Land Use Land Cover Changes and Their Effects on Surface Air Temperature in Myanmar and Thailand
Abstract
:1. Introduction
2. Materials and Methods
2.1. Site Description
2.2. Temperature Data
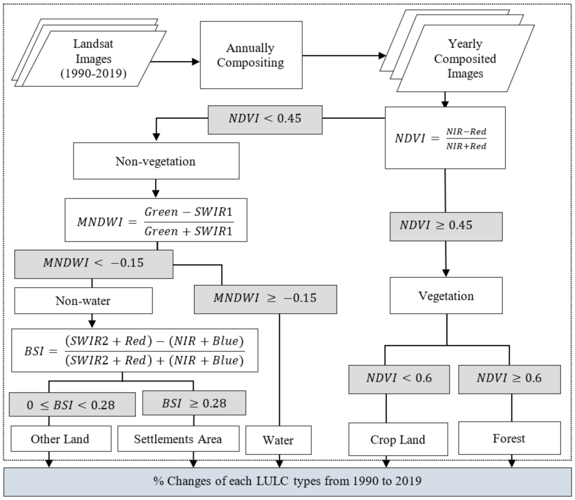
2.3. LULC Classification
2.3.1. Annual Composite Generation
2.3.2. Derivation of LULC
2.3.3. Accuracy Assessment
2.4. OMR Method for Temperature Trend
3. Results
3.1. Relationship between Observation and Reanalysis Data
3.2. Temperature Trends
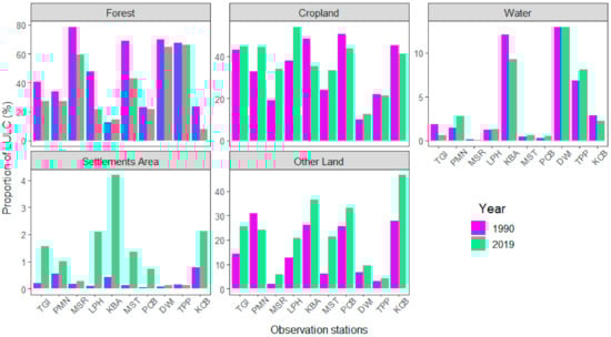
3.3. Analysis of LULC Changes
3.3.1. Determination of LULC Areas to Be Included in the Analysis
3.3.2. LULC Changes from 1990 to 2019
3.4. Analysis of LULC Changes Effects on Surface Air Temperature
4. Discussions
4.1. Contribution of LULC Changes to Maximum Temperature
4.2. Contribution of LULC Changes to Mean Temperature
4.3. Contribution of LULC Changes to Minimum Temperature
4.4. Effects of LULC on Regional Temperature Changes
4.5. Research Limitations and Way Forward
5. Conclusions
- The changes of LULC inside a 20 km radius of the selected observation stations changed significantly, as evident from the loss of forest land and increases in cropland and settlements.
- As a result, the average surface air temperature during 1990–2019 was warmer by 0.17 °C, 0.20 °C, ad 0.42 °C/10a in the maximum, mean, and minimum temperatures, respectively.
- The rate of minimum temperature increasing is higher than mean and maximum temperatures. However, the mean and maximum temperatures at most of the stations showed significantly increasing trends than minimum temperature.
- Overall analysis indicates that the reduction of areas under vegetation types (forest and cropland) and expansion of settlements area in most of stations were strongly correlated to temperature warming.
- The effects of forest cover converted to urban land on temperatures are higher than the effects of forest cover changed to cropland.
