Next Article in Journal
Estimating the Circularity Performance of an Emerging Industrial Symbiosis Network: The Case of Recycled Plastic Fibers in Reinforced Concrete
Next Article in Special Issue
Study on the Physical, Chemical and Nano-Microstructure Characteristics of Asphalt Mixed with Recycled Eggshell Waste
Previous Article in Journal
Exploring Indigenous Undergraduate Students’ Experiences within Urban and Institutional Food Environments
Previous Article in Special Issue
Road Performance and Emission Reduction Effect of Graphene/Tourmaline-Composite-Modified Asphalt
 
 
Font Type:
Arial Georgia Verdana
Font Size:
Aa Aa Aa
Line Spacing:
Column Width:
Background:
Article

Effect of Recycled Shell Waste as a Modifier on the High- and Low-Temperature Rheological Properties of Asphalt

1
School of Highway, Chang’an University, Xi’an 710064, China
2
School of Civil Engineering, Xi’an University of Architecture and Technology, Xi’an 710061, China
3
CCCC Second Highway Engineering Bureau Co., Xi’an 031101, China
*
Authors to whom correspondence should be addressed.
Sustainability 2021, 13(18), 10271; https://doi.org/10.3390/su131810271
Submission received: 19 August 2021 / Revised: 10 September 2021 / Accepted: 13 September 2021 / Published: 14 September 2021
(This article belongs to the Special Issue Green Roadways and Management Sustainability)

Abstract

:
The deteriorating ecological environment and the concept of sustainable development have highlighted the importance of waste reuse. This article investigates the performance changes resulting from the incorporation of shellac into asphalt binders. Seashell powder-modified asphalt was prepared with 5%, 10%, and 15% admixture using the high-speed shear method. The microstructure of the seashell powder was observed by scanning electron microscope test (SEM); the physical-phase analysis of the seashell powder was carried out using an X-ray diffraction (XRD) test; the surface characteristics and pore structure of shellac were analyzed by the specific surface area Brunauer-Emmett-Teller (BET) test; and Fourier infrared spectroscopy (FTIR) qualitatively analyzed the composition and changes of functional groups of seashell powder-modified asphalt. The conventional performance index of seashell powder asphalt was analyzed by penetration, softening point, and ductility (5 °C) tests; the effect of seashell powder on asphalt binder was studied using a dynamic shear rheometer (DSR) and bending beam rheometer (BBR) at high and low temperatures, respectively. The results indicate the following: seashell powder is a coarse, porous, and angular CaCO3 bio-material; seashell powder and the asphalt binder represent a stable physical mixture of modified properties; seashell powder improves the consistency, hardness, and high-temperature performance of the asphalt binder but weakens the low-temperature performance of it; seashell powder enhances the elasticity, recovery performance, and permanent deformation resistance of asphalt binders and improves high-temperature rheological properties; finally, seashell powder has a minimal effect on the crack resistance of asphalt binders at very low temperatures. In summary, the use of waste seashells for recycling as bio-modifiers for asphalt binders is a practical approach.

1. Introduction

Asphalt pavement is widely popular among road construction departments in various countries because of its smooth surface, low tire noise, short construction period, and other advantages [1,2]. However, asphalt binder development and asphalt pavement development complement each other [3,4,5,6]. Increasing vehicle loads and deteriorating ambient temperatures cause frequent damage to asphalt pavements [7]. Enhancing rheological properties is an effective way to improve the service life of asphalt pavements and avoid damage. With the development of the concept of environmental sustainability, bio-based organic renewable energy alternatives to fossil fuels have received considerable attention from researchers [8,9]. The development of environmentally friendly bio-asphalt-modified pavement materials is imperative [10].
In recent years, biotechnology and pavement engineering materials have become increasingly closely integrated [11]. Bio-based materials have excellent properties, such as regeneration, low costs, and environmental friendliness [12,13]. Compounding can reduce the amount of asphalt, improve the performance of the material, relieve the dependence of pavement materials on petroleum asphalt, and implement the concept of environmental sustainability [14,15,16]. The main types of bio-modifiers can be divided into two types: bio-oil modification and animal- and plant-based modification. The different bio-based materials can improve or reduce the performance of asphalt binder due to their differences. The conversion of pig manure into bio-oil with the hydro-thermal method was found to weaken the high-temperature stability of materials after replacing the asphalt binder [17]. The preparation of bio-oil by thermal cracking of liquefied pig manure under anaerobic conditions reduces viscosity when used in asphalt modification [18]. Asphalt modifiers prepared from chemical processing of waste gutter oil can make the material prone to rutting [19]. Waste wood bio-oil improves the resistance of asphalt to cracking at low temperatures while making it more susceptible to aging [20]. Bio-oil extraction from wheat straw is achieved via two methods, slow pyrolysis and fast pyrolysis, and it was found that the bio-oil asphalt binder prepared by thermal cracking at 600 °C has the highest ductility, water stability, and low-temperature splitting strength [21]. Asphalt modifiers prepared from waste cooking oil processing enhance the performance of asphalt at low temperatures [22]. Eucalyptus-based bio-oil inhibits the high-temperature properties of asphalt and improves resistance to plastic deformation [23,24]. Bio-oil-modified materials, such as rapeseed oil [25], castor oil [26], and soybean oil [27], can enhance the low-temperature performance of asphalt and reduce the rutting resistance at the same time. These plant and animal bio-oils, when used as renewable resource modifiers, can improve the rheological properties of asphalt materials and reduce the environmental pollution caused by disposal, such as stockpiling and incineration. However, most bio-oil modifiers make asphalt more susceptible to deformation at high temperatures, thereby limiting its application [28].
In addition to bio-oil modification, plant- and animal-based modifiers are also a popular means of asphalt modification. Since the Earth produces large amounts of plant- and animal-based bioenergy each year, disposal of this bioenergy can be economically costly. However, without disposal, there will be serious environmental hazard [29]. Therefore, the use of plant- and animal-based biomaterials in engineering materials can both protect the environment and improve economic efficiency. Crayfish shell powder modifier can increase the hardness of materials to the extent that their high-temperature rheological properties can be improved [30]. Fish scale powder-modified asphalt has a good elastic recovery rate [31]. Lignin fibers have a minimal effect on the viscoelasticity of asphalt [32]. The corn stover modifier increases the hydrocarbon content of the asphalt binder and significantly improves the high-temperature performance [33]. The starchy material can improve the crack resistance of asphalt and fatigue resistance of asphalt materials and has the best overall performance at 12% admixture [34]. Among the various modified materials, animal shell-modified materials have received a lot of attention in recent years. China has vast sea areas and is the world’s first aquaculture country; according to the National Statistics Bureau, the total annual production of shellfish in China has reached more than 15 million tons [35]. Shell meat only accounts for 40% of the total shell mass, and with the rapid development of the shell farming industry, about 9.5 million tons of shells are dumped as waste on beaches or in landfills every year [36]. The shell meat left on the shell can rot very easily, breeding flies and microorganisms, and it also produces a strong odor, causing great pollution to the environment and posing a great threat to human health [37].
Experts and scholars in various fields are actively exploring ways to alleviate the environmental pollution caused by discarded shells. Shells are widely used in the fields of handicraft manufacturing, food and medicine [38], agriculture and animal husbandry, catalysts [39], wastewater treatment composites [40], and biological materials [41] due to their unique structural characteristics. However, tens of thousands of shell scraps are still not recycled due to the limitations of the scale field and other factors. The field of road engineering materials has the characteristics of large consumption and a simple process, making it an ideal area for effective expansion of the reuse of shell waste. Although researchers have conducted numerous studies on the effects of shell waste on the properties of cementitious materials [42,43], there is a lack of exploration of the rheological properties of shellfish waste-modified asphalt. Considering the growing demand for the reuse of shell waste, recycling this material can reduce both environmental pollution and waste disposal costs. Therefore, it is reasonable and valuable to apply it in asphalt pavement materials.

2. Materials and Methods

This paper proposes asphalt modification with seashell powder (SP) based on the principle of recycling of waste resources. In order to investigate the feasibility of shell-modified asphalt, SEM, XRD, and BET were used to analyze the microscopic morphology of seashell powder; FTIR tests were performed to analyze the chemical composition of the shell asphalt binder; DSR and BBR were used to analyze the rheological properties of the materials.

2.1. Experimental Materials

The shells with the largest production in China were selected to be uniformly mixed (bay scallop, goby scallop, and pecten scallop), and ground into waste shell powder with a particle size of 0.125 mm, as shown in Figure 1. The properties of the control material Kramer #70 matrix asphalt are shown in Table 1.

