Risk Perception, Risk Communication, and Mitigation Actions of Flash Floods: Results from a Survey in Three Types of Communities
Abstract
:1. Introduction
2. Methods
2.1. Study Area
2.2. Survey Questionnaire Development
2.3. Data Collection and Analysis
3. Results and Discussion
3.1. Perceptions of Flash Flood Risks
3.1.1. Experience and Preparation of Flash Flood
3.1.2. Understanding of Whether the Community Is Located in the Floodplain
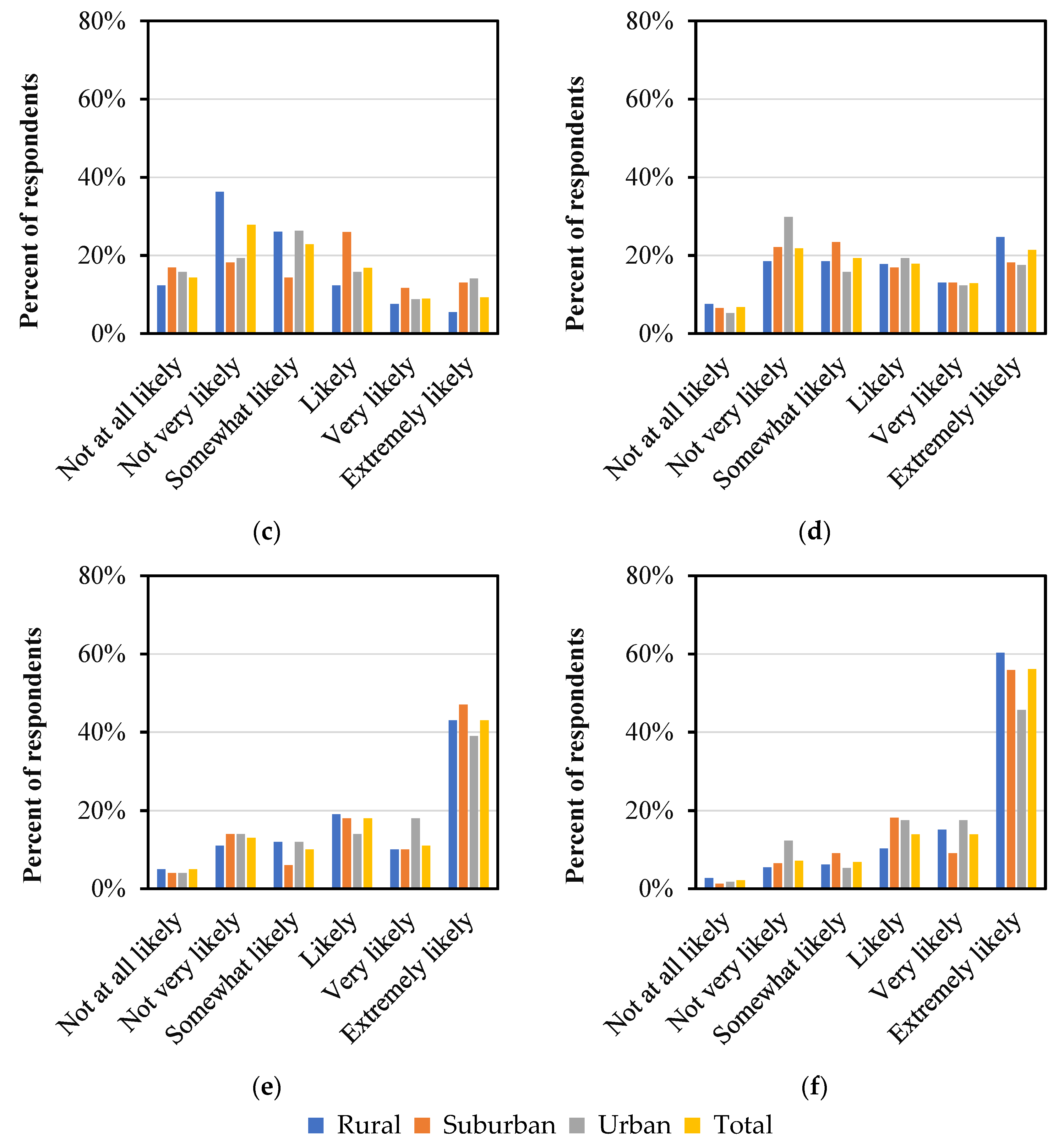
3.1.3. Understanding of the Likelihood of Flash Floods
3.1.4. Perception of the Loss from Flash Floods
3.2. Communication of Flash Flood Warnings
3.2.1. Coverage of Flash Flood Warning in Investigated Communities
3.2.2. Trust in Flash Flood Warning and Awareness of Its Accuracy
3.2.3. Communications with Neighbors
3.3. Discussion of Mitigation Actions towards Flash Floods
3.3.1. Likelihood of Taking Actions When Given a Flash Flood Warning
3.3.2. Protective Actions in Response to the Flash Flood Warning
3.3.3. Decision-Making When a Flash Flood Threatens
4. Conclusions
- For the exposed and vulnerable communities, the perception of flash flood risk is an essential link in the response of flash flood warnings. The conscious and unconscious attitudes towards the risk from the residents were defined by quantitative and qualitative analysis, which revealed the psychological vulnerability of the inhabitants and could characterize the community resilience to flash flood in the study area. Some residents misperceive or underestimate the risk of flash floods in the survey. The proportion is higher in the suburban community, and at the same time, their general level of anxiety for flash flood loss is significantly smaller than that of the participants from the rural communities and urban communities. These subjective attitudes would greatly influence the response to flash flood warnings and the mitigation actions for flash floods.