Author Contributions
Funding
Institutional Review Board Statement
Informed Consent Statement
Data Availability Statement
Acknowledgments
Conflicts of Interest
References
- Qu, F.; Cui, X.; Yan, H.; Ma, E.; Zhan, J. Impacts of land cover change on the near-surface temperature in the North China plain. Adv. Meteorol. 2013, 2013, 1–12. [Google Scholar] [CrossRef]
- IPCC. Summary for policy maker. In Climate Change and Land: An IPCC Special Report on Climate Change, Desertification, Land Degradation, Sustainable Land Management, Food Security, and Greenhouse Gas Fluxes in Terrestrial Ecosystems; Shukla, P.R., Skea, J., Buendia, E.C., Masson-Delmotte, V., Pörtner, H.-O., Roberts, D.C., Zhai, P., Slade, R., Connors, S., Diemen, R., et al., Eds.; Intergovernmental Panel on Climate Change: Geneva, Switzerland, 2019; ISBN 978-92-9169-154-8. [Google Scholar]
- Gogoi, P.P.; Vinoj, V.; Swain, D.; Roberts, G.; Dash, J.; Tripathy, S. Land use and land cover change effect on surface temperature over Eastern India. Sci. Rep. 2019, 9, 1–10. [Google Scholar] [CrossRef] [Green Version]
- Cao, W.; Huang, L.; Liu, L.; Zhai, J.; Wu, D. Overestimating impacts of urbanization on regional temperatures in developing megacity: Beijing as an example. Adv. Meteorol. 2019, 2019, 1–15. [Google Scholar] [CrossRef]
- Nayak, S.; Mandal, M. Examining the impact of regional land use and land cover changes on temperature: The case of Eastern India. Spat. Inf. Res. 2019, 27, 601–611. [Google Scholar] [CrossRef]
- Nayak, S.; Maity, S.; Singh, K.S.; Nayak, H.P.; Dutta, S. Influence of the changes in land-use and land cover on temperature over Northern and North-Eastern India. Land 2021, 10, 52. [Google Scholar] [CrossRef]
- Lim, Y.K.; Cai, M.; Kalnay, E.; Zhou, L. Observational evidence of sensitivity of surface climate changes to land types and urbanization. Geophys. Res. Lett. 2005, 32, 1–4. [Google Scholar] [CrossRef] [Green Version]
- Kalnay, E.; Cai, M. Impact of urbanization and land-use change on climate. Nature 2003, 423, 528–531. [Google Scholar] [CrossRef]
- Nuñez, M.N.; Ciapessoni, H.H.; Rolla, A.; Kalnay, E.; Cai, M. Impact of land use and precipitation changes on surface temperature trends in Argentina. J. Geophys. Res. Atmos. 2008, 113, 1–11. [Google Scholar] [CrossRef] [Green Version]
- Nayak, S.; Mandal, M. Impact of land use and land cover changes on temperature trends over India. Land Use Policy 2019, 89, 104238. [Google Scholar] [CrossRef]
- Fall, S.; Niyogi, D.; Gluhovsky, A.; Pielke, R.A.; Kalnay, E.; Rochon, G. Impacts of land use land cover on temperature trends over the continental United States: Assessment using the North American Regional Reanalysis. Int. J. Climatol. 2010, 30, 1980–1993. [Google Scholar] [CrossRef] [Green Version]
- Nguyen, C.T.; Nguyen, D.T.H.; Phan, D.K. Factors affecting urban electricity consumption: A case study in the Bangkok Metropolitan Area using an integrated approach of earth observation data and data analysis. Environ. Sci. Pollut. Res. 2021, 28, 12056–12066. [Google Scholar] [CrossRef]
- Yasmi, Y.; Durst, P.; Haq, R.U.; Broadhead, J. Forest Change in the Greater Mekong Subregion (GMS): An Overview of Negative and Positive Drivers; The Food and Agriculture Organization of the United Nations (FAO): Bangkok, Thailand, 2017; ISBN 9789251099117. [Google Scholar]
- Pielke, R.A.; Pitman, A.; Niyogi, D.; Mahmood, R.; McAlpine, C.; Hossain, F.; Goldewijk, K.K.; Nair, U.; Betts, R.; Fall, S.; et al. Land use/land cover changes and climate: Modeling analysis and observational evidence. WIREs Clim. Chang. 2011, 2, 828–850. [Google Scholar] [CrossRef]
- Kiguchi, M.; Takata, K.; Hanasaki, N.; Archevarahuprok, B.; Champathong, A.; Ikoma, E.; Jaikaeo, C.; Kaewrueng, S.; Kanae, S.; Kazama, S.; et al. A review of climate-change impact and adaptation studies for the water sector in Thailand. Environ. Res. Lett. 2021, 16, 2–33. [Google Scholar] [CrossRef]
- Limjirakan, S.; Limsakul, A. Observed trends in surface air temperatures and their extremes in Thailand from 1970 to 2009. J. Meteorol. Soc. Japan 2012, 90, 647–662. [Google Scholar] [CrossRef] [Green Version]
- Kachenchart, B.; Kamlangkla, C.; Puttanapong, N.; Limsakul, A. Urbanization effects on surface air temperature trends in Thailand during 1970–2019. Environ. Eng. Res. 2020, 26, 200378. [Google Scholar] [CrossRef]
- Sein, K.K.; Chidthaisong, A.; Oo, K.L. Observed trends and changes in temperature and precipitation extreme indices over Myanmar. Atmosphere 2018, 9, 477. [Google Scholar] [CrossRef] [Green Version]
- DMH. Myanmar Climate Report; Department of Meteorology and Hydrology (DMH), Ministry of Transport and Communication: Naypyitaw, Myanmar, 2017.
