Abstract
The agricultural industry is highly underdeveloped and requires transformation in technology for food safety and reliability. A digital world is relying on blockchain technology for the successful implementation of sustainable e-agricultural supply chain management (e-Agri-SCM). In current advancements of blockchain in digital marketing, product website design (web design) is essential to streamline the requirements of the customer and the expectations of supply chain partners. The current research has incorporated the blockchain effect by web design elements into the agricultural supply chain management (Agri-SCM) study. In addition, partners in the digital marketing supply chain (DM-SCM) are also facing issues to identify significant web design elements-based blockchain technology to gain maximum profit. Therefore, a cooperative (Co-op) sustainable e-agricultural SCM model is developed in this study by considering the web design index and variable demand to decide shipments, selling price, cycle time, and advertisement cost for agriculture products. The uncertainties in the model due to intangible web design elements and basic costs are dealt with by the application of the fuzzy system whereas carbon emission is also considered for providing cleaner production. A real-time application of the proposed model is done by undertaking five different cases based on mutual share, demand curve, and advertisement budget among participants. The sensitivity analysis is also performed to identify important factors of the total profit. Findings of this work include significant web design elements (WDEs) i.e., web graphics, search engine optimization, cyber-security, fast loading, and navigation, as essentials for digital marketing to convince customers towards the product in a global SCM. The numerical results and managerial insights are advantageous for managers to get maximum profit by cooperative and digital marketing strategies to attain e-Agri-SCM.
1. Introduction
Owing to the escalating awareness of resource depletion, climate change, and overwhelmed population, firms in the agriculture domain need to redesign their current supply chain models to be sustainable by taking economic and environmental impacts into account. Drastic evolution has been observed in the agriculture supply chain during the last four decades [1]. Production technology and marketing has played a vital role in the upgradation agriculture supply chain and has been a limelight for governments and agri-business sectors. Further, the development in information, its transmission, and transportation mediums have evolved. Currently, they are encapsulated with vigorous internet usage through various platforms worldwide [2]. Agri business, specifically attached with modern digitized technologies such as blockchain have revolutionized the medium of business conducted with customers world-wide, by providing social connections that vitally help in searching, targeting, communicating, and serving buyers [3]. Firms may observe tremendous benefit by enhancing investments in technology, such as higher efficiency and lower costs, and high service level [4]. Moreover, the boom in technology has strengthened the online shopping sector. According to a report published by the National Bureau of Statistics (2016), the gross online merchandise volume of China amounted to 4.8 trillion Yuan, increasing by 64.5 percent in just a year span. This growth was recorded to be four times more rapid than cumulative retail sales of goods [5].
Digitization and online marketing are strongly corelated with blockchain technology. Blockchain technology emanated by the development of digital currency—Bitcoin that appeared initially in the form of Bitcoin white paper [6]. The benefits of blockchain have encouraged the business communities and industries to adopt it, which is reflected from a survey that exhibits 77% respondents (proficient in blockchain) from a set of 600 executives acknowledged their firm’s involvement in the blockchain projects [7]. Blockchain technology permits the construction of an encrypted and secured set of records between parties digitally connected in a supply chain [8]. Blockchain consist of transactions or blocks of information stored in archives available on a mutual platform to the supplier and vendors. These data blocks require nodes which are services connected through the internet and websites.
Furthermore, investment in the right direction for technologies is very critical. For this, Busca and Bertrandias [9] developed a framework for digital marketing (DM) and investigated its four cultural eras, and compared with the effect of blockchain. They devised different plans for the potential evolution of DM and in view of these plans, website or application design is a significant element to attract the customers and prosper e-business. Blockchain integrated with efficiently designed website increases probabilities of two major factors; firstly, gaining attraction of the customers and secondly traceability of the products from initiation to the terminal points. A website can transmit intrinsic product features like a written context of the product, images, and virtual experiences as well as extrinsic product features such as brand and price [10]. From a customer point of view, the element of a website has transformed into a pivot point that assesses the objectives of the system, service, and information [11]. On the contrary, from a product or service providers’ point of view, the elements of a website transformed should be a communal distribution medium to generate profit. Empirical studies on websites linking to the digital marketing supply chain (DM-SC) is rare. Owing to the rapid expansion in e-commerce around the globe, the e-store environment has fascinated maximum attraction from business during the past 12 years [12].
To narrow down our research stream, the grooming technology via e-marketing depends on the integration of blockchain in SC, developing website esthetics and the contents significantly. Interestingly, a report was published in a UK-based study, analyzing the inspiration element of trust among customers and retailers on websites, specifically over the impact of web content in comparison to web design. It was staggering to conclude that 94% of customers mistrusted a website directly due to design elements and 6% showed mistrust based on the actual content of the website [13]. Hence, the quality of a website is essential during the current digitized global era. As there was no study found on the integration of website esthetics including the effect of blockchain with DM-SC, the current research targets the need to fill this gap.
The article is structured by introducing the web designing of agri-product and digital marketing encapsulated with blockchain, to provide a platform for a sustainable and robust e-agriculture supply chain management (SCM) in this section. The related research works and reviews are represented in Section 2. The research methodology and framework including analytically hierarchical process (AHP), Pareto analysis, and fuzzy inference system (FIS) are discussed in detail in Section 3. The mathematical model of proposed cooperative e-agriculture SCM is formulated and modeled in Section 4. Section 5 represents numerical experimentation in which the data of supplier, agri-processing firm, and multi-retailer in SCM are incorporated. In addition, solution methodology and results findings by considering five cases of SCM are well summarized in Section 6. The sensitivity analysis in Section 7 is performed to check the effect of the web design index on total profit of the SCM. Lastly, Section 8 concludes the research study on the basis of finding results.
2. Literature Review
In order to fulfil the requirements of the future generations, agri-product supply chains should lay emphasis on digitized marketing through an effective e-advertisement channel. These resources acquire usage of architectural website designs that attract the customers and smooth the flow of information by using blockchain. Furthermore, a digitized sustainable agri-product supply chain needs more than only an economic validation objective (profit), it should also be keen to handle trust of the linked parties. Agriculture trends should shift towards the adoption of DM as it is less costly and risky in operations, even boundary-less, which allows the firm to deal more proficiently in complex, diverse, and distant markets, while at the same time dependence on domestic infrastructural system is reduced [14]. Firms tend to apply digital technologies currently; tools and devices to circumvent barriers such as pertaining to location and foreign market analysis, communication with foreign customers, and overseas opportunities identification, which were viewed as potential hindering subjects in the engagement, operation, and expansion of a company in international markets [15].
In the recent decade, blockchain technology has been on the rise, gaining success and proving its functionality in various organizations. It aims to harness its limpidity and transparency in order to provide solution to existing problems, where many untrusted actors are indulged in the resource distribution [16]. Agriculture supply chain is highly relevant to the resource distribution since the items of agriculture are predominantly used as an input in several multi-actor supply chains, where consumer is generally the end client. Further, in SCM, the annual growth of blockchain is anticipated with a rate of 87%, an increase from $45 million (2018) to $3314.6 million (2023) [17].
As an effective example, AgriDigital company in December 2016, implemented a pioneer settlement of the sale with 23.46 tons of grain via blockchain. After that, over 1300 different users with supplementary 1.6 million tons of grain got transacted through a cloud system, including a figure of $360 million in the growers’ payment. This success provided an inspiration for a potential and substantial usage of this technology in an agri-supply chain. This realm of digitization created enormous room for an e-market platform, which is essential to grab in a competitive environment. E-marketing is an emerging concept that depicts the process of buying and selling or exchanging either/both products or services through the internet [18]. According to Krishnamurthy and Singh [19], the services of e-marketing include a number of customer-support-activities; including e-tailing (direct-selling), SCM, and CRM. E-market services are interactive, dynamic, and internet-based that are sandwiched with customer care applications [20,21]. Websites and social application platforms act as a liaison and an interactive interface between various levels of the supply chain.
Several studies like Cannon and Perreault Jr [22], Albrecht et al. [23], Kalvenes and Basu [24] have endorsed that business-to-business electronic market place has developed to be an ideal podium for both buyers and sellers. E-marketing has a significant contribution to firms’ development. Researchers have identified that managing better electronic customer relationship [25], providing effective operative services [26], being adaptive to external knowledge, up to the mark utilization of e-marketing tools [27], and exploration of state-of-the-art information about available e-market [28] leads to effective firm performance. A multi-objective optimization model based on IoT and block chain in e-market was studied by [29] while data preserving in smart agriculture for an e-market was carried out by [30]. The sustainability perceptions of manufacturing stakeholders and agriculture irrigation resources were discussed by [31,32] respectively. The detailed contribution of the researchers is given in Table 1, where a research gap has been filled through proposed research work. Dadzie et al. [33] applied data reliability tests on the web design elements and determined the most effective ones for a business perspective. Likewise, Harrison and Waite [34] also established effective web design elements by applying multivariate analysis of variance (MANOVA) in their parametric study. Afterwards, Hu and Chen [35,36] conducted similar study by applying analysis of variances (ANOVA) and analytical approach respectively to prove significant web design elements. As decision makers are always interested in defining beneficial economic policies, that is where analytical approaches and mathematical models of strategic interaction amid balanced decision-makers come into play, such as, game theory, Nash equilibrium, and cooperative game theory. Established works with these theories and strategies based on a three-echelon cooperative supply chain can be found in the work of [35,37,38,39,40,41,42,43]. However, only the study of Cai et al. [41] is based on game theory for the web design elements and its framework does not cover three-echelon SCM. The proposed work matches with Sarkar et al. [44] for the SCM environment and application of fuzzy inference system (FIS), which is used to imply fuzzification procedure to the uncertain factors in the model. However, this work asserts multiple addition with the involvement of addition in the environment by coupling blockchain effect and web design elements. Further, the approach in the current study is also the combination of sequential quadratic programming (SQP), analytical hierarchy process (AHP), and FIS in order to tackle all the uncertain variables with tangible and intangible effects.
