licensee MDPI, Basel, Switzerland. This article is an open access article distributed under the terms and conditions of the Creative Commons Attribution (CC BY) license (https://creativecommons.org/licenses/by/4.0/).
Share and Cite
de Almeida, J.R.; Nunes, R.d.O.; Dias, T. People Prefer Greener Corridors: Evidence from Linking the Patterns of Tree and Shrub Diversity and Users’ Preferences in Lisbon’s Green Corridors. Sustainability 2021, 13, 13228. https://doi.org/10.3390/su132313228
de Almeida JR, Nunes RdO, Dias T. People Prefer Greener Corridors: Evidence from Linking the Patterns of Tree and Shrub Diversity and Users’ Preferences in Lisbon’s Green Corridors. Sustainability. 2021; 13(23):13228. https://doi.org/10.3390/su132313228
Chicago/Turabian Stylede Almeida, Juscidalva Rodrigues, Reginaldo de Oliveira Nunes, and Teresa Dias. 2021. "People Prefer Greener Corridors: Evidence from Linking the Patterns of Tree and Shrub Diversity and Users’ Preferences in Lisbon’s Green Corridors" Sustainability 13, no. 23: 13228. https://doi.org/10.3390/su132313228
APA Stylede Almeida, J. R., Nunes, R. d. O., & Dias, T. (2021). People Prefer Greener Corridors: Evidence from Linking the Patterns of Tree and Shrub Diversity and Users’ Preferences in Lisbon’s Green Corridors. Sustainability, 13(23), 13228. https://doi.org/10.3390/su132313228

