Supplementation of Carbon-Based Conductive Materials and Trace Metals to Improve Biogas Production from Apple Pomace
Abstract
:1. Introduction
2. Materials and Methods
2.1. Anaerobic Seed
2.2. Apple Pomace
2.3. Conductive Materials
2.4. Analytical Methods
2.5. Biochemical Methane Potential Assays
3. Results and Discussion
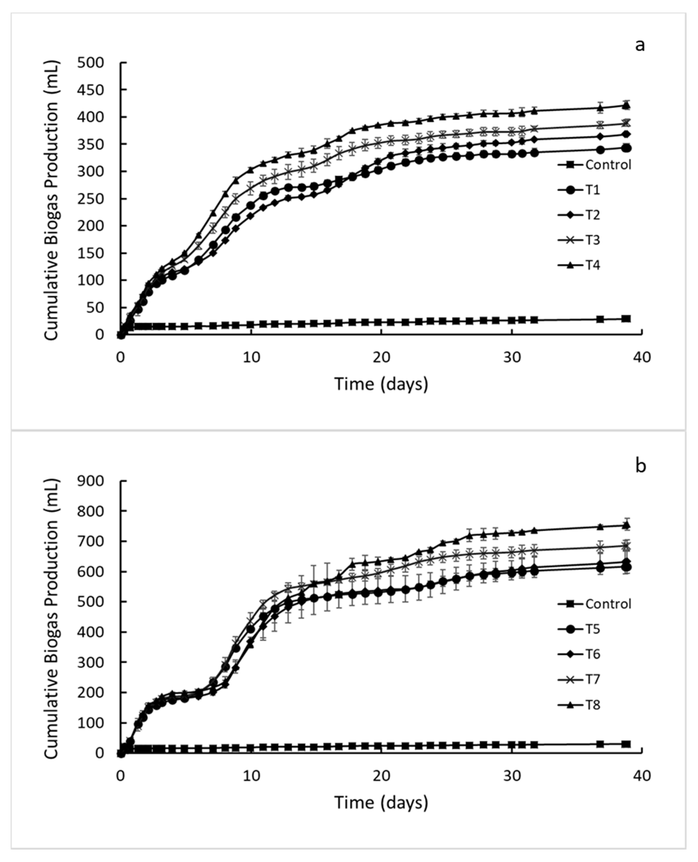
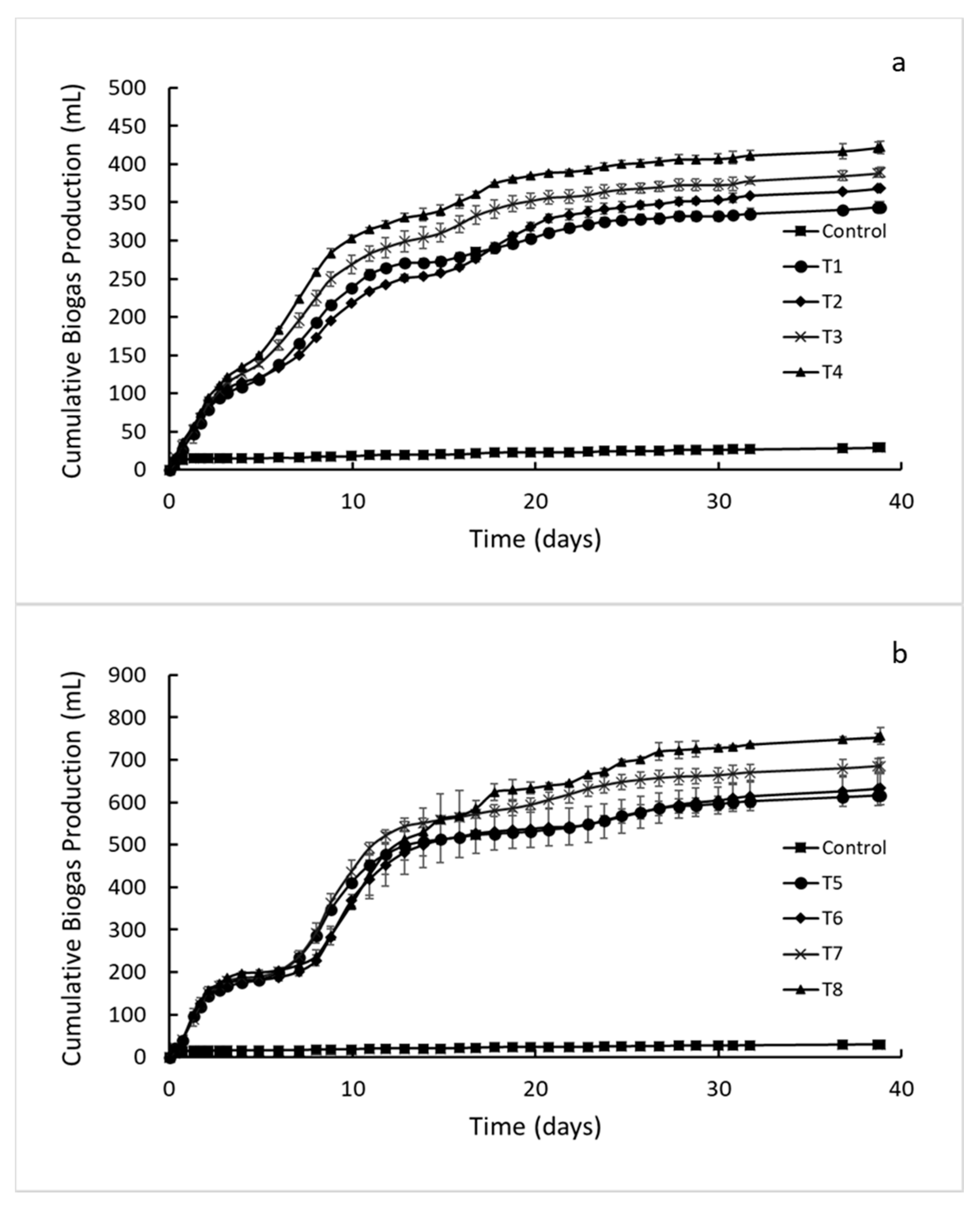
3.1. Biogas Production
3.2. Methane Yields
4. Conclusions
Author Contributions
Funding
Institutional Review Board Statement
Informed Consent Statement
Acknowledgments
Conflicts of Interest
References
- Indu Parmar, H.P.; Rupasinghe, V. Bio-conversion of apple pomace into ethanol and acetic acid: Enzymatic hydrolysis and fermentation. Bioresour. Technol. 2013, 130, 613–620. [Google Scholar] [CrossRef]
- Carson, K.J.; Collins, J.L.; Penfield, M.P. Unrefined, dried apple pomace as a potential food ingredient. J. Food Sci. 1994, 59, 1213–1215. [Google Scholar] [CrossRef]
- Suarez, B.; Alvarez, A.L.; Garcia, Y.D.; Barrio, G.d.; Lobo, A.P.; Parra, F. Phenolic profiles, antioxidant activity and in vitro antiviral properties of apple pomace. Food Chem. 2010, 120, 339–342. [Google Scholar] [CrossRef] [Green Version]
- Kennedy, M.; List, D.; Lu, Y.; Foo, L.Y.; Newman, R.H.; Sims, I.M.; Bain, P.J.S.; Halminton, B.; Fenton, G. Apple pomace and products derived from apple pomace: Uses, composition and analysis. In Modern Methods of Plant Analysis: Analysis of Plant Waste Materials; Linskens, H.F., Jackson, J.F., Eds.; Springer: Berlin, Germany, 1999; pp. 75–119. [Google Scholar]
- Das, R.K.; Brar, S.K.; Verma, M. A fermentative approach towards optimizing directed biosynthesis of fumaric acid by Rhizopus oryzae 1526 utilizing apple industry waste biomass. Fungal Biol. 2015, 119, 1279–1290. [Google Scholar] [CrossRef] [PubMed]
- Gassara, F.; Brara, S.K.; Pelletier, F.; Vermab, M.; Godboutb, S.; Tyagi, R.D. Pomace waste management scenarios in Québec—Impact on greenhouse gas emissions. J. Hazard. Mat. 2011, 192, 1178–1185. [Google Scholar] [CrossRef]
- Vendruscolo, F.; Albuquerque, P.M.; Streit, F.; Esposito, E.; Ninow, J.L. Apple pomace: A versatile substrate for biotechnological applications. Crit. Rev. Biotechnol. 2008, 28, 1–12. [Google Scholar] [CrossRef] [PubMed]
- Molinuevo-Salces, B.; Riaño, B.; Hijosa-Valsero, M.; González-García, I.; Paniagua-García, A.; Hernández, D.; Garita-Cambronero, J.; Díez-Antolínez, R.; García-González, M.C. Valorization of apple pomaces for biofuel production: A biorefinery approach. Biomass Bioenergy 2020, 142, 105785. [Google Scholar] [CrossRef]