Table 1.
Author contribution table.
Studies have been carried out related to supply chain decision in e-markets by employing game theory [47], and Stackelberg–Nash equilibrium [48] in a vendor managed inventory including multi-retailers and using retailers’ information respectively. The decision model developed by Esmaeili et al. [49] provided factors of pricing and cooperation among sellers and buyers through competitive advertisement. Despite advertisements, a pricing strategy for any product in a sustainable supply chain is vital. Cai et al. [50] worked on pricing policies with price discount transactions in a dual-channel supply chain. Keeping the pricing policy intact, ordering policy is as important for not losing customers. Cai et al. [51] studied pricing along ordering policies in a supply chain model of the Business-to-Business (B2B) market. Further, there are many discount and pricing model studies i.e., Banerjee [52], Dada and Srikanth [53] and Pal et al. [54], where order quantities, price break, lot sizing, and discount quantities are the decision variables. Other than these factors, supplier selection is also important for a sustainable SCM and similar studies are carried out by [55,56,57].
Despite the fact of digitization and e-market success, advertisement is a significant element to exercise in a meaningful proportion and medium. In the recent decade, several researchers dealt with cooperative advertising in the manufacturer–retailer channel. This collaboration can also be termed as a financial contract, in which a manufacturer offers to accept either a certain portion or the complete advertising expenditure of a retailer/vendor [58]. In that way, increment in the advertising of a retailer is injected by the manufacturer to stimulate an immediate demand in the chain. However, being a potential part of several manufacturers’ advertisement budgets (e.g., sum of $15 billion was financed to similar programs in the USA, 2000), a number of forms appear to settle the contribution rate by the rule of thumb or best guess approach, deprived of detailed analysis on proportions of 50% or 100% [59].
The strategies to build up in the SC model comprise of multiple scenarios and attributes (mostly uncertain), thus, for this purpose, their ranking is vital with multi-criteria decision-based systems and fuzzy approaches. Recently, Bhosale and Kant [60] worked on an integrated fuzzy interference system (FIS) and fuzzy Delphi to rank the solutions and overcome the SC barriers. In another study by Amindoust and Saghafinia [61], evaluation of supplier selections in a textile industry was carried out by FIS and suppliers were ranked in order to effectively meet the objectives of selection. Paul et al. [62] applied FIS to predict the variations in demand based on the given forecast. They revised their supply chain plan in advance to develop a mitigated plan. Another study based on ranking of qualitative assessments in a green SC was carried out by [63] with the help of FIS. To sum up, FIS is an important tool for ranking of attributes linked with an uncertain environment. This study is pioneer in the shape of FIS application for ranking website design elements that are linked by an uncertain demand environment in a SC.
In today’s world, the agri-product promotion is effectively going on through digital marketing by enhancing web design to attract the customers. The objective is to provide a platform in the form of technology development policy among agricultural businesses for food security and reliability. Researchers are working on the enhancement of the product web design; however, web design is still not digitally connected with the customers through blockchain technology for the successful implementation of global agri-SCM. This study aims to target the e-market (online), which exclusively affects the firms’ performance. The significant web design elements are incorporated in cooperative three-echelon SCM under uncertain conditions. The research is specifically devising an attractive digital marketing policy through effective website design attributes, and linking these attributes with customer demand and advertisement cost to boost the total profit of the SCM partners.
3. Material and Methods
The research methodology was devised in a way to ensure a traceability and security to the food customers through blockchain technology in digital marketing. The agri-product web design was developed by incorporating blockchain elements to create digitization in the agri-SCM. The research was based on a step-by-step methodology, from the selection of significant web design elements (WDEs) based on blockchain and basic attributes for the promotion of the product through digital marketing, then the incorporation of the web design index (WDI) into three-echelon SCM, and finally finding the tangible effect of the web design elements on the total profit of the SCM based on co-op e-advertising policy. The research methodology is well represented by the flow diagram given in Figure 1 and the step-by-step procedure was as follows.
Figure 1.
Flow diagram of the research study of digital marketing and blockchain in e-agricultural supply chain management.
- The first step was associated with the identification and selection of significant web design elements (based on basic and blockchain technology) for the attraction of customer towards product. These significant elements were further considered to find the web design index. Nine basic design elements and six were identified and selected after taking opinion from digital marketing experts for the promotion of the product. Therefore, a questionnaire was developed and distributed among 120 respondents randomly. The response rate was recorded. The data were analyzed using Cronbach’s reliability test and it resulted that the α value was greater than 0.7. The basic web design elements were identified as web graphics (GA), hero images (HI), navigation (NA), fast loading (FL), typography (TY), web contents (WC), product videos (PV), branding (B), and card design (CD). On the other hand, blockchain elements to provide advanced digital technology were selected as search engine optimization (SEO), mobile compatibility (MC), machine learning (ML), email marketing (EM), enabled content management system (ECMS), and cyber security (CS). These selected WDEs are processed separately using an analytically hierarchical process (AHP) for the evaluation and ranking of the basic and blockchain design elements. (See Section 3.1).
- The second step covered the selection of the significant web design elements for the influence of the customer towards product by using Pareto analysis, which is based on an 80-20 rule. Pareto processes the ranking and corresponding eigen values obtained from the AHP. The significant WDEs were selected and considered for the SCM model, which influenced the response (web design index) by 80% and the remaining 20% elements had less impact. As a result, four basic elements and three blockchain elements were selected, which were considered significant for the calculation of the web design index using fuzzy inference system (FIS). (See Section 3.2).
- The selected combination of three blockchain (i.e., SEO, CS, and ML) and four basic design elements (i.e., GA, NA, FL, TG) were significant design elements and considered as an input in FIS. The uncertainty exists in measuring these significant design elements, which is the reason the FIS application was utilized from MATLAB software to defuzzify the uncertain inputs by using a centroid method and the web design index (WDI) was calculated by formulation of a triangular fuzzy system.
- Now the data are qualitative and continuous, therefore it was required to convert them into crunch value to find the overall website design index (WDI) on the bases of significant key elements. Therefore, FIS was used as a tool from MATLAB. The rules were taking weights with respect to the customer requirements and technical requirements. Finally, the WDI was calculated as an output of FIS from the combination of the blockchain elements and basic elements of the web design. (See Section 3.3).
- The WDI exists in a range from one to five depending on how the website is attracting and influencing customer towards product. The WDI as an output of the FIS was also triangular fuzzy number and was considered low between 1.0–2.8, medium between 2.8–3.2, and high within a range from 3.2–5.0. (See Section 3.2).
- Ultimately, the obtained WDI was incorporated into the agri-SCM for co-op e-advertising among supplier, agri-processing firm, and multi-retailer to grab and capture the e-market shares. The demand of customers from the e-market is also increasing with retailers due to attraction towards product as a result of the improved WDIs. The demand was incorporated into the three-echelon SCM, where the supplier, agri-processing firm, and multi-retailer cooperate based on advertisement cost by enhancing design elements of the product website for influencing customers. (See Section 4).
- The proposed SCM model was solved and optimized using sequential quadratic optimization (SQP) nonlinear interactive optimization technique. The optimal solution was based on cycle time, shipments, e-advertisement cost share by SCM partners, and selling price. (See Section 6).
3.1. Analytic Hierarchy Process
The nature of the problem is quite different to understand the effectiveness of the product web design to attract customer and improve product demand. The new era is totally dependent on new technologies i.e., blockchain, cloud computing, internet of things. That is the reason the product web design must include the significant attributes of the new technologies. Hence, blockchain technology needs to take advantage of traceability, cyber security, and communication. The analytical hierarchy process (AHP) decomposes a complicated problem into a multi-level hierarchical setup of criteria and characteristics, possessing decisive alternatives at the lowest level [64]. Application of AHP to determine relative importance for website element drivers is split into three stages: (i) the problem is decomposed into a top-down hierarchical structure, (ii) the weights for criteria evaluation are determined, and (iii) overall weight calculation for the website design element drivers. Comparison between criteria and a sub-criterion is carried out on the basis of the decision maker’s/expert judgment evaluation, of which any of them is a critical concern to the website characteristic in the loop of the three echelon SC objectives.
In this research study, the hierarchical structure was considered three-level i.e., level 0 (objective) was web design index for the digital marketing of e-agricultural SCM, level 01 (criteria) was based on the blockchain technology index and basic index of web design, whereas level 02 (sub-criteria) considered the basic and blockchain-based WDIs. AHP was applied in the proposed work to determine the comparative weights for the SCM problem and rank the sub-criteria WDEs to evaluate the impact and significance on the objective, hence, pairwise comparison was carried out based on the data taken for each of the sub-criteria. The output of the AHP was the eigen vector, which expresses the impact or importance of the web design elements based on customers’ and experts’ opinion. Basic design and blockchain-based WDEs were then ranked based on their significance as given in Table 2 and Table 3, respectively.
