Characteristics of Soil C, N, and P Stoichiometry as Affected by Land Use and Slope Position in the Three Gorges Reservoir Area, Southwest China
Abstract
:1. Introduction
2. Materials and Methods
2.1. Study Area
2.2. Soil Sampling and Measurements
2.3. Statistical Analysis
3. Results
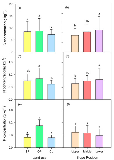
3.1. Soil C, N, and P Concentrations
3.2. Soil C, N, and P Stoichiometry
3.3. Selected Soil Physicochemical Properties
3.4. Relationships between Soil C, N, and P Traits and Selected Soil Physiochemical Properties
4. Discussion
4.1. Effects of Land Use and Slope Position on C, N, and P Concentrations
4.2. Effects of Land Use and Slope Position on C, N, and P Stoichiometry
4.3. Selected Physicochemical Properties and Their Linkages with C, N, and P Traits in Response to Different Land Uses
4.4. Implications
5. Conclusions
Supplementary Materials
Author Contributions
Funding
Institutional Review Board Statement
Informed Consent Statement
Data Availability Statement
Acknowledgments
Conflicts of Interest
References
- Thapa, M.; Li, T.Y.; He, B.H.; Zhang, L. Soil C, N, and P stoichiometry in response to different land uses in an agroforestry hillslope of Southwest China. Arch. Agron. Soil Sci. 2021, in press. [Google Scholar]
- Sterner, R.W.; Elser, J.J. Ecological Stoichiometry: The Biology of Elements from Molecules to the Biosphere; Princenton University Press: Princenton, NJ, USA, 2002; Volume 423, pp. 225–226. [Google Scholar]
- Falkengren-Gerup, U.; ten Brink, D.J.; Brunet, J. Land use effects on soil N, P, C and pH persist over 40–80 years of forest growth on agricultural soils. For. Ecol. Manag. 2006, 225, 74–81. [Google Scholar] [CrossRef]
- Hobley, E.; Wilson, B.; Wilkie, A.; Gray, J.; Koen, T. Drivers of soil organic carbon storage and vertical distribution in Eastern Australia. Plant Soil 2015, 390, 111–127. [Google Scholar] [CrossRef]
- Zhao, M.Y.; Zhao, W.W.; Zhong, L.N. The Scale effect of the influence of land use and environmental factors on surface soil carbon: A case study in the hilly and gully area of Northern Shaanxi Province. Acta Ecol. Sin. 2014, 35, 1105–1113, (In Chinese with Abstract in English). [Google Scholar]
- Zheng, S.M.; Xia, Y.H.; Hu, Y.J.; Chen, X.B.; Rui, Y.C.; Gunina, A.; He, X.Y.; Ge, T.D.; Wu, J.S.; Su, Y.R.; et al. Stoichiometry of carbon, nitrogen, and phosphorus in soil: Effects of agricultural land use and climate at a continental scale. Soil Tillage Res. 2020, 209, 104903. [Google Scholar] [CrossRef]
- Baddeley, J.A.; Edwards, A.C.; Watson, C.A. Changes in soil C and N stocks and C:N stoichiometry 21 years after land use change on an arable mineral topsoil. Geoderma 2017, 303, 19–26. [Google Scholar] [CrossRef]
- Agren, G.I. Stoichiometry and nutrition of plant growth in natural communities. Annu. Rev. Ecol. Evol. Syst. 2008, 39, 153–170. [Google Scholar] [CrossRef]
- Wang, W.; Sardans, J.; Zeng, C.; Zhong, C.; Li, Y.; Penuelas, J. Responses of soil nutrient concentrations and stoichiometry to different human land uses in a subtropical tidal wetland. Geoderma 2014, 232, 459–470. [Google Scholar] [CrossRef] [Green Version]