2.2. Sample Preparation

The high-speed shear instrument model FM300 produced by Shanghai Fluke Liquid Machinery Manufacturing Company was used in this study. Amounts of 5%, 10%, and 15% of the seashell powder modifier were added to the asphalt by mass ratio following methods in the literature [17,45]. The test sample preparation process is as follows: an oven is used to maintain the temperature at 135 °C in order to heat the base asphalt for 1 h; it is poured into the container, and an electric furnace (150 ± 5 °C) is immediately used to heat it; it is then mixed with the seashell powder modifier, and this mixture is manually stirred for 10 min; the high-speed shear is used to stir at 2000 r/min for 10 min; finally, stirring is carried out at 3000 r/min for 30 min. After completion, the seashell powder asphalt binder is obtained. The three admixture test samples were determined as 0% SP for the control matrix asphalt, 5% SP for the 5% seashell powder admixture asphalt binder, 10% SP for the 10% seashell powder admixture asphalt binder, and 15% SP for the 15% seashell powder admixture asphalt binder. The material dosage and mixing ratio of each group of specimens are shown in Table 2.

2.3. Seashell Powder Micromechanism

We analyzed the microstructure of seashell powder by SEM, XRD, and BET tests from multiple angles and in all aspects.
For the seashell powder morphological analysis, SEM was used for observations of the material’s microscopic morphological structure. Scanning electron microscopy analysis was performed using a S-4800 (Hitachi) scanning electron microscope, and the seashell powder was sprayed with gold before testing.
For the physical-phase analysis of shell powder, XRD is usually used to qualitatively and quantitatively analyze the elements contained in a substance. The D8 ADVANCE type made by BRUKER AXS of Germany was used to analyze the physical phase of the shell powder.
For the seashell powder pore characteristics, the shell powder sample tubes were placed in a degassing station and degassed under a vacuum at 150 °C for 8 h. The test instrument used was the AUTOSORB-I fully automatic physisorption analyzer manufactured by Quantachrome Instruments Company, Boynton Beach, FL, USA. The test principle of the instrument is the “low-temperature static capacity method”. Seashell powder was used as the adsorbent and N2 as the adsorptive, and the adsorption–desorption tests were carried out separately at a constant temperature of 77.3 K.

2.4. FTIR

FTIR is an important tool for analyzing the structural identification of organic compounds and is widely used in the field of polymer analysis research to characterize the intermolecular interaction forces when materials are blended together [46]. Using the coating method to apply asphalt to ATR crystals for spectrum acquisition, the test range is 400–4000 cm−1, and the number of scans is 32. The instrument model was a TENSOR II spectrometer made by BRUKER.

2.5. Asphalt Base Performance

Penetration, softening point, and ductility are known as the three main indicators of asphalt. Asphalt consistency is measured by the penetration test, indicating the degree of hardness and softness of asphalt at a certain temperature, the smaller the penetration, the greater the hardness of asphalt, and the higher the consistency. Before the test, we set the thermostatic sink to 25 °C, we poured more than the expected penetration value of 10 mm asphalt samples in the sample dish and covered them, left them for room temperature cooling 2 h, and before the penetration test, the sample will be moved into the constant temperature water tank for holding time of 2 h. The softening point is the critical temperature of the binder material from the viscoplastic state to the viscous flow state with the same conditions. The softening point is an evaluation index that can be used to characterize the stability of asphalt at high temperatures. Before the test is equipped with the test ring, a sample base plate, bracket, steel ball, and positioning ring are placed in 5 °C ± 0.5 °C thermostatic water tank for 20 min. After installation, the thermometer temperature measurement head and the lower part of the sample ring flush, and the softening point test is conducted when the water temperature control is at 5 °C ± 0.5 °C per minute rise. Ductility (5 °C) is an index that can be used to evaluate the plasticity of asphalt, which can characterize its ductility at the test temperature. This is essential due to the deformation capacity of the asphalt chemical components’ gel group, mutual dislocation between molecules, and the sliding ability caused by the decline. We test this capacity before the inner surface of the test mold is coated with the isolating agent, the asphalt specimen is slowly and evenly injected, and left for room temperature cooling for 2 h after scraping with a hot scraper to remove the asphalt higher than the test mold; the test mold is placed into the 5 °C water tank for insulation for 1.5 h after the ductility (5 °C) test. The test reference specification is JTG E20–2011.

2.6. Dynamic Shear Rheometer

Dynamic shear rheometer (DSR) applies stress/strain to the specimen by oscillatory modulus to obtain the material response for different frequencies, temperatures, and times. In this paper, the high-temperature rheological properties of asphalt binder were systematically investigated by temperature sweep, frequency sweep, high-temperature PG classification, and Multiple Stress Creep Recovery (MSCR) tests. Before the test, the asphalt specimens were heated to the flow state and mixed manually at a uniform speed for 10 min, poured in the test mold, and then removed and placed on the test plate of DSR apparatus after the asphalt had cooled, and the test specimens were squeezed by moving the test plate and trimmed with a scraper for excess asphalt around the test specimens, as shown in Figure 2. The instrument used is a DHR-1 hybrid rheometer produced by US TA.

2.6.1. Temperature Sweep and Frequency Sweep

Asphalt is a typical viscoelastic rheological material. The evaluation of asphalt materials with three indicators alone is not comprehensive. Therefore, the US SHRP program uses a DSR to apply small-amplitude sinusoidal alternating stresses (strains) to asphalt materials at specific loading frequencies or temperatures to determine asphalt viscoelastic parameters under dynamic shear conditions: complex shear modulus |G*|, phase angle δ, and rutting factor |G*|/sinδ are evaluated for the fatigue performance of asphalt at high/medium-temperature conditions [47]. The DSR is a flat-plate rheometer where the asphalt is placed between shear parallel metal plates, and the specimen is shear loaded by rotating the plates. The temperature sweep was carried out using the 1.5% strain-controlled mode. The temperature range is 40~70 °C, with 6 °C as the interval. The test frequency is 10 rad/s. The heating speed is 1.5 °C/min. Four groups of asphalt binders, |G*|, δ, and |G*|/sinδ, were measured. A frequency sweep was carried out using a 1.5% strain dynamic shear load, and the frequencies ranged from 0.1 rad/s to ~100 rad/s. Frequency sweep can reflect the real situation of a vehicle driving on the road at different speeds, 0.1 rad/s for 10 km/h and 100 rad/s for 140 km/h. The TS and FS tests have the reference specification JTG E20–2011.

2.6.2. PG Grade (High Temperature)

According to the Superpave evaluation method in the U.S. Strategic Highway Research Program (SHRP) program, the high-temperature PG grade is used to indicate the applicable range of design temperatures under high-temperature conditions. AASHTO M320–03 classifies asphalt into seven high-temperature grades at intervals of 6 °C-PG46-PG82. DSR is used to establish high-temperature failure for asphalt according to the criteria for PG grading in the SHRP. The test strain level is 12%, and the sweep temperatures are 58 °C, 64 °C, 70 °C, 76 °C, and 82 °C. The asphalt |G*|/sinδ is calculated at different temperatures, and the high-temperature grade is determined based on the principle that |G*|/sinδ is greater than 1.0 kPa.

2.6.3. Multiple Stress Creep Recovery (MSCR)

The SHRP program study identified the use of rutting factor |G*|/sinδ to study changes in asphalt at high-temperature conditions, but the delayed elasticity of the modified asphalt differs significantly from that of the matrix asphalt, resulting in some deviation in the rheological properties between the two [48]. Moreover, during the loading process of dynamic shear test, the stresses (strains) are all in continuous mode, and the results presented are cyclically varied, significantly deviating from the intermittent vehicle loading pattern of the real pavement. The rutting factor |G*|/sinδ only separates the elastic and viscous parts of the asphalt binder and does not consider the delayed elastic deformation and recovery ability, so the applicability of this index to modified asphalt is controversial. Therefore, the experts proposed to evaluate the modified asphalt by MSCR tests. The load–unload mode of the test is stress controlled, with two stresses of 0.1 kPa and 3.2 kPa applied to the asphalt specimens and with 20 cycles of 0.1 kPa and 10 cycles of 3.2 kPa, each stress cycle being 1 s for loading and 9 s for unloading. The deformation caused by the loading of the specimen is recovered during unloading, and the unrecoverable deformation is accumulated during the next loading stage so that it can simulate the vehicle load more realistically. The test refers to AASHTO T 350–19.

2.7. Bending Beam Rheology

Ductility (5 °C) only determines the low-temperature plastic deformation capacity of asphalt materials and cannot quantitatively evaluate the low-temperature cracking of pavements. SHRP plans to determine the stiffness of asphalt beams by simulating the accumulated stresses from temperature reduction by using creep loading with a BBR. The calculated creep modulus S and creep rate m are key indicators when evaluating the low-temperature rheology of asphalt. S indicates the load resisting capacity of asphalt, while m indicates the slope of the stiffness of asphalt beams with time, which can reflect the relaxation performance of asphalt. Before the test, the inner surface of the metal mold is coated with petroleum-based grease and tied firmly with a rubber ring, and the mold is poured with the specimen asphalt heated to a flowing state, cooled at room temperature for 1 h, and then cut flat with a scraper above the upper part of the mold asphalt sample. The mold was placed in a water bath at −5 °C for 10 min and then removed for testing. The instrument model is the TE-BBR-type rheometer made in the United States. The reader is referred to the method of asphalt bending and the creep stiffness test in JTG E20–2011.

