A Quantitative Modeling and Prediction Method for Sustained Rainfall-PM2.5 Removal Modes on a Micro-Temporal Scale
Abstract
1. Introduction
- A novel micro-scale analytical framework for quantitatively elucidating the mechanism of PM2.5 removal by sustained rainfall was proposed. Compared with the yearly, monthly and daily time scales, the hourly scale is a more suitable form of information for decision making; therefore, the framework would more clearly express the complex characteristics of sustained rainfall than the analysis methods of large-scale data. The innovative hourly scale data analysis in this paper is more useful for practical applications in predicting and assessing air quality.
- A set of quantitative PM2.5 removal modes based on a micro-analysis are proposed. The modes would highlight the specific and high-level patterns of the removal effect of sustained rainfall at the micro-scale than the traditional micro-scale data analysis methods. During sustained rainfall, the variation of PM2.5 concentrations in an hourly time series is diverse and complex. The analysis of hourly scales reveals new characteristic modes that are different from the traditional large scale. These "declining, rebounding, or rising" modes not only allow the analysis of historical data from different regions, but also allow the prediction of PM2.5 removal at hourly intervals using future hourly rainfall, which can help the relevant systems and departments to make timely decisions on air pollution control.
2. Study Area and Data
2.1. Study Area
2.2. Dataset
3. Methods
3.1. A Quantitative Modeling for Sustained Rainfall-PM2.5 Removal Mode in Micro-Temporal Scale
3.1.1. Overview
