Economic Downturns and Land-Use Change: A Spatial Analysis of Urban Transformations in Rome (Italy) Using a Geographically Weighted Principal Component Analysis
Abstract
:1. Introduction
2. Materials and Methods
2.1. Study Area
2.2. Land-Use Data
2.3. Statistical Analysis
3. Results
3.1. Urban Expansion
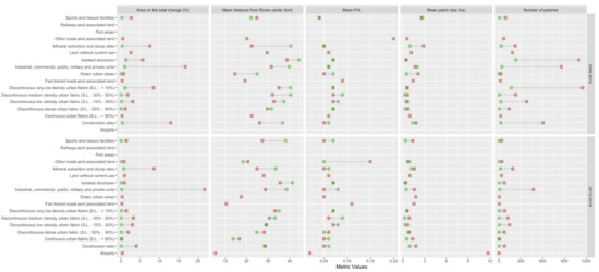
3.2. Comparing Trajectories of Land-Use Change
3.3. Spatial Analysis of Land-Use Trajectories
4. Discussion
5. Conclusions
Author Contributions
Funding
Institutional Review Board Statement
Informed Consent Statement
Data Availability Statement
Conflicts of Interest
References
- Angel, S.; Parent, J.; Civco, D.L.; Blei, A.; Potere, D. The dimensions of global urban expansion: Estimates and projections for all countries, 2000–2050. Prog. Plan. 2011, 75, 53–107. [Google Scholar] [CrossRef]
- Kroll, F.; Kabisch, N. The Relation of Diverging Urban Growth Processes and Demographic Change along an Urban-Rural Gradient. Popul. Space Place 2012, 18, 260–276. [Google Scholar] [CrossRef]
- Hertel, T.W.; West, T.A.P.; Boerner, J.; Villoria, N.B. A review of global-local-global linkages in economic land-use/cover change models. Environ. Res. Lett. 2019, 14, 053003. [Google Scholar] [CrossRef]
- Nickayin, S.; Tomao, A.; Quaranta, G.; Salvati, L.; Morera, A.G. Going toward Resilience? Town Planning, Peri-Urban Landscapes, and the Expansion of Athens, Greece. Sustainability 2020, 12, 10471. [Google Scholar] [CrossRef]
- Salvati, L.; Ciommi, M.T.; Serra, P.; Chelli, F.M. Exploring the spatial structure of housing prices under economic expansion and stagnation: The role of socio-demographic factors in metropolitan Rome, Italy. Land Use Policy 2018, 81, 143–152. [Google Scholar] [CrossRef]
- Kane, K.; York, A.M.; Tuccillo, J.; Gentile, L.E.; Ouyang, Y. Residential development during the Great Recession: A shifting focus in Phoenix, Arizona. Urban Geogr. 2014, 35, 486–507. [Google Scholar] [CrossRef]
- Aalbers, M. Geographies of the financial crisis. Area 2009, 41, 34–42. [Google Scholar] [CrossRef] [Green Version]
- Pili, S.; Grigoriadis, E.; Carlucci, M.; Clemente, M.; Salvati, L. Towards sustainable growth? A multi-criteria assessment of (changing) urban forms. Ecol. Indic. 2017, 76, 71–80. [Google Scholar] [CrossRef]
- Milan, B.F.; Creutzig, F. Municipal policies accelerated urban sprawl and public debts in Spain. Land Use Policy 2016, 54, 103–115. [Google Scholar] [CrossRef] [Green Version]
- Wang, J.; Lin, Y.; Glendinning, A.; Xu, Y. Land-use changes and land policies evolution in China’s urbanization processes. Land Use Policy 2018, 75, 375–387. [Google Scholar] [CrossRef]
- Cho, S.-H.; Kim, S.G.; Roberts, R.K. Values of environmental landscape amenities during the 2000–2006 real estate boom and subsequent 2008 recession. J. Environ. Plan. Manag. 2011, 54, 71–91. [Google Scholar] [CrossRef]
- Duvernoy, I.; Zambon, I.; Sateriano, A.; Salvati, L. Pictures from the other side of the fringe: Urban growth and peri-urban agriculture in a post-industrial city (Toulouse, France). J. Rural. Stud. 2018, 57, 25–35. [Google Scholar] [CrossRef]
