Next Article in Journal
Research on Route Optimization of Hazardous Materials Transportation Considering Risk Equity
Previous Article in Journal
Sustaining Astronauts: Resource Limitations, Technology Needs, and Parallels between Spaceflight Food Systems and those on Earth
 
 
Font Type:
Arial Georgia Verdana
Font Size:
Aa Aa Aa
Line Spacing:
Column Width:
Background:
Article

The Efficiency of LED Irradiation for Cultivating High-Quality Tomato Seedlings

1
Department of Environmental Engineering and Management, Faculty of Natural Sciences, L.N. Gumilyov Eurasian National University, Satpayev Street 2, Nur-Sultan 010000, Kazakhstan
2
Department of Management, Faculty of Economics, L.N. Gumilyov Eurasian National University, Satpayev Street 2, Nur-Sultan 010000, Kazakhstan
3
Department of Agriculture and Plant Growing, Faculty of Agronomy, S. Seifullin Kazakh AgroTechnical University, Pobedy Av, 62, Nur-Sultan 010011, Kazakhstan
4
Department of Fruit and Vegetable Growing and Walnut Growing, Faculty of Agrobiology and Phyto-Sanitary, Kazakh National Agrarian University, Abaiav, Almaty 050010, Kazakhstan
*
Author to whom correspondence should be addressed.
Sustainability 2021, 13(16), 9426; https://doi.org/10.3390/su13169426
Submission received: 24 July 2021 / Revised: 14 August 2021 / Accepted: 18 August 2021 / Published: 22 August 2021

Abstract

Light qualities are considered to affect many plant physiological processes during growth and development. To investigate how light qualities make an influence on tomato seedlings under greenhouse conditions, the growth and morphological parameters of tomato seedlings (Fortizia F1RC hybrid) were studied under three supplemental light irradiations such as light-emitting diodes with nanoparticle coating (LED 1—Red light-emitting diodes); Blue, Green, Yellow, Red light-emitting diodes (LED 2), and traditional high-pressure sodium (HPS) lamps with different photosynthetic photon flux density and the same irradiation time for 33 days. Morphological appearances of three groups of tomato seedlings were different between light treatments, that is, the plants under LED-1 and LED-2 were shorter than those under HPS, while stem diameter, leaf area, dry and fresh weights, and health indices of tomato seedlings grown under alternative light sources were higher than of those cultivated under traditional HPS lights. However, the higher plant height was in plants containing traditional high-pressure sodium lamps treatment. Photosynthetic pigments were shown to have a significant difference under respective light irradiations of LEDs. The levels of photosynthetic pigments were higher in the leaves of seedlings under LED 1 and LED 2, and lower in those that underwent HPS control treatment. Based on the data of morphological and statistical analysis, LEDs with nanoparticle coating proved to be beneficial factors for the growth of tomato seedlings under greenhouse conditions.