3. Results and Analysis

3.1. Seashell Powder Micromechanism

3.1.1. Seashell Powder Microscopic Morphology

The microscopic morphology of the seashell powder was then observed, as shown in Figure 3.
Observing Figure 3, it can be noted that the broken surface of shell powder is rough and angular. A large number of open pores can be seen in some of the particles. It is generally considered that the more angles a material has and the more broken surfaces, the rougher the material and the stronger the adhesion. The open pores further increase the contact area between the asphalt and the material, providing more adsorption sites for the asphalt. A considerable number of calcium ions and other high-valence cations were observed to be contained in the seashell powder. During physics adsorption with asphalt, it is easy to produce a stable adsorption layer, thereby enhancing the stability of the adhesion between the particles and asphalt.

3.1.2. Seashell Powder and Limestone Powder Composition Analysis

The results of XRD analysis of the shell powder and limestone powder are shown in Figure 4.
Figure 4 shows that two different types of CaCO3 crystals, a small amount of quartz SiO2, and impurities are all present in seashell powder. The CaCO3 crystals are calcite crystals and aragonite crystals. The quantitative analysis using MDI JADE 6.5 found that aragonite CaCO3 accounted for 54.7%, calcite CaCO3 accounted for 23.5%, quartz SiO2 accounted for 15.8, and impurities accounted for 6% of the seashell powder. The two crystalline types of CaCO3 account for about 80% of the total. The main component of limestone powder is CaCO3 calcite crystal, and the content of CaCO3 reaches more than 90%. This suggests that the components of seashell powder particles are close to those of limestone, which is used in large quantities in asphalt materials and it is a common material to improve the performance of asphalt.

3.1.3. Seashell Powder Pore Structure

The measured adsorption–desorption process is shown in Figure 5, and the pore size distribution is shown in Figure 6.
Figure 5 shows the adsorption–desorption process of the sample. The adsorption–desorption isotherm can reflect the information of the surface properties and pore structure of the adsorbent. The isotherms belong to Langmuir IV type according to the IUPAC classification, and this isotherm is typical of mesoporous materials. The phenomenon of non-reconnection of curves in the process of absorption and desorption of seashell powder occurs, and according to the comparison, the material is found to have H3-type hysteresis loop. The H3-type hysteresis loop pore structure is characterized by a conical tube, wedge-shaped structure, and does not exhibit adsorption saturation in the higher relative pressure region.
Figure 6 shows the pore size distribution of the desorption of seashell powder by the Barrett–Joyner–Halenda (BJH) method. The Y-axis can indicate the number of pores, so the pore size distribution of seashell powder is mainly concentrated in 3–56 nm. It indicates that the seashell powder is mainly based on mesopores, and partially based on micropores, which is consistent with the results of the N2 adsorption–desorption isotherm of seashell powder. The “false peak” appears at 3.8 nm of the desorption pore size distribution curve, and the “false peak” is generally caused by the connectivity of pore channels inside the material, the diversity of pore types, and the dispersibility of aperture. Chen Hongwei found that the original limestone was basically a less porous structure. However, after being calcined at 900 °C, the CaCO3 in limestone was gradually transformed into CaO, and with the increase of calcination time, the number of mesopores of limestone increased sharply. Finally, when the calcination time comes to 6.5 min, the limestone pore distribution became dense and the pore size data was concentratedly distributed in 10–70 nm [49]. BET tests showed that seashell powder particles are mesoporous materials with an adsorption capacity between pristine limestone and calcined limestone, and they possess the characteristics of good thermal stability and water stability of mesoporous materials [50].
Through doing structure analysis, morphology analysis, and physical analysis of the pores of seashell powder, it was found that the combination of seashell powder and asphalt can form asphalt binder with excellent performance. Therefore, this paper further investigates the performance variation of seashell powder asphalt binders.

3.2. FTIR

Figure 7 shows the infrared spectra of the samples of each admixture group.
The chemical composition of the seashell asphalt binder was analyzed by FTIR to evaluate the action of the seashell asphalt modifier. In Figure 7, 2930 cm−1 and 2850 cm−1 are the stretching vibrations of saturated C-H bonds. The C=C absorption peak is at 1600 cm−1. These peaks increase with the increase in the seashell powder admixture in the four groups of asphalt binders, and the macroscopic expression shows that the elasticity of seashell powder asphalt binders increases with the increase in the admixture. In addition, 1460 cm−1 and 1375 cm−1 are deformation vibrations of aliphatic C-H bonds. The absorption peaks 861 cm−1, 808 cm−1, 746 cm−1, and 726 cm−1 are located in the fingerprint region and are caused by the bending vibration of the C-H bond. It indicates that the CO3−2 in seashell powder increases the absorption peak in the fingerprint region. In summary, as the main characteristic peaks of the FTIR of the control asphalt binder are basically similar to those of each admixture group, without generating new absorption peaks, indicating that the modification of the matrix asphalt by seashell powder is a physical modification based on physical admixture.

3.3. Base Performance of Asphalt Binders with Different Seashell Powder Admixtures

Figure 8 displays the basic physical properties of various asphalt binders. The increase in the seashell powder admixture leads to a reduction in penetration and ductility and an increase in the softening point of the asphalt binder. The penetration of the 5% SP and 10% SP admixture groups decreased by 19% and 23%, and the ductility decreased by 7% and 15%, respectively. Compared to 0% SP, the penetration and ductility further decreased with the addition of various doping amounts, and the penetration of the 15% SP admixture group was 49.8 (0.01 m) and its ductility was 61 mm. The softening points of the 5% SP and 10% SP admixture groups increased by 2 °C and 3.5 °C, respectively, and further increased with seashell powder content. The softening points of the 15% SP admixture group increased by 10% compared with that of the control group of 0% SP. The results show that the used seashell powder affects the performance of the matrix asphalt. The decrease in penetration of the asphalt binder indicates increased hardness, and the increase in the softening point indicates more stability at high temperatures. Meanwhile, the ductility and flexibility of asphalt mixed with seashell powder decreased. The decrease in penetration indicates that the asphalt binder is stiff, which is due to the uniform distribution of seashell powder particles in the asphalt material. The asphalt wrapped with aggregate particles to form asphalt glomerates, which produced collision friction between the glomerates, thus improving the cohesion of asphalt. Seashell powder particles have the characteristics of high stiffness, rough surface, and a considerable number of pores, which can increase the adhesion between asphalt and particles. The softening point increases due to the stiffening of the asphalt binder, on the one hand, and, on the other hand, it increases because the holes in the seashell powder are closed-type holes and the contact surface between the asphalt and the shell powder is embedded in the holes and irregular depression areas. The air inside the embedded area does not exchange heat with the outside air, and the seashell powder contains a large amount of calcium carbonate, which has a much lower thermal conductivity than that of asphalt materials. With constant heating power over the course of the tests, lower thermal conductivity results in a slower temperature increase in the asphalt binder, which leads to an increase in the softening point of the measured asphalt binder. The decrease in ductility (5 °C) is due to the stress concentration caused by the seashell particles incorporated under the test tensile action and the tendency to create a weak surface between the seashell and the asphalt, which leads to the fracture of the asphalt binder.