- Di Feliciantonio, C.; Salvati, L. ‘Southern’ Alternatives of Urban Diffusion: Investigating Settlement Characteristics and Socio-Economic Patterns in Three Mediterranean Regions. Tijdschr. voor Econ. en Soc. Geogr. 2014, 106, 453–470. [Google Scholar] [CrossRef]
- Castles, F.G.; Ferrera, M. Home Ownership and the Welfare State: Is Southern Europe Different? South Eur. Soc. Politi. 1996, 1, 163–185. [Google Scholar] [CrossRef]
- Zambon, I.; Benedetti, A.; Ferrara, C.; Salvati, L. Soil Matters? A Multivariate Analysis of Socioeconomic Constraints to Urban Expansion in Mediterranean Europe. Ecol. Econ. 2018, 146, 173–183. [Google Scholar] [CrossRef]
- Bajocco, S.; Ceccarelli, T.; Smiraglia, D.; Salvati, L.; Ricotta, C. Modeling the ecological niche of long-term land use changes: The role of biophysical factors. Ecol. Indic. 2016, 60, 231–236. [Google Scholar] [CrossRef]
- Schneider, F.; Kallis, G.; Martinez-Alier, J. Crisis or opportunity? Economic degrowth for social equity and ecological sustainability. Introduction to this special issue. J. Clean. Prod. 2010, 18, 511–518. [Google Scholar] [CrossRef]
- Salvati, L.; Sateriano, A.; Grigoriadis, E. Crisis and the city: Profiling urban growth under economic expansion and stagnation. Lett. Spat. Resour. Sci. 2015, 9, 329–342. [Google Scholar] [CrossRef]
- Tomao, A.; Quaranta, G.; Salvia, R.; Vinci, S.; Salvati, L. Revisiting the ‘southern mood’? Post-crisis Mediterranean urbanities between economic downturns and land-use change. Land Use Policy 2021, 105740. [Google Scholar] [CrossRef]
- Lambin, E.F.; Meyfroidt, P. Land use transitions: Socio-ecological feedback versus socio-economic change. Land Use Policy 2010, 27, 108–118. [Google Scholar] [CrossRef]
- Salvati, L.; Quatrini, V.; Barbati, A.; Tomao, A.; Mavrakis, A.; Serra, P.; Sabbi, A.; Merlini, P.; Corona, P. Soil occupation efficiency and landscape conservation in four Mediterranean urban regions. Urban For. Urban Green. 2016, 20, 419–427. [Google Scholar] [CrossRef]
- Zhou, X.; Chen, H. Impact of urbanization-related land use land cover changes and urban morphology changes on the urban heat island phenomenon. Sci. Total. Environ. 2018, 635, 1467–1476. [Google Scholar] [CrossRef] [PubMed]
- Li, F.; Zhou, T. Effects of urban form on air quality in China: An analysis based on the spatial autoregressive model. Cities 2019, 89, 130–140. [Google Scholar] [CrossRef]
- Zhou, H.; Gao, H. The impact of urban morphology on urban transportation mode: A case study of Tokyo. Case Stud. Transp. Policy 2018, 8, 197–205. [Google Scholar] [CrossRef]
- Chen, H.C.; Han, Q.; de Vries, B. Urban morphology indicator analyzes for urban energy modeling. Sustain. Cities Soc. 2020, 52, 101863. [Google Scholar] [CrossRef]
- Lloyd, C.D. Analysing population characteristics using geographically weighted principal components analysis: A case study of Northern Ireland in 2001. Comput. Environ. Urban Syst. 2010, 34, 389–399. [Google Scholar] [CrossRef]
- Gollini, I.; Lu, B.; Charlton, M.; Brunsdon, C.; Harris, P. Gwmodel: An R package for exploring spatial heterogeneity using geographically weighted models. J. Stat. Softw. 2015, 63, 1–50. [Google Scholar] [CrossRef] [Green Version]