- Duan, Y.; Mehariya, S.; Kumar, A.; Singh, E.; Yang, J.; Kumar, S.; Li, H.; Awasthi, M.K. Apple orchard waste recycling and valorization of valuable product-A review. Bioengineered 2021, 12, 476–495. [Google Scholar] [CrossRef]
- Akturk, A.S.; Demirer, G.N. Improved food waste stabilization and valorization by anaerobic digestion through supplementation of conductive materials and trace elements. Sustainability 2020, 12, 5222. [Google Scholar] [CrossRef]
- Tampio, E.; Ervasti, S.; Paavola, T.; Heaven, S.; Banks, C.; Rintala, J. Anaerobic digestion of autoclaved and untreated food waste. Waste Manag. 2014, 34, 370–377. [Google Scholar] [CrossRef] [Green Version]
- Erguder, T.H.; Demirer, G.N. Organic acid production from the organic fraction of municipal solid waste and cow manure in leaching bed reactors. Environ. Eng. Manag. J. 2016, 15, 2487–2495. [Google Scholar]
- Calicioglu, O.; Demirer, G.N. Biogas production from waste microalgal biomass obtained from nutrient removal of domestic wastewater. Waste Biomass Valoriz. 2016, 7, 1397–1408. [Google Scholar] [CrossRef]
- Ramírez-Arpide, F.R.; Demirer, G.N.; Gallegos-Vázquez, C.; Hernández-Eugenio, G.; Santoyo-Cortés, V.H.; Espinosa-Solares, T. Life cycle assessment of biogas production through anaerobic co-digestion of nopal cladodes and dairy cow manure. J. Clean. Prod. 2018, 172, 2313–2322. [Google Scholar] [CrossRef]
- Gur, E.; Demirer, G.N. Anaerobic digestibility and biogas production capacity of pistachio processing wastewater in UASB reactors. J. Environ. Eng. 2019, 145, 8. [Google Scholar] [CrossRef]
- Jewell, W.J.; Cummings, R.J. Apple pomace energy and solids recovery. J. Food Sci. 1984, 49, 407–410. [Google Scholar] [CrossRef]
- Dubrovskis, V.; Plume, I. Biogas from wastes of pumpkin, marrow and apple. Agron. Res. 2017, 15, 69–78. [Google Scholar]
- Tulun, S.; Bilgin, M. Enhanced soluble protein and biochemical methane potential of apple biowaste by different pretreatment. Earth Sys. Environ. 2018, 2, 85–94. [Google Scholar] [CrossRef]
- Kafle, G.K.; Kim, S.H. Anaerobic treatment of apple waste with swine manure for biogas production: Batch and continuous operation. Appl. Energy 2013, 103, 61–72. [Google Scholar] [CrossRef]
- Coalla, H.L.; Blanco Fernández, J.M.; Morís Morán, M.A.; López Bobo, M.R. Biogas generation apple pulp. Bioresour. Technol. 2009, 100, 3843–3847. [Google Scholar] [CrossRef]