1. Introduction

Proper growing conditions in the greenhouse are crucial to providing high-quality tomato seedlings and further tomato fruits yield. The development and physiology of plants are highly influenced by the light spectrum of the greenhouse environment. Light is known as the most important source of energy for plant photosynthesis and is an important signal of its growth and development. Light, its intensity, quality, and duration are the fundamental factors that affect the process of photosynthesis and plant growth. Light also affects the content of primary and secondary metabolites in plants [1]. Under artificial growing conditions, a lighting system can determine the cost and nutrient quality of plants [2,3]. Light qualities are known to control morphogenesis, growth, and differentiation of plant cells, tissue and organ cultures [4].
In the northern and central regions of Kazakhstan and many other parts of cold regions in the world are often cold, and winter is usually characterized by short daylights for about six months a year. Such climate usually results in low daily light integral that causes the reduction of seedling growth rate and extension of the transplant production period. The best daily light integrals for tomato seedling growth ranges from 13 to 16 mol *m−2 *d−1 [5]. However, in a seasonably light-limited climate, sunlight rarely provides sufficient daily light integrals within greenhouses to produce high-quality seedlings when the propagation season begins (November, December, or April). High-quality tomato seedlings should be uniform in size with well-developed leaves and roots (straight and short (12 to 13 cm in length)), thick stems, and deep-green leaves [6].
Plant responses to light sources or spectra have been examined largely for seedlings or short-term crops using sole-source or supplemental lighting. There is a lack of information regarding the long-term effects of light properties on plant growth and development and its underlying mechanisms. The vast majority of studies on plant-biomass allocation have focused on either the transition from the vegetative to the reproductive phase or allocation among plant vegetative parts (leaves, stems, and roots) while excluding reproductive parts (i.e., fruits). The effects of a light environment are often not considered in allocation studies. Studies of whole-plant responses to the light environment are extremely limited and cannot be extrapolated from short-term observations of seedlings or short-term crops. A mechanistic understanding of these relationships not only has significant impacts on plant science research but also has practical implications for efficient crop production.
Supplemental lighting promotes the growth of greenhouse-grown vegetable seedlings by increasing total daily light integral. High-pressure sodium lamps (HPS) are the most widely used electric light source for greenhouse supplemental lighting during transplant production. In general, HPS lamps provide an orange-biased spectrum by primarily emitting light in the range of 565 to 700 nm. And it is widely accepted that any wavelength of light within the photosynthetically active radiation spectrum (400 to 700 nm) contributes to photosynthesis and crop productivity. Over the past decades, interest has shifted toward alternative supplemental lighting sources that can reduce production costs by decreasing electrical energy consumption while maintaining transplant quality.
Light-emitting diodes (LEDs) represent a promising technology for the greenhouse industry. LEDs have technical advantages over traditional lighting sources but are only recently being tested for horticultural applications [7]. Light-emitting diodes are the first source to have the capability of true spectral control, allowing wavelength to be matched to plant photoreceptors to provide more optional production and to influence plant morphology and composition [8,9].
The main advantage of LEDs over all other types of plant lighting lamps is that the technology is rapidly advancing in terms of energy efficiency. LEDs do not generally “burn out” like traditional lamps, and their lifetime is measured as the time of LED to dim to 70% of its original intensity. The lifetime of LEDs is about 100,000 h and still rising [9]. And its economic effect is achieved not only due to the high energy efficiency of LED light sources, their high reliability (the lifetime is more than 10 times higher than that of HPS lamps) but also, due to fundamentally new capabilities of agricultural technology to increase cultivation productivity for by optimizing the growth and development of plants by controlling the spectral composition and radiation intensity of LEDs at all stages of ontogenesis. Thus, numerous studies have shown the effects of LEDs on plants, such as elongation, axillary shoot formation, leaf anatomy, and rhizogenesis [10,11,12].
Along with LED energy savings and functionality, their safety for users and the environment is worth to be mentioned. There is no fragile glass envelope to break, no high touch temperatures; LEDs contain no hazardous materials, such as mercury [13]. The selection of an appropriate material is an important process for a relatively high-productive system and has been observed to be of a significant effect in many other scientific fields [14].
The objectives of this study were to examine how LEDs with nanoparticle coating manufactured by LED System LLP affect plant growth and transplant quality and to find the suitable light intensity for the two cultivations of Fortizia F1RCtomato under local greenhouse conditions. Morphological characters, stem diameter, leaf area, and dry weight of plants have been determined after exposure to different supplemental light sources.