3.1.2. Micro-Temporal Modeling of Sustained Rainfall Process
- Step 1: Using the hourly rainfall values as a benchmark, the moment of the first occurrence of 0.1 mm and above rainfall is taken as the starting point of the time-series fragment.
- Step 2: Since rainfall and its resulting effects will remain in space for a certain period of time, a threshold value is set to indicate the intermittent duration of the sustained rainfall process, i.e., the sequence before and after when rainfall is zero does not exceed is regarded as the same time-series fragment.
- Step 3: Satisfy the above conditions and the last occurrence of rainfall greater than zero is the end point , and obtain a complete .
3.1.3. Sustained Rainfall Removal Concomitant Factor Modeling
3.1.4. Quantitative Evaluation Modeling of Removal Effects
- (i)
- Rate of process RP, the ratio of the difference between the very small value of PM2.5 concentration change when it exists and the pre-start PM2.5 concentration.
- (ii)
- Rate of final RF, the ratio of the difference between the initial PM2.5 concentration before the start and the concentration after the end, the magnitude of which allows a quantitative evaluation of the intensity of removal.
- (iii)
- Rate of rebound RR, the ratio of the difference between the minimum value and the ending concentration for the entire rainfall process.
3.2. The Mode Predicting of Sustained Rainfall-PM2.5 Removal Effect Using the Quantitative Model
3.2.1. Overview
3.2.2. Sustained Rainfall Time-Series Sample Construction Using Sliding Time-Series Window
3.2.3. Removal Mode-Constrained Component Analysis of Concomitant Factor
3.2.4. Removal Mode Prediction Based on Factorization Machines
