Integration of Large-Scale Electric Vehicles into Utility Grid: An Efficient Approach for Impact Analysis and Power Quality Assessment
Abstract
:1. Introduction
- Development of cyber–physical grid model in MATLAB Simulink following bottom-up approach.
- Development of Electric Vehicles charging infrastructure by using the lookup-table method in different time schedule (100 electric vehicles).
- Residential load profile designing for 1000 households.
- Analyzing residential power demand and voltage profile for 24 h.
2. Overview of Electric Vehicles’ Impact on the Utility Grid
2.1. Issues of Phase Unbalance and Voltage Instability
2.2. Impact Analysis of Load Profile and Peak Demand
3. Design Methodology and Grid Modeling
3.1. Structure of Electric Vehicles Charging Infrastructure
- Charging mode, known as G2V mode.
- Discharge mode, known as V2G mode.
3.2. Grid Modeling
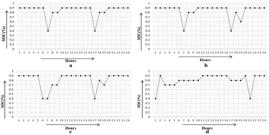
- Profile 1: People would have the possibility of charging their EVs at work.
- Profile 2: People have been able to charge their EVs at work.
- Profile 3: People going to work with no possibility to charge their EVs at work.
- Profile 4: People working a night shift.
3.3. Design of Electric Vehicles Charging Profile
3.4. Design of Charging Infrastructure
3.5. EV Driving Pattern
4. Results and Discussions
4.1. Impact on Local Residential Electrical Grid Power Demand
4.2. Residential Grid Voltage Profile Assessment
5. Conclusions
Author Contributions
Funding
Institutional Review Board Statement
Informed Consent Statement
Data Availability Statement
Conflicts of Interest
Abbreviations
| BMS | battery management system |
| DN | distribution network |
| DRA | Distributed Resource Allocation |
| EVs | electric vehicles |
| G2V | grid-to-vehicle |
| ICE | Internal Combustion Engine |
| LIB | lithium-ion battery |
| OCV | open-circuit voltage |
| RESs | renewable energy sources |
| SOC | state of charge |
| ToU | time of use |
| VPP | virtual power plant |
| V2G | vehicle-to-grid |
Parameters
| Qt | current capacity |
| Qn | nominal capacity |
| Cbat | overall battery capacities |
| Vbatt oc | open-circuit voltage of a battery |
| rbatt | internal battery resistance |
| current of EV battery | |
| power required to charge the EV battery |
References
- Yaacob, N.F.F.; Yazid, M.R.M.; Maulud, K.N.A.; Basri, N.E.A. A Review of the Measurement Method, Analysis and Implementation Policy of Carbon Dioxide Emission from Transportation. Sustainability 2020, 12, 5873. [Google Scholar] [CrossRef]
- Hannan, M.A.; Lipu, M.S.H.; Ker, P.J.; Begum, R.A.; Agelidis, V.G.; Blaabjerg, F. Power electronics contribution to renewable energy conversion addressing emission reduction: Applications, issues, and recommendations. Appl. Energy 2019, 251, 113404. [Google Scholar] [CrossRef]
- Hasannuddin, A.K.; Yahya, W.J.; Sarah, S.; Ithnin, A.M.; Syahrullail, S.; Sugeng, D.A.; Razak, I.F.A.; Abd Fatah, A.Y.; Aqma, W.S.; Rahman, A.H.A.; et al. Performance, emissions and carbon deposit characteristics of diesel engine operating on emulsion fuel. Energy 2018, 142, 496–506. [Google Scholar] [CrossRef]
- Habib, A.K.M.A.; Hasan, M.K.; Mahmud, M.; Motakabber, S.M.A.; Ibrahimya, M.I.; Islam, S. A review: Energy storage system and balancing circuits for electric vehicle application. IET Power Electron. 2021, 14, 1–13. [Google Scholar] [CrossRef]
- Hannan, M.A.; Lipu, M.S.H.; Hussain, A.; Mohamed, A. A review of lithium-ion battery state of charge estimation and management system in electric vehicle applications: Challenges and recommendations. Renew. Sustain. Energy Rev. 2017, 78, 834–854. [Google Scholar] [CrossRef]