3.4. Temperature Sweep Test

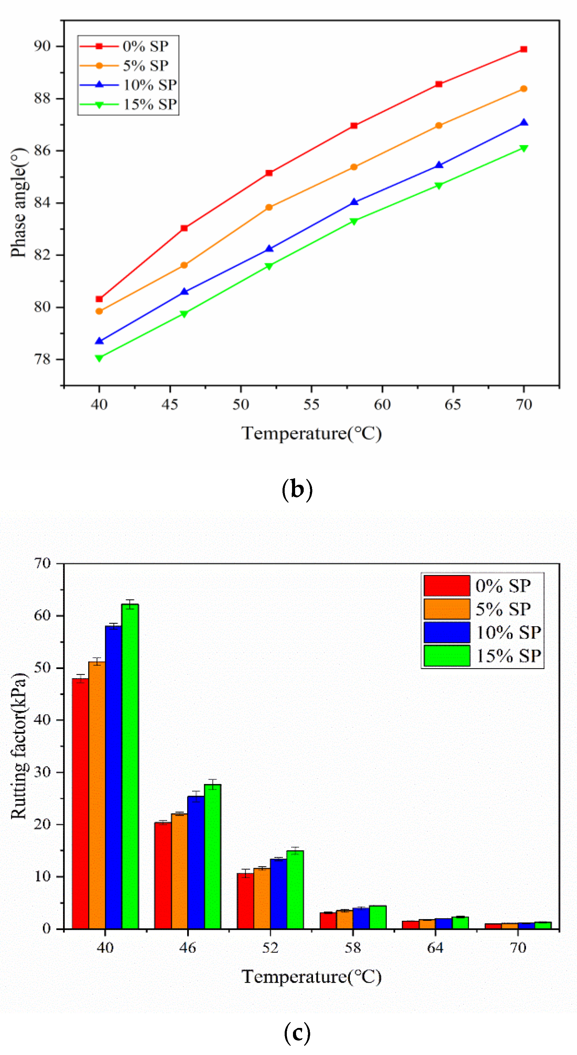
Figure 9 shows the evaluation of the rheological properties of four groups of shellac-doped asphalt binders at different temperatures.
Figure 9 shows that with the increase in the seashell powder admixture, the |G*| of each group of asphalt binder showed an increasing trend, while the δ gradually decreased. It can be observed that the incorporation of seashell powder can keep the material well stabilized at high temperatures. This is because the mixture of seashell powder in the asphalt improves the density of the binder, thereby making the binder harder. Meanwhile, the δ of the asphalt binder at the same temperature decreased with the increase in the amount of seashell powder. The decrease in the amount of admixture group δ compared to that in the control group δ occurred at an interval of 40–64 °C. The reductions in 5% SP, 10% SP, 15% SP, and 0% SP compared to that in δ at 64 °C were 1.58°, 3.11°, and 3.86°, respectively, representing the largest reductions. At 70 °C, the reductions in the admixture group δ and the control group δ were 1.51°, 2.82°, and 3.77° for 5% SP, 10% SP, 15% SP, and 0% SP, respectively, compared to that in δ. The δ of the control group (0% SP at 70 °C) reached 89.89°, which is due to the reduction of asphalt binder elastic components at high temperatures, a large number of elastic components that transformed into viscous components, and the material changed from viscoelastic state to viscofluid state, almost losing resilience after deformation. The increase in δ of the control asphalt binder decreased as δ increased and neared the maximum value of 90°. However, seashell powder particles in the asphalt binder produced high adsorption and flow resistance. The porous and rough surface structure of the seashell powder improved the effect of physical adsorption and enhanced flow resistance. Thus, the properties of the asphalt binder were enhanced. The result was an elastic recovery that did not reach its limit, and δ continued to increase. Therefore, the control group δ and the admixture group δ exhibited a reduction in the difference at 70 °C. Moreover, the |G*| of the asphalt binder at the same temperature increased with the increase in the seashell powder mixture. In the range of 40 °C to 70 °C, 5% SP increased by 6.78%, 8.4%, 9.2%, 11.98%, 16.29%, and 10.25% compared with 0% SP |G*| in the control group; 10% SP increased by 20.9%, 24.77%, 26.02%, 27.86%, 33.05%, and 20.47% compared with 0% SP |G*| in the control group; and 15% SP increased by 29.69%, 35.96%, 41.07%, 42.11%, 51.33%, and 33.79% compared with 0% SP |G*| in the control group. This is because with the internal asphalt binder, the more seashell powder admixed with asphalt-wrapped particles to form more gel clusters, the higher the probability of collision of gel clusters under the action of load, thus offsetting part of the external load, reducing the deformation of the asphalt binder, indirectly improving the elasticity of the asphalt binder, and enhancing the ability of the asphalt binder to withstand perpetual deformation at high temperatures. Therefore, at high-temperature conditions, the more seashell powder is mixed, the larger the |G*| of the asphalt binder. When the test temperature is 40–64 °C, the |G*| of each group of seashell powder asphalt binder gradually increases compared with the |G*| of the control group, while the increment of |G*| of each group of seashell powder asphalt binder decreases at 70 °C, which is because the higher temperature causes the asphalt to change from viscoelastic state to viscous state, and the asphalt gel mass wrapped around the particles turns into a flowing state, resulting in a decrease of the gel mass area, a reduced probability of collision under the action of load, and a lower force to offset the external. Therefore, the role of seashell powder in improving the resistance of the asphalt bonding layer to permanent deformation decreases at 70 °C.
At a similar amount, the δ of each group of asphalt binders increases with the rise in temperature, which indicates that the flexible part of the asphalt binder gradually becomes more viscous. The 15% SP admixture group presented the smallest change in δ, which increased from 78.07° at 40 °C to 86.12° at 70 °C, an improvement of 10%. Moreover, the 0% SP control group had the largest change in δ, which increased from 80.31° at 40 °C to 89.89° at 70 °C, an improvement of 12%. The magnitude of the δ variation in the asphalt material decreased with an increasing amount of seashell powder admixture. This indicates that the higher the amount of seashell powder admixture in this temperature interval, the lower the sensitivity of the asphalt binder to high temperatures. With the rise in temperature, the |G*| of each group of asphalt binders at different temperatures decreased and increased with the amount of mixed seashell powder; the decline in |G*| of the asphalt binder at each temperature did not change. The average decrease in |G*| for 0% SP was 56.67% with the 6 °C temperature interval; the average decrease in |G*| for 5% SP was 56.55% with the 6 °C temperature interval; the average decrease in |G*| for 10% SP was 55.9% with the 6 °C temperature interval; and the average decrease in |G*| for 15% SP was 56.21% with the 6 °C temperature interval. This indicates that, although seashell powder can improve the maximum asphalt binder |G*| at different temperatures, it cannot change the degree of deterioration of the material properties due to an increase in temperature.
Since the resistance of the asphalt binder during deformation is affected by |G*| and δ, the U.S. SHPR specification considers the rheological performance of asphalt materials to lack rigor on the basis of simply comparing |G*| and δ. The rutting factor |G*|/sinδ should be used as the evaluation standard of asphalt rheological performance. When |G*|/sinδ is lower than 1.0 kPa, it means that the asphalt has not reached a graded standard. Figure 9 shows that the |G*|/sinδ of each group of asphalt binders was affected by the temperature, and the |G*|/sinδ of each group of asphalt binders decreased rapidly with the rise in temperature. At the same temperature in the interval of 40–70 °C, |G*|/sinδ was higher in all admixture groups compared to |G*|/sinδ in the control group. Compared to the control group, 5% SP |G*|/sinδ improved by 4.21%, 6.11%, 7.77%, 8.76%, 9.62%, and 7.04%; 10% SP |G*|/sinδ improved by 12.99%, 14.48%, 12.38%, 15%, 17.68%, and 21.54; and 15% SP |G*|/sinδ improved by 23.67%, 38.2%, 39.26%, 42.11%, 44.64%, and 33.79%. The test results show that the higher the amount of mixed seashell powder, the higher the |G*|/sinδ of the asphalt binder. This is because the more seashell powder mixed, the more wrapping gel clusters are formed in the asphalt material and the higher the frequency of the force between the clusters, Therefore, the viscous flow of the asphalt binder deteriorates as the temperature increases. This indicates that the seashell asphalt binder has better elastic properties even at elevated temperatures and is not easily deformed by flow, while its ability to resist permanent deformation by rutting is also enhanced. When the test temperature is higher than 64 °C, the elastic component of the asphalt binder decreases and the mobility becomes larger, and the force formed by the original asphalt-wrapped particles and the elastic component decreases when it is loaded; so, when the temperature is higher than 64 °C, the |G*|/sin increment of the binder of seashell powder decreases. It also shows that the effect of seashell powder particles to improve the ability of asphalt binder to resist permanent deformation is most significant when the asphalt binder is viscoelastic, and the improvement effect is significantly reduced at the low-temperature elastic state and high-temperature viscous state.
The analysis of δ, |G*|, and |G*|/sinδ for various admixture groups of the asphalt binder indicates that adding seashell powder to asphalt significantly improves rebound stability and permanent deformation resistance, with the most significant enhancement at 64 °C.

3.5. Frequency Sweep

A frequency sweep was carried out using a 1.5% strain dynamic shear load, and the frequencies ranged from 0.1 rad/s to ~100 rad/s. Frequency sweep can reflect the real situation of a vehicle driving on the road at different speeds, 0.1 rad/s for 10 km/h and 100 rad/s for 140 km/h. Four groups of asphalt binder frequency sweeps’ |G*|/sinδ at different temperatures are shown in Figure 10.
Figure 10 shows that the addition of seashell powder can enhance the asphalt modulus, and the |G*|/ sinδ of each admixture of asphalt binder increased with the increase in the test frequency. Such phenomena indicate that the asphalt binder showed more elastic performance as the test frequency increased, leading to a gradual hardening of the material. In the low-frequency region, the asphalt binder showed higher viscosity. This could explain why rutting disease is often found on longitudinal slope road sections. The faster the vehicle speed, the shorter the load action time, the greater the elasticity of asphalt, and the better the rutting resistance. The slower the vehicle travels, the longer the load is applied, the greater the viscosity of the asphalt, and the higher the possibility of rutting. In the range of 58–70 °C, the higher the amount of seashell powder admixture at the same temperature, the greater the asphalt binder |G*|/ sinδ, and with the increase in frequency, the higher the increase rate of |G*|/sinδ, the greater the amount of admixture of the seashell powder. This indicates that the greater the amount of admixture, the smaller the shear deformation of the asphalt binder. Therefore, in low-temperature conditions, the elastic part of the asphalt binder increases, resulting in less material flow, and the admixture of the seashell powder can improve the adsorption and flow blocking ability of the asphalt material, resulting in a higher hardness of the asphalt binder. As a result, the seashell powder-modified material can enhance the performance of the asphalt binder at high temperatures.