- Lu, B.; Harris, P.; Charlton, M.; Brunsdon, C. The GWmodel R package: Further topics for exploring spatial heterogeneity using geographically weighted models. Geo-Spat. Inf. Sci. 2014, 17, 85–101. [Google Scholar] [CrossRef]
- Egidi, G.; Halbac-Cotoara-Zamfir, R.; Cividino, S.; Quaranta, G.; Salvati, L.; Colantoni, A. Rural in town: Traditional agriculture, population trends, and long-term urban expansion in metropolitan Rome. Land 2020, 9, 53. [Google Scholar] [CrossRef] [Green Version]
- Salvati, L.; Morelli, V.G.; Rontos, K.; Sabbi, A. Latent exurban development: City expansion along the rural-to-urban gradient in growing and declining regions of southern Europe. Urban Geogr. 2013, 34, 376–394. [Google Scholar] [CrossRef]
- Salvati, L.; Carlucci, M. Urban Growth and Land-Use Structure in Two Mediterranean Regions. SAGE Open 2014, 4, 215824401456119. [Google Scholar] [CrossRef] [Green Version]
- Demšar, U.; Harris, P.; Brunsdon, C.; Fotheringham, A.S.; McLoone, S. Principal Component Analysis on Spatial Data: An Overview. Ann. Assoc. Am. Geogr. 2013, 103, 106–128. [Google Scholar] [CrossRef]
- Harris, P.; Brunsdon, C.; Charlton, M. International Journal of Geographical Information Science Geographically weighted principal components analysis Geographically weighted principal components analysis. Int. J. Geogr. Inf. Sci. 2011, 25, 1717–1736. [Google Scholar] [CrossRef]
- Salvati, L.; Ricciardo Lamonica, G. Containing urban expansion: Densification vs greenfield development, socio-demographic transformations and the economic crisis in a Southern European City, 2006–2015. Ecol. Indic. 2020, 110, 5923. [Google Scholar] [CrossRef]
- Paliogiannis, C.; Koedam, N.; Cliquet, A. The impact of the economic crisis on the implementation of the EU Nature Directives in Greece: An expert-based view. J. Nat. Conserv. 2019, 48, 36–46. [Google Scholar] [CrossRef]
- Gasparella, L.; Tomao, A.; Agrimi, M.; Corona, P.; Portoghesi, L.; Barbati, A. Italian stone pine forests under Rome’s siege: Learning from the past to protect their future. Landsc. Res. 2017, 42, 211–222. [Google Scholar] [CrossRef] [Green Version]
- Salvati, L.; Gasparella, L.; Munafò, M.; Romano, R.; Barbati, A. Figuring the features of the Roman Campagna: Recent landscape structural. Ann. Silvic. Res. 2017, 41, 20–28. [Google Scholar] [CrossRef]
- Hayek, U.W.; Jaeger, J.A.G.; Schwick, C.; Jarne, A.; Schuler, M. Measuring and Assessing Urban Sprawl: What are the Remaining Options for Future Settlement Development in Switzerland for 2030? Appl. Spat. Anal. Policy 2011, 4, 249–279. [Google Scholar] [CrossRef] [Green Version]
- Falco, E.; Chiodelli, F. The transfer of development rights in the midst of the economic crisis: Potential, innovation and limits in Italy. Land Use policy 2018, 72, 381–388. [Google Scholar] [CrossRef]
- Chorianopoulos, I.; Pagonis, T.; Koukoulas, S.; Drymoniti, S. Planning, competitiveness and sprawl in the Mediterranean city: The case of Athens. Cities 2010, 9, 126. [Google Scholar] [CrossRef]
- Arena, S.; Roda, I.; Chiacchio, F. Integrating modelling of maintenance policies within a stochastic hybrid automaton framework of dynamic reliability. Appl. Sci. 2021, 11, 2300. [Google Scholar] [CrossRef]