- This research also shed lights on the communications dimension of community resilience. The differences of coverage of flash flood warnings, trust in flash flood warnings, and awareness of their accuracy were investigated in three types of communities. The findings suggest that residents in the rural community usually ignore early warnings because there are more elderly residents in the rural community, and they do not fully trust in the warnings but believe in their own judgement from previous experiences, while residents in the suburban and urban communities trust the flash flood warning more than its accuracy. Thus, multiple types of flash flood warnings are frequently used in the rural community, such as door-to-door informed warnings. Moreover, residents in the rural community and suburban community report a closer social communication with neighbors (e.g., cooperating within neighborhoods, sharing lifestyles), which would greatly influence inhabitants’ attitudes and behaviors in flash flood warnings and mitigation actions.
- This study focused on residents’ effective responses to mitigation actions towards flash floods, and some significant variables were explored in the rural communities and non-rural communities. The findings suggest that residence ownership, education, trust in flash flood warnings, and possibility of flash flood warnings within 24 h influence the decisions of inhabitants in the rural community. The results also indicate that in the non-rural (urban and suburban) communities, the significant variables were ethnicity, residence ownership, perception of power outages in flash floods, and trust in flash floods occurring within 24 h. The differences of significant variables in different types of communities can be used to improve the specific and accurate alerts for different communities, which could help people evaluate their risk and decide what to do effectively. Furthermore, some protective actions and specific scenarios have been investigated in this study, and the findings indicate that incorrect decisions were often mentioned by the respondents, and risk communication would help people to assess their situation accurately in the face of hazards. In order to narrow the gaps, this study also suggests that it is critical to release flash flood warnings in specific scenarios to help people take mitigation actions quickly.