3.6. High-Temperature PG Grade

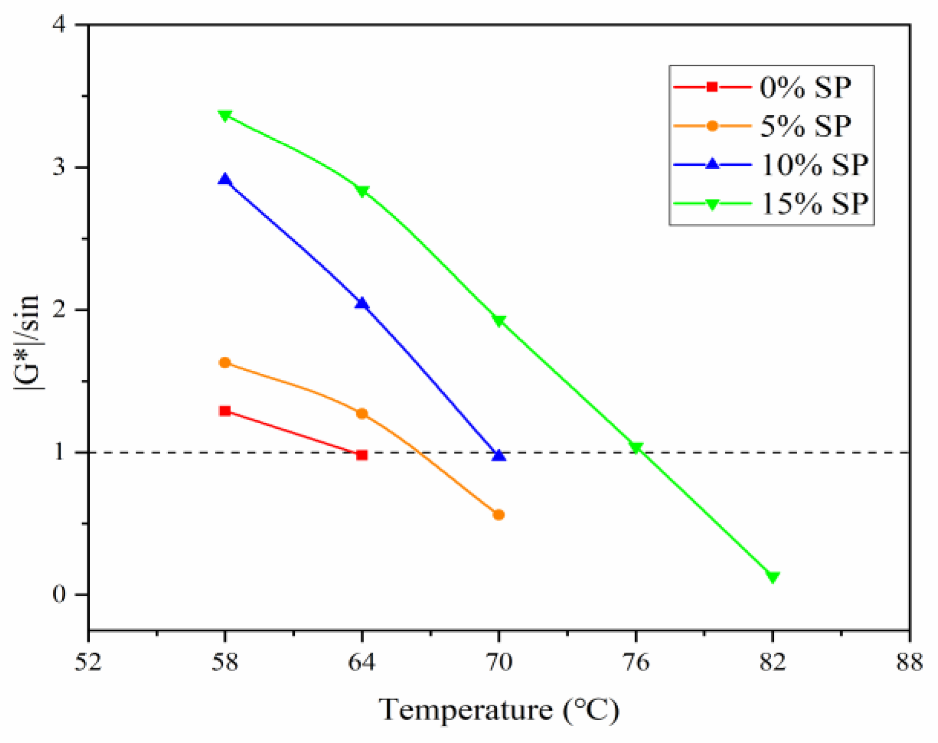
Figure 11 summarizes the PG grades (high temperature) of asphalt binders.
Figure 11 shows that the |G*|/sinδ of the asphalt binder in each admixture group was significantly higher than that of the control group; the higher the admixture of seashell powder, the higher the PG grade (high temperature) of the asphalt binder. However, the PG grade of both the 5% SP admixture and 10% SP admixture groups was determined to be 64 °C, but their high-temperature PG critical temperatures were different, and the high-temperature PG critical temperature of 10% SP could reach 68.8 °C. The high-temperature critical temperature of the 5% SP, 10% SP, and 15% SP admixture groups increased by 3.14%, 8.01%, and 20.25%, respectively, compared with that of the control group. The harder the asphalt bond at the same temperature, the stronger the ability to resist permanent deformation, so the increase in the amount of seashell powder will improve the high-temperature PG grade of the asphalt binder.

3.7. Multiple Stress Creep Recovery (MSCR)

The PG grade is indicated; the high-temperature grade for the 5% SP and 10% SP admixture groups is PG64. The high-temperature rating of PG76 is for 15% SP. Thus, the test temperature of MSCR was set to 64 °C. Figure 12 shows the results of the MSCR test for each group. Figure 13 indicates the creep recovery results for each group of asphalt at 0.1 kPa and 3.2 kPa. The asphalt binder deformation at 3.2 kPa was greater than 0.1 kPa for each group. This indicates that the greater the load, the greater the pavement deformation in the actual vehicle-driving process. Moreover, the control asphalt strains were greater than the strains of the incorporated asphalt in both shear stresses, indicating that seashell powder can significantly improve the deformation resistance of the matrix asphalt.
The non-recoverable creep flexibility Jnr and recovery rate R of the four groups of asphalt binders are shown in Figure 13, with Jnr and R indicating the rutting deformation and elastic component of the material, respectively. When evaluating the rutting resistance and elasticity of asphalt, low Jnr and high R are the preferable principles. Figure 13 shows that seashell powder mixed with matrix asphalt decreases the Jnr of matrix asphalt at both stress levels, which indicates that seashell powder can improve the rutting resistance of asphalt materials. With the increase in seashell powder admixture, Jnr showed a decreasing trend, indicating that the deformation of binder reduced with the increase in the admixture of the seashell powder.
Meanwhile, the R values of different stresses rise with the increase in the seashell powder admixture, which indicates that the shell powder-modified material improves the elastic recovery of the matrix asphalt. This is because seashell powder raises the critical temperature of softening of the asphalt material. When the temperature is the same, the higher the amount of seashell powder admixture, the more elastic the components inside the asphalt binder. Moreover, stronger elastic capacity leads to a higher creep recovery rate of the matrix asphalt.

3.8. Bending Beam Rheology Test

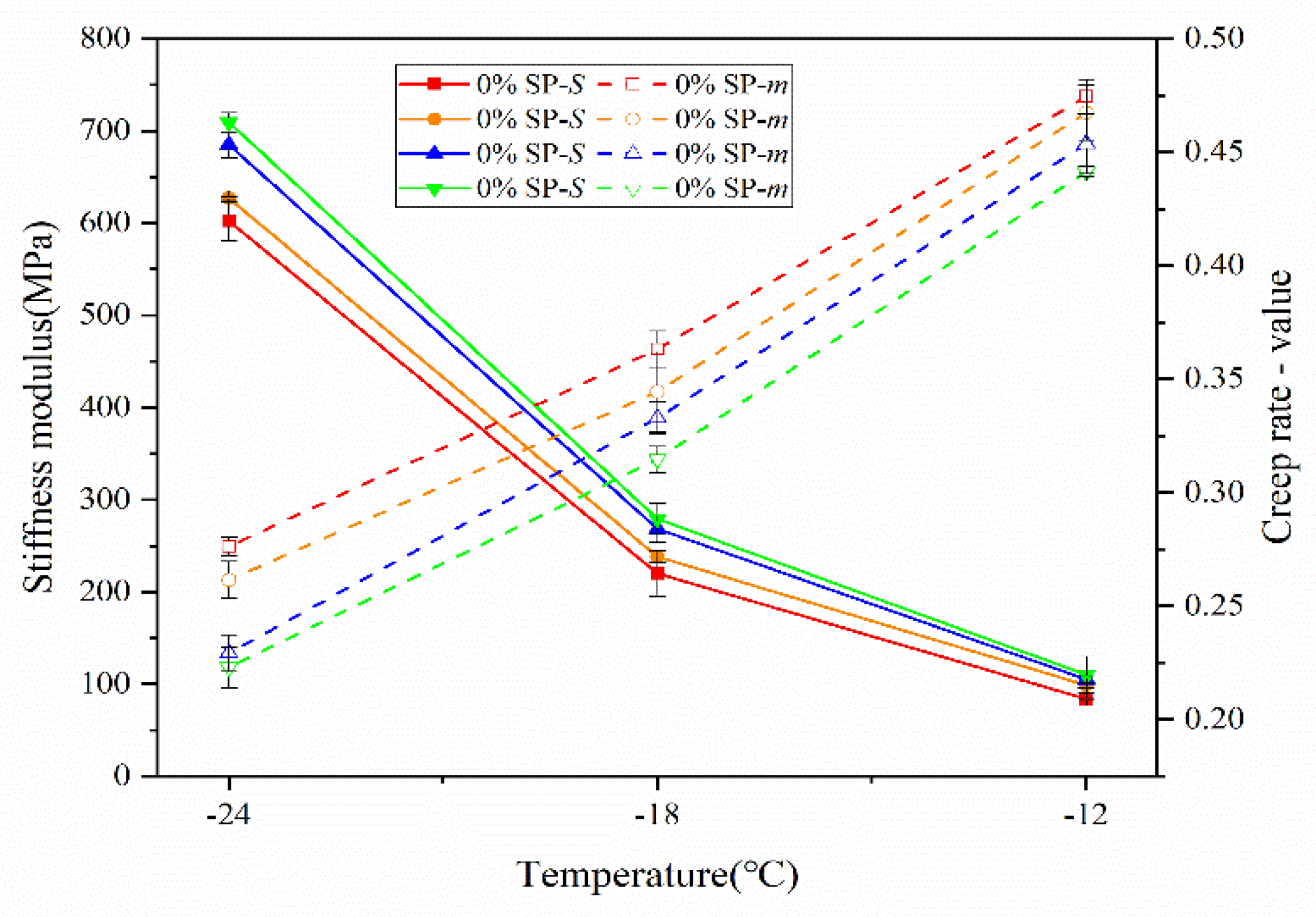
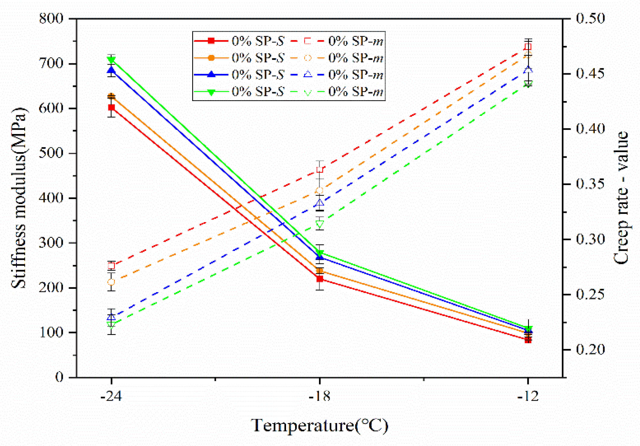
Regarding the rheological properties of the asphalt, the viscoelastic index can better reflect the fracture characteristics of modified asphalt than the conventional index can. The bending beam rheology test (BBR) measured the bending creep stiffness S and creep rate m of the 60 s specimen. The U.S. SHRP specifications for asphalt materials, S ≤ 300 MPa and m ≥ 0.3, are considered to meet the use requirements at this temperature. The S and m of each group of asphalt binder are shown in Figure 14.
Figure 14 shows that the S of the asphalt binder at the same temperature rises with the increase in the seashell powder admixture. This shows that seashell powder changes the low-temperature property of the material, and the crack resistance continues to decrease with increasing admixture amounts. S of the asphalt binder significantly rises at each temperature in an admixture of 10%. With the same amount of seashell powder, as the temperature decreases, the creep strength S of each group of asphalt binders increases, indicating that the decreases in temperature lead to the low-temperature cracking resistance of asphalt binder becoming worse. Moreover, with the increase in the seashell powder admixture, the low-temperature cracking also gradually increases. Adding seashell powder to asphalt can reduce the low-temperature performance of the material.
The m of the asphalt binder containing the same amount of seashell powder decreases as the temperature decreases, which indicates that the material becomes brittle due to a temperature decrease and is prone to low-temperature cracking. At the same temperature, m gradually decreases as the amount of seashell powder admixture increases, and the decreasing trend is most obvious at −18 °C, which indicates that the lower the temperature, the more serious the phenomenon of low-temperature cracking caused by seashell powder particles. The difference in the creep rate m of the asphalt binder gradually decreases at −24 °C for each group, indicating that the effect of the seashell powder is attenuated by too low of a temperature. The analysis of S and m of each group of asphalt binders demonstrated that the low-temperature grade of all four groups of materials was −18 °C.
Research shows that the m/S ratio at 60 s of the BBR test can accurately reflect the advantages and disadvantages of the low-temperature performance of the material; the larger the m/S ratio, the better the material resistance to cracking at low temperatures [51]. In order to further determine the relationship between the seashell powder admixture and the performance of asphalt at low temperatures, the low-temperature index m/S of each group of asphalt binders was compared, as shown in Figure 15.
Figure 15 shows that the m/S ratio of each group of asphalt binders decreases as the temperature decreases and the magnitude gradually reduces. The cracking resistance of the asphalt binder decreases with the increase in the seashell powder admixture from −12 °C to −18 °C. Moreover, the cracking resistance of each group of asphalt binders differs the most at −12 °C; when the temperature reaches −24 °C, the performance of each group of materials is basically the same. This suggests that the effect of seashell powder on asphalt cracking resistance at very low temperatures is reduced, indicating that the viscosity of asphalt gradually decreases at low temperatures, and the adhesion with seashell powder decreases due to cracks inside the material. Furthermore, the contact surface of asphalt and seashell powder pores and depressions also form a weak surface that is easy to fracture due to uneven force, which reduces the strength of asphalt. With the further decrease in temperature, seashell powder and asphalt closely freeze; the freezing force replaces part of the effect caused by the contact weak surface; thus, at very low temperatures, the lower-temperature cracking resistance differences in different admixture groups of asphalt binders are basically the same.