2. Materials and Methods

2.1. Plant Material and Growing Conditions

The experiment took place in the greenhouse of Led System Medial LLP located in Nur-Sultan city, Kazakhstan. The tomato seedlings were subject to supplemental lighting of LED with nanoparticle coating (Figure 1) and traditional high-pressure sodium lamps (HPS). The experimental facility air temperature was automatically maintained at +23–24 °C with the help of an air conditioning system, and the relative humidity was maintained at 60–70%. The microclimate was controlled using a multifunctional meteorological station model Terasea (Luxembourg, Germany).
Plant material: Fortizia F1RC hybrid tomato seedlings, in total 80 pieces.
The seeds were planted in seed starter trays on 15 February 2021. Only calibrated and treated seeds were sewn. The quality of seeds corresponded to the 1st class seeds.
Seeds were planted in rock wool cubes moistened to 100%. Seeds were planted in excess by 10% in the case of rejection or replacing the fallen ones. Seeds planting was done by hand. Seeds were sprinkled on top with vermiculite. Before planting seeds, rock wool cubes were saturated with the nutrient solution with 1.8 concentrations, pH—5.5. For optimal vegetative growth, the nutrient solution with high calcium content and ammonia-free fertilizers were used.
Germinated seeds (after 2–3 days) were transferred under a light source for 24 h supplemental lighting (illuminance was 8 kilolux) for 3 days. The other 12 days the treatment with supplemental lighting was carried out for 17 h a day. At the two and three-leave stage seedlings were pricked out into mineral wool cubes. The number of seedlings transplanted per 1 m2 was 25 pieces. After pricking out, the number of seedlings per 1 m2 was maintained at 20 pieces. The conductivity of the nutrient solution was maintained at EC = 1.3–1.7 µS/cm. The growing of seedlings was completed by the 45th day after germination. After the experiment, we examined the growth and quality of tomato seedlings. Biometrical and phenological observations were taken according to the State methodology of crop variety testing [15].
The study of the pigments of the leaf of tomato seedlings was carried out in accordance with the generally accepted method for determining the content of the main pigments, using spectrophotometric analysis [16].

2.2. Experimental Facility

The experiment was carried out in the specialized experimental facility designed and manufactured for research of tomato seedlings’ growth under supplemental lighting and traditional HPS lights (control).
Experimental LED lights of domestic origin (hereinafter, LED lights) were used as a photosynthetically active radiation source (PAR). Lights in the experimental facility were in the form of closed shelves designed for tomato seedlings growing. Experimental facilities for growing tomato seedlings consist of an LED irradiation system and a nutrient solution supply system. The brightness of the irradiation system can be adjusted in the range of 50–100%. The LED lighting system of each shelf has its spectral compositions (Table 1). LED lighting system turns on and turns off automatically. The photoperiod was 17 h a day.

2.3. Analysis of Growth Parameters and Biomass of Plants

Biometrical and phenological observations of tomato seedlings were taken according to the State methodology of crop variety testing. As a result of phenological measurements, the following dates were recorded: planting date, single and mass germination dates. Once a week we carried the measurement of the following indicators, such as the height of the main stem (cm), stem diameter (mm), and leaf area (cm2). The height of plants was measured from the main stem base up to the plant’s top with the help of a ruler. The measurement of stem diameter was performed with electronic Vernier calipers. Leaf area of single leaves (cm2) was measured using the ImageJ leaf disc method [17].
The most significant indicator for cultivation is the biological productivity of plants identified by the dry mass yield. The growth of a plant can be measured by its dry weight and fresh weight. The increase in dry weight directly relates to the rate of photosynthesis [18,19].

2.4. Statistical Analysis

Statistical analyses were conducted using Statistical Product and Service Solutions (SPSS 21.0) for Windows as well as using the analysis of variance (ANOVA), while the differences among the means were calculated using Duncan’s multiple range test (p < 0.05).

3. Results and Discussion

3.1. Environmental Conditions during the Experiment

One of the most important microclimate parameters affecting tomato production and quality is air temperature [20]. Jun et al. [21] reported that the best temperature regime for net photosynthesis on greenhouse-grown tomatoes is 28/20 °C (day/night), while higher or lower temperatures can negatively affect fruit sets [22]. In this research, minimum and maximum average air temperatures inside the greenhouse were maintained between +20 °C and +22°C, and the relative humidity was maintained at 60–70%.