Author Contributions
Funding
Institutional Review Board Statement
Informed Consent Statement
Data Availability Statement
Acknowledgments
Conflicts of Interest
References
- Ahmadalipour, A.; Moradkhani, H. A data-driven analysis of flash flood hazard, fatalities, and damages over the CONUS during 1996–2017. J. Hydrol. 2019, 578, 124106. [Google Scholar] [CrossRef]
- Saharia, M.; Kirstetter, P.; Vergara, H.; Gourley, J.J.; Hong, Y.; Giroud, M. Mapping flash flood severity in the United States. J. Hydrometeorol. 2017, 18, 397–411. [Google Scholar] [CrossRef]
- Loczy, D.; Pirkhoffer, E.; Gyenizse, P. Geomorphometric floodplain classification in a hill region of Hungary. Geomorphology 2012, 147, 61–72. [Google Scholar] [CrossRef]
- Avolio, E.; Cavalcanti, O.; Furnari, L.; Senatore, A.; Mendicino, G. Brief communication: Preliminary hydro-meteorological analysis of the flash flood of 20 August 2018 in Raganello Gorge, southern Italy. Nat. Hazards Earth Syst. Sci. 2019, 19, 1619–1627. [Google Scholar] [CrossRef] [Green Version]
- Khosronejad, A.; Kang, S.; Flora, K. Fully coupled free-surface flow and sediment transport modelling of flash floods in a desert stream in the Mojave Desert, California. Hydrol. Process. 2019, 33, 2772–2791. [Google Scholar] [CrossRef]
- Zhang, G.; Cui, P.; Yin, Y.; Liu, D.; Jin, W.; Wang, H.; Yan, Y.; Ahmed, B.N.; Wang, J. Real-time monitoring and estimation of the discharge of flash floods in a steep mountain catchment. Hydrol. Process. 2019, 33, 3195–3212. [Google Scholar] [CrossRef]
- Ministry of Water Resources of the People’s Republic of China. Annual Flood and Drought Hazards Report of China; Sinomaps Press: Beijing, China, 2017. [Google Scholar]
- Sharifi, A. A critical review of selected tools for assessing community resilience. Ecol. Indic. 2016, 69, 629–647. [Google Scholar] [CrossRef] [Green Version]
- Xu, L.; Marinova, D. Resilience thinking: A bibliometric analysis of socio-ecological research. Scientometrics 2013, 96, 911–927. [Google Scholar] [CrossRef] [Green Version]
- Stanton, R.R., Jr.; Duran-Stanton, A.M. Vulnerable populations in disaster residence, resilience, and resources. Physician Assist. Clin. 2019, 4, 675–685. [Google Scholar] [CrossRef]
- Khalili, S.; Harre, M.; Morley, P. A temporal framework of social resilience indicators of communities to flood, case studies: Wagga wagga and Kempsey, NSW, Australia. Int. J. Disaster Risk Reduct. 2015, 13, 248–254. [Google Scholar] [CrossRef]
- Aguilar-Barajas, I.; Sisto, N.P.; Ramirez, A.I.; Magana-Rueda, V. Building urban resilience and knowledge co-production in the face of weather hazards: Flash floods in the Monterrey Metropolitan Area (Mexico). Environ. Sci. Policy 2019, 99, 37–47. [Google Scholar] [CrossRef]
- Cimellaro, G.P.; Reinhorn, A.M.; Bruneau, M. Framework for analytical quantification of disaster resilience. Eng. Struct. 2010, 32, 3639–3649. [Google Scholar] [CrossRef]
- Hosseini, S.; Barker, K.; Ramirez-Marquez, J.E. A review of definitions and measures of system resilience. Reliab. Eng. Syst. Saf. 2016, 145, 47–61. [Google Scholar] [CrossRef]