4. Experimental and Analysis Section
4.1. Construct the Sustained Rainfall Time-Series Sample
4.2. Principal Component Analysis of the Removal Mode
4.3. Predict the Removal Mode and Phenomenon
5. Discussion
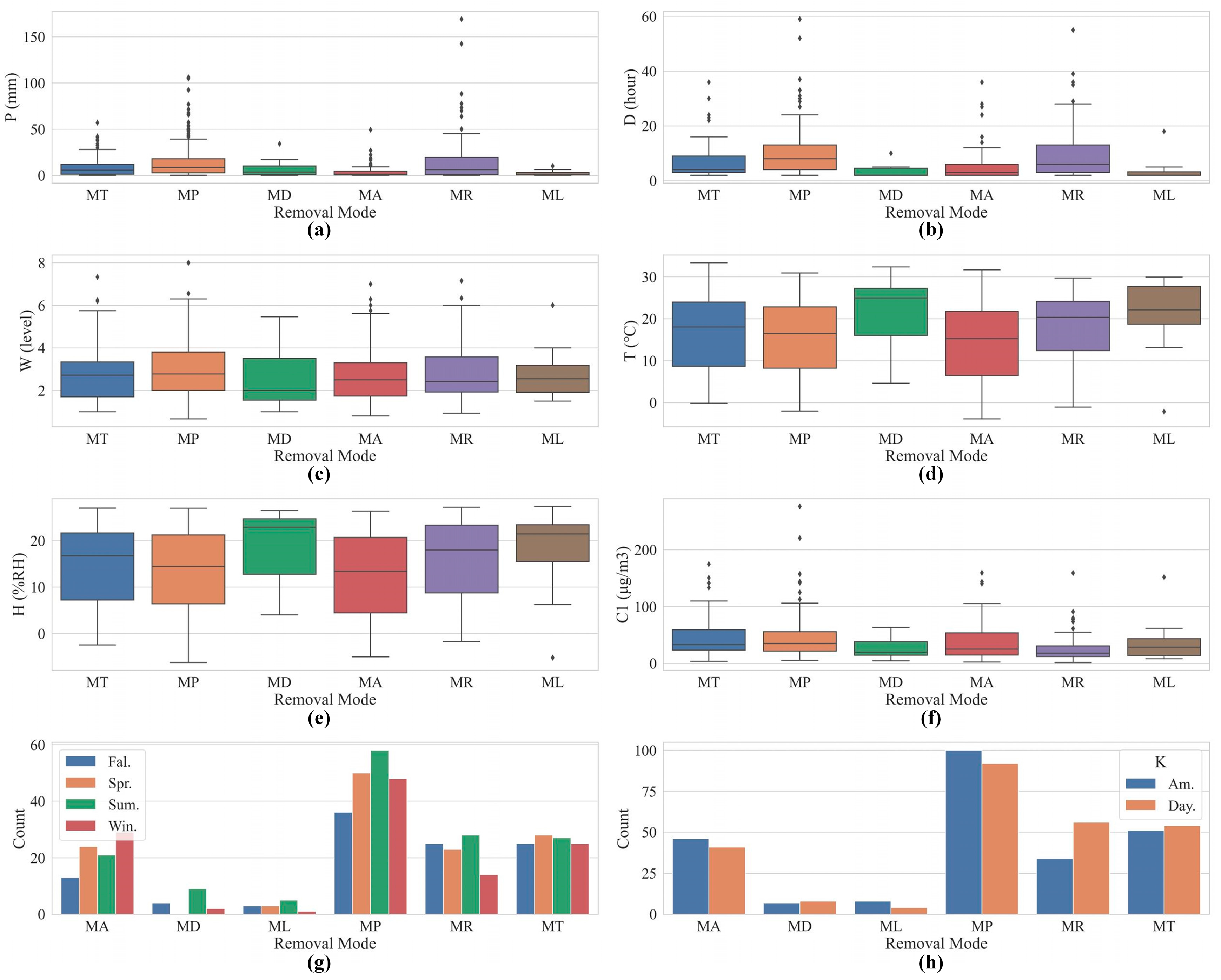
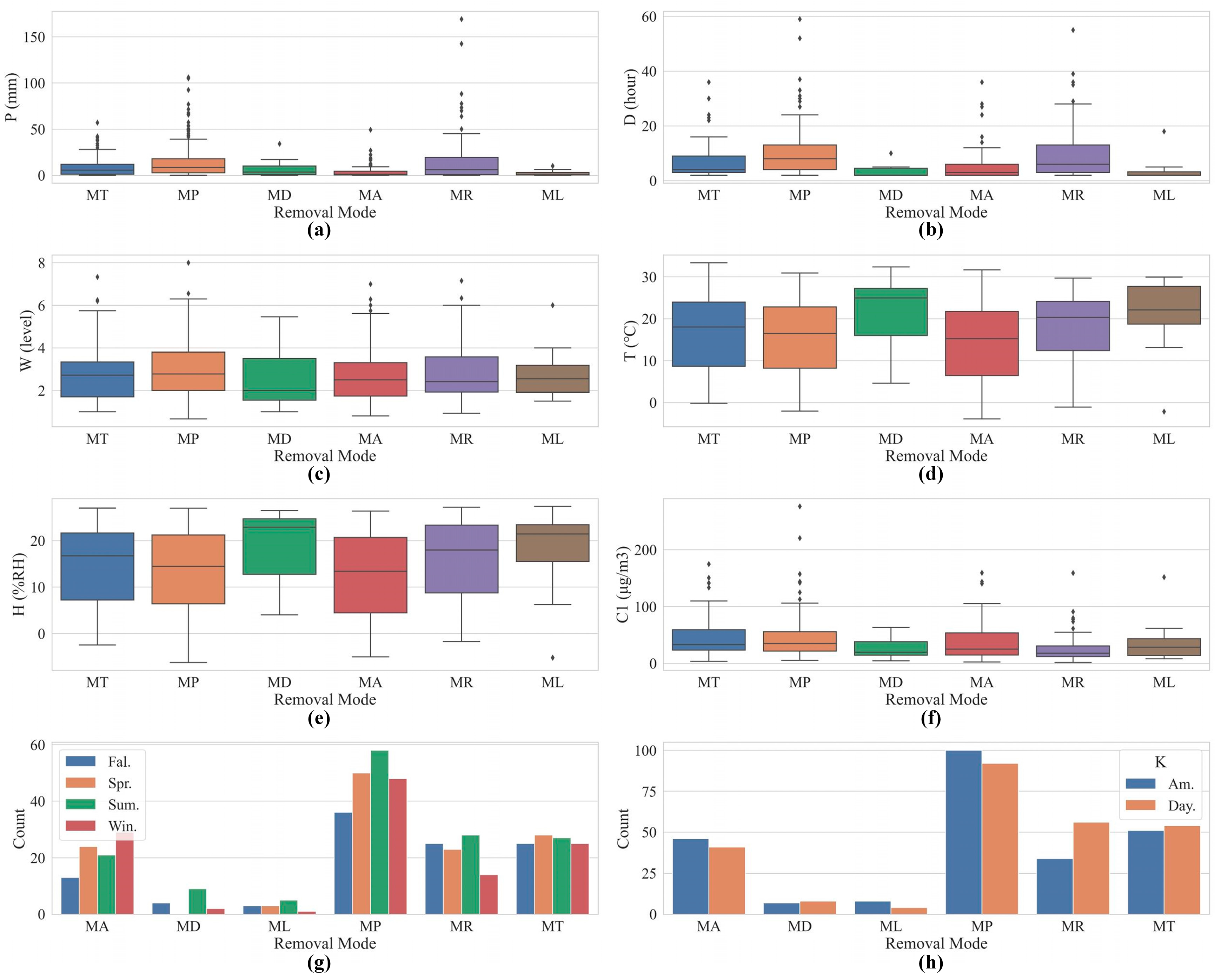
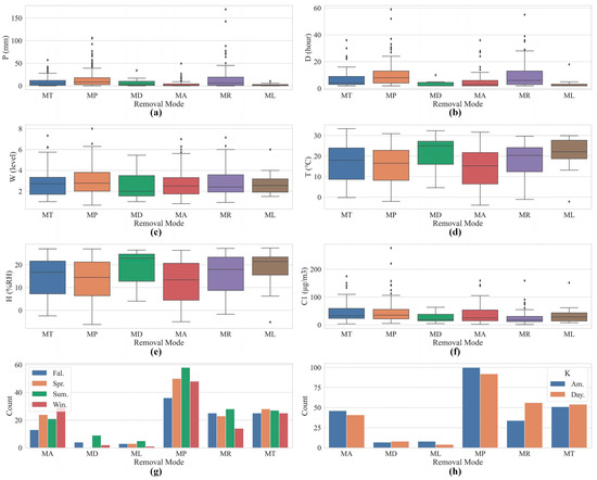
- , the PM2.5 concentration change has a continuous decreasing trend during the rainfall process, which has good improvement of the air quality for a period of time after the precipitation.
- , the PM2.5 concentration change is due to the fact that when the removal of particulate pollutants by prolonged precipitation reaches its limit [29], a small portion of the particulate matter does not completely settle to the ground and floats into the air again, thus showing a slight rebound of the concentration values.
- , PM2.5 concentrations continue to rise during rainfall, but drop sharply after the end and are lower than the average concentration values before it.
- , PM2.5 concentration changes in a continuous upward trend when the rainfall duration is too short or small; the humid air will make the suspended pollutants expand, which is more likely to cause the accumulation of pollutants and make the PM2.5 concentration rise.
- , due to the longer duration of the process, there is often a short gap or the secondary precipitation is weak precipitation and other phenomena, which will cause a serious concentration rebound, making the concentration of particulate matter higher than before the precipitation.
- ML, PM2.5 concentrations continue to rise without rebound during rainfall, and the rise tends to scale off after the end, eventually making the PM2.5 concentrations rise.