3.2. Morphological Analysis and Biometrical Parameters

The results revealed that light qualities had significant effects on tomato seedlings’ morphogenesis (Table 2). The morphology of tomato seedlings was significantly different under different light intensities (Table 3). As can be seen in Table 2, HPS (control) light’s effect was the lowest, particularly, stem diameter, dry weight, leaf area, and health index. LED-1 demonstrated better results in such indices as dry weight (g), fresh weight (g), height (cm), and health index, while LED-2 was more efficient in tomato seedlings’ stem diameter (cm) and leaf area (cm2).
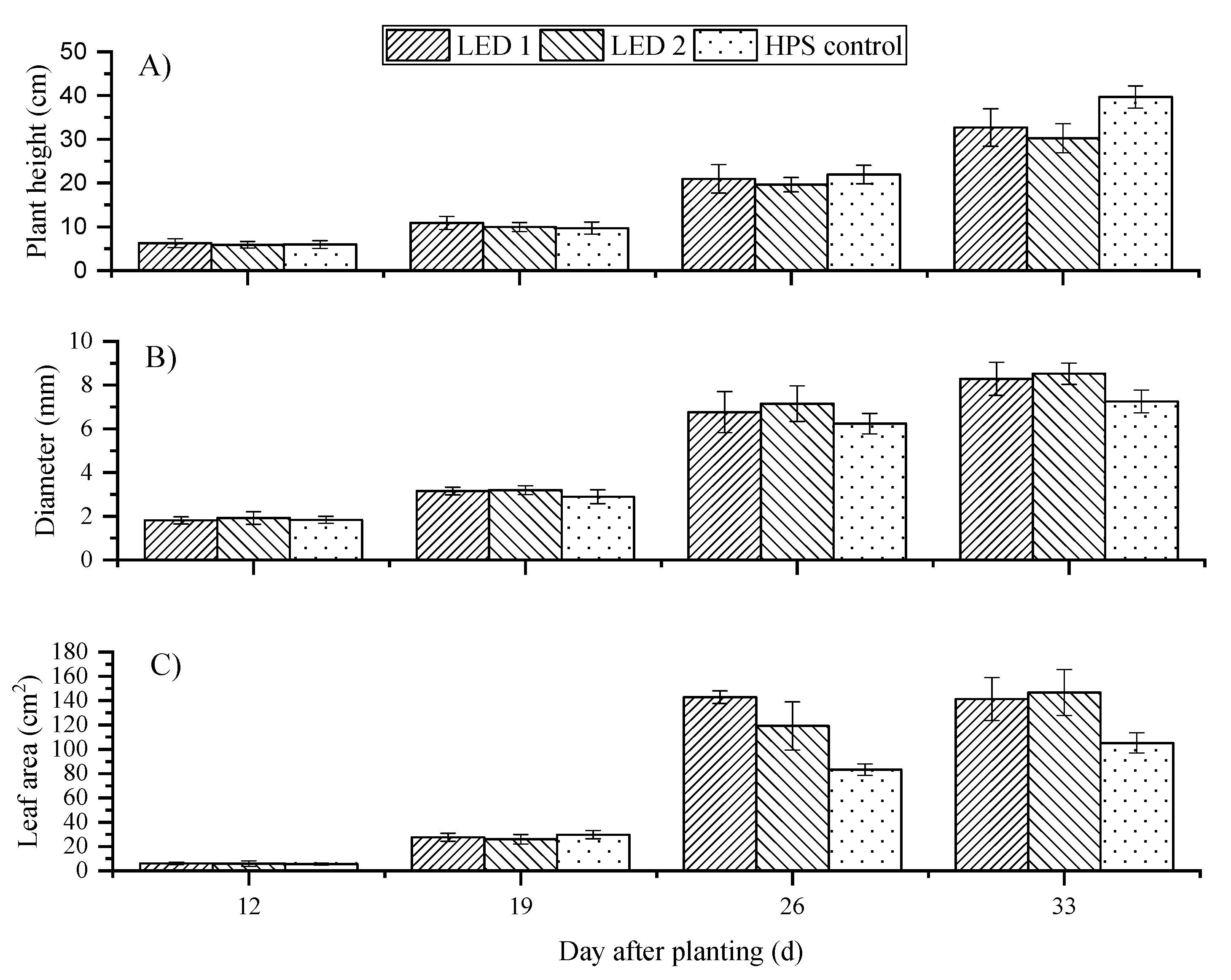
To analyze the growth dynamics, we measured the height of tomato seedlings. Plant height is one of the most important indices. As shown in Figure 2A during the first 12 days under all treatments were statistically at par, while the measurements on the 26th and 33rd days after planting in HPS control were higher, than in LED 1 and LED 2.
Illumination of plants in the HPS variant (control) led to the elongation of the stem, thereby leading to the elongation of the stem of the control plants. Such plants become less resistant to adverse external influences (Table 3). When the organs of plants are pulled out, their cells from a horizontal position take a vertical one. They become larger, with thin shells, but their number remains the same. Such cells become less resistant to adverse external influences, are more often affected by diseases, and are damaged by pests. The reason that gives rise to the phenomenon of stretching can be a significant lack of illumination.
The stem diameter is an important parameter describing the growth of the tomato plant during the vegetative period [23]. The stem plays a key role in the transportation of water and the translocation of carbohydrates [24]. The stem diameter is an important parameter describing the growth of crop plants under abiotic stress during the vegetative growth stage. Therefore, it is important to improve the stem diameter growth model to predict the response of stem diameter variations (SDV) to environmental changes and plant growth under different conditions. Figure 2B demonstrates the effect of experimental LED lights and HPS lighting on the tomato seedlings’ stem diameter. Supplemental lighting increased hypocotyl diameter, epicotyl length, shoot dry weight, leaf number, and leaf expansion relative to the control, whereas hypocotyl elongation decreased when SL was applied. For all cultivars tested, the combination of red and blue in SL typically increased the growth of tomato seedlings [25]. Morphological appearances of seedlings were significantly different between light treatments, that is, the plants under RB and RBG were shorter and stronger than those under C, while those under O, G, and R were higher and weaker [26]. Light irradiations with LEDs had significant effects on the morphological appearances of cherry tomato seedlings (Table 2 and Figure 2). Compared with the C treatment, the plants of R, O, and G treatment were significantly weaker and higher, while the plants of