- Eisenman, D.; Chandra, A.; Fogleman, S.; Magana, A.; Hendricks, A.; Wells, K.; Williams, M.; Tang, J.; Plough, A. The Los Angeles county community disaster resilience project—A Community-Level, public health initiative to build community disaster resilience. Int. J. Environ. Res. Public Health 2014, 11, 8475–8490. [Google Scholar] [CrossRef] [PubMed] [Green Version]
- Faulkner, L.; Brown, K.; Quinn, T. Analyzing community resilience as an emergent property of dynamic social-ecological systems. Ecol. Soc. 2018, 23, 24. [Google Scholar] [CrossRef] [Green Version]
- Plough, A.; Fielding, J.E.; Chandra, A.; Williams, M.; Eisenman, D.; Wells, K.B.; Law, G.Y.; Fogleman, S.; Magana, A. Building community disaster resilience: Perspectives from a large urban county department of public health. Am. J. Public Health 2013, 103, 1190–1197. [Google Scholar] [CrossRef] [PubMed]
- Chandra, A.; Williams, M.; Plough, A.; Stayton, A.; Wells, K.B.; Horta, M.; Tang, J. Getting actionable about community resilience: The Los Angeles county community disaster resilience project. Am. J. Public Health 2013, 103, 1181–1189. [Google Scholar] [CrossRef]
- Cui, P.; Li, D. A SNA-based methodology for measuring the community resilience from the perspective of social capitals: Take Nanjing, China as an example. Sust. Cities Soc. 2020, 53, 101880. [Google Scholar] [CrossRef]
- Graham, L.; Debucquoy, W.; Anguelovski, I. The influence of urban development dynamics on community resilience practice in New York City after Superstorm Sandy: Experiences from the Lower East Side and the Rockaways. Glob. Environ. Chang. Hum. Policy Dimens. 2016, 40, 112–124. [Google Scholar] [CrossRef] [Green Version]
- Cutter, S.L.; Barnes, L.; Berry, M.; Burton, C.; Evans, E.; Tate, E.; Webb, J. A place-based model for understanding community resilience to natural disasters. Glob. Environ. Chang. Hum. Policy Dimens. 2008, 18, 598–606. [Google Scholar] [CrossRef]
- Pfefferbaum, R.L.; Pfefferbaum, B.; Van Horn, R.L.; Klomp, R.W.; Norris, F.H.; Reissman, D.B. The communities advancing resilience toolkit (CART): An intervention to build community resilience to disasters. J. Public Health Manag. Pract. 2013, 19, 250–258. [Google Scholar] [CrossRef] [PubMed]
- Cui, K.; Han, Z.; Wang, D. Resilience of an Earthquake-Stricken rural community in southwest China: Correlation with disaster risk reduction efforts. Int. J. Environ. Res. Public Health 2018, 15, 407. [Google Scholar] [CrossRef] [PubMed] [Green Version]
- Qasim, S.; Qasim, M.; Shrestha, R.P.; Khan, A.N.; Tune, K.; Ashraf, M. Community resilience to flood hazards in Khyber Pukhthunkhwa province of Pakistan. Int. J. Disaster Risk Reduct. 2016, 18, 100–106. [Google Scholar] [CrossRef]
- Scherzer, S.; Lujala, P.; Rod, J.K. A community resilience index for Norway: An adaptation of the Baseline Resilience Indicators for Communities (BRIC). Int. J. Disaster Risk Reduct. 2019, 36, 101107. [Google Scholar] [CrossRef]
- Bromley, E.; Eisenman, D.P.; Magana, A.; Williams, M.; Kim, B.; McCreary, M.; Chandra, A.; Wells, K.B. How do communities use a participatory public health approach to build resilience? The Los Angeles county community disaster resilience project. Int. J. Environ. Res. Public Health 2017, 14, 1267. [Google Scholar] [CrossRef] [Green Version]
