Implementing a Proxy-Basin Strategy to Assess the Transposability of a Hydrological Model in Geographically Similar Catchments
Abstract
1. Introduction
2. Materials and Methods
2.1. Study Area
2.2. Hydrological Model
2.3. Model Inputs
2.4. Calibration and Validation Using Proxy Basin Differential Split-Sample Test
2.5. Model Performance Evaluation
3. Results and Discussion
3.1. Similarities of the Subcatchment Characteristics
3.2. Transferring Model Parameters
3.3. Proxy Basin Differential Split-Sample Test
3.4. Assessing the Streamflow Estimations and Model Transposability
4. Conclusions
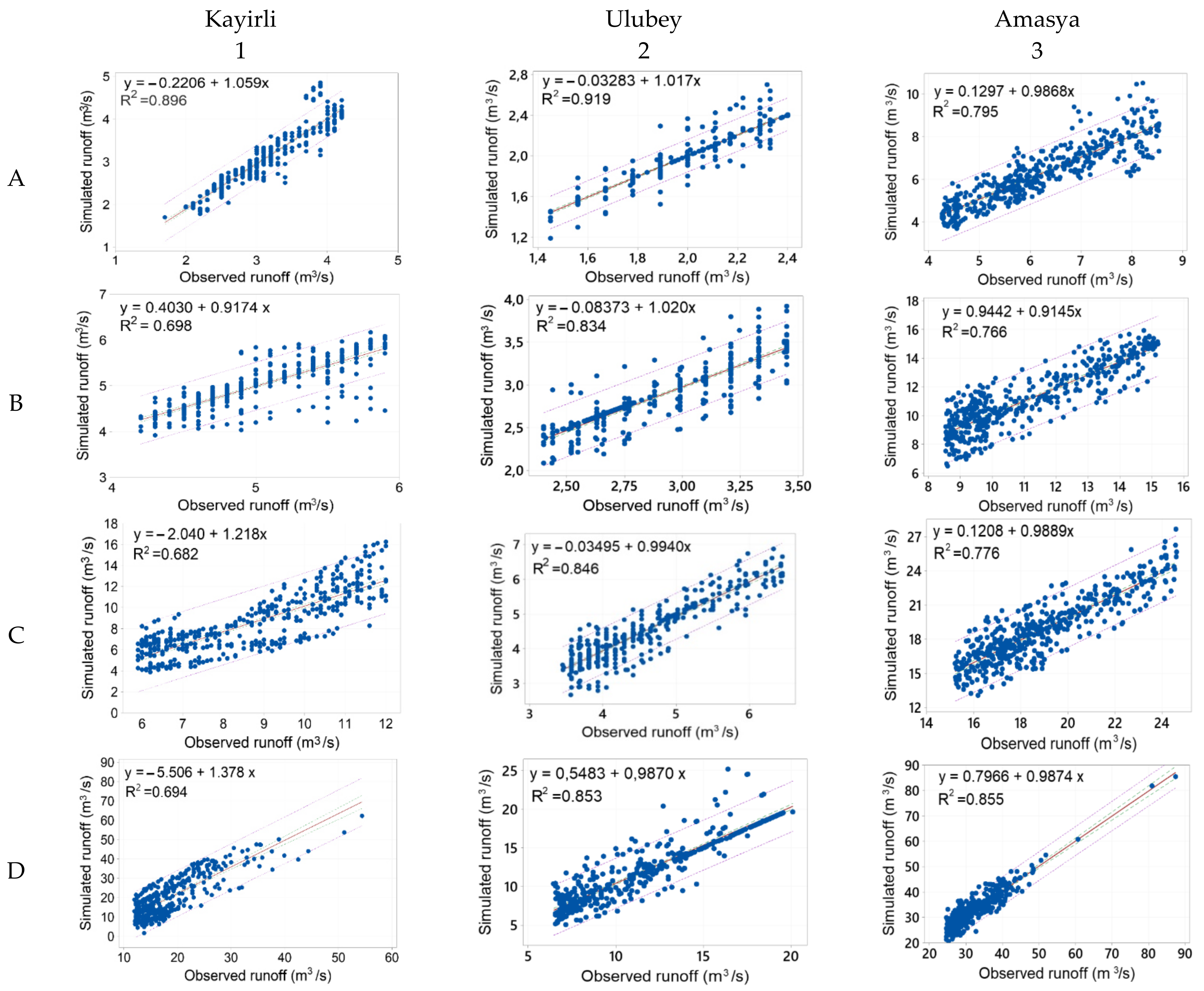
- In the Amasya subcatchment that had been treated as if it were ungauged, the performance indicators resulted in E values higher than 0.76 for daily streamflow, indicating a good performance at the daily scale and confirming the model transposability between the subcatchments. Hence, the PBDSS showed that the calibrated parameters were transposable to other subcatchments with a similar landscape. Likewise, the paired t-test and the regression analysis between the observed and simulated flow indicated that the J2000 is suitable to estimate daily streamflow in different subcatchments that showed its viability to implement even in non-stationary conditions. Moreover, the simulation hydrographs reflected that the model could also be a valuable tool to provide dynamics stream flow outputs for regional water management processes.