Table 2.
The eigen vector for the evaluation of basic web design elements as an output of analytic hierarchy process (AHP).
Table 3.
The eigen vector for the evaluation of blockchain elements as an output of AHP.
3.2. Significant Web Design Elements using Pareto Analysis
The Pareto analysis was applied to find the significant basic and blockchain-based WDEs for the promotion of the product and influencing customers towards products through digital marketing. The analysis is also called 80-20 rule, which is well illustrated by Figure 2. It was observed by the Pareto analysis that in case of blockchain, the effect of search engine optimization (SEO), cybersecurity (CS), and machine learning (ML) tools and the basic design elements i.e., web graphics (GA), navigation (NA), fast loading (FL), and typography (TY) are more than 80% effective in influencing customers in e-agricultural SCM. Few of these significant sub-criteria (WDIs) need to be explained for better understanding by the decision makers in digital marketing.
Figure 2.
Pareto analysis (80-20 rule) for the selection of significant web design elements.
3.2.1. Web Graphics (GA)
Web graphics was ranked the most significant basic design elements among the screen out factors. Visual design is expressed as an eye-catching, esthetic, visual quality of a web page [65]. The fundamentals of visual design trade with emotional appeal, balance, esthetics, and homogeneity of the overall graphical look. We followed visuals such as layout/space, graphic improvisation, schematics, static/animations, and presentation of information which were identified by a comprehensive study of web designer’s perception on Business-to-Corporate (B2C) websites [66]. It is evident from expert judgment that graphics and visuals are correlated with factors like making images appear swiftly and improving search engine index for quick discovery.
3.2.2. Search Engine Optimization (SEO)
SEO is an important tool of blockchain technology and is based on writing, coding, and designing a website in such a way that leads to an enhanced quality, volume, and visibility of a firm’s website. It is phenomenal that around 90% of user visits are satisfactory from the results of a search engine, merely 5% of users avoid searching beyond the second page, and barely 2% move beyond the third page [67]. Appearance of a website on a foremost page is extremely competitive. In this work, internal website optimization was considered as an element of study. It included the design of website, keywords, and meta tags, which are essential for website itself, page names, links, photos, content texts on each page, and really-simple-syndication (RSS) feeds [68].
3.2.3. Cyber Security (SC)
Blockchain is based on security of the data and information. In our empirical study, cyber security was ranked second for website development consideration in blockchain. Several studies were empirically proven and presented by Wong et al. (previously referred [31]) that cybercrime, internet fraud, and identity theft affect the customer negatively, particularly in the aspect of online shopping. Trust is of paramount importance in the presence of uncertainty, because it mitigates information irregularity and assists customers to overcome the perception of risks. Hence, trust in electronic dealings is a significant differentiation that regulates any success or failure of firms. Further, parties are mostly unknown to each other during online transactions, so “initial trust” determines the occurrence of any transaction. Indeed, retailers’ websites are a vital source of information to mitigate uncertainty. Therefore, cyber security is significant in order to sustain smooth operations on the electronic medium.
3.2.4. Fast Loading (FL)
Past studies presented a positive correlation between user satisfaction and website loading. Fast loading is extremely important for consumer willingness to conclude online transactions [69]. Speed of access can be measured indirectly via chronometer [70]. External factors facilitating the loading activity of a website include the applied hardware, web traffic, time of day, and others. Many researchers adopted the size presented in bytes of different homepages. In such a case, the heavier the homepage was, the more time was required to extract information inside the website. Furthermore, loading time of a page also represents quality of a website.
3.2.5. Navigation System (NG)
Navigation endorses structure design of a website. It refers to organization and accessibility of information displayed on the website [71]. While a user is operating on a website, the amount of effort is directly linked with the navigation design. Therefore, an effective navigation design must provide an effortless navigation hierarchy for users to access the desired information and its location on the website swiftly [72]. Navigation occupies the top relevant tier of significant factors because it plays a vital role in stimulating customers who are reluctant to be astounded by redundant links, screens, clicks, etc. Online customers want direct and simple navigation designs to save effort and time in searching for desirable items and completing their transaction in the smallest number of steps. An ambiguous navigation design irritates users and triggers them to lose location sense over the website; eventually they may leave the website without constructive activity. Previous studies recommend that an efficient navigation must assist users to traverse and navigate the site [73].
3.3. Fuzzy Inference System
To design the proposed fuzzy model, the combination of significant (three blockchain and four basic WDEs) web design elements were taken as an input of the fuzzy inference system (FIS), where the output was the web design index. Triangular membership function was applied to represent fuzzy input and output of the FIS system. The fuzzy numbers were defuzzified to crisp numbers using centroid method. The proposed model explicitly shows a mathematical function in which the image of n elements (n sub-criteria) is the final result of the model. Therefore, we can suppose the value y as a function f of n independent variables i.e.,
y = f (x1, x2, x3, ..., xn)
In the proposed FIS model, the number of inputs were considered as CS, SEO, ML, GA, NA, FL, and TY were considered from WDEs to find a web design index (WDI) as an output shown in the Figure 3.
Figure 3.
Flow diagram of fuzzy inference system (FIS) to represent input and output web design elements.
Each input (web design elements) and output (web design index) showed triangular fuzzy membership function having linguistic values i.e., “low”, “medium”, and” high”. In FIS, low is represented by a value (0 1 2), whereas the medium and high are represented by (2 3 4) and (3 4 5) respectively. The rules were made based on the weights of each design elements as an input, which were taken from the eigen vector of the AHP. The centroid method was used to defuzzify the inputs into crisp value. Then, the obtained fuzzy numbers were defuzzified to the desired crisp numbers for using as input variables for the FIS systems in the first stage.
The output indices were generated using FIS by the combination of the significant input WDEs. This surface is well illustrated in the Figure 4 to show the relationship between the output (blockchain index and basic design index) and the input (significant WDEs). There were two FIS systems used in the process: one was for blockchain index and the other for basic design index, which were further combined for the calculation of web design index (WDI) though FIS. It is obvious that enhancing these input significant elements will result in increasing web design index and ultimately more customers will be attracted towards the product through digital marketing. This improvement will bear a cost of advertisement to be shared by the SCM partners for maximizing total profit by increasing e-market demand.
Figure 4.
(a) The effect of web design elements on blockchain index. (b) The effect of web design elements on basic design index.
4. E-Agricultural Supply Chain Management
This section considers problem definition, e-advertisement, variable demand, fuzzy costs, notation, assumptions, and model formulation of the proposed co-op e-agricultural SCM model.
4.1. Problem Definition
The conventional agricultural supply chain management is extremely underdeveloped with respect to technology and innovation. Agri-firms are facing issues in communication for sharing information and products among SCM partners and are at a huge distance from the customers due to lack of technology. The agricultural product supply chain management (agri-SCM) requires an extensive development in communications and marketing strategy, which is possible by the addition of advanced technologies i.e., blockchain and e-agriculture (digitization). The research is based on digital marketing policy by enhancing web design elements for the promotion of the agri-product and influencing customers online to increase e-market demand in e-agri-SCM. A three-echelon supply chain model considering single supplier, single agri-processing firm, and multiple retailers are cooperating on the basis of e-advertising cost by various share agreements for maximum profit as shown in Figure 5. The uncertainties in the model were recovered by the fuzzing of all basic costs involved in calculating total profit of SCM.
Figure 5.
Flow diagram of cooperative e-agricultural supply chain management considering blockchain technology for digital marketing.
The blockchain technology is well processed through the e-agri-SCM, where the sharing of information, goods, and payments are made digitally using blockchain technology. The aim was to provide a developed e-agri-SCM by traceability, security, and communication system. All the data are stored in the database, integrated among SC players using blockchain, and then shared permanently by a cloud computing management system. The research provides a platform to the customers (web design) to provide basic design tools and blockchain tools for the security and traceability. The web design index was obtained from the significant WDEs incorporated in the product web design for the promotion and demand. The WDI was further linked with the variable demand of the agri-SCM to find the impact of the advancement on overall profit.
4.2. Online Advertisement Cost
A supply chain (SC) consisting single supplier, processing firm, and a multi-retailer was selected to analyze the e-advertisement co-op policy in agri-SCM. The proposed model turned out to be more realistic when we considered the cost of advertisement dependent on demand. Investment for the advertisement of products in the digital-market is backed by SC partners to enhance the average product sales for increasing demand from digital market as a result of increasing the e-advertisements efforts and vice versa. The demand in online marketing requires enhancing web design elements based on blockchain for the promotion of the product and it influences the customers for the increasing product demand. The blockchain tools can be incorporated in the product web design to ensure security and traceability among SC players and customers. The e- advertisement covers the investments to enhance the significant design elements on the product promotion web.