- Ghosh, A. Possibilities and Challenges for the Inclusion of the Electric Vehicle (EV) to Reduce the Carbon Footprint in the Transport Sector: A Review. Energies 2020, 13, 2602. [Google Scholar] [CrossRef]
- Lipu, M.S.H.; Hannan, M.A.; Karim, T.F.; Hussain, A.; Saad, M.H.M.; Ayob, A.; Miah, M.S.; Mahlia, T.M.I. Intelligent algorithms and control strategies for battery management system in electric vehicles: Progress, challenges and future outlook. J. Clean. Prod. 2021, 292, 126044. [Google Scholar] [CrossRef]
- Sabri, M.F.M.; Danapalasingam, K.A.; Rahmat, M.F. A review on hybrid electric vehicles architecture and energy management strategies. Renew. Sustain. Energy Rev. 2016, 53, 1433–1442. [Google Scholar] [CrossRef]
- Gorbunova, A.; Anisimov, I.; Magaril, E. Studying the Formation of the Charging Session Number at Public Charging Stations for Electric Vehicles. Sustainability 2020, 12, 5571. [Google Scholar] [CrossRef]
- Shafiul Alam, M.; Al-Ismail, F.S.; Salem, A.; Abido, M.A. High-level penetration of renewable energy sources into grid utility: Challenges and solutions. IEEE Access 2020, 8, 190277–190299. [Google Scholar] [CrossRef]
- Kriegler, E.; Weyant, J.P.; Blanford, G.J.; Krey, V.; Clarke, L.; Edmonds, J.; Fawcett, A.; Luderer, G.; Riahi, K.; Richels, R.; et al. The role of technology for achieving climate policy objectives: Overview of the EMF 27 study on global technology and climate policy strategies. Clim. Chang. 2014, 123, 353–367. [Google Scholar] [CrossRef] [Green Version]
- Hossain Lipu, M.S.; Hannan, M.A.; Hussain, A.; Ayob, A.; Saad, M.H.M.; Karim, T.F.; How, D.N.T. Data-driven state of charge estimation of lithium-ion batteries: Algorithms, implementation factors, limitations and future trends. J. Clean. Prod. 2020, 277, 124110. [Google Scholar] [CrossRef]
- Lipu, M.S.H.; Hannan, M.A.; Hussain, A.; Ayob, A.; Saad, M.H.M.; Muttaqi, K.M. State of Charge Estimation in Lithium-Ion Batteries: A Neural Network Optimization Approach. Electronics 2020, 9, 1546. [Google Scholar] [CrossRef]
- Bhattacharjee, A.; Mohanty, R.K.; Ghosh, A. Design of an optimized thermal management system for li-ion batteries under different discharging conditions. Energies 2020, 13, 5695. [Google Scholar] [CrossRef]
- Jadoun, V.K.; Sharma, N.; Jha, P.; S., J.N.; Malik, H.; Márquez, F.P.G. Optimal Scheduling of Dynamic Pricing Based V2G and G2V Operation in Microgrid Using Improved Elephant Herding Optimization. Sustainability 2021, 13, 7551. [Google Scholar] [CrossRef]
- Asadi, S.; Nilashi, M.; Samad, S.; Abdullah, R.; Mahmoud, M.; Alkinani, M.H.; Yadegaridehkordi, E. Factors impacting consumers’ intention toward adoption of electric vehicles in Malaysia. J. Clean. Prod. 2020, 124474. [Google Scholar]
- Aljanad, A.; Mohamed, A.; Khatib, T.; Ayob, A.; Shareef, H. A Novel Charging and Discharging Algorithm of Plug-in Hybrid Electric Vehicles Considering Vehicle-to-Grid and Photovoltaic Generation. World Electr. Veh. J. 2019, 10, 61. [Google Scholar] [CrossRef] [Green Version]
- Shareef, H.; Islam, M.M.; Mohamed, A. A review of the stage-of-the-art charging technologies, placement methodologies, and impacts of electric vehicles. Renew. Sustain. Energy Rev. 2016, 64, 403–420. [Google Scholar] [CrossRef]
- Mohamed, A.A.; Venkatesh, B. Line-Wise Power Flow and Voltage Collapse. IEEE Trans. Power Syst. 2018, 33, 3768–3778. [Google Scholar] [CrossRef]
- Mohamed, A.A.; Venkatesh, B. Linearized voltage stability incorporation with line-wise optimal power flow. Int. J. Electr. Power Energy Syst. 2019, 108, 232–239. [Google Scholar] [CrossRef]