- The transferred parameters of the model from Kayirli and Ulubey were directly used in the validation process in the Amasya subcatchment without any further adjustment. In the case of a manual adjustment attempt (e.g., percolation ratios, soil saturation), the simulated results might be improved further.
- The model showed a good performance after transferring the model parameters from Kayirli to the Amasya subcatchment. Since the sizes of both subcatchments showed a remarkable difference, the effect of catchment size on the parameter values can be ignored in parameter transferability between subcatchments. In other words, the parameters derived for a smaller area represent the averaged physical conditions of the greater subcatchment in its modelling process.
- Parameter variation, therefore the model performance could change in different study regions with different physical characteristics. We did not assess model transposability through the calibrated parameters in physically different regions. Follow up research should focus on determining the controlling capacity of model parameters in physically different areas, and therefore, the potential transferability of the model to different regions.
- Since the parameters might differ due to the physical structure (e.g., geology, soils, land cover), future studies should also focus on exploring the model’s capability to estimate streamflow in physically different catchments. Therefore, the model could be applied to different subcatchments with different climatic and physical conditions to examine its suitability in various conditions.
- Some of the hydrological models’ parameters are affected by the incomplete representation of the topography in the catchments. Since the topographical variations directly affect the water movement, routing parameters (e.g., flow routing) might influence the model performance. Thus, a focus could be given to applying the model in topographically varied catchments, and a reliable comparison could be made in model performance between flat and mountainous regions.
Author Contributions
Funding
Institutional Review Board Statement
Informed Consent Statement
Data Availability Statement
Acknowledgments
Conflicts of Interest
References
- Singh, V.P.; Frevert, D.K. Mathematical Models of Large Watershed Hydrology; Singh, V.P., Frevert, D.K., Eds.; Water Resources Publications, LLC: Highlands Ranch, CO, USA, 2002. [Google Scholar]
- Kuchment, L.; Gelfan, A.; Demidov, V. A distributed model of runoff generation in the permafrost regions. J. Hydrol. 2000, 240, 1–22. [Google Scholar] [CrossRef]
- van der Linden, S.; Woo, M. Transferability of hydrological model parameters between basins in data-sparse areas, subarctic Canada. J. Hydrol. 2003, 270, 182–194. [Google Scholar] [CrossRef]
- Mishra, A.K.; Coulibaly, P. Developments in hydrometric network design: A review. Rev. Geophys. 2009, 47. [Google Scholar] [CrossRef]
- Sivapalan, M. Process complexity at hillslope scale, process simplicity at the watershed scale: Is there a connection? Hydrol. Process. 2003, 17, 1037–1041. [Google Scholar] [CrossRef]
- Blöschl, G.; Grayson, R.B.; Sivapalan, M. On the representative elementary area (REA) concept and its utility for distributed rainfall-runoff modelling. Hydrol. Process. 1995, 9, 313–330. [Google Scholar] [CrossRef]
- Leavesley, G.H.; Markstrom, S.L.; Restrepo, P.J.; Viger, R. A modular approach to addressing model design, scale, and parameter estimation issues in distributed hydrological modelling. Hydrol. Process. 2002, 16, 173–187. [Google Scholar] [CrossRef]