- Barbati, A.; Corona, P.; Salvati, L.; Gasparella, L. Natural forest expansion into suburban countryside: Gained ground for a green infrastructure? Urban. For. Urban. Green. 2013, 12, 36–43. [Google Scholar] [CrossRef] [Green Version]
- Tomao, A.; Quatrini, V.; Corona, P.; Ferrara, A.; Lafortezza, R.; Salvati, L. Resilient landscapes in Mediterranean urban areas: Understanding factors influencing forest trends. Environ. Res. 2017, 156. [Google Scholar] [CrossRef] [PubMed] [Green Version]
- Palmero-Iniesta, M.; Pino, J.; Pesquer, L.; Espelta, J.M. Recent forest area increase in Europe: Expanding and regenerating forests differ in their regional patterns, drivers and productivity trends. Eur. J. For. Res. 2021, 140, 793–805. [Google Scholar] [CrossRef]
- Cimini, D.; Tomao, A.; Mattioli, W.; Barbati, A.; Corona, P. Assessing impact of forest Cover Change dynamics on High Nature Value farmland in Mediterranean mountain landscape. Ann. Silvic. Res. 2013, 37, 29–57. [Google Scholar] [CrossRef]
- Salvati, L. Exurban Development and Landscape Diversification in a Mediterranean Suburban Area. Scottish Geogr. J. 2014, 130, 22–34. [Google Scholar] [CrossRef]
- Ferrari, B.; Quatrini, V.; Barbati, A.; Corona, P.; Masini, E.; Russo, D. Conservation and enhancement of the green infrastructure as a nature-based solution for Rome’s sustainable development. Urban. Ecosyst. 2019, 22, 865–878. [Google Scholar] [CrossRef]
- Moreira, F.; Viedma, O.; Arianoutsou, M.; Curt, T.; Koutsias, N.; Rigolot, E.; Barbati, A.; Corona, P.; Vaz, P.; Xanthopoulos, G.; et al. Landscape—wildfire interactions in southern Europe: Implications for landscape management. J. Environ. Manage. 2011, 92, 2389–2402. [Google Scholar] [CrossRef] [Green Version]
- Galiana-Martín, L. Spatial Planning Experiences for Vulnerability Reduction in the Wildland-Urban Interface in Mediterranean European Countries. Eur. Countrys. 2017, 9, 577–593. [Google Scholar] [CrossRef] [Green Version]
- Mancini, L.D.; Elia, M.; Barbati, A.; Salvati, L.; Corona, P.; Lafortezza, R.; Sanesi, G. Are Wildfires Knocking on the Built-Up Areas Door? Forests 2018, 9, 234. [Google Scholar] [CrossRef] [Green Version]
- D’Este, M.; Ganga, A.; Elia, M.; Lovreglio, R.; Giannico, V.; Spano, G.; Colangelo, G.; Lafortezza, R.; Sanesi, G. Modeling fire ignition probability and frequency using Hurdle models: A cross-regional study in Southern Europe. Ecol. Process. 2020, 9, 54. [Google Scholar] [CrossRef]
- Colantoni, A.; Egidi, G.; Quaranta, G.; D’Alessandro, R.; Vinci, S.; Turco, R.; Salvati, L. Sustainable Land Management, Wildfire Risk and the Role of Grazing in Mediterranean Urban-Rural Interfaces: A Regional Approach from Greece. Land 2020, 9, 21. [Google Scholar] [CrossRef] [Green Version]
- Zambon, I.; Serra, P.; Sauri, D.; Carlucci, M.; Salvati, L. Beyond the ‘Mediterranean city’: Socioeconomic disparities and urban sprawl in three Southern European cities. Geogr. Ann. Ser. B Hum. Geogr. 2017, 99, 319–337. [Google Scholar] [CrossRef]
- Chorianopoulos, I.; Tsilimigkas, G.; Koukoulas, S.; Balatsos, T. The shift to competitiveness and a new phase of sprawl in the Mediterranean city: Enterprises guiding growth in Messoghia—Athens. Cities 2014, 39, 133–143. [Google Scholar] [CrossRef]