- TMD. The Climate of Thailand. Available online: https://www.tmd.go.th/en/downloads.php (accessed on 18 May 2021).
- Hersbach, H.; Bell, B.; Berrisford, P.; Hirahara, S.; Horányi, A.; Muñoz-Sabater, J.; Nicolas, J.; Peubey, C.; Radu, R.; Schepers, D.; et al. The ERA5 global reanalysis. Q. J. R. Meteorol. Soc. 2020, 146, 1999–2049. [Google Scholar] [CrossRef]
- Wang, M.; Yan, X. A comparison of two methods on the climatic effects of urbanization in the Beijing-Tianjin-Hebei metropolitan area. Adv. Meteorol. 2015, 2015, 352360. [Google Scholar] [CrossRef]
- Eischeid, J.K.; Baker, C.B.; Karl, T.R.; Diaz, H.F. The quality control of long-term climatological data using objective data analysis. J. Appl. Meteorol. 1995, 34, 2787–2795. [Google Scholar] [CrossRef] [Green Version]
- De Jonge, E.; Loo, M.V.D. An Introduction to Data Cleaning with R; Statistics Netherlands: The Hague, The Netherland, 2013; ISBN 1572-0314.
- Feng, S.; Hu, Q.; Qian, W. Quality control of daily meteorological data in China, 1951–2000: A new dataset. Int. J. Climatol. 2004, 24, 853–870. [Google Scholar] [CrossRef]
- Wang, X.L.; Feng, Y. RHtests V4 User Manual; Climate Research Division Atmospheric Science and Technology Directorate Science and Technology Branch, Environment Canada Toronto: Toronto, ON, Canada, 2013. [Google Scholar]
- Viana, C.M.; Girão, I.; Rocha, J. Long-term satellite image time-series for land use/land cover change detection using refined open source data in a rural region. Remote Sens. 2019, 11, 1104. [Google Scholar] [CrossRef] [Green Version]
- Xie, Z.; Phinn, S.R.; Game, E.T.; Pannell, D.J.; Hobbs, R.J.; Briggs, P.R.; McDonald-Madden, E. Using Landsat observations (1988–2017) and Google Earth Engine to detect vegetation cover changes in rangelands—A first step towards identifying degraded lands for conservation. Remote Sens. Environ. 2019, 232, 1–16. [Google Scholar] [CrossRef]
- Hu, Y.; Dong, Y. Batunacun An automatic approach for land-change detection and land updates based on integrated NDVI timing analysis and the CVAPS method with GEE support. ISPRS J. Photogramm. Remote Sens. 2018, 146, 347–359. [Google Scholar] [CrossRef]
- Patil, A.S.; Panhalkar, S.S.; Bagwan, S.; Bansode, S. Impact of land use land cover change on land surface temperature using geoinformatics techniques. Int. J. Res. Anal. Rev. 2018, 5, 550–559. [Google Scholar] [CrossRef] [Green Version]
- Xu, H. Modification of normalised difference water index (NDWI) to enhance open water features in remotely sensed imagery. Int. J. Remote Sens. 2006, 27, 3025–3033. [Google Scholar] [CrossRef]
- Nguyen, C.T.; Chidthaisong, A.; Kieu Diem, P.; Huo, L.-Z. A modified bare soil index to identify bare land features during agricultural fallow-period in Southeast Asia using Landsat 8. Land 2021, 10, 231. [Google Scholar] [CrossRef]
- Diek, S.; Fornallaz, F.; Schaepman, M.E.; de Jong, R. Barest pixel composite for agricultural areas using Landsat time series. Remote Sens. 2017, 9, 1245. [Google Scholar] [CrossRef] [Green Version]