- Tague, C.L.; Band, L.E. RHESSys: Regional Hydro-Ecologic Simulation System—An Object-Oriented Approach to Spatially Distributed Modeling of Carbon, Water, and Nutrient Cycling. Earth Interact. 2004, 8, 1–42. [Google Scholar] [CrossRef]
- Arnold, J.G.; Fohrer, N. SWAT2000: Current capabilities and research opportunities in applied watershed modelling. Hydrol. Process. 2005, 19, 563–572. [Google Scholar] [CrossRef]
- Jha, M.; Arnold, J.G.; Gassman, P.W.; Giorgi, F.; Gu, R.R. Climate change sensitivity assessment on Upper Mississippi River Basin streamflows using SWAT. J. Am. Water Resour. Assoc. 2006, 42, 997–1015. [Google Scholar] [CrossRef]
- Julian, M.M.; Fink, M.; Fischer, C.; Krause, P.; Flügel, W.A. Implementation of J2000. Hydrological Model in the Western Part of Java Island, Indonesia. J. MacroTrends Appl. Sci. 2013, 1, 1–25. [Google Scholar]
- Nepal, S.; Flügel, W.-A.; Krause, P.; Fink, M.; Fischer, C. Assessment of spatial transferability of process-based hydrological model parameters in two neighbouring catchments in the Himalayan Region. Hydrol. Process. 2017, 31, 2812–2826. [Google Scholar] [CrossRef]
- Jin, X.; Xu, C.-Y.; Zhang, Q.; Chen, Y.D. Regionalization study of a conceptual hydrological model in Dongjiang basin, south China. Quat. Int. 2009, 208, 129–137. [Google Scholar] [CrossRef]
- Santos, C.A.G.; Neto, R.M.B.; da Silva, R.M.; Passos, J.S.D.A. Integrated spatiotemporal trends using TRMM 3B42 data for the Upper São Francisco River basin, Brazil. Environ. Monit. Assess. 2018, 190, 175. [Google Scholar] [CrossRef] [PubMed]
- Klemeš, V. Operational testing of hydrological simulation models. Hydrol. Sci. J. 1986, 31, 13–24. [Google Scholar] [CrossRef]
- Krause, P. Das hydrologische Modellsystem J2000 Beschreibung und Anwendung groen Flugebieten Schriften des Forschungszentrums Julich. R. Umwelt/Environ. 2001, 29, 212. [Google Scholar]
- Krause, P. Quantifying the impact of land use changes on the water balance of large catchments using the J2000 model. Phys. Chem. Earth Parts A/B/C 2002, 27, 663–673. [Google Scholar] [CrossRef]
- Donmez, C.; Berberoglu, S. A comparative assessment of catchment runoff generation and forest productivity in a semi-arid environment. Int. J. Digit. Earth 2016, 9, 942–962. [Google Scholar] [CrossRef]
- Zelelew, M.B.; Alfredsen, K. Transferability of hydrological model parameter spaces in the estimation of runoff in ungauged catchments. Hydrol. Sci. J. 2014, 59, 1470–1490. [Google Scholar] [CrossRef][Green Version]
- Daggupati, P.; Pai, N.; Ale, S.; Douglas-Mankin, K.R.; Zeckoski, R.W.; Jeong, J.; Parajuli, P.B.; Saraswat, D.; Youssef, M.A. A Recommended Calibration and Validation Strategy for Hydrologic and Water Quality Models. Trans. ASABE 2015, 58, 1705–1719. [Google Scholar]
- Refsgaard, J. Towards a Formal Approach to Calibration and Validation of Models Using Spatial Data. In Spatial Patterns in Catchment Hydrology: Observation and Modeling; Kluwer Academic: Dordrecht, The Netherlands, 2000; pp. 329–354. [Google Scholar]
- He, Y.; Bárdossy, A.; Zehe, E. A review of regionalization for continuous streamflow simulation. Hydrol. Earth Syst. Sci. 2011, 15, 3539–3553. [Google Scholar] [CrossRef]
- Guppy, L.; Anderson, K. Global Water Crisis: The Facts; United Nations University Institute for Water, Environment and Health: Hamilton, Canada, 2017. [Google Scholar]