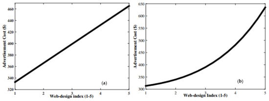
The online advertisement cost includes the expenses involved in designing the elements of the product’s website. It is obvious that the advertisement cost depends on the website design index (WDI), i.e., Ω value starting from one to five. The expression shows a direct linear and exponential relationship between the advertisement cost and the website design elements as given in Equations (1) and (2), respectively. If the product web design is good for e-advertisement then it will have a WDI value almost 5 and there are maximum chances that more customers will be attracted towards the product. On the other hand, the bad or worst web design will compel the customers to review it as bad, which will ultimately affect the customer demand negatively in e-advertising strategy. The advertisement cost (AC) of the supply chain management is the sum of initial advertisement (a) cost and variable cost for online advertisement to enhance the website design for the attraction of the customers. i.e.,
where a is the initial advertisement cost of the supply chain, Ω is the website design index, λa is the scaling factor of the linear curve, and λ2 is the shape parameter in case of exponential variable advertisement cost. The above expressions are illustrated as in Figure 6.
AC = a + a(Ωλ1)
AC = a + eλ2 Ω
Figure 6.
(a) The relationship between web design index and advertisement cost. (b) Exponential relationship between web design index and advertisement.
4.3. Model Notation
Notations used in the mathematical model of e-agri-SCM are as follows.
Indices
- j
- index to represent number of retailers in SCM, j = 1, 2,…n
Decision Variables
- T
- cycle time for retailers (year)
- y1
- raw material taken by agri-farming, i.e., supplier (integer)
- y2
- lots received by agri-processing firm (integer)
- arj
- share of e-advertisement cost by jth retailer invested in digital marketing ($/year)
- amj
- agri-processing firm’s investment share for e-advertising the product ($/year)
- asj
- supplier’s investment in e-advertising agri-product for collaboration ($/year)
- z1
- multiple units for the agri-firm’s cycle time (integer)
- z2
- retailer’s cycle time multiple unit (integer)
- pj
- price of agri-product kept by the jth retailer in the market ($/unit)
Agri-farming/supplier’s parameters
- Cs
- processing cost of the semifinished agri-product ($/unit)
- Ps
- processing rate of the semifinished agri-product (unit/year)
- Cfcs
- cost of fixed carbon emission of the agri-farming/supplier ($/shipment/year)
- Cvcs
- agri-farming/supplier’s cost of variable carbon emission ($/unit/year)
- hs’
- raw material holding cost ($/unit/year)
- hs
- agri-product holding cost of the supplier as a finishing product ($/unit/year)
- As
- setup cost of the agri-farming/supplier ($/setup)
- Os
- cost of the agri-farming/supplier for ordering ($/order)
- TCs
- total cost of the agri-farming/supplier ($/year)
Agri-processing Parameters
- Pm
- processing rate of semifinished products (unit/year)
- hm
- finished agri-product holding cost ($/unit/year)
- Cfcm
- fixed cost as a tax of carbon emission by agri-processing firm ($/shipment/year)
- Cvcm
- cost of variable carbon emission by agri-processing firm ($/unit/year)
- Am
- setup cost ($/setup)
- Om
- ordering cost ($/order)
- F
- fixed/constant cost of transportation ($/shipment)
- V
- agri-processing firm’s varying transportation cost ($/shipment)
- TCm
- total cost of agri-processing firm ($/year)
Retailer’s Parameters
- hr
- retailers holding cost per agri-product per cycle ($/unit/year)
- Ar
- retailers ordering cost ($/order)
- TCr
- retailers’ total business cost ($/year)
- D(p, a)
- variable demand rate as a function of advertisement cost and selling price (units/year)
Other Parameters
- ∆2
- upper limit of the fuzzy parameters (parameter units)
- ∆1
- the lower limit of the membership function of the fuzzy number (parameter units)
- dj
- starting/initial demand of the jth retailer (units/year)
- M
- total advertisement budget incorporated for the whole supply chain ($/year)
- TC
- total cost of the e-agri-SCM ($/year)
- TP
- the total profit achieved by the e-agri-SCM ($/year)
4.4. Demand Depending Selling Price and Advertising Cost
Demand is correlated with the selling price of the product and its advertisement cost. Indicating demand in terms of selling price and advertising cost as a decision variable was studied in the work of [74]. In the current case, previous function was altered to portray variability in demand owing to e-advertisement in digital-markets. The initial retail price and demand for the jth retailer were denoted as dj and pj, respectively. Both the demands, linear and exponential, were generated for the entire supply-chain once advertising cost investment in the digital-market was carried out, as depicted in Equations (3) and (4), respectively.
where α, β, and ν are non-negative constants. The values of v (i.e., ν < 1, ν = 1 or ν > 1) is subject to the price demand dependency, which may follow a linear, concave, or convex curve separately. In this work, to exploit the supply chain profit, value of the ν was considered ν > 1. Further, values of k1, k2, and k3 are non-negative constants, which depicts the efficacy of local advertisement on behalf of the supplier, agri-processing firm, and vendors, separately in generating the demand from market. The overall demand of SC is produced from the local market from every single vendor/retailer, which is given in the following equation.
Likewise, the function shows the relationship amid demand, the advertising cost, and selling price as depicted in Figure 6. The portrayed surface shows the maximum bound of selling price, where the demand shrinks to zero, but does not illustrate the bound with aspect of advertisement cost, in other words, the demand enhances with the increase in advertisement cost without any limit/bound. Such behavior of limitation is regulated by a constraint studied in the proposed SC model.
4.5. Model Fuzzification for Uncertain Environment
Numerous uncertainty types exist in real life supply chain management problems. They are typically modeled via techniques from the probability theory. Nevertheless, some uncertainties persist that cannot be handled properly through conventional probabilistic models. Usually, the issue amounts to modeling SCM problems and finding their solutions under uncertain environment [75]. Hence, the way out is to treat such problems by fuzzy set theory instead of probability theory [76]. Centroid of fuzzy total cost was taken as the estimate for fuzzy total cost, but studies show that, in spite of centroid method, the signed distance method is better for defuzzification [77]. Let x be a fuzzy number with triangular membership function, = (x − ∆1; x; x + ∆2), where 0 < ∆1 < x and 0 < ∆2 ≤ 1 − x. Further, ∆1 and ∆2 are determined by the decision makers. The x is given as in below Equation (6) from the study of [74].
4.6. Model Assumptions
The e-agri-SCM model was developed based on the following assumptions.
- An agricultural supply chain management model considering three partners for single type agricultural products [78,79]. The retailers are situated at different location and working online using digital marketing strategy of online web design including blockchain elements.
- The basic costs of the e-agri-SCM are considered as fuzzy numbers to justify the uncertain environment [80].
- Variable demand is considered depending advertisement cost and selling price, where the advertisement cost is the function of web design index, specifically [71].
- The SC partners are collaborating on the basis of e-advertisment/online advertisement cost for maximizing total profit of the e-Agri-SCM.
4.7. SCM Model Formulation
Supply chain partners work together to enhance any product’s demand. The agri-SCM model was formulated in such a way that identifies the overall basic along with miscellaneous costs that are associated to the supplier, agri-processor, and vendor/ retailer. The fundamental costs contained production cost, holding cost, setup cost, transportation cost, ordering costs, etc. With the advances in cleaner production for a sustainable environment and market growth, both the carbon emission cost and advertising cost were also integrated to construct the proposed SCM model to be further reliable and eco-efficient. Moreover, basic costs related to production and inventory are uncertain owing to various factors such as the world energy crisis, inflation, and oil prices. Due to this, all the fundamental costs linked with the supplier, agri-processing firm, and vendors/ retailers in the current proposed model were taken as fuzzy costs. The signed-distance formula was used to resolve the fuzzy-sets of parameters.
4.7.1. Supplier costs
The costs of supplier are as following.
Production Cost
A cost that is variable and depends on the production quantity for certain demand.
Setup Cost
It involves the costs of initialization of an order from supplier perspective which is dependent on the cycle time and limitations set by the manufacturer or retailer.
Ordering cost
It includes costs incurred to order a batch or purchase of externally made products that is dependent on the quantity limits set by the manufacturer or retailer.
Holding cost of raw material
This is the cost that is incurred while holding inventory or stocking in a storage or warehouse that is dependent upon parameters like cycle time, variable demand, and production of the products.
Holding cost of finished products
The cost of the holding was taken from the work of Sarkar et al. [81].
E-advertisement cost
The supplier is sharing an advertisement cost for the enhancement of web design by incorporating blockchain and basic elements to influence customers towards agri-products based on co-op e-advertising collaboration policy.
Carbon emissions cost
The aim of the incorporating carbon cost was to provide the necessity of present and future generations for the sustainable and cleaner supply chain management.
The total cost of the supplier (farming industry) in agri-SCM can be expressed mathematically as
4.7.2. Agri-Processing Cost
The agri-processing firm processes the finished product of the supplier (farming industry) to produce the agri-product. The basic costs associated with the agri-processing firm are considered to be fuzzy due to uncertain conditions, i.e., processing, setup, ordering, and holding costs. Other specific costs are also incurred by the firm in the form of transportation and carbon emission costs.
Processing cost
This is a cost that is variable and depends on the agri-processing cost of the products and their quantity for certain demand.
Setup cost
It involves costs of agri-processing setup in terms of material and labor required to make the machine ready for new production lot.
Ordering cost
It includes costs incurred to order an agri-based batch or purchase of externally made agri-products that is dependent on the quantity limits set by the manufacturer or retailer.
Holding cost of raw material
Cost dealing with holding of agri-environment based materials.