- ESPON. European Spatial Development Perspective. In Towards Balanced and Sustainable Development of the Territory of the EU; First Official draft (Noordwijk); CEC: Luxembourg, Luxemburg, 1997. [Google Scholar]
- Ravetz, J. City-Region 2020: Integrated Planning for a Sustainable Environment; Routledge: London, UK, 2016; ISBN 9781134900923. [Google Scholar]
- Hall, P.; Pain, K. The Polycentric Metropolis: Learning from Mega-City Regions in Europe; Routledge: London, UK, 2006; ISBN 9781849773911. [Google Scholar]
- Rodríguez-Pose, A. The Rise of the “City-region” Concept and its Development Policy Implications. Eur. Plan. Stud. 2008, 16, 1025–1046. [Google Scholar] [CrossRef]
- Davoudi, S. EUROPEAN BRIEFING: Polycentricity in European spatial planning: From an analytical tool to a normative agenda. Eur. Plan. Stud. 2003, 11, 979–999. [Google Scholar] [CrossRef]
- Snyder, G. Coming to the watershed. In Futures by Design. The Practice of Ecological Planning; Aberley, D., Ed.; New Society Publisher: Gabriola Island, BC, Canada, 1994; pp. 14–26. [Google Scholar]
- Dasmann, R. Some thought on ecological planning. In Futures by Design. Pract. Ecol. Plan; Aberley, D., Ed.; New Society Publisher: Gabriola Island, BC, Canada, 1994; pp. 36–43. [Google Scholar]
- Thayer, R.L. Life Place: Bioregional Thought and Practice; University of California Press: Berkeley, CA, USA, 2003; ISBN 0520213122. [Google Scholar]
- Church, S.P. Exploring urban bioregionalism: A synthesis of literature on urban nature and sustainable patterns of urban living. Sapiens 2015, 7(1), 1–11. [Google Scholar]
- Magnaghi, A. The Territorialist Approach to Urban Bioregions. In Bioregional Planning and Design: Volume I; Fanfani, D., Matarán Ruiz, A., Eds.; Springer International Publishing: New York, NY, USA, 2020; pp. 33–61. [Google Scholar]
- Città Metropolitana Roma Piano Strategico Metropolitano Documento Preliminare. Available online: https://static.cittametropolitanaroma.it/uploads/Relazione_allegato_decreto_def.pdf (accessed on 20 August 2021).
- Tocci, W. Roma Come Se. Alla Ricerca del Futuro per la Capitale; Donzelli: Roma, Italy, 2020; p. VI-276. [Google Scholar]
- Bičík, I.; Jeleček, L.; Štěpánek, V. Land-use changes and their social driving forces in Czechia in the 19th and 20th centuries. Land Use Policy 2001, 18, 65–73. [Google Scholar] [CrossRef]
- Florida, R. The Great Reset: How the Post-Crash Economy Will Change the Way We Live and Work; Harper Collins: London, UK, 2011. [Google Scholar]






| Land-Use Trajectory | Number of Patches | Mean Patch Size (ha) | Area on the Total Land-Use Change (%) | Mean P/A Ratio (m−1) | Distance from Rome Center (km) |
|---|---|---|---|---|---|
| 2006–2012 | |||||
| Brownfield development | |||||
| Residential densification | 568 | 1.11 | 7.40 | 0.060 | 31.2 |
| Residential extensification | 328 | 0.96 | 3.70 | 0.061 | 27.6 |
| Industrialization | 19 | 0.56 | 0.13 | 0.072 | 31.5 |
| Greenfield development | |||||
| Compact residential expansion | 168 | 0.72 | 1.42 | 0.072 | 28.7 |
| Residential sprawl | 3288 | 0.56 | 21.39 | 0.069 | 36.8 |
| Industrialization | 984 | 1.60 | 18.41 | 0.067 | 30.9 |
| Greening | 229 | 2.28 | 6.13 | 0.053 | 17.5 |
| Other trajectories | 2018 | 1.75 | 41.43 | 0.058 | 23.4 |