- Sharafati, A.; Pezeshki, E. A strategy to assess the uncertainty of a climate change impact on extreme hydrological events in the semi-arid Dehbar catchment in Iran. Theor. Appl. Clim. 2020, 139, 389–402. [Google Scholar] [CrossRef]
- Shamshirband, S.; Hashemi, S.; Salimi, H.; Samadianfard, S.; Asadi, E.; Shadkani, S.; Kargar, K.; Mosavi, A.; Nabipour, N.; Chau, K.W. Predicting Standardized Streamflow index for hydrological drought using machine learning models. Eng. Appl. Comput. Fluid Mech. 2020, 14, 339–350. [Google Scholar] [CrossRef]
- Zhao, C.; Huang, Y.; Li, Z.; Chen, M. Drought Monitoring of Southwestern China Using Insufficient GRACE Data for the Long-Term Mean Reference Frame under Global Change. J. Clim. 2018, 31, 6897–6911. [Google Scholar] [CrossRef]
- Issaoui, W.; Aydi, A.; Mahmoudi, M.; Cilek, M.U.; Abichou, T. GIS-based multi-criteria evaluation for olive mill wastewater disposal site selection. J. Mater. Cycles Waste Manag. 2021, 23, 1490–1502. [Google Scholar] [CrossRef]
- Ergen, K.; Kentel, E. An integrated map correlation method and multiple-source sites drainage-area ratio method for estimating streamflows at ungauged catchments: A case study of the Western Black Sea Region, Turkey. J. Environ. Manag. 2016, 166, 309–320. [Google Scholar] [CrossRef] [PubMed]
- Bárdossy, A. Calibration of hydrological model parameters for ungauged catchments. Hydrol. Earth Syst. Sci. 2007, 11, 703–710. [Google Scholar] [CrossRef]
- Guo, Y.; Zhang, Y.; Zhang, L.; Wang, Z. Regionalization of hydrological modeling for predicting streamflow in ungauged catchments: A comprehensive review. Wiley Interdiscip. Rev. Water 2021, 8, 1487. [Google Scholar] [CrossRef]
- Donmez, C.; Berberoglu, S.; Cilek, A.; Krause, P. Basin-wide hydrological system assessment under climate change scenarios through conceptual modelling. Int. J. Digit. Earth 2020, 13, 915–938. [Google Scholar] [CrossRef]
- Berberoglu, S.; Cilek, A.; Kirkby, M.; Irvine, B.; Donmez, C. Spatial and temporal evaluation of soil erosion in Turkey under climate change scenarios using the Pan-European Soil Erosion Risk Assessment (PESERA) model. Environ. Monit. Assess. 2020, 192, 1–22. [Google Scholar] [CrossRef]
- Cilek, A.; Berberoglu, S. Biotope conservation in a Mediterranean agricultural land by incorporating crop modelling. Ecol. Model. 2019, 392, 52–66. [Google Scholar] [CrossRef]
- Kralisch, S.; Krause, P. JAMS–A framework for natural resource model development and application. In Proceedings of the iEMSs Third Biannual Meeting Summit on Environmental Modelling and Software, Burlington, VT, USA, 9–13 July 2006. [Google Scholar]
- Donmez, C.; Berberoglu, S.; Cilek, A. Spatial variations of NPP in different altitudes at a mediterranean watershed. Fresenius Environ. Bull. 2015, 24, 2264–2274. [Google Scholar]
- Kralisch, S.; Krause, P.; Fink, M.; Fischer, C.; Flügel, W.A. Component based environmental modelling using the JAMS framework. In Proceedings of the MODSIM07-Land. Water and Environmental Management: Integrated Systems for Sustainability; 2007; pp. 812–818. Available online: https://publons.com/journal/85333/modsim07-land-water-and-environmental-management-i/ (accessed on 12 October 2021).
- Nepal, S. Evaluating Upstream-Downstream Linkages of Hydrological Dynamics in the Himalayan Region. Available online: https://1library.net/document/q23npxrz-evaluating-upstream-downstream-linkages-hydrological-dynamics-himalayan-region.html (accessed on 13 October 2021).