Holding cost of finished product
The fuzzy holding cost can be expressed as (previously referred Sarkar et al. [77])
E-advertisement cost
Similarly, agri-processing firms also invest a share based on the e-advertisement collaboration policy for the increasing demand in e-marking using digital marketing by incorporating web design elements. The agri-processing firm’s share can be expressed mathematically as
Carbon emission cost
The total cost of the agri-processing firm under uncertain conditions is given as
4.7.3. Retailers’ Costs
The retailers in digital businesses are mainly concerned with the warehousing and they are keeping the agri-product of the SCM. The agri-products are deteriorated items, which are also placed on the website with basic and blockchain features. There are multiple e-retailers connected to the agri-processing firm. The agri-processing firm ships the required agri-products to the retailers and big food malls based on the customers’ demand online and offline. The retailers’ costs can be divided into the following sub costs.
Ordering cost
Holding cost of raw material
The holding cost of all jth retailers in the agri-SCM is expressed as
Advertisement cost
Retailers also share their role in the collaboration policy by investing in e-advertisement through digital marketing. Their integrated sum can be expressed as
Hence, the total cost of the retailers in Agri-SCM business is given as
4.7.4. Total Cost of the Supply Chain
After formulating the cost of supplier (farming), cost of agri-processing firm, and cost of retailers in dealing agri-product, the total cost of the e-agri-SCM can be expressed mathematically as
By substituting , Cm, and Cr the total fuzzy cost of the supply chain is given as in Equation (30).
The firms’ revenue formula can be written as.
and the profit formula is
Now, the objective of the proposed model is to maximize the total profit of e-agri-SCM, which is given as
The constraints/limitations of the proposed SCM model are given below.
Advertisement costs constraints
Space constraints
5. Numerical Experiment
The intended agricultural supply chain management needs to be validated pragmatically by numerical analysis of a real-life example. A fundamental three-echelon SCM having a single supplier and agri-processing firm each and three-retailers, i.e., (j = 3), was considered. All the partners collaborated through a co-op e-advertisement to invest in enhancing a website for agri-product marketing. The numerical experiment of the research study was based on agri-SCM considering a sugar processing firm, its suppliers, and retailers. The data utilized to perform the experiment were taken from the local industry of sugar processing SCM. The suppliers/agri-farming data are given in Table 4 consisting of production, holding, transportation, carbon emission, and production rate. The capacity of the sugar processing firm, inventory space, and budget data were also taken from the selection industry to deal with the constraints of the proposed model. The data were reliable and provided a pragmatic application of the proposed e-agri-SCM mathematical model with blockchain technology to attract customers. Principally, the three-echelon agri-SCM starts with the farming industry (supplier). The data for processing cost, setup cost, holding cost, transportation cost, and carbon emission are given in Table 4. The web design index (WDI) was taken as Ω = 3 for both numerical experiments and sensitivity analysis.
Table 4.
Suppliers/agri-farming cost data ($).
The agri-processing firm data are also crucial for the analysis of the proposed model due to the important stake in the chain. Further, the agri-processing firm is also an imperative supply chain partner in co-op advertisement collaboration. The cost data associated with the agri-processing firm’s (sugar processing firm) production, inventory, carbon emission costs, and transportation are presented in Table 5. All these costs are uncertain and therefore reflected with fuzzy parameters.
Table 5.
Agri-processing firm’s cost data ($).
The role of retailers in e-agri-SCM for sugar production is very influential to deal with the customers. The data for retailers are given in Table 6.
Table 6.
Data related to retailers.
Further, inventory capacities of the sugar-processing firm, supplier, and each retailer were subject to constraints. Similarly, a limitation cap was also set on the sharing of advertisement cost among the SCM partners spending the complete advertisement budget. The data relevant to the constraints of the proposed model are shown in Table 7.
Table 7.
Limitations of inventory and advertisement cost.
Next, the data were analyzed by application of non-linear optimization approach. Both the selling price of the product and the advertisement costs among supply chain partners were optimized under a co-op advertising collaboration policy.
6. Solution Methodology and Result Findings
The role of e-advertising and digital marketing is essential to achieve competitive advantage among production firms and is more highlighted in processing agricultural products. The suggested SCM model is based on a non-linear maximization problem alongside multiple variables and constraints. Previously, the constrained problem was resolved and analyzed by converting it into an unconstrained problem, exploring and exploiting for the global optimal solution. However, these approaches have now been discovered to be comparatively ineffective and have been substituted by approaches based on the equations of Karush–Kuhn–Tucker (KKT).
KKT equations possess the required conditions for optimizing a constrained problem. Such equations also deliver a solution to several nonlinear problems by means of computing Lagrange multipliers directly. Further, these approaches are termed as sequential quadratic programming (SQP) methods [82,83].
The set of equations created from the proposed model consist of non-linear equations sufficiently complex to solve by any analytical technique. Nevertheless, these analytical techniques are also ineffective and time-consuming and have been substituted by the techniques constructed on quadratic programming. The SQP is an effective and efficient decision-making tool and validated the best for solving nonlinear constraint and unconstraint equations, big-data research, and multi-decision problems according to Schittkowski [84], Mostafa and Khajavi [85], and Theodorakatos et al. [86]. The method is already utilized by various research studies [87,88,89,90] in production and supply chain management models.
There are five different cases considered from the real-life studies for the application of the proposed SCM by incorporating co-op advertising policy and web design index for increasing demand and influencing customers towards product. These cases are explained in detail in the following. The decision variables in terms of cycle time, shipments, selling prices, and corresponding advertisement costs for the agri-processing firm, supplier and retailers are given in Table 8.
Table 8.
Solution obtained by the analysis of numerical experiment using the sequential quadratic programming (SQP) method with Ω = 3.
6.1. Case 01
This scenario reflects the proposed cooperative SCM by considering variable advertisement cost as a function of the web design index (WDI), which is well illustrated in Figure 6, since total advertisement cost is the sum of initial cost (traditional) and variable cost depending on the WDI. The latter is different at different locations (e.g., developing and developed countries, urban and rural, cities and villages, etc.) This is the only case which considers the advertisement cost as an exponential variant of the WDI. This case has no restriction over e-advertisement cooperation share among SC partners. The analysis of the sequential quadratic programming (SQP) showed total profit of SCM as $827,049.16, with the optimal cycle time, shipments, selling prices, and advertisement shares by the SCM participants. It was observed that selling prices ($454.8) and shipment sizes (y1 = 1 and y2 = 2) were the same in all cases. The advertisement costs shared by the SCM participants varied depending on the agreement, leader-follower game theory, and advertisement budget constraint.
6.2. Case 02
This case is applicable when the advertisement cost is a linear function of the WDI to attract customers. There is no restriction of the e-advertisement budget by the supply chain participants. In addition, the scenario does not reflect superior or leader/follower SCM. It was observed that the total profit of the SCM obtained as highest among all cases as $856,239.9, where the cycle time was almost 0.227 years and the advertisement costs showed the global optimal values for supplier, agri-processing firm, and multi-retailers in SCM without restriction.
6.3. Case 03
This case reflects the scenario where there is a limitation of the total e-advertisement budget as given in Equation (33) provided by the unequal share of the supplier, agri-processing firm, and retailer. The SCM participants will invest in total e-advertisement within the total limit of the budget for increasing demand. Here again the advertisement cost is taken as the linear function of WDI. Here, the total profit obtained as $832,242.86 was slightly more than Case 1 but comparatively much lower than Case 2.
6.4. Case 04
This case represents the real-life scenario where there is a limitation on the budget of each players of the SCM. Irrespective of Case 03, in this case each participant is restricted to share under the limited budget as expressed by the Equations (34) and (35). This co-op e-advertising policy is undertaken by the optimal equal share of the participants for the promotion of product in various e-markets. The results showed a slight decrease in total profit, i.e., $832,195.13, as compared to the Case 03.
6.5. Case 05
The final case shows the policy of superior supply chain management, where the agri-processing firm is plays the role of a leader in the SCM whereas the supplier and multi-retailer are the followers. In three-echelon supply chain management, the processing is probably on a leading side as compared to supplier and retailers to handle all the main activities of the product life cycle. That is the reason a high profit is expected by the agri-processing firm in supply chain management in case of superior co-op advertisement policy. Agri-processing shares 50%, while the remainder is equally divided by the supplier and multi-retailer for the maximization of the total profit. This case showed the total profit of the three echelon as the lowest among all cases i.e., $82,0931.7.
The optimal solutions from the proposed five scenarios are valuable to the decision-makers for prediction and understanding of the uncertain/variable demand produced by e-marketing via web design index. Furthermore, these results deliver the optimal mode of distributing advertisement expenses among the supply chain partners through a policy of co-op e-advertising collaboration. This policy relies on a common mode of e-marketing, where each supply-chain partner presents the cost on enhancing the web design to advertise agri-products and surge the demand of each vendor/retailer by feedback from the consumers. Consequently, the demand from each vendor/retailer puts pressure on the agri-processing firm as well, thus the supplier is pushed to increase the production, and eventually a high profit is expected. The proposed model is nonlinear in nature and generic to help the decision makers in calculating multi-dimensional variables, i.e., shipment size, cycle time, advertisement share, and selling price of product. The model can be applied to firms and SCM, where the point of interest is to get maximum profit by the collaboration of supplier, manufacturer, and multi-retailer. The proposed model deals with the design of the product website by incorporating advanced elements (WDEs), which are commonly available on various products’ website and justified. The research study shows a practical implication of the proposed model in the agricultural SCM to manage the supply chain network. The numerical experiments are based on the data collected from the agricultural processing firm and its supply chain partners for the pragmatic application of the research. The agricultural firms can take advantages of the digital marketing and blockchain to enhance the agri-product sale and to attain maximum profit. One feature of the proposed model is to provide room for a collaborative policy implementation among the supply chain partners to agree on the exact amount of advertising investment required to enhance profit for the whole supply-chain.