- Appels, L.; Lauwers, J.; Degreve, J.; Helsen, L.; Lievens, B.; Willems, K.; Impe, J.V.; Dewil, R. Anaerobic digestion in global bio-energy production: Potential and research challenges. Renew. Sustain. Environ. Rev. 2011, 15, 4295–4301. [Google Scholar] [CrossRef]
- Prajapati, K.B.; Singh, R. Enhancement of biogas production in bio-electrochemical digester from agricultural waste mixed with wastewater. Renew. Energy. 2020, 146, 460–468. [Google Scholar] [CrossRef]
- Liu, J.; Yang, M.; Zhang, J.; Zheng, J.; Xu, H.; Wang, Y.; Wei, Y. A comprehensive insight into the effects of microwave-H2O2 pretreatment on concentrated sewage sludge anaerobic digestion based on semi-continuous operation. Bioresour. Technol. 2018, 256, 118–127. [Google Scholar] [CrossRef]
- Dai, X.H.; Duan, N.; Dong, B.; Dai, L.L. High-solids anaerobic co-digestion of sewage sludge and food waste in comparison with mono digestions: Stability and performance. Waste Manag. 2012, 33, 308–316. [Google Scholar] [CrossRef] [PubMed]
- Tojo, G.C.; Moscoviz, R.; Ruiz, D.; Catalina, G.S.; Trably, E.; Rouez, M.; Crest, M.; Steyer, J.P.; Bernet, N.; Delgenes, J.P.; et al. Addition of granular activated carbon and trace elements to favor volatile fatty acid consumption during anaerobic digestion of food waste. Bioresour. Technol. 2018, 260, 157–168. [Google Scholar] [CrossRef] [PubMed]
- Zhang, W.; Wu, S.; Guo, J.; Zhou, J.; Dong, R. Performance and kinetic evaluation of semi-continuously fed anaerobic digesters treating food waste: Role of trace elements. Bioresour. Technol. 2015, 178, 297–305. [Google Scholar] [CrossRef]
- Barua, S.; Dhar, B.R. Advances towards understanding and engineering direct interspecies electron transfer in anaerobic digestion. Bioresour. Technol. 2017, 244, 698–707. [Google Scholar] [CrossRef] [PubMed]
- Viggi, C.C.; Simonetti, S.; Palma, E.; Pagliaccia, P.; Braguglia, C.; Fazi, S.; Aulenta, F. Enhancing methane production from food waste fermentate using biochar: The added value of electrochemical testing in pre-selecting the most effective type of biochar. Biotechnol. Biofuels 2017, 10, 303. [Google Scholar] [CrossRef]
- Wang, G.; Li, Q.; Gao, X.; Wang, X.C. Synergetic promotion of syntrophic methane production from anaerobic digestion of complex organic wastes by biochar: Performance and associated mechanisms. Bioresour. Technol. 2017, 250, 812–820. [Google Scholar] [CrossRef]
- Park, J.; Kang, H.; Park, K.; Park, H. Direct interspecies electron transfer via conductive materials: A perspective for anaerobic digestion applications. Bioresour. Technol. 2018, 254, 300–311. [Google Scholar] [CrossRef]