- Leavesley, G.H.; Markstrom, S.L.; Viger, R.J.; Hay, L.E. The modular modelling system (MMS): A toolbox for water and environmental resources management. In Hydrological Modelling in Arid and Semi-Arid Areas; International Hydrology Series; Wheater, H., Sorooshian, S., Sharma, K., Eds.; Cambridge University Press: Cambridge, UK, 2007; pp. 87–98. [Google Scholar]
- JAMS Jams-Wiki. Available online: http://ilms.uni-jena.de (accessed on 12 October 2021).
- Nepal, S.; Krause, P.; Flugel, W.; Fink, M.; Fischer, C. Understanding the hydrological system dynamics of a glaciated alpine catchment in the Himalayan region using the J2000 hydrological model. Hydrol. Process. 2014, 28, 1329–1344. [Google Scholar] [CrossRef]
- National Aeronautics and Space Administration Data Portal. ASTER Global Digital Elevation Map-Advanced Spaceborne. 2021. Available online: https://asterweb.jpl.nasa.gov (accessed on 1 October 2021).
- European Space Agency Data Portal. Sentinel-2—Missions. 2021. Available online: https://sentinel.esa.int (accessed on 1 October 2021).
- Whitehead, P.; Bird, S.; Hornung, M.; Cosby, J.; Neal, C.; Paricos, P. Stream acidification trends in the Welsh Uplands—A modelling study of the Llyn Brianne catchments. J. Hydrol. 1988, 101, 191–212. [Google Scholar] [CrossRef]
- Nash, J.E.; Sutcliffe, J.V. River flow forecasting through conceptual models part I—A discussion of principles. J. Hydrol. 1970, 10, 282–290. [Google Scholar] [CrossRef]
- Duan, Q.; Schaake, J.; Andréassian, V.; Franks, S.; Goteti, G.; Gupta, H.; Gusev, Y.; Habets, F.; Hall, A.; Hay, L.; et al. Model Parameter Estimation Experiment (MOPEX): An overview of science strategy and major results from the second and third workshops. J. Hydrol. 2006, 320, 3–17. [Google Scholar] [CrossRef]
- Bugan, R.D.H.; Jovanovic, N.Z.; De Clercq, W.P.; Helmschrot, J.; Fluegel, W.-A.; Leavesley, G.H. A Comparative Analysis of the PRMS and J2000 Hydrological Models Applied to the Sandspruit Catchment (Western Cape, South Africa). In Proceedings of the WIT Transactions on Ecology and the Environment; WIT Press: Western Cape, South Africa, 2009; pp. 391–402. [Google Scholar]
- Moriasi, D.N.; Arnold, J.G.; Van Liew, M.W.; Bingner, R.L.; Harmel, R.D.; Veith, T.L. Model Evaluation Guidelines for Systematic Quantification of Accuracy in Watershed Simulations. Trans. ASABE 2007, 50, 885–900. [Google Scholar] [CrossRef]
- Stephens, M.A. EDF Statistics for Goodness of Fit and Some Comparisons. J. Am. Stat. Assoc. 1974, 69, 730–737. [Google Scholar] [CrossRef]
- Lury, D.A.; Fisher, R.A. Statistical Methods for Research Workers. J. R. Stat. Soc. Ser. D Stat. 1972, 21, 229. [Google Scholar] [CrossRef]
- FAO Food and Agricultural Organization of the United Nations Portal. Available online: http://www.fao.org/soils-portal/data-hub/soil-classification/fao-legend/en/ (accessed on 15 June 2021).