- Narassimhan, E.; Johnson, C. The role of demand-side incentives and charging infrastructure on plug-in electric vehicle adoption: Analysis of US States. Environ. Res. Lett. 2018, 13. [Google Scholar] [CrossRef] [Green Version]
- Wróblewski, P.; Kupiec, J.; Drożdż, W.; Lewicki, W.; Jaworski, J. The Economic Aspect of Using Different Plug-In Hybrid Driving Techniques in Urban Conditions. Energies 2021, 14, 3543. [Google Scholar] [CrossRef]
- Lunz, B.; Yan, Z.; Gerschler, J.B.; Sauer, D.U. Influence of plug-in hybrid electric vehicle charging strategies on charging and battery degradation costs. Energy Policy 2012, 46, 511–519. [Google Scholar] [CrossRef]
- Ha, D.L.; Guillou, H.; Martin, N.; Cung, V.D.; Jacomino, M. Optimal scheduling for coordination renewable energy and electric vehicles consumption. In Proceedings of the IEEE International Conference on Smart Grid Communications, Sydney, Australia, 6–9 November 2016; pp. 319–324. [Google Scholar]
- Agyeman, K.A.; Yuwei, J.; Han, S. Local and Global Adequacy Assessments of Power Network with EVs Considering Renewable Energy integration and Auxiliary Service Support. In Proceedings of the IEEE International Conference on Renewable Energy and Power Engineering, Toronto, ON, Canada, 2–4 November 2019; pp. 22–27. [Google Scholar]
- Xiong, J.; Zhang, K.; Guo, Y.; Su, W. Investigate the Impacts of PEV Charging Facilities on Integrated Electric Distribution System and Electrified Transportation System. IEEE Trans. Transp. Electrif. 2015, 1, 178–187. [Google Scholar] [CrossRef]
- Olivella-Rosell, P.; Villafafila-Robles, R.; Sumper, A. Impact evaluation of Plug-In electric vehicles on power system. Power Syst. 2015, 91, 149–178. [Google Scholar] [CrossRef]
- Ghatikar, G.; Ahuja, A.; Pillai, R.K. Battery Electric Vehicle Global Adoption Practices and Distribution Grid Impacts: A Preliminary Case Study for Delhi, India. Technol. Econ. Smart Grids Sustain. Energy 2017, 2, 19. [Google Scholar] [CrossRef] [Green Version]
- Blasius, E. Possible role of power-to-vehicle and vehicle-to-grid as storages and flexible loads in the German 110 kV distribution grid. Front. Energy 2017, 11, 146–154. [Google Scholar] [CrossRef]
- Cao, C.; Wu, Z.; Chen, B. Electric vehicle-grid integration with voltage regulation in radial distribution networks. Energies 2020, 13, 1802. [Google Scholar] [CrossRef] [Green Version]
- Tiwari, D.; Sheikh, M.A.A.; Moyalan, J.; Sawant, M.; Solanki, S.K.; Solanki, J. Vehicle-to-Grid Integration for Enhancement of Grid: A Distributed Resource Allocation Approach. IEEE Access 2020, 8, 175948–175957. [Google Scholar] [CrossRef]
- Shaukat, N.; Khan, B.; Ali, S.M.; Mehmood, C.A.; Khan, J.; Farid, U.; Majid, M.; Anwar, S.M.; Jawad, M.; Ullah, Z. A survey on electric vehicle transportation within smart grid system. Renew. Sustain. Energy Rev. 2018, 81, 1329–1349. [Google Scholar] [CrossRef]
- Alam, M.S.; Shafiullah, M.; Rana, J.M.; Javaid, M.S.; Irshad, U.B.; Uddin, M.A. Switching signal reduction of load aggregator with optimal dispatch of electric vehicle performing V2G regulation service. In Proceedings of the 2016 International Conference on Innovations in Science, Engineering and Technology, Wuhan, China, 26–27 March 2016; pp. 16–19. [Google Scholar]
- Habib, S.; Khan, M.M.; Abbas, F.; Tang, H. Assessment of electric vehicles concerning impacts, charging infrastructure with unidirectional and bidirectional chargers, and power flow comparisons. Int. J. Energy Res. 2018, 42, 3416–3441. [Google Scholar] [CrossRef]
- Johnson, J.; Chowdhury, M.; He, Y.; Taiber, J. Utilizing real-time information transferring potentials to vehicles to improve the fast-charging process in electric vehicles. Transp. Res. Part C Emerg. Technol. 2013, 26, 352–366. [Google Scholar] [CrossRef]