- Bing, H.J.; Wu, Y.H.; Zhou, J.; Sun, H.Y.; Luo, J.; Wang, J.P.; Yu, D. Stoichiometric variation of carbon, nitrogen, and phosphorus in soils and its implication for nutrient limitation in alpine ecosystem of Eastern Tibetan Plateau. J. Soils Sediments 2016, 16, 405–416. [Google Scholar] [CrossRef]
- Liu, X.; Ma, J.; Ma, Z.W.; Li, L.H. Soil nutrient contents and stoichiometry as affected by land use in an agro-pastoral region of northwest China. Catena 2017, 150, 146–153. [Google Scholar] [CrossRef]
- Gao, Y.; He, N.P.; Yu, G.R.; Chen, W.L.; Wang, Q.F. Long-term effects of different land use types on C, N, and P stoichiometry and storage in sub-tropical ecosystems: A case study in China. Ecol. Eng. 2014, 67, 171–181. [Google Scholar] [CrossRef]
- Liu, X.Y.; Peñuelas, J.; Sardans, J.; Fang, Y.Y.; Wiesmeier, M.; Wu, L.Q.; Chen, X.X.; Chen, Y.Y.; Jin, Q.; Wang, W.Q. Response of soil nutrient concentrations and stoichiometry, and greenhouse gas carbon emissions linked to change in land-use of paddy fields in China. Catena 2021, 203, 105326. [Google Scholar] [CrossRef]
- Li, S.Q.; Zheng, X.H.; Liu, C.Y.; Yao, Z.S.; Zhang, W.; Han, S.H. Influences of observation method, season, soil depth, land use and management practice on soil dissolvable organic carbon concentrations: A meta-analysis. Sci. Total Environ. 2018, 631–632, 105–114. [Google Scholar] [CrossRef] [PubMed]
- Meena, V.S.; Mondal, T.; Pandey, B.M.; Mukherjee, A.; Yadav, R.P.; Choudhary, M.; Singh, S.; Bisht, J.K.; Pattanayak, A. Land use changes: Strategies to improve soil carbon and nitrogen storage pattern in the mid-Himalaya ecosystem, India. Geoderma 2018, 321, 69–78. [Google Scholar] [CrossRef]
- Liu, S.J.; Zhang, W.; Wang, K.L.; Pan, F.J.; Yang, S.; Shu, S.Y. Factors controlling accumulation of soil organic carbon along vegetation succession in a typical karst region in Southwest China. Sci. Total Environ. 2015, 521, 52–58. [Google Scholar] [CrossRef]
- Elser, J.J.; Fagan, W.F.; Denno, R.F.; Dobberfuhl, D.R.; Folarin, A.; Huberty, A.; Interlandi, S.; Kilham, S.S.; McCauley, E.; Schulz, K.L.; et al. Nutritional constraints in terrestrial and freshwater food webs. Nature 2000, 408, 578–580. [Google Scholar] [CrossRef]
- Xu, X.F.; Thornton, P.E.; Post, W.M. A global analysis of soil microbial biomass carbon, nitrogen and phosphorus in terrestrial ecosystems. Glob. Ecol. Biogeogr. 2013, 22, 737–749. [Google Scholar] [CrossRef]
- Yu, H.Y.; Zha, T.G.; Zhang, X.X.; Nie, L.S.; Ma, L.M.; Pan, Y.W. Spatial distribution of soil organic carbon may be predominantly regulated by topography in a small revegetated watershed. Catena 2020, 188, 104459. [Google Scholar] [CrossRef]
- Wang, S.; Feng, X.J.; Wang, Y.D.; Zheng, Z.C.; Li, T.X.; He, S.Q.; Zhang, X.Z.; Yu, H.Y.; Huang, H.G.; Liu, T.; et al. Characteristics of nitrogen loss in sloping farmland with purple soil in southwestern China during maize (Zea mays L.) growth stages. Catena 2019, 182, 104169. [Google Scholar] [CrossRef]
- Wei, X.R.; Shao, M.G.; Fu, X.L.; Horton, R. Changes in soil organic carbon and total nitrogen after 28 years grassland afforestation: Effects of tree species, slope position, and soil order. Plant Soil 2010, 331, 165–179. [Google Scholar] [CrossRef]