- Nepal, S.; Neupane, N.; Belbase, D.; Pandey, V.P.; Mukherji, A. Achieving water security in Nepal through unravelling the water-energy-agriculture nexus. Int. J. Water Resour. Dev. 2021, 37, 67–93. [Google Scholar] [CrossRef]
- Cho, J.; Bosch, D.; Lowrance, R.; Strickland, T.; Vellidis, G. Effect of Spatial Distribution of Rainfall on Temporal and Spatial Uncertainty of SWAT Output. Trans. ASABE 2009, 52, 1545–1556. [Google Scholar] [CrossRef]
- Li, X.; Zhou, W.; Ouyang, Z.; Xu, W.; Zheng, H. Spatial pattern of greenspace affects land surface temperature: Evidence from the heavily urbanized Beijing metropolitan area, China. Landsc. Ecol. 2012, 27, 887–898. [Google Scholar] [CrossRef]
- Hrachowitz, M.; Savenije, H.; Bloschl, G.; Mcdonnell, J.; Sivapalan, M.; Pomeroy, J.; Arheimer, B.; Blume, T.; Clark, M.; Ehret, U.; et al. A decade of Predictions in Ungauged Basins (PUB)—A review. Hydrol. Sci. J. 2013, 58, 1198–1255. [Google Scholar] [CrossRef]
- Donmez, C.; Berberoglu, S.; Cicekli, S.Y.; Cilek, A.; Arslan, A.N. Mapping snow cover using landsat data: Toward a fine-resolution water-resistant snow index. Theor. Appl. Clim. 2021, 133, 281–294. [Google Scholar] [CrossRef]
- Blöschl, G. Rainfall-Runoff Modeling of Ungauged Catchments. In Encyclopedia of Hydrological Sciences; Wiley: New York, NY, USA, 2005. [Google Scholar]
- Donnelly, L.M. Comparison of rainfall-runoff modeling techniques in small forested catchments. Doctoral Thesis, Department of Geography, Simon Fraser University, Burnaby, Canada, 5 December 1997. [Google Scholar]
- Beven, K. How far can we go in distributed hydrological modelling? Hydrol. Earth Syst. Sci. Discuss. Eur. Geosci. Union 2001, 5, 1–12. [Google Scholar]







| Data | Data Type | Source | Resolution | Data Description/Properties |
|---|---|---|---|---|
| Spatial Data | DEM | ASTER GDEM | 15 m | Stream network, sub-basins |
| Satellite images | Sentinel-2A (4 January 2018, 5 April 2018, 7 June 2018, 22 September 2018) | 10 m | LULC, pan sharpen | |
| LULC | Classified from Sentinel-2A | 10 m | 13 land cover/use classes. 92% (Kappa statistic) | |
| Soils | Derived from Buyuk Menderes Green Atlas Project (supported by the Ministry of Environment of Turkey) | 1/250.000 | 17 soil series Soil physical properties including depth, saturated hydraulic conductivity, texture | |
| Stream networks | Digitized using stream burning method | 15 m | In five stream categories | |
| HRU | Derived using ArcInfo AML | 30 m | Comprising spatial information on heterogeneous units | |
| Hydro-meteorological time-series | Climate time-series | Turkish State Meteorological Service | 13 stations | Daily temperature, relative humidity, wind speed, precipitation, solar radiation (2013–2017) |
| Observed flow | State Hydraulic Works of Turkey | Three gauging stations | Flow rates were calculated using this 15 min flow rates (ft3 s-1) to derive mean daily outflow rates (m3 s-1) and daily total (mm) for each sub-basin (Sari, 2018) |
| Ecophysical Characteristics | Catchments | ||
|---|---|---|---|
| Kayırlı | Amasya | Ulubey | |
| Area (km2) | 964 | 2747 | 2285 |
| LULC (km2) | |||
| Needleleaf forest | 567 | 1615 | 1094 |
| Broadleaf forest | 22 | 111 | 247 |
| Meadows | 191 | 347 | 127 |
| Bare ground | 31 | 39 | 104 |
| Agriculture | 134 | 624 | 678 |
| Soils (km2) | |||