| Total | 7602 | 1.12 | 100.0 | 0.065 | 30.9 |
| 2012–2018 | |||||
| Brownfield development | |||||
| Residential densification | 76 | 1.44 | 3.14 | 0.051 | 20.93 |
| Residential extensification | 149 | 1.19 | 5.08 | 0.056 | 26.89 |
| Industrialization | 8 | 0.40 | 0.09 | 0.125 | 22.68 |
| Greenfield development | |||||
| Compact residential expansion | 81 | 0.91 | 2.12 | 0.064 | 27.30 |
| Residential sprawl | 441 | 0.68 | 8.62 | 0.069 | 31.61 |
| Industrialization | 534 | 1.52 | 23.27 | 0.062 | 28.07 |
| Greening | 262 | 2.56 | 19.24 | 0.050 | 22.97 |
| Other trajectories | 802 | 1.67 | 38.44 | 0.058 | 24.53 |
| Total | 2353 | 1.48 | 100.00 | 0.060 | 26.61 |
| 2006–2012 | 2012–2018 | ||||||||
|---|---|---|---|---|---|---|---|---|---|
| Comp.1 | Comp.2 | Comp.3 | Comp.4 | Comp.1 | Comp.2 | Comp.3 | Comp.4 | ||
| Explained variance (%) | 19.4 | 12.2 | 11.6 | 11.2 | 18 | 14.4 | 11.8 | 11.3 | |
| Patch size | 0.38 | 0.47 | |||||||
| P/A ratio | −0.36 | −0.39 | −0.47 | ||||||
| Distance from Rome center | −0.43 | −0.37 | |||||||
| Brownfield development | |||||||||
| Residential densification | −0.63 | 0.59 | |||||||
| Residential extensification | −0.39 | −0.46 | 0.70 | ||||||
| Industrialization | −0.44 | ||||||||
| Greenfield development | |||||||||
| Compact residential expansion | −0.38 | ||||||||
| Residential sprawl | −0.66 | −0.48 | 0.42 | 0.39 | |||||
| Industrialization | 0.36 | −0.63 | 0.44 | −0.81 | |||||
| Greening | 0.53 | 0.40 | 0.35 | −0.39 | |||||
Publisher’s Note: MDPI stays neutral with regard to jurisdictional claims in published maps and institutional affiliations. |
© 2021 by the authors. Licensee MDPI, Basel, Switzerland. This article is an open access article distributed under the terms and conditions of the Creative Commons Attribution (CC BY) license (https://creativecommons.org/licenses/by/4.0/).
Share and Cite
Tomao, A.; Mattioli, W.; Fanfani, D.; Ferrara, C.; Quaranta, G.; Salvia, R.; Salvati, L. Economic Downturns and Land-Use Change: A Spatial Analysis of Urban Transformations in Rome (Italy) Using a Geographically Weighted Principal Component Analysis. Sustainability 2021, 13, 11293. https://doi.org/10.3390/su132011293
Tomao A, Mattioli W, Fanfani D, Ferrara C, Quaranta G, Salvia R, Salvati L. Economic Downturns and Land-Use Change: A Spatial Analysis of Urban Transformations in Rome (Italy) Using a Geographically Weighted Principal Component Analysis. Sustainability. 2021; 13(20):11293. https://doi.org/10.3390/su132011293
Chicago/Turabian StyleTomao, Antonio, Walter Mattioli, David Fanfani, Carlotta Ferrara, Giovanni Quaranta, Rosanna Salvia, and Luca Salvati. 2021. "Economic Downturns and Land-Use Change: A Spatial Analysis of Urban Transformations in Rome (Italy) Using a Geographically Weighted Principal Component Analysis" Sustainability 13, no. 20: 11293. https://doi.org/10.3390/su132011293
APA StyleTomao, A., Mattioli, W., Fanfani, D., Ferrara, C., Quaranta, G., Salvia, R., & Salvati, L. (2021). Economic Downturns and Land-Use Change: A Spatial Analysis of Urban Transformations in Rome (Italy) Using a Geographically Weighted Principal Component Analysis. Sustainability, 13(20), 11293. https://doi.org/10.3390/su132011293