- Un-Noor, F.; Padmanaban, S.; Mihet-Popa, L.; Mollah, M.N.; Hossain, E. A comprehensive study of key electric vehicle (EV) components, technologies, challenges, impacts, and future direction of development. Energies 2017, 10, 1217. [Google Scholar] [CrossRef] [Green Version]
- Kong, P.Y.; Karagiannidis, G.K. Charging Schemes for Plug-In Hybrid Electric Vehicles in Smart Grid: A Survey. IEEE Access 2016, 4, 6846–6875. [Google Scholar] [CrossRef]
- Niu, Q.; Jiang, K.; Yang, Z. An Improved, Negatively Correlated Search for Solving the Unit Commitment Problem’s Integration with Electric Vehicles. Sustainability 2019, 11, 6945. [Google Scholar] [CrossRef] [Green Version]
- Deb, S.; Tammi, K.; Kalita, K.; Mahanta, P. Impact of electric vehicle charging station load on distribution network. Energies 2018, 11, 178. [Google Scholar] [CrossRef] [Green Version]
- Rubino, L.; Capasso, C.; Veneri, O. Review on plug-in electric vehicle charging architectures integrated with distributed energy sources for sustainable mobility. Appl. Energy 2017, 207, 438–464. [Google Scholar] [CrossRef]
- Yang, J.; Hao, W.; Chen, L.; Chen, J.; Jin, J.; Wang, F. Risk assessment of distribution networks considering the charging-discharging behaviors of electric vehicles. Energies 2016, 9, 560. [Google Scholar] [CrossRef] [Green Version]
- Zheng, Y.; Niu, S.; Shang, Y.; Shao, Z.; Jian, L. Integrating plug-in electric vehicles into power grids: A comprehensive review on power interaction mode, scheduling methodology and mathematical foundation. Renew. Sustain. Energy Rev. 2019, 112, 424–439. [Google Scholar] [CrossRef]
- Dharmakeerthi, C.H.; Mithulananthan, N.; Saha, T.K. Impact of electric vehicle fast charging on power system voltage stability. Int. J. Electr. Power Energy Syst. 2014, 57, 241–249. [Google Scholar] [CrossRef]
- Wang, Z.; Paranjape, R. Optimal Residential Demand Response for Multiple Heterogeneous Homes with Real-Time Price Prediction in a Multiagent Framework. IEEE Trans. Smart Grid 2017, 8, 1173–1184. [Google Scholar] [CrossRef]
- Khalid, M.R.; Alam, M.S.; Sarwar, A.; Jamil Asghar, M.S. A Comprehensive review on electric vehicles charging infrastructures and their impacts on power-quality of the utility grid. eTransportation 2019, 1, 100006. [Google Scholar] [CrossRef]
- Hadley, S.W. Impact of Plug-in Hybrid Vehicles on the Electric Grid; Oak Ridge National Laboratory: Oak Ridge, TN, USA, 2006. [Google Scholar]
- Iria, J.; Soares, F.; Matos, M. Optimal supply and demand bidding strategy for an aggregator of small prosumers. Appl. Energy 2018, 213, 658–669. [Google Scholar] [CrossRef]
- Das, H.S.; Rahman, M.M.; Li, S.; Tan, C.W. Electric vehicles standards, charging infrastructure, and impact on grid integration: A technological review. Renew. Sustain. Energy Rev. 2020, 120. [Google Scholar] [CrossRef]
- Park, W.J.; Song, K.B.; Park, J.W. Impact of electric vehicle penetration-based charging demand on load profile. J. Electr. Eng. Technol. 2013, 8, 244–251. [Google Scholar] [CrossRef] [Green Version]
- Clairand, J.-M.; Rodríguez-García, J.; Álvarez-Bel, C. Electric Vehicle Charging Strategy for Isolated Systems with High Penetration of Renewable Generation. Energies 2018, 11, 3188. [Google Scholar] [CrossRef] [Green Version]
- Drovtar, I.; Rosin, A.; Landsberg, M.; Kilter, J. Large scale electric vehicle integration and its impact on the Estonian power system. In Proceedings of the 2013 IEEE Grenoble Conference PowerTech, POWERTECH 2013, Grenoble, France, 16–20 June 2013; pp. 1–6. [Google Scholar]