6. Conclusions
Author Contributions
Funding
Institutional Review Board Statement
Informed Consent Statement
Data Availability Statement
Acknowledgments
Conflicts of Interest
References
- Wu, H.; Gao, X. Multimodal Data Based Regression to Monitor Air Pollutant Emission in Factories. Sustainability 2021, 13, 2663. [Google Scholar] [CrossRef]
- Wang, Z.; Liang, L.; Wang, X. Spatiotemporal evolution of PM2.5 concentrations in urban agglomerations of China. J. Geogr. Sci. 2021, 31, 878–898. [Google Scholar] [CrossRef]
- Pui, D.; Chen, S.C.; Zuo, Z. PM2.5 in China: Measurements, sources, visibility and health effects, and mitigation. Particuology 2014, 13, 1–26. [Google Scholar] [CrossRef]
- Amrita, T. Study of Ambient Air Quality Trends and Analysis of Contributing Factors in Bengaluru, India. Orient. J. Chem. 2017, 33, 1051–1056. [Google Scholar]
- Kao, Y.H.; Lin, C.W.; Chiang, J.K. Predictive Meteorological Factors for Elevated PM2.5 Levels at an Air Monitoring Station Near a Petrochemical Complex in Yunlin County, Taiwan. Open J. Air Pollut. 2019, 8, 1–17. [Google Scholar] [CrossRef]
- Preethi, B.; Kripalani, R.H.; Kumar, K.K. Indian summer monsoon rainfall variability in global coupled ocean-atmospheric models. Clim. Dyn. 2010, 35, 1521–1539. [Google Scholar] [CrossRef]
- Neal, C.; Reynolds, B.; Neal, M.; Pugh, B.; Hill, L.; Wickham, H. Long-term changes in the water quality of rainfall, cloud water and stream water for moorland, forested and clear-felled catchments at Plynlimon, mid-Wales. Hydrol. Earth Syst. Sci. 1999, 5, 459–476. [Google Scholar] [CrossRef]
- Liu, Z.; Shen, L.; Yan, C.; Du, J.; Li, Y.; Zhao, H. Analysis of the Influence of Precipitation and Wind on PM2.5 and PM10 in the Atmosphere. Adv. Meteorol. 2020, 2020, 1–13. [Google Scholar] [CrossRef]
- Yamamoto, T.; Hori, K.; Tatebayashi, J. An experimental investigation of the PM adhesion characteristics in a fluidized bed type PM removal device. Powder Technol. 2016, 289, 31–36. [Google Scholar] [CrossRef]
- Qin, S.; Liu, F.; Wang, J.; Sun, B. Analysis and forecasting of the particulate matter (PM) concentration levels over four major cities of China using hybrid models. Atmos. Environ. 2014, 98, 665–675. [Google Scholar] [CrossRef]
- Fu, S.M.; Sun, J.H.; Ling, J.; Wang, H.J.; Zhang, Y.C. Scale interactions in sustaining persistent torrential rainfall events during the Mei-yu season. J. Geophys. Res. Atmos. 2016, 121, 12856–12876. [Google Scholar] [CrossRef]
- Liu, Z.Z.; Yan, Z.X.; Duan, J.; Qiu, Z.H. Infiltration regulation and stability analysis of soil slope under sustained and small intensity rainfall. J. Cent. South Univ. 2013, 20, 2519–2527. [Google Scholar] [CrossRef]
- Das, A.V.; Basu, S. Temporal trend of microsporidial keratoconjunctivitis and correlation with environmental and air pollution factors in India. Indian J. Ophthalmol. 2021, 69, 1089. [Google Scholar]
- Sharma, R.C.; Sharma, N. Statistical Investigation of Effect of Rainfall on Air Pollutants in the Atmosphere, Haryana State, Northern India. Am. J. Environ. Prot. 2018, 6, 14–21. [Google Scholar]
- Shaibu, V.O.; Weli, V.E. Relationship between PM2.5 and Climate Variability in Niger Delta, Nigeria. Am. J. Environ. Prot. 2017, 5, 20–24. [Google Scholar] [CrossRef]
- Jassim, M.S.; Coskuner, G.; Munir, S. Temporal analysis of air pollution and its relationship with meteorological parameters in Bahrain. Arab. J. Geosci. 2018, 11, 1–15. [Google Scholar] [CrossRef]