- Sigua, G.C.; Coleman, S.W.; Albano, J.; Williams, M. Spatial distribution of soil phosphorus and herbage mass in beef cattle pastures: Effects of slope aspect and slope position. Nutr. Cycl. Agroecosystems 2011, 89, 59–70. [Google Scholar] [CrossRef]
- Jia, H.Y.; Lei, A.; Lei, J.S.; Ye, M.; Zhao, J.Z. Effects of hydrological processes on nitrogen loss in purple soil. Agric. Ecosyst. Environ. 2007, 89, 89–97. [Google Scholar] [CrossRef]
- Deng, C.C. Fractal characteristics and influencing factors of land use spatial pattern in the hilly region of central Sichuan. J. China West Norm. Univ. 2015, 36, 156–162+178, (In Chinese with Abstract in English). [Google Scholar]
- Hua, L.L.; Li, W.C.; Zhai, L.M.; Yen, H.; Lei, Q.L.; Liu, H.B.; Ren, T.Z.; Xia, Y.; Zhang, F.L.; Fan, X.P. An innovative approach to identifying agricultural pollution sources and loads by using nutrient export coefficients in watershed modeling. J. Hydrol. 2019, 571, 322–331. [Google Scholar] [CrossRef]
- Lin, D.Y. Soil Science; China Forestry Publishing House: Beijing, China, 2002. (In Chinese) [Google Scholar]
- Institute of Soil Sciences, Chinese Academy of Sciences (ISSCAS). Physical and Chemical Analysis Methods of Soils; Shanghai Science Technology Press: Shanghai, China, 1978. (In Chinese) [Google Scholar]
- Li, T.Y.; Wang, C.Y.; He, B.H.; Liang, C.; Zhang, Y.; Zhang, Y.Q. Soil nutrient concentrations and stoichiometry under different tree-cropping systems in a purple hillslope in southwestern China. Arch. Agron. Soil Sci. 2019, 65, 741–754. [Google Scholar] [CrossRef]
- Xu, H.W.; Qu, Q.; Li, P.; Guo, Z.Q.; Wulan, E.; Xue, S. Stocks and stoichiometry of soil organic carbon, total nitrogen, and total phosphorus after vegetation restoration in the Loess Hilly Region, China. Forests 2019, 10, 27. [Google Scholar] [CrossRef] [Green Version]
- Guo, J.; Wang, B.; Wang, G.B.; Wu, Y.Q.; Cao, F.L. Afforestation and agroforestry enhance soil nutrient status and carbon sequestration capacity in eastern China. Land Degrad. Dev. 2019, 31, 392–403. [Google Scholar] [CrossRef]
- Van der Heijden, M.G.A.; Klironomos, J.N.; Ursic, M.; Moutoglis, P.; Streitwolf-Engel, R.; Boller, T.; Wiemken, A.; Sanders, I.R. Mycorrhizal fungal diversity deter-mines plant biodiversity, ecosystem variability and productivity. Nature 1998, 396, 69–72. [Google Scholar] [CrossRef]
- Udawatta, R.P.; Kremer, R.J.; Nelson, K.A.; Jose, S.; Bardhan, S. Soil quality of a mature alley cropping agroforestry system in temperate North America. Commun. Soil Sci. Plant Anal. 2014, 45, 2539–2551. [Google Scholar] [CrossRef]
- Yang, Y.H.; Luo, Y.Q. Carbon:nitrogen stoichiometry in forest ecosystems during stand development. Glob. Ecol. Biogeogr. 2011, 20, 354–361. [Google Scholar] [CrossRef]
- Garcia-Pausas, J.; Casals, P.; Rovira, P.; Vallecillo, S.; Sebastia, M.T.; Romanya, J. Decomposition of labelled roots and root-C and -N allocation between soil fractions in mountain grasslands. Soil Biol. Biochem. 2012, 49, 61–69. [Google Scholar] [CrossRef]