| Red-brown | 373 | 1081 | 1700 |
| Brown forest | 269 | 650 | 100 |
| Red Maroon | - | - | 223 |
| Geology | |||
| Mainly conglomerate recrystallized limestone, meta-ultramafic schist, and Jurassic sediments | Mainly conglomerate quartzite, recrystallized limestone, meta-ultramafic schist | Mainly conglomerate quartzite, recrystallized limestone, meta-ultramafic schist | |
| Climate and flow conditions | |||
| Precipitation (mm) | 967 | 915 | 703 |
| Temperature (°C) | 15.0 | 15.0 | 15.5 |
| Obs. runoff (mm) | 406 | 363 | 262 |
| Elevation (m) | |||
| Mean | 730 | 1000 | 1087 |
| Maximum | 1886 | 2390 | 2240 |
| Minimum | 272 | 152 | 552 |
| Slope (%) | 21 | 20 | 12 |
| Parameter | Description | Global Range | Calibrated (Kayirli) | Calibrated (Ulubey) |
|---|---|---|---|---|
| Soil-Water module | ||||
| soilMaxDPS (mm) | maximum depression storage | 0 to 10 | 5.10 | 7.78 |
| soilLinRed | linear reduction co-efficient for AET | −5 to 5 | 4.91 | 3.47 |
| soilMaxInfSummer (mm) | maximum infiltration in summer | 0 to 200 | 100 | 26.53 |
| soilMaxInfWinter (mm) | maximum infiltration in winter | 0 to 200 | 96 | 55.85 |
| soilMaxInfSnow (mm) | maximum infiltration in snow-covered areas | 0 to 200 | 104 | 124 |
| soilImpGT80 | infiltration for areas greater than 80% sealing | 0 to 1 | 0.54 | 0.62 |
| soilImpLT80 | infiltration for areas lesser than 80% sealing | 0 to 1 | 0.53 | 0.86 |
| soilDistMPSLPS | MPS-LPS distribution coefficient | 0 to 10 | 3.1 | 4.83 |
| soilDiffMPSLPS | MPS-LPS diffusion coefficient | 0 to 10 | 5.7 | 7.60 |
| soilOutLPS | outflow coefficient for LPS | 0 to 10 | 5.0 | 6.31 |
| soilLatVertLPS | the lateral vertical distribution coefficient | 0 to 10 | 4.5 | 3.15 |
| soilMaxPerc (mm) | maximum percolation rate to groundwater | 0 to 100 | 50 | 33.16 |
| soilConcRD1Flood | recession coefficient for a flood event | 0 to 10 | 7.0 | 4.15 |
| soilConcRD1Floodthreshold | the threshold value for soilConcRD1Flood | 0 to 500 | 500 | 430 |
| soilConcRD1 | recession coefficient for overland flow | 0 to 10 | 2.9 | 8.04 |
| soilConcRD2 | recession coefficient for Interflow | 0 to 10 | 3.4 | 5.09 |
| Precipitation distribution module | ||||
| Trans | threshold temperature | 0 to −5 | 1.1 | 1.5 |
| Trs | base temperature for snow and rain | −5 to +5 | 0.0 | 0.0 |
| Interception module | ||||
| α_rain (mm) | storage capacity (m²) of particular land cover for rain in mm | 0 to +5 | 1.3 | 2.3 |
| α_snow (mm) | storage capacity (m²) of specific land cover for snow in mm | 0 to +5 | 1.7 | 2.0 |
| Snow module | ||||
| snowCritDens (%) | critical density of the snowpack | 0 to 1 | 0.381 | 0.451 |
| snowColdContent | cold content of the snowpack | 0 to 1 | 0.0012 | 0.01 |
| baseTemp (oC) | the threshold temperature for snowmelt | −5 to 5 | 0 | 0 |
| t_factor | melt factor by sensible heat | 0 to 5 | 2.84 | 3.10 |
| r_factor | melt factor by liquid precipitation | 0 to 5 | 0.21 | 0.34 |
| g_factor | melt factor by soil heat flow | 0 to 5 | 3.73 | 2.75 |
| Groundwater module | ||||
| gwRG2Fact | factor for runoff dynamics of RG2 | 1 to 5 | 0.84 | 2.69 |
| RG1RG2dist | calibration coefficient for distribution of percolation water | 1 to 5 | 1.0 | 3.44 |
| gwRG1Fact | factor for runoff dynamics of RG1 | 1 to 5 | 1.0 | 2.50 |
| gwCapRise | factor for the setting of capillary rise | 1 to 5 | 1.0 | 1.98 |