- IPCC. Intergovernmental Panel on Climate Change: Good Practice Guidance for Land Use, Land-Use Change and Forestry; Penman, J., Gytarsky, M., Hiraishi, T., Krug, T., Kruger, D., Pipatti, R., Buendia, L., Miwa, K., Ngara, T., Tanabe, K., et al., Eds.; Institute for Global Environmental Strategies (IGES) for the IPCC: Hayama, Japan, 2003; ISBN 4887880030. [Google Scholar]
- Alawamy, J.S.; Balasundram, S.K.; Hanif, A.H.M.; Sung, C.T.B. Detecting and analyzing land use and land cover changes in the region of Al-Jabal Al-Akhdar, Libya using time-series Landsat data from 1985 to 2017. Sustainability 2020, 12, 4490. [Google Scholar] [CrossRef]
- Stehman, S.V. Sampling designs for accuracy assessment of land cover. Int. J. Remote Sens. 2009, 30, 5243–5272. [Google Scholar] [CrossRef]
- Sarkar, A. Accuracy assessment and analysis of land use land cover change using geoinformatics technique in Raniganj Coalfield Area, India. Int. J. Environ. Sci. Nat. Resour. 2018, 11, 25–34. [Google Scholar] [CrossRef]
- Fleiss, J.L.; Levin, B.; Paik, M.C. The Measurement of Interrater Agreement. In Statistical Methods for Rates and Proportions, 3rd ed.; John Wiley & Sons: Hoboken, NJ, USA, 2004; ISBN 0471526290. [Google Scholar]
- Yu, Y.; Xiao, W.; Zhang, Z.; Cheng, X.; Hui, F.; Zhao, J. Evaluation of 2-m air temperature and surface temperature from ERA5 and ERA-I using buoy observations in the arctic during 2010–2020. Remote Sens. 2021, 13, 2813. [Google Scholar] [CrossRef]
- Chao, L.; Huang, B.; Yuanjian, Y.; Jones, P.; Cheng, J.; Yang, Y.; Li, Q. A new evaluation of the role of urbanization to warming at various spatial scales: Evidence from the Guangdong-Hong Kong-Macau region, China. Geophys. Res. Lett. 2020, 47, e2020GL089152. [Google Scholar] [CrossRef]
- Lim, Y.K.; Cai, M.; Kalnay, E.; Zhou, L. Impact of vegetation types on surface temperature change. J. Appl. Meteorol. Climatol. 2008, 47, 411–424. [Google Scholar] [CrossRef] [Green Version]
- Yang, X.C.; Zhang, Y.L.; Liu, L.S.; Zhang, W.; Ding, M.J.; Wang, Z.F. Sensitivity of surface air temperature change to land use/cover types in China. Sci. China Ser. D Earth Sci. 2009, 52, 1207–1215. [Google Scholar] [CrossRef]
- Wang, J.; Feng, J.; Yan, Z.; Qiu, Y.; Cao, L. An analysis of the urbanization contribution to observed terrestrial stilling in the Beijing-Tianjin-Hebei region of China. Environ. Res. Lett. 2020, 15, 034062. [Google Scholar] [CrossRef]
- Dee, D.P.; Uppala, S.M.; Simmons, A.J.; Berrisford, P.; Poli, P.; Kobayashi, S.; Andrae, U.; Balmaseda, M.A.; Balsamo, G.; Bauer, P.; et al. The ERA-Interim reanalysis: Configuration and performance of the data assimilation system. Q. J. R. Meteorol. Soc. 2011, 137, 553–597. [Google Scholar] [CrossRef]
- Wang, J.; Tett, S.F.B.; Yan, Z. Correcting urban bias in large-scale temperture records in China, 1980–2009. Geophys. Res. Lett. 2017, 44, 401–408. [Google Scholar] [CrossRef] [Green Version]
- Wang, Q.; Riemann, D.; Vogt, S.; Glaser, R. Impacts of land cover changes on climate trends in Jiangxi province China. Int. J. Biometeorol. 2014, 58, 645–660. [Google Scholar] [CrossRef]