- Moghaddam, Z.; Ahmad, I.; Habibi, D.; Phung, Q.V. Smart Charging Strategy for Electric Vehicle Charging Stations. IEEE Trans. Transp. Electrif. 2017, 4, 76–88. [Google Scholar] [CrossRef]
- How, D.N.T.; Hannan, M.A.; Hossain Lipu, M.S.; Ker, P.J. State of Charge Estimation for Lithium-Ion Batteries Using Model-Based and Data-Driven Methods: A Review. IEEE Access 2019, 7, 136116–136136. [Google Scholar] [CrossRef]
- Shen, P.; Ouyang, M.; Lu, L.; Li, J.; Feng, X. The co-estimation of state of charge, state of health, and state of function for lithium-ion batteries in electric vehicles. IEEE Trans. Veh. Technol. 2018, 67, 92–103. [Google Scholar] [CrossRef]
- Palcu, P.; Bauman, J. Whole-Day Driving Prediction Control Strategy: Analysis on Real-World Drive Cycles. IEEE Trans. Transp. Electrif. 2017, 4, 172–183. [Google Scholar] [CrossRef]
- Bauman, J.; Stevens, M.B.; Hacikyan, S.; Tremblay, L.; Mallia, E.; Mendes, C.J. Residential smart-charging pilot program in Toronto: Results of a utility controlled charging pilot. World Electr. Veh. J. 2016, 8, 531–542. [Google Scholar] [CrossRef] [Green Version]








| Charging Profile | Profile 1 | Profile 2 | Profile 3 | Profile 4 |
|---|---|---|---|---|
| Number of EVs | 100 | 100 | 100 | 100 |
| Average Power demand (kW) without EV | 8500 | 8500 | 8500 | 8500 |
| Average Power demand (kW) with EV | 10,850 | 9200 | 11,800 | 8800 |
| Power demand Increase daily (%) | 27.05 | 8.23 | 37 | 4.17 |
| Average hourly transformer load factor | 0.43 | 0.368 | 0.47 | 0.36 |
| Peak transformer load factor | 0.512 | 0.56 | 0.512 | 0.156 |
| Charging Profile | Voltage Sag | Voltage Deviation | Time |
|---|---|---|---|
| Profile 1 | 1.96% | 8% | 8:40 a.m. to 9:20 a.m. |
| 1.77% | 10% | 6:35 p.m. to 7:00 p.m. | |
| Profile 2 | 2.21% | 10% | 6:15 p.m. to 6:50 p.m. |
| Profile 3 | 1.96% | 8% | 8:15 a.m. to 9:30 a.m. |
| 1.521% | 10% | 7:15 p.m. to 8:00 p.m. | |
| Profile 4 | 1.93% | 8% | 3:40 a.m. to 5:00 a.m. |
Publisher’s Note: MDPI stays neutral with regard to jurisdictional claims in published maps and institutional affiliations. |
© 2021 by the authors. Licensee MDPI, Basel, Switzerland. This article is an open access article distributed under the terms and conditions of the Creative Commons Attribution (CC BY) license (https://creativecommons.org/licenses/by/4.0/).
Share and Cite
Khan, M.M.H.; Hossain, A.; Ullah, A.; Hossain Lipu, M.S.; Siddiquee, S.M.S.; Alam, M.S.; Jamal, T.; Ahmed, H. Integration of Large-Scale Electric Vehicles into Utility Grid: An Efficient Approach for Impact Analysis and Power Quality Assessment. Sustainability 2021, 13, 10943. https://doi.org/10.3390/su131910943
Khan MMH, Hossain A, Ullah A, Hossain Lipu MS, Siddiquee SMS, Alam MS, Jamal T, Ahmed H. Integration of Large-Scale Electric Vehicles into Utility Grid: An Efficient Approach for Impact Analysis and Power Quality Assessment. Sustainability. 2021; 13(19):10943. https://doi.org/10.3390/su131910943
Chicago/Turabian StyleKhan, Md. Mosaraf Hossain, Amran Hossain, Aasim Ullah, Molla Shahadat Hossain Lipu, S. M. Shahnewaz Siddiquee, M. Shafiul Alam, Taskin Jamal, and Hafiz Ahmed. 2021. "Integration of Large-Scale Electric Vehicles into Utility Grid: An Efficient Approach for Impact Analysis and Power Quality Assessment" Sustainability 13, no. 19: 10943. https://doi.org/10.3390/su131910943
APA StyleKhan, M. M. H., Hossain, A., Ullah, A., Hossain Lipu, M. S., Siddiquee, S. M. S., Alam, M. S., Jamal, T., & Ahmed, H. (2021). Integration of Large-Scale Electric Vehicles into Utility Grid: An Efficient Approach for Impact Analysis and Power Quality Assessment. Sustainability, 13(19), 10943. https://doi.org/10.3390/su131910943