| Parameters | Low Range | High Range |
|---|---|---|
| gwRG1Fact | 0.03 | 4 |
| gwRG1RG2dist | 0.04 | 4 |
| gwRG2Fact | 0.01 | 5 |
| soilConcRD1 | 5 | 10 |
| soilConcRD1flood | 0.01 | 7 |
| soilConcRD2 | 5 | 10 |
| soilLatVertLPS | 0.03 | 6 |
| soilLinRed | 0.07 | 5 |
| soilMaxInfSummer | 0.08 | 3 |
| soilMaxInfWinter | 0.08 | 3 |
| soilMaxPerc | 0.04 | 4 |
| flowRouteTA | 10 | 50 |
| baseTemp | 0.1 | 8 |
| t_factor | 1 | 50 |
| snow_trs | 0.03 | 8 |
| Periods | Discharge Average (m3/s) | Performance Indicators (Daily) | |||
|---|---|---|---|---|---|
| Observed | Simulated | NSE | PBIAS | R2 | |
| Kayırlı—Dry (2013–2014) | 6.623 | 3.740 | 0.72 | 3.53 | 0.75 |
| Kayırlı—Wet (2015–2017) | 10.764 | 12.102 | 0.82 | −2.45 | 0.81 |
| Ulubey—Wet (2013–2014) | 7.227 | 6.742 | 0.74 | 3.71 | 0.73 |
| Ulubey—Dry (2015–2017) | 4.030 | 4.510 | 0.73 | −1.91 | 0.77 |
| Amasya (2013–2017) | 15.504 | 20.085 | 0.76 | −2.86 | 0.82 |
| Subcatchments | Hydrological Variables (mm) | |||||
|---|---|---|---|---|---|---|
| Precipitation | Runoff | RD1 | RD2 | RG1 | ET | |
| Kayirli | 967.3 | 433.9 | 173.5 | 108.4 | 86.8 | 601.6 |
| Ulubey | 703.8 | 294.0 | 123.5 | 67.6 | 58.8 | 528.2 |
| Amasya | 915.2 | 398.9 | 139.6 | 99.7 | 95.7 | 569.4 |
| Gauge | Quartile | n | tcalculated | R2 | Difference | p-Value |
|---|---|---|---|---|---|---|
| Kayırlı | 1° | 456 | −0.94 | 0.896 | −0.0403 | 0.348 |
| 2° | 456 | −0.15 | 0.698 | −0.0047 | 0.878 | |
| 3° | 456 | −0.91 | 0.682 | −0.153 | 0.365 | |
| 4° | 458 | 2.44 | 0.694 | 1.619 | 0.015 | |
| Ulubey | 1° | 456 | 0.12 | 0.919 | 0.0021 | 0.908 |
| 2° | 456 | −1.07 | 0.834 | −0.0258 | 0.286 | |
| 3° | 456 | −1.14 | 0.846 | −0.0618 | 0.256 | |
| 4° | 458 | 1.44 | 0.853 | 0.395 | 0.150 | |
| Amasya | 1° | 456 | 0.12 | 0.795 | 0.0021 | 0.908 |
| 2° | 456 | −1.07 | 0.766 | −0.0258 | 0.286 | |
| 3° | 456 | −1.14 | 0.776 | −0.0618 | 0.256 | |
| 4° | 458 | 1.44 | 0.855 | 0.395 | 0.15 |
Publisher’s Note: MDPI stays neutral with regard to jurisdictional claims in published maps and institutional affiliations. |
© 2021 by the authors. Licensee MDPI, Basel, Switzerland. This article is an open access article distributed under the terms and conditions of the Creative Commons Attribution (CC BY) license (https://creativecommons.org/licenses/by/4.0/).
Share and Cite
Donmez, C.; Cilek, A.; Paul, C.; Berberoglu, S. Implementing a Proxy-Basin Strategy to Assess the Transposability of a Hydrological Model in Geographically Similar Catchments. Sustainability 2021, 13, 11393. https://doi.org/10.3390/su132011393
Donmez C, Cilek A, Paul C, Berberoglu S. Implementing a Proxy-Basin Strategy to Assess the Transposability of a Hydrological Model in Geographically Similar Catchments. Sustainability. 2021; 13(20):11393. https://doi.org/10.3390/su132011393
Chicago/Turabian StyleDonmez, Cenk, Ahmet Cilek, Carsten Paul, and Suha Berberoglu. 2021. "Implementing a Proxy-Basin Strategy to Assess the Transposability of a Hydrological Model in Geographically Similar Catchments" Sustainability 13, no. 20: 11393. https://doi.org/10.3390/su132011393
APA StyleDonmez, C., Cilek, A., Paul, C., & Berberoglu, S. (2021). Implementing a Proxy-Basin Strategy to Assess the Transposability of a Hydrological Model in Geographically Similar Catchments. Sustainability, 13(20), 11393. https://doi.org/10.3390/su132011393