- Mann, H.B. Non-Parametric test against trend. Econometrica 1945, 13, 245–259. [Google Scholar] [CrossRef]
- Sen, P.K. Estimates of the regression coefficient based on Kendall’s tau. J. Am. Stat. Assoc. 1968, 63, 1379–1389. [Google Scholar] [CrossRef]
- Durai, V.R.; Bhradwaj, R. Evaluation of statistical bias correction methods for numerical weather prediction model forecasts of maximum and minimum temperatures. Nat. Hazards 2014, 73, 1229–1254. [Google Scholar] [CrossRef]
- Bhattacharya, T.; Khare, D.; Arora, M. Evaluation of reanalysis and global meteorological products in Beas river basin of North-Western Himalaya. Environ. Syst. Res. 2020, 9, 1–29. [Google Scholar] [CrossRef]
- Alidoost, F.; Stein, A.; Su, Z. The use of bivariate copulas for bias correction of reanalysis air temperature data. PLoS ONE 2019, 14, e0216059. [Google Scholar] [CrossRef] [PubMed] [Green Version]
- Gallo, K.P.; Easterling, D.R.; Peterson, T.C. The influence of land use/land cover on climatological values of the diurnal temperature range. J. Clim. 1996, 9, 2941–2950. [Google Scholar] [CrossRef] [Green Version]
- Steinke, V.A.; de Melo, L.A.M.P.; Melo, M.L.; da Franca, R.R.; Lucena, R.L.; Steinke, E.T. Trend analysis of air temperature in the Federal District of Brazil: 1980–2010. Climate 2020, 8, 89. [Google Scholar] [CrossRef]
- Quiñones, A.J.P.; Cordoba, B.C.; Gutierrez, M.R.S.; Keller, M.; Hoogenboom, G. Radius of influence of air temperature from automated weather stations installed in complex terrain. Theor. Appl. Climatol. 2019, 137, 1957–1973. [Google Scholar] [CrossRef]
- Choenkwan, S.; Fox, J.M.; Rambo, A.T. Agriculture in the mountains of Northeastern Thailand: Current situation and prospects for development. Mt. Res. Dev. 2014, 34, 95–106. [Google Scholar] [CrossRef]
- Kaewkrom, P.; Thummikkaphong, S.; Somnoumtad, T. Population ecology of some important palm species in Phetchabun Province. Kasetsart J.-Nat. Sci. 2007, 41, 407–413. [Google Scholar]
- Shen, X.; Liu, B.; Lu, X. Effects of land use/land cover on diurnal temperature range in the temperate grassland region of China. Sci. Total Environ. 2017, 575, 1211–1218. [Google Scholar] [CrossRef] [PubMed]
- Broadbent, A.M.; Coutts, A.M.; Tapper, N.J.; Demuzere, M. The cooling effect of irrigation on urban microclimate during heatwave conditions. Urban Clim. 2018, 23, 309–329. [Google Scholar] [CrossRef]
- Santiphop, T.; Shrestha, R.P.; Hazarika, M.K. An analysis of factors affecting agricultural land use patterns and livelihood strategies of farm households in Kanchanaburi Province, Thailand. J. Land Use Sci. 2012, 7, 331–348. [Google Scholar] [CrossRef]
- Limsakul, A.; Singhruck, P. Long-term trends and variability of total and extreme precipitation in Thailand. Atmos. Res. 2016, 169, 301–317. [Google Scholar] [CrossRef]
- Hua, L.J.; Ma, Z.G.; Guo, W.D. The impact of urbanization on air temperature across China. Theor. Appl. Climatol. 2008, 93, 179–194. [Google Scholar] [CrossRef]