4. Discussion

Based on the environmental problems caused by seashell powder waste, this study establishes a bridge between road engineering and biological waste, improving the performance of asphalt materials and protecting the environment while reducing the cost of construction and achieving the best use of resources for sustainable development. Figure 16 compares the relative performance of needle penetration, softening point, ductility, phase angle, m/S, irrecoverable creep flexibility, and recovery rate for each group of asphalt binder. We ranked the results of each test from 0% to 100%, coming to higher values for better asphalt binder performance, to show the relative performance of each asphalt binder.
From Figure 16, it is found that the high-temperature performance of each group of asphalt binder is better than that of the matrix asphalt, where the higher the amount of seashell powder doping, the higher the hardness of the asphalt binder; the high-temperature performance of the material increases with the increase of the amount of shell powder doping, indicating that the shell powder can significantly improve the permanent deformation resistance of the asphalt binder. However, it also affects the low-temperature performance of the material, causing a decrease in the crack resistance of the asphalt binder. It indicates that, with the increase of seashell powder dosing, the high-temperature rheological properties will increase and the low-temperature rheological properties of asphalt binder will decrease.
The three main aspects of asphalt modification for biomaterials are plant-based modification, bio-oil modification, and bio-shell modification [52]. Generally, plant-based modified and bio-shell modified materials can increase the hardness of asphalt binders and improve high-temperature stability, and bio-oil-based modified materials will improve the low-temperature performance of asphalt. In this study, the feasibility of using seashell powder as a modified material was firstly determined by the microstructure, morphology, pore space, and other characteristics of shell powder; then, we used the three base physical properties of penetration, softening point, and ductility to initially evaluate the performance changes of shell powder asphalt binder; as shell powder usually improves the high-temperature performance of asphalt binder, the high-temperature rheological performance of the test material was studied by dynamic shear rheometer. Finally, we conducted the BBR test for determining whether the low-temperature performance of the test material will decrease.

5. Conclusions

This article explores the possibility of using seashell powder to prepare bio-asphalt binders. The microscopic properties, modification mechanism, and rheological properties of seashell powder asphalt binder were studied, and the following main conclusions were obtained based on the results of the study:
(1)
The seashell powder asphalt modifier is a biological modifier with CaCO3 as the main constituent, sharp edges, a rough surface, and a large amount of open pores, with excellent asphalt adsorption capacity. The seashell powder asphalt binder does not generate new chemical groups when compared to the functional groups of the matrix asphalt and is achieved via a physical co-blending modification process.
(2)
With the increasing amount of seashell powder admixture, the conventional performance index of the asphalt binder significantly changed. The penetration and ductility decreased, and the softening point increased, indicating that the seashell powder modifier can enhance the stiffness and thermal stability of asphalt, but the plastic deformation ability will worsen.
(3)
Temperature sweep test and frequency sweep test results show that seashell powder improves the high-temperature deformation resistance of the asphalt binder, reduces the temperature sensitivity, and improves the rutting resistance of binder; moreover, the higher the amount of seashell powder, the better the stability of the asphalt material at high temperatures.
(4)
The MSCR test results show that the more seashell powder is mixed, the larger the decrease and increase in Jnr of the asphalt binder and R, respectively, indicating that the seashell powder asphalt binder has good elastic recovery ability.
(5)
The BBR test demonstrated that oyster shell powder increases the S and decreases the m of asphalt binders, indicating that shell powder weakens the tenacity and low-temperature crack resistance of the asphalt binder.
In summary, the addition of seashell powder to the 70# asphalt binder is beneficial to the high-temperature performance of the material. Meanwhile, considering the environmental concept of sustainable development, this study provides new waste reuse ideas and broadens the methods by which shell waste can be reused, thereby reducing environmental pollution and improving economic benefits.

Author Contributions

The article was co-authored by six authors. Conceptualization, Y.G. and G.J.; methodology, Y.G. and G.J.; software, G.J. and Y.Z.; validation, Y.G. and X.W. formal analysis, Y.G., H.S. and Y.Z. investigation, Y.L. and H.S.; resources, Y.G.; data curation, Y.G. and G.J.; writing—original draft preparation, Y.G. writing—review and editing Y.G., G.J. and Y.Z. visualization, X.W.; supervision, X.W.; project administration, Y.G. and X.W.; All authors have read and agreed to the published version of the manuscript.

Funding

This research received no external funding.

Institutional Review Board Statement

Not applicable.

Informed Consent Statement

Not applicable.

Data Availability Statement

Data available on request due to restrictions eg privacy or ethical.

Conflicts of Interest

The authors declare no conflict of interest.