- Martinez-Mena, M.; Carrillo-Lopez, E.; Boix-Fayos, C.; Almagro, M.; Garcia Franco, N.; Diaz-Pereira, E.; Montoya, I.; de Vente, J. Long-term effectiveness of sustainable land management practices to control runoff, soil erosion, and nutrient loss and the role of rainfall intensity in Mediterranean rainfed agroecosystems. Catena 2020, 187, 104352. [Google Scholar] [CrossRef]
- Cheng, Y.T.; Li, P.; Xu, G.C.; Li, Z.B.; Cheng, S.D.; Gao, H. Spatial distribution of soil total phosphorus in Yingwugou watershed of the Dan River, China. Catena 2016, 136, 175–181. [Google Scholar] [CrossRef]
- Zhang, J.H.; Quine, T.A.; Ni, S.J.; Ge, F.L. Stocks and dynamics of SOC in relation to soil redistribution by water and tillage erosion. Glob. Change Biol. 2006, 12, 1834–1841. [Google Scholar] [CrossRef]
- Nan, Y.F.; Guo, S.L.; Zhang, Y.J.; Li, J.C.; Zhou, X.G.; Li, Z.; Zhang, F.; Zou, J.L. Effects of slope aspect and position on soil organic carbon and nitrogen of terraces in small watershed. J. Plant Nutr. Fertil. 2012, 18, 595–601. (In Chinese) [Google Scholar]
- Jannes, S.; Shi, X.Z.; Ritsema, C.J. Introduction: Soil erosion and nutrient losses in the hilly purple soil area in china. Soil Tillage Res. 2009, 105, 283–284. [Google Scholar]
- Su, Z.; Zhang, J.; Nie, X.J. Response of spatial variability of soil physical properties to soil erosion in purple soil slope farmland. Trans. Case 2009, 25, 54–60, (In Chinese with Abstract in English). [Google Scholar]
- Li, L.; Wang, M.G.J.; Zhou, G.X.; Zhao, Y.; Zhang, Y. Temporal and spatial characteristics of soil C:N:P ecological stoichiometry under Phoebe zhennan plantation of Huitong. J. Cent. South Univ. Tech. 2016, 36, 96–109, (In Chinese with Abstract in English). [Google Scholar]
- Wang, Z.C.; He, G.X.; Hou, Z.H.; Luo, Z.; Chen, S.X.; Lu, J.; Zhao, J. Soil C:N:P stoichiometry of typical coniferous (Cunninghamia lanceolata) and/or evergreen broadleaved (Phoebe bournei) plantations in south China. For. Ecol. Manag. 2021, 486, 118974. [Google Scholar] [CrossRef]
- Li, D.J.; Wen, L.; Zhang, W.; Yang, L.Q.; Xiao, K.C.; Chen, H.; Wang, K.L. Afforestation effects on soil organic carbon and nitrogen pools modulated by lithology. For. Ecol. Manag. 2017, 400, 85–92. [Google Scholar] [CrossRef]
- Olander, L.P.; Vitousek, P.M. Regulation of soil phosphatase and chitinase activity by N and P availability. Biogeochemistry 2000, 49, 175–190. [Google Scholar] [CrossRef]
- Wang, D.; Yi, W.B.; Zhou, Y.L.; He, S.R.; Tang, L.; Yin, X.H.; Zhao, P.; Long, G.Q. Intercropping and N application enhance soil dissolved organic carbon concentration with complicated chemical composition. Soil Tillage Res. 2021, 210, 104979. [Google Scholar] [CrossRef]
- Shi, P.; Duan, J.X.; Zhang, Y.; Li, P.; Wang, X.K.; Li, Z.B.; Lie, X.; Xu, G.C.; Lu, K.X.; Cheng, S.D.; et al. The effects of ecological construction and topography on soil organic carbon and total nitrogen in the Loess Plateau of China. Environ. Earth Sci. 2019, 78, 5. [Google Scholar] [CrossRef]
- Jiang, L.; He, Z.S.; Liu, J.F.; Xing, C.; Gu, X.G.; Wei, C.S.; Zhu, J.; Wang, X.L. Elevation gradient altered soil C, N, and P stoichiometry of Pinus taiwanensis forest on Daiyun Mountain. Forests 2019, 10, 1089. [Google Scholar] [CrossRef] [Green Version]