- Witkowska, A.; Lewandowska, A.U. Water soluble organic carbon in aerosols (PM1, PM2.5, PM10) and various precipitation forms (rain, snow, mixed) over the southern Baltic Sea station. Sci. Total Environ. 2016, 573, 337–346. [Google Scholar] [CrossRef]
- Wei, L.A.; Yza, B.; Ping, L.C. Numerical simulation of the influence of major meteorological elements on the concentration of air pollutants during rainfall over Sichuan Basin of China. Atmos. Pollut. Res. 2020, 11, 2036–2048. [Google Scholar]
- Kapwata, T.; Wright, C.Y.; du Preez, D.J.; Kunene, Z.; Mathee, A.; Ikeda, T.; Landmandi, W.; Maharajj, R.; Sweijdk, N.; Minakawa, N.; et al. Exploring rural hospital admissions for diarrhoeal disease, malaria, pneumonia, and asthma in relation to temperature, rainfall and air pollution using wavelet transform analysis. Sci. Total Environ. 2021, 2021, 148207. [Google Scholar]
- Zhu, T.; Shang, J.; Zhao, D.F. The roles of heterogeneous chemical processes in the formation of an air pollution complex and gray haze. Sci. China-Chem. 2011, 54, 145–153. [Google Scholar] [CrossRef]
- Liu, F.; Tan, Q.; Jiang, X.; Yang, F.; Jiang, W. Effects of relative humidity and PM2.5 chemical compositions on visibility impairment in Chengdu, China. J. Environ. Sci. 2019, 86, 15–23. [Google Scholar] [CrossRef]
- Guan, P.; Zhang, H.; Zhang, Z.; Chen, H.; Li, Y. Assessment of Emission Reduction and Meteorological Change in PM2.5 and Transport Flux in Typical Cities Cluster during 2013–2017. Sustainability 2021, 13, 5685. [Google Scholar] [CrossRef]
- Zhang, C.; Pei, H.; Jia, Y.; Bi, Y.; Lei, G. Effects of air quality and vegetation on algal bloom early warning systems in large lakes in the middle–lower Yangtze River basin. Environ. Pollut. 2021, 2012, 117455. [Google Scholar] [CrossRef]
- Amelija, D.; Nenad, Z.; Emina, M.; Jasmina, R.; Miomir, R.; Ljiljana, Z. The effect of pollutant emission from district heating systems on the correlation between air quality and health risk. Therm. Sci. 2011, 15, 293–310. [Google Scholar] [CrossRef]
- Li, Y.; Zhu, K. Spatial dependence and heterogeneity in the location processes of new high-tech firms in Nanjing, China. Pap. Reg. Sci. 2017, 96, 519–536. [Google Scholar] [CrossRef]
- Zhai, K.; Gao, X.; Zhang, Y.; Wu, M. Perceived Sustainable Urbanization Based on Geographically Hierarchical Data Structures in Nanjing, China. Sustainability 2019, 11, 2289. [Google Scholar] [CrossRef]
- Chen, K.; Yan, Y.; Hu, Z. Influence of Air Pollutants on Fog Formation in Urban Environment of Nanjing, China. Procedia Eng. 2011, 24, 654–657. [Google Scholar] [CrossRef][Green Version]
- Wang, G.; Huang, L.; Gao, S.; Song, T. Characterization of water-soluble species of PM10 and PM2.5 aerosols in urban area in nanjing, china. Atmos. Environ. 2002, 36, 1299–1307. [Google Scholar] [CrossRef]
- Chen, T.; He, J.; Lu, X.; She, J.; Guan, Z. Spatial and temporal variations of PM2.5 and its relation to meteorological factors in the urban area of nanjing, china. Int. J. Environ. Res. Public Health 2016, 13, 921. [Google Scholar] [CrossRef]
- Zou, X.; Qian, Y.; Zhang, S. Spatiotemporal Variations of PM2.5 Concentration and Relationship with Other Criteria Pollutants in Nanjing, China. Nat. Environ. Pollut. Technol. 2018, 17, 499–505. [Google Scholar]
- Guijo-Rubio, D.; Duran-Rosal, A.M.; Gutierrez, P.A.; Troncoso, A.; Hervas, M.C. Time-Series Clustering Based on the Characterization of Segment Typologies. IEEE Trans. Cybern. 2020, 99, 1–14. [Google Scholar] [CrossRef] [PubMed]