References

  1. Wei, J.; Xiao, J.; Yuan, D.; Lu, H.; Xu, S. Design and experiment of thermoelectric asphalt pavements with power-generation and temperature-reduction functions. Energy Build. 2018, 169, 39–47. [Google Scholar]
  2. Jiang, W.; Yuan, D.D.; Shan, J.H.; Ye, W.L.; Lu, H.H.; Sha, A.M. Experimental study of the performance of porous ultra-thin asphalt overlay. Int. J. Pavement Eng. 2020, 13. [Google Scholar] [CrossRef]
  3. Luo, Y.F.; Zhang, Z.Q.; Zhang, K.; Yang, B.; Yang, J.H. Test evaluation on vibration reduction effect of compacted stone mastic asphalt mixture. J. Mater. Civ. Eng. 2021, 33, 8. [Google Scholar] [CrossRef]
  4. Qiu, X.; Xu, J.X.; Xu, W.Y.; Yang, Q.; Wang, F.; Yuan, J. Diagnosis of damage evolution process for asphalt mixtures using pattern recognition with acoustic emission signals. Constr. Build. Mater. 2021, 280, 9. [Google Scholar] [CrossRef]
  5. Wang, C.; Chen, Q.; Guo, T.; Li, Q. Environmental effects and enhancement mechanism of graphene/tourmaline composites. J. Clean. Prod. 2020, 262, 121313. [Google Scholar] [CrossRef]
  6. Islam, S.S.; Singh, S.K.; Ransinchung, G.D.; Ravindranath, S.S. Effect of property deterioration in SBS modified binders during storage on the performance of asphalt mix. Constr. Build. Mater. 2020, 272, 121644. [Google Scholar] [CrossRef]
  7. Llb, A.; Mn, B.; Rtm, B.; Ss, B.; Jmem, A.; Rg, B. Study of the feasability of producing modified asphalt bitumens using flakes made from recycled polymers. Constr. Build. Mater. 2019, 208, 269–282. [Google Scholar]
  8. Hu, X.; Gholizadeh, M. Progress of the applications of bio-oil. Renew. Sust. Energ. Rev. 2020, 134, 27. [Google Scholar] [CrossRef]
  9. Wróbel, M.; Woszuk, A.; Ratajczak, M.; Franus, W. Properties of reclaimed asphalt pavement mixture with organic rejuvenator. Constr. Build. Mater. 2021, 271, 121514. [Google Scholar] [CrossRef]
  10. Gao, J.F.; Wang, H.N.; You, Z.P.; Hasan, M.R.M.; Lei, Y.; Irfan, M. Rheological behavior and sensitivity of wood-derived bio-oil modified asphalt binders. Appl. Sci. 2018, 8, 919. [Google Scholar] [CrossRef] [Green Version]
  11. Salazar-Cruz, B.A.; Zapien-Castillo, S.; Hernandez-Zamora, G.; Rivera-Armenta, J.L. Investigation of the performance of asphalt binder modified by sargassum. Constr. Build. Mater. 2021, 271, 11. [Google Scholar] [CrossRef]
  12. Ahmad, M.F.; Zaidi, S.; Fareed, A.; Ahmad, N.; Hafeez, I. Assessment of sugar cane bagasse bio-oil as an environmental friendly alternative for pavement engineering applications. Int. J. Pavement Eng. 2021, 12, 1–12. [Google Scholar] [CrossRef]
  13. Zahoor, M.; Nizamuddin, S.; Madapusi, S.; Giustozzi, F. Sustainable asphalt rejuvenation using waste cooking oil: A comprehensive review. J. Clean. Prod. 2021, 278, 123304. [Google Scholar] [CrossRef]
  14. Ansari, A.H.; Jakarni, F.M.; Muniandy, R.; Hassim, S.; Elahi, Z. Natural rubber as a renewable and sustainable bio-modifier for pavement applications: A review. J. Clean. Prod. 2020, 289, 125727. [Google Scholar] [CrossRef]
  15. Singhvi, P.; Mainieri, J.; Ozer, H.; Sharma, B.K.; Al-Qadi, I.L. Effect of chemical composition of bio- and petroleum-based modifiers on asphalt binder rheology. Appl. Sci. 2020, 10, 3249. [Google Scholar] [CrossRef]
  16. Jiang, W.; Yuan, D.; Xu, S.; Hu, H.; Xiao, J.; Sha, A.; Huang, Y. Energy harvesting from asphalt pavement using thermoelectric technology. Appl. Energy 2017, 205, 941–950. [Google Scholar] [CrossRef]
  17. Fini, E.H.; Kalberer, E.W.; Shahbazi, A.; Basti, M.; You, Z.; Ozer, H.; Aurangzeb, Q. Chemical characterization of biobinder from swine manure: Sustainable modifier for asphalt binder. J. Mater. Civ. Eng. 2011, 23, 1506–1513. [Google Scholar] [CrossRef]
  18. Mills-Beale, J.; You, Z.; Fini, E.; Zada, B.; Lee, C.H.; Yap, Y.K. Aging influence on rheology properties of petroleum-based asphalt modified with biobinder. J. Mater. Civ. Eng. 2014, 26, 358–366. [Google Scholar] [CrossRef]
  19. Wen, H.; Bhusal, S.; Wen, B. Laboratory Evaluation of Waste Cooking Oil-Based Bioasphalt as an Alternative Binder for Hot Mix Asphalt. J. Mater. Civ. Eng. 2012, 25, 1432–1437. [Google Scholar] [CrossRef]
  20. Zhang, R.; Ji, J.; You, Z.; Wang, H. Modification Mechanism of Using Waste Wood–Based Bio-Oil to Modify Petroleum Asphalt. J. Mater. Civ. Eng. 2020, 32, 04020375. [Google Scholar] [CrossRef]
  21. Jia, G.; Luo, L. Study on the effect of bio-oil pyrolysis conditions on the performance of bio-asphalt. J. Beijing Univ. Chem. Technol. 2019, 46, 51–55. [Google Scholar]
  22. Ren, S.; Liu, X.; Fan, W.; Qian, C.; Nan, G.; Erkens, S. Investigating the effects of waste oil and styrene-butadiene rubber on restoring and improving the viscoelastic, compatibility, and aging properties of aged asphalt. Constr. Build. Mater. 2021, 269, 121338. [Google Scholar] [CrossRef]
  23. Deng, L.; Zhu, J.; Nie, S.; Liu, K. Mechanical properties of eucalyptus-based bio-oil modified asphalt binders. Highways 2019, 64, 207–211. [Google Scholar]
  24. Xu, Y.; You, Z.P.; Dai, Q.L. Performance Evaluation of Asphalt Binder Modified by Bio-oil Generated from Waste Wood Resources. Int. J. Pavement Res. Technol. 2013, 6, 431–439. [Google Scholar]
  25. Sun, Z.; Yi, J.; Huang, Y.; Feng, D.; Guo, C. Investigation of the potential application of biodiesel by-product as asphalt modifier. Road Mater. Pavement Des. 2016, 17, 737–752. [Google Scholar] [CrossRef]
  26. Wang, X.C.; Ji, G.Y.; Zhang, Y.; Guo, Y.C.; Zhao, J. Research on high- and low-temperature characteristics of bitumen blended with waste eggshell powder. Materials 2021, 14, 18. [Google Scholar]
  27. Chen, C.; Podolsky, J.H.; Williams, R.C.; Cochran, E.W. Laboratory investigation of using acrylated epoxidized soybean oil (AESO) for asphalt modification. Constr. Build. Mater. 2018, 187, 267–279. [Google Scholar] [CrossRef]
  28. Cao, X.; Liu, P.; Tang, B.-M. A review of research progress on bioasphalt. Mater. Guide 2015, 29, 95–100. [Google Scholar]
  29. Wang, C.; Wang, S.; Gao, Z.; Song, Z. Effect evaluation of road piezoelectric micro-energy collection-storage system based on laboratory and on-site tests. Appl. Energy 2021, 287, 116581. [Google Scholar] [CrossRef]
  30. Lv, S.; Xia, C.; Yang, Q.; Guo, S.; Zheng, J. Improvements on high-temperature stability, rheology, and stiffness of asphalt binder modified with waste crayfish shell powder. J. Clean. Prod. 2020, 264, 121745. [Google Scholar] [CrossRef]
  31. Lv, S.; Hu, L.; Xia, C.; Cabrera, M.B.; You, L. Recycling fish scale powder in improving the performance of asphalt: A sustainable utilization of fish scale waste in asphalt. J. Clean. Prod. 2020, 288, 125682. [Google Scholar] [CrossRef]
  32. Zhang, Y.; Wang, X.; Ji, G.; Fan, Z.; Guo, Y.; Gao, W.; Xin, L. Mechanical performance characterization of lignin-modified asphalt mixture. Appl. Sci. 2020, 10, 3324. [Google Scholar] [CrossRef]
  33. Hu, C.; Feng, J.; Zhou, N.; Zhu, J.; Zhang, S. Hydrochar from corn stalk used as bio-asphalt modifier: High-temperature performance improvement and environmental impact. Environ. Res. 2020, 193, 110157. [Google Scholar] [CrossRef] [PubMed]
  34. Xue, J.S.; Zhao, W. Modified vegetable asphalt and its mixture road performance. J. Constr. Mater. 2017, 20, 723–726. [Google Scholar]
  35. China Fisheries Statistical Yearbook 2019; World Agriculture: Beijing, China, 2020; Volume 2.
  36. Chen, L. Preparation of Nano-Calcium Carbonate from Bio-Based Materials. Master’s Thesis, Beijing University of Chemical Technology, Beijing, China, 2020. [Google Scholar]
  37. Yang, J.; Ji, G.; Gao, Y.; Fu, W.; Li, A. High-yield and high-performance porous biochar produced from pyrolysis of peanut shell with low-dose ammonium polyphosphate for chloramphenicol adsorption. J. Clean. Prod. 2020, 264, 121516. [Google Scholar] [CrossRef]
  38. Min, G.C.; Jeong, J.Y. Effects of calcium powder mixtures and binding ingredients as substitutes for synthetic phosphate on the quality properties of ground pork products. Food Sci. Anim. Resour. 2018, 38, 1179–1188. [Google Scholar]
  39. Hadiyanto, H.; Lestari, S.P.; Abdullah, A.; Widayat, W.; Sutanto, H. The development of fly ash-supported CaO derived from mollusk shell of Anadara granosa and Paphia undulata as heterogeneous CaO catalyst in biodiesel synthesis. Int. J. Energy Environ. Eng. 2016, 7, 297–305. [Google Scholar] [CrossRef] [Green Version]
  40. Pu, L.; Xie, Y.; Qiu, W.; Li, L. Thermoplastic foaming mechanism and Pb2+ adsorption of poly(vinyl alcohol)/shell powder porous composite. Polym. Compos. 2019, 40, 4658–4668. [Google Scholar] [CrossRef]
  41. Zhang, G.; Brion, A.; Willemin, A.S.; Piet, M.H.; Moby, V.; Bianchi, A.; Mainard, D.; Galois, L.; Gillet, P.; Rousseau, M. Nacre, a natural, multi-use, and timely biomaterial for bone graft substitution. J. Biomed. Mater. Res. Part A 2016, 105, 662–671. [Google Scholar] [CrossRef]
  42. Chandrasiri, C.; Yehdego, T.; Peethamparan, S. Synthesis and characterization of bio-cement from conch shell waste. Constr. Build. Mater. 2019, 212, 775–786. [Google Scholar] [CrossRef]
  43. Martínez-García, C.; González-Fonteboa, B.; Carro-López, D.; Martínez-Abella, F. Design and properties of cement coating with mussel shell fine aggregate. Constr. Build. Mater. 2019, 215, 494–507. [Google Scholar] [CrossRef]
  44. JTG F40-2004. Technical Specification for Construction of Highway Asphalt Pavements; China Communications Publishing & Media Management Co., Ltd.: Beijing, China, 2004.
  45. Li, X.; Pei, J.; Shen, J.; Li, R. Experimental study on the high-temperature and low-temperature performance of polyphosphoric acid/styrene-butadiene-styrene composite-modified asphalt. Adv. Mater. Sci. Eng. 2019, 2019, 1–16. [Google Scholar] [CrossRef] [Green Version]
  46. Ding, L.; Wang, X.; Zhang, M.; Chen, Z.; Shao, X. Morphology and properties changes of virgin and aged asphalt after fusion. Constr. Build. Mater. 2021, 291, 123284. [Google Scholar] [CrossRef]
  47. Zhang, Y.; Liu, X.Y.; Apostolidis, P.; Gard, W.; van de Ven, M.; Erkens, S.; Jing, R.X. Chemical and rheological evaluation of aged lignin-modified bitumen. Materials 2019, 12, 4176. [Google Scholar] [CrossRef] [PubMed] [Green Version]
  48. Lan, W.; Minda, R.; Chao, L. Surface morphology and rheological properties of polyphosphate modified asphalt. J. Compos. 2017, 9, 207–212. [Google Scholar]
  49. Chen, H.; Chen, J.; Wei, Y.; Xin, L. Study on decomposition characteristics and microstructure migration law of limestone. Therm. Power Eng. 2013, 28, 73–77. [Google Scholar]
  50. Gu, L.; Liu, X. Research progress of mesoporous materials. J. Yunnan Univ. (Nat. Sci. Ed.) 2008, S1, 369–372, 376. [Google Scholar]
  51. Wang, C.-C.; Lv, Y.-Y.; Yang, G.-M.; Zou, Y.-L. Effect of SBR latex admixture on the performance of modified emulsified asphalt. Contemp. Chem. 2019, 48, 1186–1189. [Google Scholar]
  52. Wang, X.C.; Guo, Y.C.; Ji, G.Y.; Zhang, Y.; Zhao, J.; Su, H. Effect of biowaste on the high- and low-temperature rheological properties of asphalt binders. Adv. Civ. Eng. 2021, 2021, 1–14. [Google Scholar]
Figure 1. Samples of seashell powder.
Figure 1. Samples of seashell powder.
Sustainability 13 10271 g001
Figure 2. DSR test sample specimens.
Figure 2. DSR test sample specimens.
Sustainability 13 10271 g002
Figure 3. SEM analysis of seashell powder: (a) ×200; (b) ×500; (c) ×5000; (d) ×10,000.
Figure 3. SEM analysis of seashell powder: (a) ×200; (b) ×500; (c) ×5000; (d) ×10,000.
Sustainability 13 10271 g003aSustainability 13 10271 g003b
Figure 4. XRD analysis of seashell powder and limestone powder.
Figure 4. XRD analysis of seashell powder and limestone powder.
Sustainability 13 10271 g004
Figure 5. Adsorption–desorption curve.
Figure 5. Adsorption–desorption curve.
Sustainability 13 10271 g005
Figure 6. Pore size distribution of seashell powder obtained from the desorption branch.
Figure 6. Pore size distribution of seashell powder obtained from the desorption branch.
Sustainability 13 10271 g006
Figure 7. FTIR of shell asphalt binders.
Figure 7. FTIR of shell asphalt binders.
Sustainability 13 10271 g007
Figure 8. Base performance of asphalt binders for each dosage.
Figure 8. Base performance of asphalt binders for each dosage.
Sustainability 13 10271 g008
Figure 9. Temperature sweep results: (a) |G*|, (b) δ, and (c) |G*|/sinδ.
Figure 9. Temperature sweep results: (a) |G*|, (b) δ, and (c) |G*|/sinδ.
Sustainability 13 10271 g009aSustainability 13 10271 g009b
Figure 10. Frequency sweep results: (a) FS-58 °C; (b) FS-64 °C; (c) FS-70 °C.
Figure 10. Frequency sweep results: (a) FS-58 °C; (b) FS-64 °C; (c) FS-70 °C.
Sustainability 13 10271 g010aSustainability 13 10271 g010b
Figure 11. High-temperature PG grades of seashell powder asphalt binders.
Figure 11. High-temperature PG grades of seashell powder asphalt binders.
Sustainability 13 10271 g011
Figure 12. The 64 °C MSCR test: (a) 0.1 kPa; (b) 3.2 kPa.
Figure 12. The 64 °C MSCR test: (a) 0.1 kPa; (b) 3.2 kPa.
Sustainability 13 10271 g012
Figure 13. R and Jnr of the seashell powder asphalt binder: (a) 0.1 kPa; (b) 3.2 kPa.
Figure 13. R and Jnr of the seashell powder asphalt binder: (a) 0.1 kPa; (b) 3.2 kPa.
Sustainability 13 10271 g013
Figure 14. S and m of seashell powder asphalt binder.
Figure 14. S and m of seashell powder asphalt binder.
Sustainability 13 10271 g014
Figure 15. The m/S ratio of seashell powder asphalt binder.
Figure 15. The m/S ratio of seashell powder asphalt binder.
Sustainability 13 10271 g015
Figure 16. Relativity of asphalt binders.
Figure 16. Relativity of asphalt binders.
Sustainability 13 10271 g016
Table 1. Matrix asphalt base properties.
Table 1. Matrix asphalt base properties.
ItemsTest ResultsSpecification a
Penetration (25 °C, 0.1 mm)65.960–80
Softening Point (°C)50≥46
Ductility (5 °C, 5 cm/min,mm)79
Flash Point (°C)>300≥260
a Test standard values based on the specification (JTG F40-2004) [44].
Table 2. Asphalt sample preparation ratio.
Table 2. Asphalt sample preparation ratio.
GroupMass of Matrix Asphalt/gMass of Seashell Powder/gProportion/%
0% SP50000%
5% SP475255%
10% SP4505010%
15% SP4257515%
Publisher’s Note: MDPI stays neutral with regard to jurisdictional claims in published maps and institutional affiliations.