- Hui, D.F.; Yang, X.T.; Deng, Q.; Liu, Q.; Xu, W.; Yang, H.; Ren, H. Soil C:N:P stoichiometry in tropical forests on Hainan island of China: Spatial and vertical variations. Catena 2021, 201, 105228. [Google Scholar] [CrossRef]
- Tian, H.Q.; Chen, G.S.; Zhang, C.; Melillo, J.M.; Hall, C.A.S. Pattern and variation of C:N:P ratios in China’s soils: A synthesis of observational data. Biogeochemistry 2010, 98, 139–151. [Google Scholar] [CrossRef]
- Cleveland, C.C.; Liptzin, D. C:N:P stoichiometry in soil: Is there a “Redfield ratio” for the microbial biomass? Biogeochemistry 2007, 85, 235–252. [Google Scholar] [CrossRef]
- Akinde, B.P.; Olakayode, A.O.; Oyedele, D.J.; Tijani, F.O. Selected physical and chemical properties of soil under different agricultural land-use types in Ile-Ife. Nigeria. Heliyon 2020, 6, e05090. [Google Scholar] [CrossRef]
- Wang, W.Q.; Wang, C.; Sardans, J.; Min, Q.W.; Zeng, C.S.; Tong, C.; Penuelas, J. Agricultural land use decouples soil nutrient cycles in a subtropical riparian wetland in China. Catena 2015, 133, 171–178. [Google Scholar] [CrossRef]
- Karak, T.; Paul, R.K.; Boruah, R.K.; Sonar, I.; Bordoloi, B.; Dutta, A.K.; Borkotoky, B. Major soil chemical properties of the major tea-growing areas in India. Pedosphere 2015, 25, 316–328. [Google Scholar] [CrossRef]
- Tellen, V.A.; Yerima, B.P.K. Effects of land use change on soil physicochemical properties in selected areas in the North West region of Cameroon. Environ. Syst. Res. 2018, 7, 1–29. [Google Scholar]
- Seifu, W.; Elias, E.; Gebresamuel, G. The Effects of Land Use and Landscape Position on Soil Physicochemical Properties in a Semiarid Watershed, Northern Ethiopia. Appl. Environ. Soil Sci. 2020, 2020, 8816248. [Google Scholar] [CrossRef]
- da Silva, J.V.C.D.; Hirschfeld, M.N.C.; Cares, J.E.; Esteves, A.M. Land use, soil properties and climate variables influence the nematode communities in the Caatinga dry forest. Appl. Soil Ecol. 2020, 150, 103474. [Google Scholar] [CrossRef]
- Li, T.Y.; Zeng, J.M.; He, B.H.; Chen, Z.P. Changes in soil C, N, and P concentrations and stoichiometry in Karst Trough Valley Area under ecological restoration: The role of slope aspect, land use, and soil depth. Forests 2021, 12, 144. [Google Scholar] [CrossRef]
- Samani, K.M.; Pordel, N.; Hosseini, V.; Shakeri, Z. Effect of land-use changes on chemical and physical properties of soil in western Iran (Zagros oak forests). J. For. Res. 2020, 31, 637–647. [Google Scholar] [CrossRef]
- Adepetu, J.A.; Adetunji, M.T.; Ige, D.V. Soil Fertility and Crop Nutrition; Jumak Nigeria Limited: Ibadan, Nigeria, 2014; pp. 108–439. [Google Scholar]
- Su, L.; Zhang, Y.S.; Lin, X.Y. Changes of iron form and phosphorus adsorption and desorption in paddy soil during alternation of wetting and drying. Plant Nutr. Fertil. Sci. 2001, 7, 410–415. [Google Scholar]
- Shen, Z.Y.; Hong, Q.; Yu, H.; Niu, J.F. Parameter uncertainty analysis of non-point source pollution from different land use types. Sci. Total Environ. 2010, 408, 1971–1978. [Google Scholar] [CrossRef]