- Norris, F.H.; Stevens, S.P.; Pfefferbaum, B.; Wyche, K.F.; Pfefferbaum, R.L. Community resilience as a metaphor, theory, set of capacities, and strategy for disaster readiness. Am. J. Commun. Psychol. 2008, 41, 127–150. [Google Scholar] [CrossRef]
- Buikstra, E.; Ross, H.; King, C.A.; Baker, P.G.; Hegney, D.; McLachlan, K.; Rogers-Clark, C. The components of resilience-perceptions of an australian rural community. J. Community Psychol. 2010, 38, 975–991. [Google Scholar] [CrossRef]
- Houston, J.B.; Spialek, M.L.; Cox, J.; Greenwood, M.M.; First, J. The centrality of communication and media in fostering community resilience: A framework for assessment and intervention. Am. Behav. Sci. 2015, 59, 270–283. [Google Scholar] [CrossRef]
- Lazo, J.K.; Bostrom, A.; Morss, R.E.; Demuth, J.L.; Lazrus, H. Factors affecting hurricane evacuation intentions. Risk Anal. 2015, 35, 1837–1857. [Google Scholar] [CrossRef]
- Gillespie-Marthaler, L.; Nelson, K.; Baroud, H.; Abkowitz, M. Selecting indicators for assessing community sustainable resilience. Risk Anal. 2019, 39, 2479–2498. [Google Scholar] [CrossRef]
- Bubeck, P.; Botzen, W.J.W.; Aerts, J.C.J.H. A review of risk perceptions and other factors that influence flood mitigation behavior. Risk Anal. 2012, 32, 1481–1495. [Google Scholar] [CrossRef] [Green Version]
- Bodoque, J.M.; Amerigo, M.; Diez-Herrero, A.; Garcia, J.A.; Cortes, B.; Ballesteros-Canovas, J.A.; Olcina, J. Improvement of resilience of urban areas by integrating social perception in flash-flood risk management. J. Hydrol. 2016, 541, 665–676. [Google Scholar] [CrossRef] [Green Version]
- Kellens, W.; Terpstra, T.; De Maeyer, P. Perception and communication of flood risks: A systematic review of empirical research. Risk Anal. 2013, 33, 24–49. [Google Scholar] [CrossRef] [PubMed] [Green Version]
- Slovic, P. Perception of risk. Science 1987, 236, 280–285. [Google Scholar] [CrossRef] [PubMed]
- Birkholz, S.; Muro, M.; Jeffrey, P.; Smith, H.M. Rethinking the relationship between flood risk perception and flood management. Sci. Total Environ. 2014, 478, 12–20. [Google Scholar] [CrossRef] [PubMed]
- Fuchs, S.; Karagiorgos, K.; Kitikidou, K.; Maris, F.; Paparrizos, S.; Thaler, T. Flood risk perception and adaptation capacity: A contribution to the socio-hydrology debate. Hydrol. Earth Syst. Sci. 2017, 21, 3183–3198. [Google Scholar] [CrossRef] [Green Version]
- Scolobig, A.; De Marchi, B.; Borga, M. The missing link between flood risk awareness and preparedness: Findings from case studies in an Alpine Region. Nat. Hazards 2012, 63, 499–520. [Google Scholar] [CrossRef]
- Rapaport, C.; Hornik-Lurie, T.; Cohen, O.; Lahad, M.; Leykin, D.; Aharonson-Daniel, L. The relationship between community type and community resilience. Int. J. Disaster Risk Reduct. 2018, 31, 470–477. [Google Scholar] [CrossRef]
- Zhao, G.; Pang, B.; Xu, Z.; Wang, Z.; Shi, R. Assessment on the hazard of flash flood disasters in China. J. Hydraul. Eng. ASCE 2016, 47, 1133–1142. [Google Scholar]
- Cutter, S.L.; Ash, K.D.; Emrich, C.T. The geographies of community disaster resilience. Glob. Environ. Chang. Hum. Policy Dimens. 2014, 29, 65–77. [Google Scholar] [CrossRef]