7. Sensitivity Analysis
The proposed SQP decision tool is effective in analyzing nonlinear optimization problem. Various scenarios have been analyzed and developed in the sensitivity analysis of the proposed e-agri-SCM for the pragmatic results. The demand in online marketing requires e-advertisement to enhancing design elements of the web for the promotion of the product and it influences the customers for the increasing product demand. The e-advertisement covers the investments to enhance the significant design elements on the product promotion web. In this regard, a detailed sensitivity analysis is essential to find the impact of the linear and exponential web design index value obtained from the FIS system of the selected significant web design elements on total demand, each e-market demand, cycle time, and total profit of SCM, which is given in Table 9.
Table 9.
Evaluation of Demand and Cycle times for established parameters based on WDI.
- It is observed that the total demand of the product and total profit of the SCM increases linearly by increasing the WDI (Ω). The observation is clearer by illustrating the left-hand-side curve of Figure 7. It is clear that by increasing WDI from level 01 to 05, the total demand of the product increases from 1435 to 1542 items whereas the total profit increases from $824,999 to $886,448.
Figure 7. Representation of demand based on selling price and advertisement cost. - On the other hand, by observing the exponential analysis, the total demand and the centralized total profit obtained by the participants increases exponentially as shown in the right-hand-side curve of Figure 8. It was observed that the total demand and total profit also increase with respect to the WDI levels. However, in this case the impact is more because both demand and total profit have increased from 1410 units and $811,879 to 1587 units and $913,388.61 by investing to enhance the WDI level from 1 to 4 respectively.
Figure 8. The effect of web design index on increasing customer demand and total profit of supply chain management.
These results provide an essential insight for managers to understand the importance of web design in digital marketing to consider the significant elements. These insights support the economic benefit of digital marketing in a co-op advertising policy to capture local and international market in three-echelon SCM by maximizing total profit.
8. Conclusions
The development in e-businesses over the past decades has significantly strengthened the supply chain management (SCM) and given firms a competitive marketing opportunity. Agri-firms are searching for smart technologies to sell their product and to convince their customers with DM-SCM. Digitization considering blockchain effect is essential for the development of a sustainable agri-SCM due to the ease in product traceability, security, ease in transactions, etc. This paper presented a successful co-op e-advertisement collaboration policy among the supplier, agri-processing firm, and retailers in sustainable agricultural product supply chain management (SCM) by enhancing product web design incorporating the blockchain effect to attract customers. Product demand was considered as a variable depending on selling price and advertising cost. Web design elements were filtered to significant ones and later on used to estimate web design index (WDI), which was incorporated in the model against uncertain demand. Further, advertising cost was also considered as a function of the WDI, which was obtained by processing significant web design elements (WDEs) by the combination of the factors of the blockchain and basic design. Analytically hierarchical process (AHP), Pareto analysis, and fuzzy inference system (FIS) were used to identify and select the significant WDIs. The WDI was further incorporated into the mathematical model of the supply chain management (SCM) and calculated a positive effect of enhancing web design elements on the total profit. The results were outstanding in the form of optimal selling prices, shipments, cycle time, and optimal advertisement costs.
The model provides supports the decision-makers for keeping the best-selling prices and optimal e- advertisement share supported by supply chain participants to maximize the total profit of the Agri-SCM. Five different cases were taken based on the e-advertisement budget, partner’s share, and demand curve for the application of the proposed model in real-life industrial problems. It was found that Case 02 shows a maximum profit, where the partners are required to share an optimal e-advertisement cost for digital marketing. The equal share cooperation policy based on advertisement cost exhibited by the participants was reflected in Case 04 for the digital marketing of the product. The results of superior SCM (given in Case 05), where the agri-processing firm is the leader and other participants are the followers showed the lowest profit of SCM. In addition, the research model is also beneficial to the customers by providing an interface of advance digital marketing strategy coupled with blockchain effect for traceability, security, and on time agri-product delivery. The selling prices was also less as compared to the traditional marketing agri-products due to fewer transportation costs and third-party logistics costs. These outstanding results and optimal solutions are very important for the industrial managers and decision-makers to successfully attain global supply chain management through proposed cooperative e-advertising policy.
The uncertainties in the proposed model were justified using fuzzy systems. The basic costs of the SCM mathematical model were considered as triangular fuzzy and formulated by using a signed distance method. Similarly, the identification of significant WDEs, i.e., web graphics, search engine optimization, cyber-security, fast loading, and navigation, is essential for digital marketing to convince customers towards the product in global SCM. These WDEs were found to be intangible and have been processed through the centroid method of FIS. These identified significant WDEs can be utilized for the future research and extended research of digital marketing. Moreover, the model incorporated carbon emission cost for providing cleaner environment and eco-effective production at supply chain level. The proposed mathematical model can be extended towards stochastic by considering expected demand and other important parameters of the SCM. The cooperation can be based on the whole sale price or selling price of the product. Overall, the research is a significant contribution by specifically targeting web design in the field of digital marketing for global SCM.
Author Contributions
Conceptualization, M.A. and M.O.; methodology, M.A.; software, Q.S.K.; validation, M.A. and Q.S.K.; formal analysis, M.A., M.J., and G.H.; investigation, G.H. and C.I.P.; data curation, M.O. and G.H.; writing—original draft preparation, M.A.; writing—review and editing, Q.S.K. and M.J.; supervision, C.I.P.; funding acquisition, M.A. All authors have read and agreed to the published version of the manuscript.
Funding
The authors are grateful to the Raytheon Chair for Systems Engineering for funding this project.
Institutional Review Board Statement
Not applicable.
Informed Consent Statement
Not applicable.
Data Availability Statement
The data presented in this study are available on request from the corresponding author. The data are not publicly available due to large data sets.
Acknowledgments
The authors are grateful to the (Raytheon Chair for Systems Engineering) for funding. The authors are also thankful to University of Engineering and Technology, Peshawar and GIK Institute for providing necessary technical assistance.
Conflicts of Interest
The authors declare no conflict of interest.
References
- Hovelaque, V.; Duvaleix-Tr’eguer, S.; Cordier, J. Effects of constrained supply and price contracts on agricultural cooperatives. Eur. J. Oper. Res. 2009, 199, 769–780. [Google Scholar] [CrossRef]
- Javalgi, R.; Hall, K.; Cavusgil, S.T. Corporate entrepreneurship, customer-oriented selling, absorptive capacity, and international sales performance in the in-ternational b2b setting: Conceptual framework and research propositions. Int. Bus. Rev. 2014, 23, 1193–1202. [Google Scholar]
- Glavas, C.; Pike, S.; Mathews, S. Internet-enabled tourism entrepreneurs. International entrepreneurial values elicited through repertory test and laddering analysis. Int. J. Tour. Res. 2014, 16, 44–55. [Google Scholar] [CrossRef]
- Kumar, V.; Ramachandran, D.; Kumar, B. Influence of new-age technologies on marketing: A research agenda. J. Bus. Res. 2020. [Google Scholar] [CrossRef]
- Akram, U.; Hui, P.; Khan, M.K.; Tanveer, Y.; Mehmood, K.; Ahmad, W. How website quality affects online impulse buying. Asia Pac. J. Mark. Logist. 2018, 30, 235–256. [Google Scholar] [CrossRef]
- Nakamoto, S. Bitcoin: A Peer-to-Peer Electronic Cash System. Technical Report, Manubot. 2019. Available online: https://git.dhimmel.com/bitcoin-whitepaper/ (accessed on 15 June 2020).
- Yiyan, C.; Ye, L.; Cunjin, L. Electronic agriculture, blockchain and digital agricultural democratization: Origin, theory and application. J. Clean. Prod. 2020, 268, 122071. [Google Scholar]
- Brakeville, S.; Perepa, B. Blockchain basics: Introduction to distributed ledgers. Int. Bus. Mach. 2016, 6, 23–52. [Google Scholar]
- Busca, L.; Bertrandias, L. A framework for digital marketing research: Investigating the four cultural eras of digital marketing. J. Interact. Mark. 2020, 49, 1–19. [Google Scholar] [CrossRef]
- Wells, J.D.; Valacich, J.S.; Hess, J.T. What signal are you sending? How website quality influences perceptions of product quality and purchase intentions. MIS Q. 2011, 35, 373–396. [Google Scholar] [CrossRef]
- Xu, J.; Benbasat, I.; Cenfetelli, R.T. Integrating service quality with system and information quality: An empirical test in the e-service context. MIS Q. 2013, 37, 777–794. [Google Scholar] [CrossRef]
- Gatautis, R.; Vaiciukynaite, E. Website atmosphere: Towards revisited taxonomy of website elements. Econ. Manag. 2013, 18, 537–544. [Google Scholar] [CrossRef]
- Enginess. How Web Design Affects Customer Trust. 2020. Available online: https://www.enginess.io/insights/How-Web-Design-Affects-Customer-Trust (accessed on 24 July 2020).