| Land Use | Slope Position | Elevation (m) | Dominant Plants |
|---|---|---|---|
| SF | Upper | 288 | masson pine (Pinus massoniana Lamb.), mixed with cypress (Cupressus funebris Endl.), white oak (Quercus fabric Hance.), cedar (Cunninghamia lanceolata Lamb.) |
| Middle | 245 | ||
| Lower | 202 | ||
| OP | Upper | 271 | Orange tree (Citurs reticulate Blanco.) |
| Middle | 248 | ||
| Lower | 223 | ||
| CL | Upper | 262 | Corn (Zea mays L.) and rape (Brassica campestris L.) |
| Middle | 232 | ||
| Lower | 201 |
| Variable | Source | df | F | p |
|---|---|---|---|---|
| C concentration | Land use × Slope position | 4 | 5.46 | 0.001 |
| N concentration | Land use × Slope position | 4 | 6.046 | <0.001 |
| P concentration | Land use × Slope position | 4 | 2.4 | 0.056 |
| C:N ratio | Land use × Slope position | 4 | 3.27 | 0.015 |
| C:P ratio | Land use × Slope position | 4 | 9.18 | <0.001 |
| N:P ratio | Land use × Slope position | 4 | 14.294 | <0.001 |
| pH | Land use × Slope position | 4 | 7.382 | <0.001 |
| BD | Land use × Slope position | 4 | 7.652 | <0.001 |
| EC | Land use × Slope position | 4 | 3.306 | 0.014 |
| CEC | Land use × Slope position | 4 | 1.361 | 0.254 |
| Variable | pH | BD | EC | CEC |
|---|---|---|---|---|
| C concentration | −0.239 * | −0.291 ** | ns | ns |
| N concentration | −0.299 ** | −0.301 ** | ns | 0.211 * |
| P concentration | ns | ns | 0.596 ** | 0.387 ** |
| C:N ratio | ns | ns | ns | −0.226 * |
| C:P ratio | ns | ns | −0.351 ** | −0.445 ** |
| N:P ratio | ns | ns | −0.383 ** | −0.381 ** |
Publisher’s Note: MDPI stays neutral with regard to jurisdictional claims in published maps and institutional affiliations. |
© 2021 by the authors. Licensee MDPI, Basel, Switzerland. This article is an open access article distributed under the terms and conditions of the Creative Commons Attribution (CC BY) license (https://creativecommons.org/licenses/by/4.0/).
Share and Cite
Feng, M.; Zhang, D.; He, B.; Liang, K.; Xi, P.; Bi, Y.; Huang, Y.; Liu, D.; Li, T. Characteristics of Soil C, N, and P Stoichiometry as Affected by Land Use and Slope Position in the Three Gorges Reservoir Area, Southwest China. Sustainability 2021, 13, 9845. https://doi.org/10.3390/su13179845
Feng M, Zhang D, He B, Liang K, Xi P, Bi Y, Huang Y, Liu D, Li T. Characteristics of Soil C, N, and P Stoichiometry as Affected by Land Use and Slope Position in the Three Gorges Reservoir Area, Southwest China. Sustainability. 2021; 13(17):9845. https://doi.org/10.3390/su13179845
Chicago/Turabian StyleFeng, Mengdie, Dengyu Zhang, Binghui He, Ke Liang, Peidong Xi, Yunfei Bi, Yingying Huang, Dongxin Liu, and Tianyang Li. 2021. "Characteristics of Soil C, N, and P Stoichiometry as Affected by Land Use and Slope Position in the Three Gorges Reservoir Area, Southwest China" Sustainability 13, no. 17: 9845. https://doi.org/10.3390/su13179845
APA StyleFeng, M., Zhang, D., He, B., Liang, K., Xi, P., Bi, Y., Huang, Y., Liu, D., & Li, T. (2021). Characteristics of Soil C, N, and P Stoichiometry as Affected by Land Use and Slope Position in the Three Gorges Reservoir Area, Southwest China. Sustainability, 13(17), 9845. https://doi.org/10.3390/su13179845