- Lin, R.; Cheng, J.; Zhang, J.; Zhou, J.; Cen, K.; Murphy, J.D. Boosting biomethane yield and production rate with graphene: The potential of direct interspecies electron transfer in anaerobic digestion. Bioresour. Technol. 2017, 239, 345–352. [Google Scholar] [CrossRef]
- Tian, T.; Qiao, S.; Li, X.; Zhang, M.; Zhou, J. Nano-graphene induced positive effects on methanogenesis in anaerobic digestion. Bioresour. Technol. 2017, 224, 41–47. [Google Scholar] [CrossRef] [PubMed]
- Baird, R.; Bridgewater, L. Standard Methods for the Examination of Water and Wastewater, 23rd ed.; American Public Health Association: Washington, DC, USA, 2017. [Google Scholar]
- Achinas, S.; Euverink, G.J.W. Elevated biogas production from the anaerobic co-digestion of farmhouse waste: Insight into the process performance and kinetics. Waste Manag. Res. 2019, 37, 1240–1249. [Google Scholar] [CrossRef] [PubMed]
- Zhao, M.X.; Ruan, W.Q. Biogas performance from co-digestion of Taihu algae and kitchen wastes. Energy Convers. Manag. 2013, 75, 21–24. [Google Scholar] [CrossRef]
- Raposo, F.; Fernández-Cegrí, V.; De la Rubia, M.A.; Borja, R.; Béline, F.; Cavinato, C.; Demirer, G.; Fernández, B.; Fernández-Polanco, M.; Frigon, J.C.; et al. Biochemical methane potential (BMP) of solid organic substrates: Evaluation of anaerobic biodegradability using data from an international inter-laboratory study. J. Chem. Technol. Biotechnol. 2011, 86, 1088–1098. [Google Scholar] [CrossRef]
- Pham, C.H.; Triolo, J.M.; Cu TT, T.; Pedersen, L.; Sommer, S.G. Validation and recommendation of methods to measure biogas production potential of animal manure. Asian-Australas J. Anim. Sci. 2013, 26, 864–873. [Google Scholar] [CrossRef] [PubMed] [Green Version]
- Brown, D.; Li, Y. Solid state anaerobic co-digestion of yard waste and food waste for biogas production. Bioresour. Technol. 2013, 127, 275–280. [Google Scholar] [CrossRef]
- Meng, Y.; Li, S.; Yuan, H.; Zou, D.; Liu, Y.; Zhu, B.; Chufo, A.; Jaffar, M.; Li, X. Evaluating biomethane production from anaerobic mono- and co-digestion of food waste and floatable oil (FO) skimmed from food waste. Bioresour. Technol. 2015, 185, 7–13. [Google Scholar] [CrossRef]
- Li, K.; Liu, R.; Cui, S.; Yu, Q.; Ma, R. Anaerobic co-digestion of animal manures with corn stover or apple pulp for enhanced biogas production. Renew. Energy 2018, 118, 335–342. [Google Scholar] [CrossRef]
- Labatut, R.; Angenent, L.T.; Scott, N. Biochemical methane potential and biodegradability of complex organic substrates. Bioresour. Technol. 2011, 102, 2255–2264. [Google Scholar] [CrossRef]