B, RB, and RBG treatments were stronger and lower. Stem diameter did not show significant differences among all light treatments. Leaf area of plants irradiated with C was significantly larger than those under the other LEDs and there was shown to be no significant difference among those under the irradiations of the other LEDs. The dry weight and fresh weight of the plants with B were significantly higher than that with respective irradiations of the R, O, G LED and that with RB, and RBG followed. The content of water in plants had no significant difference among all light treatments. Specific leaf area (SLA) under O and G treatments was greater than that under the other respective irradiations of LEDs, while that of RB treatment showed the lowest SLA [27].
The dry weight of the plant under LED-1 and LED-2 supplemental lightings increased Table 2 in comparison with HPS lights. This increase in plant dry weight was mainly related to differences in light absorption, which in turn were mainly due to differences in leaf area Figure 2C rather than other morphological parameters. The combination of B and R LED lighting increased total dry matter [27], photosynthetic pigment content, stomata number, and reasonable photosynthate distribution in cherry tomato seedlings [28].
The results support the finding that decreased photosynthesis in infected tissues is in part due to decreased levels of chlorophyll [29]. The contents of Chl and carotenoid in leaves of plants under different irradiations of LEDs were shown to have no significant differences (Table 3). Compared with HPS control treatment, the contents of Chla, Chlb, Chl (a + b), and carotenoids in leaves of plants with LED-1 and LED-2 treatments showed a tendency to be barely higher than those with the other irradiations of LEDs (Figure 3). The contents in the leaves of the HPS control treatment were shown to be lower. Chla/b showed a tendency to have no significant difference in the order of the light irradiations of all treatments. Carotenoid contents statistically differ between the treatments. The leaf color of the plants grown under the irradiations of LED-1 and LED-2 was dark green, while that grown under the irradiations of HPS control was bright green (Figure 3). In experiments with fodder cabbage and sugar beet, the influences were tested which restrict the finding of a uniform linear dependence between the chlorophyll content and photosynthetic rate [30]. The results of our experiment also confirm the above conclusions. Not significantly, but still, a higher content of Chla and Chl b was found in the leaves of tomato seedlings irradiated with LED-1 and LED-2 (Table 3). The contents of Chl and carotenoid in leaves of plants under different irradiations of LEDs were shown to have no significant differences (Table 2). Compared with C treatment, the contents of Chla, Chlb, Chl (a + b), and carotenoids in leaves of plants with RBG showed a tendency to be barely higher than those with the other irradiations of LEDs. The contents in the leaves of R and O treatments were shown to be lower. Chla/b showed a tendency to have a significant difference in the order of the light irradiations of RB, R, G, B, C, RBG and O. Leaf color of the plants grown under the irradiations of C, B, RB, and RBG was dark green, while that grown under the irradiations of R, O and G was yellowish-green [31].