- Leles, M.C.; Sansão, J.P.H.; Mozelli, L.A.; Guimarães, H.N. Improving reconstruction of time-series based in singular spectrum analysis: A segmentation approach. Digit. Signal Process. 2017, 77, 63–76. [Google Scholar] [CrossRef]
- Onuorah, C.U.; Leton, T.G.; Momoh, Y. Influence of meteorological parameters on particle pollution (PM2.5 and PM10) in the tropical climate of port harcourt, nigeria. Arch. Curr. Res. Int. 2019, 1–12. [Google Scholar] [CrossRef]
- Kayes, I.; Shahriar, S.A.; Hasan, K.; Akhter, M.; Salam, M.A. The relationships between meteorological parameters and air pollutants in an urban environment. Glob. J. Environ. Sci. Manag. 2019, 5, 265–278. [Google Scholar]
- Uchiyama, R.; Okochi, H.; Ogata, H.; Katsumi, N.; Nakano, T. Characteristics of trace metal concentration and stable isotopic composition of hydrogen and oxygen in “urban-induced heavy rainfall” in downtown Tokyo, Japan; the implication of mineral/dust particles on the formation of summer heavy rainfall. Atmos. Res. 2018, 217, 73–80. [Google Scholar] [CrossRef]
- Gautam, S.; Yadav, A.; Pillarisetti, A.; Smith, K.; Arora, N. Short-term introduction of air pollutants from fireworks during diwali in Rural Palwal, Haryana, India: A case study. IOP Conf. Ser.: Earth Environ. Sci. 2018, 120, 012009. [Google Scholar] [CrossRef]
- Yang, W.; He, Z.; Huang, H.; Huang, J. A clustering framework to reveal the structural effect mechanisms of natural and social factors on PM2.5 concentrations in China. Sustainability 2021, 13, 1428. [Google Scholar] [CrossRef]
- Kashki, A.; Karami, M.; Zandi, R.; Roki, Z. Evaluation of the effect of geographical parameters on the formation of the land surface temperature by applying ols and gwr, a case study shiraz city, Iran. Urban Clim. 2021, 37, 100832. [Google Scholar] [CrossRef]
- Zhang, Y.; Zhang, F.; Zhu, H.; Guo, P. An optimization-evaluation agricultural water planning approach based on interval linear fractional bi-level programming and iahp-topsis. Water 2019, 11, 1094. [Google Scholar] [CrossRef]
- Kulanuwat, L.; Chantrapornchai, C.; Maleewong, M.; Wongchaisuwat, P.; Boonya-Aroonnet, S. Anomaly detection using a sliding window technique and data imputation with machine learning for hydrological time series. Water 2021, 13, 1862. [Google Scholar] [CrossRef]
- Cai, T.T.; Ma, Z.; Wu, Y. Sparse pca: Optimal rates and adaptive estimation. Ann. Stat. 2012, 41, 3074–3110. [Google Scholar] [CrossRef]
- Wang, S.; Li, C.; Zhao, K.; Chen, H. Learning to context-aware recommend with hierarchical factorization machines. Inf. Sci. 2017, 409–410, 121–138. [Google Scholar] [CrossRef]








| Class | Factor | Label | Impact Effects | |
|---|---|---|---|---|
| F | FD | Rainfall Total | High correlation with air pollutant concentrations, which can directly influence the removal effect | |
| Rainfall Duration | ||||
| FI | Temperature | When the temperature near the ground is high, atmospheric convection is intensified, which tends to reduce PM2.5 concentrations, and conversely PM2.5 is not easily dispersed | ||
| Humidity | Changes in PM2.5 are closely related to the moisture content of the air, with "hygroscopic increase" occurring due to the adsorption of particulate matter concentrations | |||
| Wind Power | Stronger winds also facilitate the dilution and uplift of pollutants | |||
| Initial PM2.5 | The effect of removal is influenced by the magnitude of PM2.5 concentrations before rainfall, and has little effect on particulate concentrations when air quality is good | |||