- Lin, J.; Zuo, J.; Gan, L.; Li, P.; Liu, F.; Wang, K.; Chen, L.; Gan, H. Effects of mixture ratio on anaerobic co-digestion with fruit and vegetable waste and food waste of China. J. Environ. Sci. 2011, 23, 1403–1408. [Google Scholar] [CrossRef]
- Shen, F.; Yuan, H.; Pang, Y.; Chen, S.; Zhu, B.; Zou, D.; Liu, Y.; Ma, J.; Yu, L.; Li, X. Performances of anaerobic co-digestion of fruit & vegetable waste (FVW) and food waste (FW): Single-phase vs. two-phase. Bioresour. Technol. 2013, 144, 80–85. [Google Scholar] [PubMed]
- Ziaee, F.; Mokhtarani, N.; Pourrostami Niavol, K. Solid-state anaerobic co-digestion of organic fraction of municipal waste and sawdust: Impact of co-digestion ratio, inoculum-to-substrate ratio, and total solids. Biodegradation 2021, 32, 299–312. [Google Scholar] [CrossRef] [PubMed]
- Zia, M.; Ahmed, S.; Kumar, A. Anaerobic digestion (AD) of fruit and vegetable market waste (FVMW): Potential of FVMW, bioreactor performance, co-substrates, and pre-treatment techniques. Biomass Conv. Bioref. 2020. [Google Scholar] [CrossRef]
- Ambaye, T.G.; Rene, E.R.; Dupont, C.; Wongrod, S.; van Hullebusch, E.D. Anaerobic digestion of fruit waste mixed with sewage sludge digestate biochar: Influence on biomethane production. Front. Energy Res. 2020, 8, 31. [Google Scholar] [CrossRef] [Green Version]
- Yang, Y.; Zhang, Y.; Li, Z.; Zhao, Z.; Quan, X.; Zhao, Z. Adding granular activated carbon into anaerobic sludge digestion to promote methane production and sludge decomposition. J. Clean. Prod. 2017, 149, 1101–1108. [Google Scholar] [CrossRef]
- Rasapoor, M.; Young, B.; Asadov, A.; Brar, R.; Sarmah, A.K.; Zhuang, W.Q.; Baroutian, S. Effects of biochar and activated carbon on biogas generation: A thermogravimetric and chemical analysis approach. Energy Convers. Manag. 2020, 203, 112221. [Google Scholar] [CrossRef]




| Parameter | Seed | Apple Pomace |
|---|---|---|
| CODt (mg/L) | 48,500 ± 566 | 73,000 ± 90 |
| CODs (mg/L) | - | 42,880 ± 260 |
| TS (mg/L) | 34,345 ± 145 | 15,700 ± 830 |
| VS (mg/L) | 21,150 ± 1174 | 9250 ± 1250 |
| TKN (mg/L) | 2750 ± 71 | 140 ± 10 |
| Total P (mg/L) | 650 ± 71 | 170 ± 10 |
| pH | 7.80 | 7.53 |
| Reactor * | Seed | Apple Pomace | Trace Metal Solution | Biochar | Graphene | |
|---|---|---|---|---|---|---|
| First Experimental Setup | C1 | + | - | - | - | - |
| T1 | + | + | - | - | - | |
| T2 | + | + | + | - | - | |
| T3 | + | + | - | + | - | |
| T4 | + | + | + | + | - | |
| T5 | + | + | - | - | - | |
| T6 | + | + | + | - | - | |
| T7 | + | + | - | + | - | |
| T8 | + | + | + | + | - | |