Share and Cite

MDPI and ACS Style

Guo, Y.; Wang, X.; Ji, G.; Zhang, Y.; Su, H.; Luo, Y. Effect of Recycled Shell Waste as a Modifier on the High- and Low-Temperature Rheological Properties of Asphalt. Sustainability 2021, 13, 10271. https://doi.org/10.3390/su131810271

AMA Style

Guo Y, Wang X, Ji G, Zhang Y, Su H, Luo Y. Effect of Recycled Shell Waste as a Modifier on the High- and Low-Temperature Rheological Properties of Asphalt. Sustainability. 2021; 13(18):10271. https://doi.org/10.3390/su131810271

Chicago/Turabian Style

Guo, Yuchen, Xuancang Wang, Guanyu Ji, Yi Zhang, Hao Su, and Yaolu Luo. 2021. "Effect of Recycled Shell Waste as a Modifier on the High- and Low-Temperature Rheological Properties of Asphalt" Sustainability 13, no. 18: 10271. https://doi.org/10.3390/su131810271

APA Style

Guo, Y., Wang, X., Ji, G., Zhang, Y., Su, H., & Luo, Y. (2021). Effect of Recycled Shell Waste as a Modifier on the High- and Low-Temperature Rheological Properties of Asphalt. Sustainability, 13(18), 10271. https://doi.org/10.3390/su131810271

Note that from the first issue of 2016, this journal uses article numbers instead of page numbers. See further details here.

Article Metrics

Back to TopTop