- Xiao, Z.; Wang, Z.; Pan, W.; Wang, Y.; Yang, S. Sensitivity of extreme temperature events to urbanization in the pearl river delta region. Asia-Pacific J. Atmos. Sci. 2019, 55, 373–386. [Google Scholar] [CrossRef]
- Niu, X.; Tang, J.; Wang, S.; Fu, C. Impact of future land use and land cover change on temperature projections over East Asia. Clim. Dyn. 2019, 52, 6475–6490. [Google Scholar] [CrossRef] [Green Version]
- Betts, R.A. Biogeophysical impacts of land use on present-day climate: Near-surface temperature change and radiative forcing. Atmos. Sci. Lett. 2001, 2, 39–51. [Google Scholar] [CrossRef]
- Wang, J.; Yan, Z.; Feng, J. Exaggerated effect of urbanization in the diurnal temperature range via “Observational minus Reanalysis” and the physical causes. J. Geophys. Res. Atmos. 2018, 123, 7223–7237. [Google Scholar] [CrossRef]
- Paul, S.; Ghosh, S.; Oglesby, R.; Pathak, A.; Chandrasekharan, A.; Ramsankaran, R. Weakening of Indian summer monsoon rainfall due to changes in land use land cover. Sci. Rep. 2016, 6, 1–10. [Google Scholar] [CrossRef] [PubMed] [Green Version]
- Li, J.; Zheng, X.; Zhang, C.; Chen, Y. Impact of land-use and land-cover change on meteorology in the Beijing-Tianjin-Hebei region from 1990 to 2010. Sustainability 2018, 10, 176. [Google Scholar] [CrossRef] [Green Version]
- Li, Y.; Chen, Y.; Li, Z. Effects of land use and cover change on surface wind speed in China. J. Arid Land 2019, 11, 345–356. [Google Scholar] [CrossRef] [Green Version]
- Lai, A.; Liu, Y.; Chen, X.; Chang, M.; Fan, Q.; Chan, P.; Wang, X.; Dai, J. Impact of land-use change on atmospheric environment using refined land surface properties in the Pearl River Delta, China. Adv. Meteorol. 2016, 2016. [Google Scholar] [CrossRef] [Green Version]












| Stations Code | Stations Name | Latitude (°N) | Longitude (°E) | Elevation (m) | Geographical Location |
|---|---|---|---|---|---|
| Myanmar | |||||
| 48057 | Taunggyi (TGI) | 20.47 | 97.03 | 1436 | Hill |
| 48074 | Pyinmana (PMN) | 19.43 | 96.13 | 101 | Dry |
| 48097 | Kabaaye (KBA) | 16.46 | 96.10 | 20 | Coastal |
| 48108 | Dawei (DWI) | 14.06 | 98.13 | 16 | Coastal |
| Thailand | |||||
| 48325 | Mae Sariang (MSR) | 18.17 | 97.93 | 211 | Northern |
| 48329 | Lamphun (LPH) | 18.57 | 99.03 | 296 | Northern |
| 48375 | Mae Sot (MST) | 16.67 | 98.55 | 196 | Northern |
| 48379 | Phetchabun (PCB) | 16.43 | 101.15 | 114 | Northern |
| 48421 | Thong Pha Phum (TPP) | 14.75 | 98.63 | 104 | Central |
| 48450 | Kanchanaburi (KCB) | 14.02 | 99.53 | 28 | Central |
| LULC Classes | Description |
|---|---|
| Forest | All the land is covered with woody vegetation. |
| Cropland | Arable and tillage land, and grass land. |
| Water | Land is covered or saturated by water for all or part of the year. |
| Settlements Area | All developed land, including transportation infrastructure and human settlements of any size. |
| Other Land | Bare soil, rock, and all unmanaged land areas that do not fall into any of the other four categories. |