- Armas, I.; Avram, E. Perception of flood risk in Danube Delta, Romania. Nat. Hazards 2009, 50, 269–287. [Google Scholar] [CrossRef]
- Cutter, S.L.; Burton, C.G.; Emrich, C.T. Disaster resilience indicators for benchmarking baseline conditions. J. Homel. Secur. Emerg. Manag. 2010, 7, 51. [Google Scholar] [CrossRef]
- Rippl, S. Cultural theory and risk perception: A proposal for a better measurement. J. Risk Res. 2002, 5, 147–165. [Google Scholar] [CrossRef]
- Ullah, F.; Saqib, S.E.; Ahmad, M.M.; Fadlallah, M.A. Flood risk perception and its determinants among rural households in two communities in Khyber Pakhtunkhwa, Pakistan. Nat. Hazards 2020, 104, 225–247. [Google Scholar] [CrossRef]
- Grothmann, T.; Reusswig, F. People at risk of flooding: Why some residents take precautionary action while others do not. Nat. Hazards 2006, 38, 101–120. [Google Scholar] [CrossRef]
- Poussin, J.K.; Botzen, W.J.W.; Aerts, J.C.J.H. Effectiveness of flood damage mitigation measures: Empirical evidence from French flood disasters. Glob. Environ. Chang. Hum. Policy Dimens. 2015, 31, 74–84. [Google Scholar] [CrossRef]
- Ho, M.; Shaw, D.; Lin, S.; Chiu, Y. How do disaster characteristics influence risk perception? Risk Anal. 2008, 28, 635–643. [Google Scholar] [CrossRef]
- Morss, R.E.; Mulder, K.J.; Lazo, J.K.; Demuth, J.L. How do people perceive, understand, and anticipate responding to flash flood risks and warnings? Results from a public survey in Boulder, Colorado, USA. J. Hydrol. 2016, 541, 649–664. [Google Scholar] [CrossRef] [Green Version]
- Alshehri, S.A.; Rezgui, Y.; Li, H. Disaster community resilience assessment method: A consensus-based Delphi and AHP approach. Nat. Hazards 2015, 78, 395–416. [Google Scholar] [CrossRef]
- Haynes, K.; Barclay, J.; Pidgeon, N. Whose reality counts? Factors affecting the perception of volcanic risk. J. Volcanol. Geotherm. Res. 2008, 172, 259–272. [Google Scholar] [CrossRef]
- Mayhorn, C.B.; McLaughlin, A.C. Warning the world of extreme events: A global perspective on risk communication for natural and technological disaster. Saf. Sci. 2014, 61, 43–50. [Google Scholar] [CrossRef]
- Ripberger, J.T.; Silva, C.L.; Jenkins-Smith, H.C.; Carlson, D.E.; James, M.; Herron, K.G. False alarms and missed events: The impact and origins of perceived inaccuracy in tornado warning systems. Risk Anal. 2015, 35, 44–56. [Google Scholar] [CrossRef] [PubMed]
- Fischhoff, B. Risk perception and communication unplugged: Twenty years of process. Risk Anal. 1995, 15, 137–145. [Google Scholar] [CrossRef] [PubMed]















| County | Code | Town | Community | Type |
|---|---|---|---|---|
| Yangshan | A | Dubu | Hankeng | rural |
| B | Qigong | Furong | rural | |
| Heping | rural | |||
| Liannan | C | Zhaigang | Shikenglang | rural |
| Wanjiao | rural | |||
| Jinxing | suburban | |||
| Zhaigang center | urban | |||
| D | Sanjiang | Liulian | suburban | |
| Donghe | suburban | |||
| Wuxing | urban | |||
| Shunde cultural square | urban | |||
| Lianshan | E | Xiaosanjiang | Dengyang | rural |
| Luming | rural | |||
| F | Shangshuai | Lianguan | suburban | |
| Lianzhou | G | Lianzhou | Caiyuanba | suburban |
| Commercial street | urban | |||