Carotenoid is the auxiliary pigment of antenna Chls in chloroplasts and can help Chl to receive light energy [32]. The carotenoid content in leaves of lettuce plants under different light irradiations showed to be high in the order of white, yellow, blue, and red [33]. In the present study, the carotenoid content of cherry tomato leaves under RBG was the highest, and that under RB, B, G and C showed no significant difference, while that under O and R was the lowest (Table 3). The difference between the result and Table 3 may be due to qualitative and quantitative differences between various spectral irradiations and plant species [34].
Many experiments have been carried out in recent years. Scientists from different countries have studied the effect of light spectra on the growth, productivity, and physiology of tomato plants. The results were conflicting, but all researchers confirm that tomatoes need a combination of R and B light [35].
Light qualities regulate plant growth and development via various photoreceptors that stimulate signal transduction systems to change plant morphology. In this study, the morphological and photosynthetic characteristics of tomato seedlings grown in the greenhouse were significantly affected by light qualities. The results showed that plants grown under LED lights with nanoparticle coating had better characteristics and improved plant growth parameters.
In this study, we also found that plant height reached a maximum under LED lights irradiation than under HPS lamps. This might account for a certain level of decline in the tomato leaf photosynthetic rate, which resulted in a reduced accumulation of photosynthetic products. The difference in orientation of illumination used in previous studies and the present study should also be considered, and it would require further detailed research.
The larger and wider leaf allowed more light interception, which may have led to a significant increase in biomass. The results showed that plants are grown under LED-1 and LED-2 irradiation had a higher photosynthetic rate and improved plant growth parameters. We also assume that responses of plant growth to light qualities might not only be related to species of tomato but also the growth period and light intensity. This needs to be further studied. The larger leaf allowed greater light interception, which may have led to a certain increase in biomass.
Starch is the basic carbohydrate reserve that accumulates in the chloroplasts of photosynthesizing leaves. Thus, further study of starch content in tomato seedlings grown under LEDs irradiation is required. Due to the limitations in special laboratory equipment, we couldn’t determine the sucrose cleavage of samples. Further studies are needed to describe the effects of selected LED light qualities in tomato fruit qualities during storage and transportation, and they are under progress.