| Stations | Changes of LULC (%/10a) | Tmax_OMR (°C/10a) | ||||
|---|---|---|---|---|---|---|
| Forest | Cropland | Water | Settlements Area | Other Land | ||
| TGI | −9.10 | 3.09 | −0.25 | 0.54 * | 6.95 | 0.15 |
| MSR | −9.16 * | 7.83 * | −0.01 | 0.02 | 1.32 * | 0.15 |
| LPH | −5.37 | 3.28 * | 0.28 | 0.70 * | 1.15 | 0.10 |
| KBA | 1.21 | −3.23 | −0.66 | 1.46 | 1.22 | 0.15 |
| MST | −8.53 * | 3.73 * | 0.04 | 0.41 * | 4.36 | 0.24 |
| PCB | 0.99 | −1.30 | 0.08 | 0.19 * | 0.04 | 0.23 |
| DWI | −1.34 * | 0.95 | −0.10 | 0.01 | 0.48 | 0.19 |
| TPP | 1.21 | −2.28 * | 0.20 | 0.01 | −0.24 | 0.16 |
| Stations | Changes of LULC (%/10a) | Tmean_OMR (°C/10a) | ||||
|---|---|---|---|---|---|---|
| Forest | Cropland | Water | Settlements Area | Other Land | ||
| TGI | −9.10 * | 3.09 | −0.25 * | 0.54 * | 6.95 * | 0.29 |
| MSR | −9.16 * | 7.83 * | −0.01 | 0.02 | 1.32 * | 0.16 |
| MST | −8.53 * | 3.73 * | 0.04 * | 0.41 * | 4.36 * | 0.25 |
| PCB | 0.99 | −1.30 | 0.08 | 0.19 * | 0.04 | 0.24 |
| DWI | −1.34 | 0.95 | −0.10 | 0.01 | 0.48 | 0.12 |
| TPP | 1.21 | −2.28 * | 0.20 | 0.01 | −0.24 | 0.15 |
| KCB | −3.93 * | −0.08 | −0.08 | 0.67 * | 4.18 * | 0.32 |
| Station | Changes of LULC (%/10a) | Tmin_OMR (°C/10a) | ||||
|---|---|---|---|---|---|---|
| Forest | Cropland | Water | Settlements Area | Other Land | ||
| TGI | −9.10 * | 3.09 | −0.25 * | 0.54 * | 6.95 * | 0.39 |
| LPH | −5.37 * | 3.28 * | 0.28 * | 0.70 * | 1.15 | 0.53 |
| MST | −8.53 | 3.73 | 0.04 | 0.41 | 4.36 | 0.28 |
| PCB | 0.99 | −1.30 | 0.08 | 0.19 | 0.04 | 0.10 |
| TPP | 1.21 | −2.28 | 0.20 | 0.01 | −0.24 | 0.81 |
| KCB | −3.93 | −0.08 | −0.08 | 0.67 * | 4.18 * | −0.43 |
Publisher’s Note: MDPI stays neutral with regard to jurisdictional claims in published maps and institutional affiliations. |
© 2021 by the authors. Licensee MDPI, Basel, Switzerland. This article is an open access article distributed under the terms and conditions of the Creative Commons Attribution (CC BY) license (https://creativecommons.org/licenses/by/4.0/).
Share and Cite
Yaung, K.L.; Chidthaisong, A.; Limsakul, A.; Varnakovida, P.; Nguyen, C.T. Land Use Land Cover Changes and Their Effects on Surface Air Temperature in Myanmar and Thailand. Sustainability 2021, 13, 10942. https://doi.org/10.3390/su131910942
Yaung KL, Chidthaisong A, Limsakul A, Varnakovida P, Nguyen CT. Land Use Land Cover Changes and Their Effects on Surface Air Temperature in Myanmar and Thailand. Sustainability. 2021; 13(19):10942. https://doi.org/10.3390/su131910942
Chicago/Turabian StyleYaung, Khun La, Amnat Chidthaisong, Atsamon Limsakul, Pariwate Varnakovida, and Can Trong Nguyen. 2021. "Land Use Land Cover Changes and Their Effects on Surface Air Temperature in Myanmar and Thailand" Sustainability 13, no. 19: 10942. https://doi.org/10.3390/su131910942
APA StyleYaung, K. L., Chidthaisong, A., Limsakul, A., Varnakovida, P., & Nguyen, C. T. (2021). Land Use Land Cover Changes and Their Effects on Surface Air Temperature in Myanmar and Thailand. Sustainability, 13(19), 10942. https://doi.org/10.3390/su131910942