| H | Yao’an | Jiulong | rural | |
| Luoyang | urban | |||
| I | Fengyang | Kemuwan | rural |
| Sociodemographic Characteristics | Rural (N = 146) | Suburban (N = 77) | Urban (N = 57) |
|---|---|---|---|
| Age (% older than 50) | 56.8% | 45.5% | 29.8% |
| Gender (% male) | 53.4% | 42.9% | 35.1% |
| Ethnic (% Han) | 77.4% | 42.9% | 71.6% |
| Residence ownership 1 (%) | 93.8% | 91.0% | 86.0% |
| Length of residence in local place (median) | >15 years | >15 years | >15 years |
| Education 2 (% Bachelor’s degree or higher) | 8.9% | 14.3% | 17.5% |
| Income per month (median) | <500 RMB | 500–1000 RMB | 1500–2000 RMB |
| Primary language 3 (% Cantonese) | 65.8% | 61.0% | 68.4% |
| Community Type | In Floodplain | Not in Floodplain | Don’t Know |
|---|---|---|---|
| Rural | 88 | 45 | 13 |
| (60.3%) | (30.8%) | (8.9%) | |
| Suburban | 35 | 37 | 5 |
| (45.5%) | (48.1%) | (6.5%) | |
| Urban | 32 | 17 | 8 |
| (56.1%) | (29.8%) | (14.0%) | |
| Total | 155 | 99 | 26 |
| (55.4%) | (35.4%) | (9.3%) |
| Type | Experience of Flash Flood Warnings | ||
|---|---|---|---|
| Yes | No | Don’t Know | |
| Rural | 89 | 35 | 22 |
| 61.0% | 24.0% | 15.1% | |
| Suburban | 58 | 10 | 9 |
| 75.3% | 13.0% | 11.7% | |
| Urban | 43 | 8 | 6 |
| 75.4% | 14.0% | 10.5% | |
| Total | 190 | 53 | 37 |
| 67.9% | 18.9% | 13.2% | |
| Community Type | Distrust | Mistrust | Comparative Trust | Fully Trust | Don’t Know |
|---|---|---|---|---|---|
| Rural | 1 | 12 | 44 | 77 | 12 |
| (0.7%) | (8.2%) | (30.1%) | (52.7%) | (8.2%) | |
| Suburban | 2 | 5 | 28 | 38 | 4 |
| (2.6%) | (6.5%) | (36.4%) | (49.4%) | (5.2%) | |
| Urban | 1 | 2 | 25 | 26 | 3 |
| (1.8%) | (3.5%) | (43.9%) | (45.6%) | (5.3%) | |
| Total | 4 | 19 | 97 | 141 | 19 |
| (1.4%) | (6.8%) | (34.6%) | (50.4%) | (6.8%) |
| Community Type | Inaccurate | Less Accurate | Comparative Accurate | Fully Accurate | Don’t Know |
|---|---|---|---|---|---|
| Rural | 2 | 23 | 72 | 32 | 17 |
| (1.4%) | (15.8%) | (49.3%) | (21.9%) | (11.6%) | |
| Suburban | 2 | 15 | 30 | 26 | 4 |
| (2.6%) | (19.5%) | (39.0%) | (33.8%) | (5.2%) | |
| Urban | 1 | 5 | 36 | 12 | 3 |
| (1.8%) | (8.8%) | (63.2%) | (21.1%) | (5.3%) | |
| Total | 5 | 43 | 138 | 70 | 24 |
| (1.8%) | (15.4%) | (49.3%) | (25.0%) | (8.6%) |
| Community Type | Yes | No | Don’t Know |
|---|---|---|---|
| Rural | 20 | 116 | 10 |
| (13.7%) | (79.5%) | (6.8%) | |
| Suburban | 13 | 58 | 6 |
| (16.9%) | (75.3%) | (7.8%) | |
| Urban | 10 | 45 | 2 |
| (17.5%) | (78.9%) | (3.5%) | |
| Total | 43 | 219 | 18 |
| (15.4%) | (78.2%) | (6.4%) |
| Independent Variables | Rural | Non-Rural | |||
|---|---|---|---|---|---|
| Parameter Estimate | Significance | Parameter Estimate | Significance | ||
| Sociodemographic characteristics | Age | −0.09 | 0.27 | −0.12 | 0.13 |
| Gender | −0.12 | 0.49 | 0.20 | 0.32 | |
| Ethnic | 0.04 | 0.86 | 0.53 | 0.01 | |
| Residence ownership | −0.85 | 0.03 | −0.72 | 0.03 | |
| Length of residence in local place | −0.04 | 0.72 | −0.05 | 0.58 | |
| Education | 0.17 | 0.09 | −0.01 | 0.92 | |
| Income per month | 0.00 | 0.98 | 0.05 | 0.27 | |
| Perceptions of flash flood risks | Experience of flash floods | 0.12 | 0.62 | 0.19 | 0.43 |
| Only communities near creeks at risk | 0.08 | 0.28 | 0.06 | 0.44 | |