- Yip, G.; Dempster, A. Using the internet to enhance global strategy. Eur. Manag. J. 2005, 23, 1–13. [Google Scholar] [CrossRef]
- Leonidou, C.L. An analysis of the barriers hindering small business export development. J. Small Bus. Manag. 2004, 42, 279–302. [Google Scholar] [CrossRef]
- Dujak, D.; Sajter, D. Blockchain applications in supply chain. In SMART Supply Network; Springer: Cham, Switzerland, 2019; pp. 21–46. [Google Scholar]
- Chang, Y.; Iakovou, E.; Shi, W. Blockchain in global supply chains and cross border trade: A critical synthesis of the state-of-the-art, challenges and opportunities. International J. Prod. Res. 2020, 58, 2082–2099. [Google Scholar] [CrossRef]
- Turban, E.; King, D.; Lee, J.; Viehland, D. Electronic Commerce: A Managerial Perspective 2002; Prentice Hall: Upper Saddle River, NJ, USA, 2002; ISBN 139752854. [Google Scholar]
- Krishnamurthy, S.; Singh, N. The international e-marketing framework (IEMF): Identifying the building blocks for future global e-marketing research. Int. Mark. Rev. 2005, 22, 605–610. [Google Scholar] [CrossRef]
- Kalyanam, K.; McIntyre, S. The e-marketing mix: A contribution of the e-tailing wars. J. Acad. Mark. Sci. 2002, 30, 487–499. [Google Scholar] [CrossRef]
- Yan, R. Cooperative advertising, pricing strategy and firm performance in the e-marketing age. J. Acad. Mark. Sci. 2010, 38, 510–519. [Google Scholar] [CrossRef]
- Cannon, J.P.; Perreault, W.D., Jr. Buyer-seller relationships in business markets. J. Mark. Res. 1999, 36, 439–460. [Google Scholar]
- Albrecht, C.C.; Dean, D.L.; Hansen, J.V. Marketplace and technology standards for b2b e-commerce: Progress, challenges, and the state of the art. Inf. Manag. 2005, 42, 865–875. [Google Scholar] [CrossRef]
- Kalvenes, J.; Basu, A. Design of robust business-to-business electronic marketplaces with guaranteed privacy. Manag. Sci. 2006, 52, 1721–1736. [Google Scholar] [CrossRef]
- Chong, W.K.; Bian, D.; Zhang, N. E-marketing services and e-marketing performance: The roles of innovation, knowledge complexity and environmental turbulence in influencing the relationship. J. Mark. Manag. 2016, 32, 149–178. [Google Scholar] [CrossRef]
- Wong, C.W.Y.; Lai, K.H.; Cheng, T. Value of information integration to supply chain management: Roles of internal and external contingencies. J. Manag. Inf. Syst. 2011, 28, 161–200. [Google Scholar] [CrossRef]
- Kaplan, S.; Sawhney, M. E-hubs: The new b2b marketplaces. Harv. Bus. Rev. 2000, 78, 97. [Google Scholar] [PubMed]
- Cao, B.; Wang, X.; Zhang, W.; Song, H.; Lv, Z. A many-objective optimization model of industrial internet of things based on private blockchain. IEEE Netw. 2020, 34, 78–83. [Google Scholar] [CrossRef]
- Song, J.; Zhong, Q.; Wang, W.; Su, C.; Tan, Z.; Liu, Y. FPDP: Flexible Privacy-preserving Data Publishing Scheme for Smart Agriculture. IEEE Sens. J. 2020. [Google Scholar] [CrossRef]
- Hu, X.; Chong, H.Y.; Wang, X. Sustainability perceptions of off-site manufacturing stakeholders in Australia. J. Clean. Prod. 2019, 227, 346–354. [Google Scholar] [CrossRef]
- Soh, C.; Markus, M.L.; Goh, K.H. Electronic marketplaces and price transparency: Strategy, information technology, and success. MIS Q. 2006, 30, 705–723. [Google Scholar] [CrossRef]
- Chen, H.; Chen, A.; Xu, L.; Xie, H.; Qiao, H.; Lin, Q.; Cai, K. A deep learning CNN architecture applied in smart near-infrared analysis of water pollution for agricultural irrigation resources. Agric. Water Manag. 2020, 240, 106303. [Google Scholar] [CrossRef]
- Dadzie, K.Q.; Chelariu, C.; Winston, E. Customer service in the internet-enabled logistics supply chain: Website design antecedents and loyalty effects. J. Bus. Logist. 2005, 26, 53–78. [Google Scholar] [CrossRef]
- Harrison, T.; Waite, K. A time-based assessment of the influences, uses and benefits of intermediary website adoption. Inf. Manag. 2006, 43, 1002–1013. [Google Scholar] [CrossRef]
- Hu, J.; Luo, F.; Liao, G. A building an e-agriculture business integration platform with web services composition. In 2008 International Symposiums on Information Processing; IEEE: New York, NY, USA, 2008; pp. 340–344. [Google Scholar]
- Chen, P. Efficient tourism website design for supply chain management. In International Conference on Information and Business Intelligence; Springer: Berlin/Heidelberg, Germany, 2011; pp. 660–665. [Google Scholar]
- Taheri, M.; Ebrahimi, S.; Khoshalhan, F. Game-theoretic analysis of supply chain coordination under advertising and price dependent demand. Int. J. Ind. Eng. Comput. 2014, 5, 395–406. [Google Scholar] [CrossRef]
- Oberoi, P.; Patel, C.; Haon, C. Technology sourcing for website personalization: A supply- and demand-side perspective. In Celebrating America’s Pastimes: Baseball, Hot Dogs, Apple Pie and Marketing; Springer: Cham, Switzerland, 2016; pp. 449–462. [Google Scholar]
- Zhao, L.; Zhang, J.; Xie, J. Impact of demand price elasticity on advantages of cooperative advertising in a two-tier supply chain. Int. J. Prod. Res. 2016, 54, 2541–2551. [Google Scholar] [CrossRef]
- Lin, Y.; Petway, J.R.; Anthony, J.; Mukhtar, H.; Liao, S.; Chou, C.; Ho, Y.F. Blockchain: The evolutionary next step for ict e-agriculture. Environments 2017, 4, 50. [Google Scholar] [CrossRef]
- Cai, L.; He, X.; Dai, Y.; Zhu, K. Research on b2b2c e-commerce website design based on user experience. J. Phys. Conf. Ser. 2018, 1087, 062043. [Google Scholar] [CrossRef]
- Kamilaris, A.; Fonts, A.; Prenafeta-Bold, F.X. The rise of blockchain technology in agriculture and food supply chains. Trends Food Sci. Technol. 2019, 91, 640–652. [Google Scholar] [CrossRef]
- Xiao, D.; Zhou, Y.W.; Zhong, Y.; Xie, W. Optimal cooperative advertising and ordering policies for a two-echelon supply chain. Comput. Ind. Eng. 2019, 127, 511–519. [Google Scholar] [CrossRef]
- Song, L.; Wang, X.; Merveille, N. Research on blockchain for sustainable e-agriculture. In 2020 IEEE Technology & Engineering Management Conference (TEMSCON); IEEE: New York, NY, USA, 2020; pp. 1–5. [Google Scholar]
- Choi, T.M. Mobile-app-online-website dual channel strategies: Privacy concerns, e-payment convenience, channel relationship, and coordination. IEEE Trans. Syst. Man Cybern. Syst. 2020. [Google Scholar] [CrossRef]
- Sarkar, B.; Omair, M.; Kim, N. A cooperative advertising collaboration policy in supply chain management under uncertain conditions. Appl. Soft Comput. 2020, 88, 105948. [Google Scholar] [CrossRef]
- Cachon, G.P.; Netessine, S. Game theory in supply chain analysis. In Models, Methods, and Applications for Innovative Decision Making; INFORMS Tutorials in Operations Research; INFORMS: Catonsville, MD, USA, 2006; pp. 200–233. [Google Scholar]
- Yu, Y.; Chu, F.; Chen, H. A stackelberg game and its improvement in a VMI system with a manufacturing vendor. Eur. J. Oper. Res. 2009, 192, 929–948. [Google Scholar] [CrossRef]
- Esmaeili, M.; Aryanezhad, M.B.; Zeephongsekul, P. A game theory approach in seller-buyer supply chain. Eur. J. Oper. Res. 2009, 195, 442–448. [Google Scholar] [CrossRef]
- Cai, G.; Zhang, Z.G.; Zhang, M. Game theoretical perspectives on dual-channel supply chain competition with price discounts and pricing schemes. Int. J. Prod. Econ. 2009, 117, 80–96. [Google Scholar] [CrossRef]
- Cai, G.; Chiang, W.C.; Chen, X. Game theoretic pricing and ordering decisions with partial lost sales in two-stage supply chains. Int. J. Prod. Econ. 2011, 130, 175–185. [Google Scholar] [CrossRef]
- Banerjee, A. A joint economic-lot-size model for purchaser and vendor. Decis. Sci. 1986, 17, 292–311. [Google Scholar] [CrossRef]
- Dada, M.; Srikanth, K.N. Pricing policies for quantity discounts. Manag. Sci. 1987, 33, 1247–1252. [Google Scholar] [CrossRef]