4. Conclusions

Current greenhouse crop-production systems rely heavily on supplemental electric lighting to improve the light environment and to promote plant growth, especially at northern latitudes. High-pressure sodium (HPS) lamps have been widely used to provide supplemental photosynthetic lighting in greenhouses. HPS lamps emit primarily a yellow-to-orange-biased emission spectrum and are typically positioned high above the canopy to reduce the impact of radiant heat emission.
Light quality is known to be an important factor that regulates the morphogenesis and photosynthetic characteristics of plants. In greenhouse tomato production, supplemental lighting can be used to provide sufficient light energy for plants. In greenhouse tomato production, the quantity of light reaching the lower canopy is less than the top with the permeation of light, and the lower canopy of tomato plantsis often shaded by the neighbouring plants. It is therefore not surprising that light is becoming a main limiting environmental factor in greenhouse tomato production, as it affects photosynthesis, yield, and quality of plants. Light-emitting diodes (LEDs) are considered suitable supplementary lighting to improve the yield and quality of plants. In our study, tomato seedlings grown under greenhouse conditions demonstrated strong morphological plasticity when exposed to different LED light qualities. We studied the effect of LED lights with nanoparticle coating, which consists of an LED irradiation system and nutrient solution supply system on the growth and quality of tomato seedlings cultivated in the greenhouse. The results of our study suggested that proper light quality effectively regulated photosynthetic capacity and plant growth. Tomato seedlings grown under the experimental supplemental lighting were shorter than those of traditional HPS lights. Although stem diameters of plants cultivated under three different supplemental lightings were at the same level on the 12th day, but from the 19th day till the end of the experiment (33rd day) LED-1 and LED-2 demonstrated a better effect on stem diameter than HPS light. Morphological parameters such as dry weight, fresh weight, leaf area, and health index of tomato seedlings grown under the experimental alternative light sources (LED-1 and LED-2) were also higher than that of those cultivated under the traditional HPS lights. The interactive effects of light quality and temperature on plant morphology and growth are hardly known. Further study is needed to identify the dependence of thermo-sensitivity of plant height on light quality. However, the study indicated that stem elongation is related to root growth and photosynthetic pigments. The energy of a photon depends on light wavelength, and blue photons have more energy but drive the photosynthetic reaction less efficiently than red photons because their high energy is not fully utilized [33]. The current results suggested that higher temperature combined with LED-1 and LED-2 creates indisputable optimal regimes for tomato seedling growth, but a combination of lower temperature and LED light regime requires further attention in plant production. Light-induced biomass allocation changed between vegetative and reproductive structures during plant growth and development. Based on the data obtained as a result of the comparative and statistical analysis, we can conclude that LED lights with nanoparticle coating can be applied in greenhouses as a source of supplemental lighting: leaf area can improve light absorption, and stem diameter can improve the growth of tomato seedling and further crop productivity. We conclude that light spectral properties affect biomass allocation, and such responses involve morphological and physiological changes in tomato plants.

Author Contributions

Conceptualization, K.M. and A.T. (Arysgul Turbekova); methodology A.K. and A.T. (Arysgul Turbekova); software, A.K. and A.T. (Aman Taukenov); validation, A.K. and Z.T.; formal analysis, S.A. and A.T. (Arysgul Turbekova); investigation A.T. (Arysgul Turbekova); resources, A.T. (Arysgul Turbekova); data curation, A.T. (Aman Taukenov), K.M. and S.Z.; writing—original draft preparation, K.M.; writing—review and editing K.M.; visualization A.K.; supervision, K.M.; project administration A.T. (Arysgul Turbekova). All authors have read and agreed to the published version of the manuscript.

Funding

This research was funded by the Ministry of Education and Science, the Republic of Kazakhstan to support grant № AP08956527 for 2020–2021 years, of the S. Seifullin Kazakh AgroTechnical University «Adaptation of Kazakhstan phytofixtures with automated spectrum change control for cultivation of greenhouse vegetables in various light zones of Kazakhstan».

Institutional Review Board Statement

Not applicable.

Informed Consent Statement

Not applicable.

Data Availability Statement

Not applicable.

Conflicts of Interest

The authors declare no conflict of interest. The funders had no role in the design of the study; in the collection, analyses, or interpretation of data; in the writing of the manuscript, or in the decision to publish the results.