| Located in the floodplain | 0.08 | 0.57 | −0.02 | 0.92 | |
| Likelihood of flash floods occurring in 3 years | 0.06 | 0.44 | 0.06 | 0.42 | |
| Perception of economic loss from flash floods | 0.07 | 0.40 | 0.12 | 0.16 | |
| Perception of injury from flash floods | 0.10 | 0.18 | 0.03 | 0.61 | |
| Perception of water supply outages in flash floods | −0.04 | 0.44 | 0.02 | 0.82 | |
| Perception of power outages in flash floods | −0.08 | 0.30 | −0.18 | 0.06 | |
| Communications on flash flood warnings | Experience of flash flood warnings | 0.18 | 0.16 | −0.01 | 0.95 |
| Trust in flash flood warnings | 0.24 | 0.07 | 0.45 | 0.00 | |
| Awareness of the accuracy of flash flood warning | 0.07 | 0.48 | −0.13 | 0.33 | |
| Possibility of flash floods occurring within 24 h | 0.25 | 0.00 | 0.09 | 0.22 | |
| Whether trust in neighbors | −0.08 | 0.52 | −0.11 | 0.42 | |
| Whether cooperation with neighbors | −0.09 | 0.35 | 0.07 | 0.56 | |
| Whether share information with neighbors | 0.06 | 0.54 | 0.01 | 0.95 | |
| Participate in the community association | 0.02 | 0.93 | −0.12 | 0.58 | |
| Community Type | Placing Sandbags Outside the Door | Storing Food and Supplies | Preparing Torches, Whistles, and Colorful Flags to Signal for Help | Planning a Safe Route with Family Members | Transferring of Risk Aversion | Nothing to Do |
|---|---|---|---|---|---|---|
| Rural | 17 | 55 | 52 | 26 | 69 | 29 |
| (11.6%) | (37.7%) | (35.6%) | (17.8%) | (47.3%) | (19.9%) | |
| Suburban | 11 | 40 | 24 | 22 | 36 | 10 |
| (14.3%) | (51.9%) | (31.2%) | (28.6%) | (46.8%) | (13.0%) | |
| Urban | 8 | 24 | 13 | 11 | 29 | 13 |
| (14.0%) | (42.1%) | (22.8%) | (19.3%) | (50.9%) | (22.8%) | |
| Total | 36 | 119 | 89 | 59 | 134 | 52 |
| (12.9%) | (42.5%) | (31.8%) | (21.1%) | (47.9%) | (18.6%) |
Publisher’s Note: MDPI stays neutral with regard to jurisdictional claims in published maps and institutional affiliations. |
© 2021 by the authors. Licensee MDPI, Basel, Switzerland. This article is an open access article distributed under the terms and conditions of the Creative Commons Attribution (CC BY) license (https://creativecommons.org/licenses/by/4.0/).
Share and Cite
Zhong, M.; Xiao, L.; Zhang, Q.; Jiang, T. Risk Perception, Risk Communication, and Mitigation Actions of Flash Floods: Results from a Survey in Three Types of Communities. Sustainability 2021, 13, 12389. https://doi.org/10.3390/su132212389
Zhong M, Xiao L, Zhang Q, Jiang T. Risk Perception, Risk Communication, and Mitigation Actions of Flash Floods: Results from a Survey in Three Types of Communities. Sustainability. 2021; 13(22):12389. https://doi.org/10.3390/su132212389
Chicago/Turabian StyleZhong, Ming, Lu Xiao, Qian Zhang, and Tao Jiang. 2021. "Risk Perception, Risk Communication, and Mitigation Actions of Flash Floods: Results from a Survey in Three Types of Communities" Sustainability 13, no. 22: 12389. https://doi.org/10.3390/su132212389
APA StyleZhong, M., Xiao, L., Zhang, Q., & Jiang, T. (2021). Risk Perception, Risk Communication, and Mitigation Actions of Flash Floods: Results from a Survey in Three Types of Communities. Sustainability, 13(22), 12389. https://doi.org/10.3390/su132212389