- Pal, B.; Sana, S.S.; Chaudhuri, K. Three-layer supply chain—A production inventory model for reworkable items. Appl. Math. Comput. 2012, 219, 530–543. [Google Scholar] [CrossRef]
- Kang, C.W.; Imran, M.; Omair, M.; Ahmed, W.; Ullah, M.; Sarkar, B. Stochastic-Petri Net Modeling and Optimization for Outdoor Patients in Building Sustainable Healthcare System Considering Staff Absenteeism. Mathematics 2019, 7, 499. [Google Scholar] [CrossRef]
- Farooq, M.U.; Salman, Q.; Arshad, M.; Khan, I.; Akhtar, R.; Kim, S. An artificial bee colony algorithm based on a multi-objective framework for supplier integration. Appl. Sci. 2019, 9, 588. [Google Scholar] [CrossRef]
- Omair, M.; Noor, S.; Hussain, I.; Maqsood, S.; Khattak, S.B.; Akhtar, R.; Haq, I.U. Sustainable development tool for Khyber Pakhtunkhwa’s dimension stone industry. Technol. J 2015, 20, 160–165. [Google Scholar]
- Bergen, M.; John, G. Understanding cooperative advertising participation rates in conventional channels. J. Mark. Res. 1997, 34, 357–369. [Google Scholar] [CrossRef]
- Nagler, M.G. An exploratory analysis of the determinants of cooperative advertising participation rates. Mark. Lett. 2006, 17, 91–102. [Google Scholar] [CrossRef]
- Vishal, A. Bhosale and Ravi Kant. An integrated Fuzzy Delphi and Fuzzy Inference System for ranking the solutions to overcome the supply chain knowledge flow barriers. Int. J. Inf. Decis. Sci. 2019, 11, 320–354. [Google Scholar] [CrossRef]
- Amindoust, A.; Saghafinia, A. Textile supplier selection in sustainable supply chain using a modular fuzzy inference system model. J. Text. Inst. 2017, 108, 1250–1258. [Google Scholar] [CrossRef]
- Paul, S.K.; Sarker, R.; Essam, D. A quantitative model for disruption mitigation in a supply chain. Eur. J. Oper. Res. 2017, 257, 881–895. [Google Scholar] [CrossRef]
- Pourjavad, E.; Shahin, A. The application of mamdani fuzzy inference system in evaluating green supply chain management performance. Int. J. Fuzzy Syst. 2018, 20, 901–912. [Google Scholar] [CrossRef]
- Saaty, T.L. Decision making with the analytic hierarchy process. Int. J. Serv. Sci. 2008, 1, 83–98. [Google Scholar] [CrossRef]
- Demangeot, C.; Broderick, A.J. Engaging customers during a website visit: A model of website customer engagement. Int. J. Retail Distrib. Manag. 2016, 44, 814–839. [Google Scholar] [CrossRef]
- Tan, F.B.; Tung, L.L.; Xu, Y. A study of web-designers’ criteria for effective business-to consumer (b2c) websites using the repertory grid technique. J. Electron. Commer. Res. 2009, 10, 3–23. [Google Scholar]
- Zhu, X.; Tan, Z. SEO keyword analysis and its application in website editing system. In 2012 8th International Conference on Wireless Communications, Networking and Mobile Computing; IEEE: New York, NY, USA, 2012; pp. 1–4. [Google Scholar]
- Yalçın, N.; Köse, U. What is search engine optimization: SEO? Procedia—Soc. Behav. Sci. 2010, 9, 487–493. [Google Scholar] [CrossRef]
- Cao, M.; Zhang, Q.; Seydel, J. B2c e-commerce web site quality: An empirical examination. Ind. Manag. Data Syst. 2005, 105, 645–661. [Google Scholar] [CrossRef]
- Miranda, F.J.; Rubio, S.; Chamorro, A. The web as a marketing tool in the Spanish foodservice industry: Evaluating the websites of Spain’s top restaurants. J. Foodserv. Bus. Res. 2015, 18, 146–162. [Google Scholar] [CrossRef]
- Wang, Y.D.; Emurian, H.H. Trust in e-commerce: Consideration of interface design factors. J. Electron. Commer. Organ. JECO 2005, 3, 42–60. [Google Scholar] [CrossRef]
- Lowry, P.B.; Vance, A.; Moody, G.; Beckman, B.; Read, A. Explaining and predicting the impact of branding alliances and web site quality on initial consumer trust of e-commerce web sites. J. Manag. Inf. Syst. 2008, 24, 199–224. [Google Scholar] [CrossRef]
- Shergill, G.S.; Chen, Z. Web-based shopping: Consumers’ attitudes towards online shopping in New Zealand. J. Electron. Commer. Res. 2005, 6, 78. [Google Scholar]
- Esfahani, M.M.S.; Biazaran, M.; Gharakhani, M. A game theoretic approach to coordinate pricing and vertical co-op advertising in manufacturer-retailer supply chains. Eur. J. Oper. Res. 2011, 211, 263–273. [Google Scholar]
- Bellman, R.E.; Zadeh, L.A. Decision-making in a fuzzy environment. Manag. Sci. 1970, 17, B-141–B-273. [Google Scholar] [CrossRef]
- Jain, R. Decision making in the presence of fuzzy variables. IEEE Trans. Syst. Man Cybern. 1976, 6, 698–703. [Google Scholar]
- Yao, J.S.; Chiang, J. Inventory without backorder with fuzzy total cost and fuzzy storing cost defuzzified by centroid and signed distance. Eur. J. Oper. Res. 2003, 148, 401–409. [Google Scholar] [CrossRef]
- Chang, H.C. An application of fuzzy sets theory to the EOQ model with imperfect quality items. Comput. Oper. Res. 2004, 31, 2079–2092. [Google Scholar] [CrossRef]
- Ben-Daya, M.; As’ad, R.; Seliaman, M. An integrated production inventory model with raw material replenishment considerations in a three-layer supply chain. Int. J. Prod. Econ. 2013, 143, 53–61. [Google Scholar] [CrossRef]
- Giannoccaro, I.; Pontrandolfo, P.; Scozzi, B. A fuzzy echelon approach for inventory management in supply chains. Eur. J. Oper. Res. 2003, 149, 185–196. [Google Scholar] [CrossRef]
- Sarkar, B.; Ganguly, B.; Sarkar, M.; Pareek, S. Effect of variable transportation and carbon emission in a three-echelon supply chain model. Transp. Res. Part E: Logist. Transp. Rev. 2016, 91, 112–128. [Google Scholar] [CrossRef]
- Birgin, E.G.; Haeser, G.; Ramos, A. Augmented lagrangians with constrained subproblems and convergence to second-order stationary points. Optim. Online 2016, 69, 51–75. [Google Scholar] [CrossRef]
- Omair, M.; Ullah, M.; Ganguly, B.; Noor, S.; Maqsood, S.; Sarkar, B. The quantitative analysis of workers’ stress due to working environment in the production system of the automobile part manufacturing industry. Mathematics 2019, 7, 627. [Google Scholar] [CrossRef]
- Schittkowski, K. NLPQL: A fortran subroutine solving constrained nonlinear programming problems. Ann. Oper. Res. 1986, 5, 485–500. [Google Scholar] [CrossRef]
- Mostafa, N.B.; Khajavi, M.N. Optimization of welding parameters for weld penetration in fcaw. J. Achiev. Mater. Manuf. Eng. 2006, 16, 132–138. [Google Scholar]
- Theodorakatos, N.P.; Manousakis, N.M.; Korres, G.N. A sequential quadratic programming method for contingency-constrained phasor measurement unit placement. Int. Trans. Electr. Energy Syst. 2015, 25, 3185–3211. [Google Scholar] [CrossRef]
- Sarkar, B.; Omair, M.; Choi, S.-B. A Multi-Objective Optimization of Energy, Economic, and Carbon Emission in a Production Model under Sustainable Supply Chain Management. Appl. Sci. 2018, 8, 1744. [Google Scholar] [CrossRef]
- Omair, M.; Sarkar, B.; Cárdenas-Barrón, L.E. Minimum Quantity Lubrication and Carbon Footprint: A Step towards Sustainability. Sustainability 2017, 9, 714. [Google Scholar] [CrossRef]
- Alkahtani, M.; Omair, M.; Khalid, Q.S.; Hussain, G.; Sarkar, B. An Agricultural Products Supply Chain Management to Optimize Resources and Carbon Emission Considering Variable Production Rate: Case of Nonperishable Corps. Processes 2020, 8, 1505. [Google Scholar] [CrossRef]
- Ganguly, B.; Sarkar, B.; Sarkar, M.; Pareek, S.; Omair, M. Influence of controllable lead time, premium price, and unequal shipments under environmental effects in a supply chain management. RAIRO-Oper. Res. 2019, 53, 1427–1451. [Google Scholar] [CrossRef]
Publisher’s Note: MDPI stays neutral with regard to jurisdictional claims in published maps and institutional affiliations. |
© 2021 by the authors. Licensee MDPI, Basel, Switzerland. This article is an open access article distributed under the terms and conditions of the Creative Commons Attribution (CC BY) license (http://creativecommons.org/licenses/by/4.0/).