| Seasonal | The removal effect is mostly higher at night than during the day; the total positive removal of sustained rainfall will be slightly higher in autumn than in other seasons | |||
| Day and night |
| Effect Indicators | Trends in PM2.5 Concentrations | |||||
|---|---|---|---|---|---|---|
| During | After | Min | ||||
| >0 | <0 | >0 | Continued decline | Decline | Non-existent | |
| >0 | >0 | >0 | Decline, rebound | Decline | Existent | |
| <0 | <0 | >0 | Continued rise | Decline | Existent | |
| <0 | >0 | <0 | Continued rise | Rise | Non-existent | |
| >0 | >0 | <0 | Decline, rebound | Rise | Existent | |
| <0 | <0 | <0 | Continued rise | Rise | Existent | |
| F | Class | Label | Time-Series Range | Quantitative Calculation | |
| FD | (3) | ||||
| (4) | |||||
| FI | (5) | ||||
| (6) | |||||
| (7) | |||||
| (8) | |||||
| (9) | |||||
| (10) | |||||
| 2016/01/04/18:00-2016/01/05/07:00 | 18.0 | 12 | 8.21 | 4.91 | 4 | 276.33 | 4 | 2 | [0.96, 0.31, 0.95] | ||
| 2016/01/10/21:00-2016/01/11/08:00 | 7.0 | 12 | 6.04 | 3.67 | 3 | 150.67 | 4 | 2 | [0.19, −0.03, 0.22] | ||
| …… | …… | …… | …… | ||||||||
| 2020/10/15/16:00-2016/10/16/17:00 | 17.6 | 24 | 14.02 | 2.31 | 2 | 15.33 | 3 | 2 | [0.93, 0.83, 0.61] | ||
| 2020/10/21/05:00-2020/10/21/10:00 | 3.8 | 6 | 17.38 | 4.75 | 2 | 38.33 | 3 | 0 | [0.08, −0.02, 0.11] | ||
| Component | Cumulative Contribution (%) | ||
|---|---|---|---|
| Principal component 1 | 2.774 | 35.67 | 35.67 |
| Principal component 2 | 2.101 | 27.56 | 63.26 |
| Principal component 3 | 1.662 | 16.28 | 79.54 |
| Principal component 4 | 1.079 | 11.46 | 91.00 |
| Principal component 5 | 0.662 | 6.061 | 97.06 |
| Principal component 6 | 0.156 | 2.94 | 100.00 |
| 0.223 | 0.339 | 0.232 | 0.250 | 0.306 | 0.421 | |
| 0.214 | 0.294 | 0.453 | 0.321 | 0.276 | 0.559 | |
| 0.127 | 0.168 | −0.045 | −0.174 | −0.164 | −0.103 | |
| 0.079 | 0.176 | −0.137 | −0.076 | −0.037 | 0.218 | |
| 0.263 | 0.132 | 0.232 | 0.271 | 0.386 | 0.372 | |
| 0.193 | 0.266 | 0.411 | 0.263 | 0.442 | 0.421 | |
| 0.074 | 0.135 | 0.033 | 0.173 | −0.154 | 0.032 | |
| 0.031 | 0.095 | 0.127 | 0.041 | −0.076 | 0.093 |
Publisher’s Note: MDPI stays neutral with regard to jurisdictional claims in published maps and institutional affiliations. |
© 2021 by the authors. Licensee MDPI, Basel, Switzerland. This article is an open access article distributed under the terms and conditions of the Creative Commons Attribution (CC BY) license (https://creativecommons.org/licenses/by/4.0/).
Share and Cite
Wu, T.; Xie, X.; Xue, B.; Liu, T. A Quantitative Modeling and Prediction Method for Sustained Rainfall-PM2.5 Removal Modes on a Micro-Temporal Scale. Sustainability 2021, 13, 11022. https://doi.org/10.3390/su131911022
Wu T, Xie X, Xue B, Liu T. A Quantitative Modeling and Prediction Method for Sustained Rainfall-PM2.5 Removal Modes on a Micro-Temporal Scale. Sustainability. 2021; 13(19):11022. https://doi.org/10.3390/su131911022
Chicago/Turabian StyleWu, Tingchen, Xiao Xie, Bing Xue, and Tao Liu. 2021. "A Quantitative Modeling and Prediction Method for Sustained Rainfall-PM2.5 Removal Modes on a Micro-Temporal Scale" Sustainability 13, no. 19: 11022. https://doi.org/10.3390/su131911022
APA StyleWu, T., Xie, X., Xue, B., & Liu, T. (2021). A Quantitative Modeling and Prediction Method for Sustained Rainfall-PM2.5 Removal Modes on a Micro-Temporal Scale. Sustainability, 13(19), 11022. https://doi.org/10.3390/su131911022