| Second Experimental Setup | C2 | + | - | - | - | - |
| T9 | + | + | - | - | - | |
| T10 | + | + | - | - | + |
| Biogas Production | Methane Yield | |||||
|---|---|---|---|---|---|---|
| Methane Content (%) | Volume (mL) | Change Relative to AP Only Reactor (%) | mL CH4/g VS | mL CH4/g COD | Change Relative to AP Only Reactor (%) | |
| C1 | 62.6 ± 4.8 | 29.0 ± 0.3 | - | - | - | - |
| T1 | 61.0 ± 0.8 | 343.9 ± 7.2 | - | 380.4 ± 1.8 | 232.5 ± 3.6 | - |
| T2 | 60.09 ± 0.8 | 368.5 ± 0 | 7.2 | 401.4 ± 5.5 | 245.3 ± 3.3 | 5.5 |
| T3 | 64.1 ± 1.9 | 389.5 ± 6.5 | 13.3 | 452.6 ± 5.4 | 276.6 ± 2.2 | 19.0 |
| T4 | 61.1 ± 1.7 | 422.1 ± 7.9 | 22.7 | 468.0 ± 3.6 | 286.0 ± 6.2 | 23.0 |
| T5 | 64.0 ± 0.3 | 617.1 ± 7.8 | - | 358.9 ± 8.1 | 219.3 ± 7.7 | - |
| T6 | 63.6 ± 4.9 | 633.1 ± 38.8 | 2.6 | 365.9 ± 8.9 | 223.6 ± 6.0 | 1.9 |
| T7 | 61.5 ± 0.2 | 685.8 ± 18.6 | 11.1 | 382.9 ± 7.7 | 234.0 ± 4.1 | 6.7 |
| T8 | 62.5 ± 0.6 | 756.0 ± 19.4 | 19.4 | 429.5 ± 4.5 | 262.5 ± 0 | 19.6 |
| C2 | 61.7 ± 0.5 | 32.8 ± 2.2 | - | - | - | - |
| T9 | 63.1 ± 0.9 | 613.9 ± 15.7 | - | 351.6 ± 3.9 | 214.8 ± 9.6 | - |
| T10 | 60.2 ± 1.0 | 784.8 ± 17.3 | 27.8 | 429.0 ± 6.8 | 262.2 ± 0.4 | 22.0 |
Publisher’s Note: MDPI stays neutral with regard to jurisdictional claims in published maps and institutional affiliations. |
© 2021 by the authors. Licensee MDPI, Basel, Switzerland. This article is an open access article distributed under the terms and conditions of the Creative Commons Attribution (CC BY) license (https://creativecommons.org/licenses/by/4.0/).
Share and Cite
Claes, A.; Melchi, L.; Uludag-Demirer, S.; Demirer, G.N. Supplementation of Carbon-Based Conductive Materials and Trace Metals to Improve Biogas Production from Apple Pomace. Sustainability 2021, 13, 9488. https://doi.org/10.3390/su13179488
Claes A, Melchi L, Uludag-Demirer S, Demirer GN. Supplementation of Carbon-Based Conductive Materials and Trace Metals to Improve Biogas Production from Apple Pomace. Sustainability. 2021; 13(17):9488. https://doi.org/10.3390/su13179488
Chicago/Turabian StyleClaes, Addam, Lucy Melchi, Sibel Uludag-Demirer, and Goksel N. Demirer. 2021. "Supplementation of Carbon-Based Conductive Materials and Trace Metals to Improve Biogas Production from Apple Pomace" Sustainability 13, no. 17: 9488. https://doi.org/10.3390/su13179488
APA StyleClaes, A., Melchi, L., Uludag-Demirer, S., & Demirer, G. N. (2021). Supplementation of Carbon-Based Conductive Materials and Trace Metals to Improve Biogas Production from Apple Pomace. Sustainability, 13(17), 9488. https://doi.org/10.3390/su13179488