References

  1. Dou, H.; Niu, G.; Gu, M.; Masabni, J. Effects of Light Quality on Growth and Phytonutrient Accumulation of Herbs under Controlled Environments. Horticulturae 2017, 3, 36. [Google Scholar] [CrossRef]
  2. Tamulaitis, G.; Duchovskis, P.; Bliznikas, Z.; Breive, K.; Ulinskaite, R.; Brazaityte, A.; Novičkovas, A.; Žukauskas, A. High-power light-emitting diode based facility for plant cultivation. J. Phys. D Appl. Phys. 2005, 38, 3182–3187. [Google Scholar] [CrossRef]
  3. Bourget, C.M. An Introduction to Light-emitting Diodes. HortScience 2008, 43, 1944–1946. [Google Scholar] [CrossRef]
  4. Teixeira, R.T. Distinct Responses to Light in Plants. Plants 2020, 9, 894. [Google Scholar] [CrossRef] [PubMed]
  5. Fan, X.-X.; Xu, Z.-G.; Liu, X.-Y.; Tang, C.-M.; Wang, L.-W.; Han, X. Effects of light intensity on the growth and leaf development of young tomato plants grown under a combination of red and blue light. Sci. Hortic. Amst. 2013, 153, 50–55. [Google Scholar] [CrossRef]
  6. Kim, H.; Hwang, S. The Growth and Development of ‘Mini Chal’ Tomato Plug Seedlings Grown under Various Wavelengths Using Light Emitting Diodes. Agronomy 2019, 9, 157. [Google Scholar] [CrossRef]
  7. Kozai, T.; Fujiwara, K.; Runkle, E.S. LED Lighting for Urban Agriculture; Kozai, T., Fujiwara, K., Runkle, E.S., Eds.; Springer Singapore: Singapore, 2016; ISBN 978-981-10-1846-6. [Google Scholar]
  8. Morrow, R.C. LED Lighting in Horticulture. HortScience 2008, 43, 1947–1950. [Google Scholar] [CrossRef]
  9. Viršilė, A.; Olle, M.; Duchovskis, P. LED Lighting in Horticulture. In Light Emitting Diodes for Agriculture; Springer: Singapore, 2017; pp. 113–147. ISBN 9789811058073. [Google Scholar]
  10. Tanaka, Y. A novel regulatory role of glucose transporter of Escherichia coli: Membrane sequestration of a global repressor Mlc. EMBO J. 2000, 19, 5344–5352. [Google Scholar] [CrossRef]
  11. Miliauskienė, J.; Karlicek, R.F.; Kolmos, E. Effect of Multispectral Pulsed Light-Emitting Diodes on the Growth, Photosynthetic and Antioxidant Response of Baby Leaf Lettuce (Lactuca sativa L.). Plants 2021, 10, 762. [Google Scholar] [CrossRef]
  12. Urrestarazu, M.; Nájera, C.; del Gea, M.M. Effect of the Spectral Quality and Intensity of Light-emitting Diodes on Several Horticultural Crops. HortScience 2016, 51, 268–271. [Google Scholar] [CrossRef]
  13. Du, P.; Gao, L.; Tang, J. Focus on performance of perovskite light-emitting diodes. Front. Optoelectron. 2020, 13, 235–245. [Google Scholar] [CrossRef]
  14. Meiramkulova, K.; Devrishov, D.; Marzanov, N.; Marzanova, S.; Kydyrbekova, A.; Uryumtseva, T.; Tastanova, L.; Mkilima, T. Performance of Graphite and Titanium as Cathode Electrode Materials on Poultry Slaughterhouse Wastewater Treatment. Materials 2020, 13, 4489. [Google Scholar] [CrossRef] [PubMed]
  15. Novokhatin, V.V.; Dragavtsev, V.A.; Leonova, T.A.; Shelomentseva, T.B. Creation of a Spring Soft Wheat Variety Grenada with the Use of Innovative Breeding Technologies Based on the Original Theory of Eco-Genetic Arrangement of Quantitative Traits. Sel’skokhozyaistvennaya Biol. 2019, 54, 905–919. [Google Scholar] [CrossRef]
  16. Tomsone, L.; Kruma, Z. Spectrophotometric analysis of pigments in horseradish by using various extraction solvents. In Proceedings of the 13th Baltic Conference on Food Science and Technology “Food. Nutrition. Well-Being”, FOODBALT 2019, Jelgava, Latvia, 2–3 May 2019; pp. 210–215. [Google Scholar]
  17. Pacheco, A.B.; Nascimento, J.G.; Moura, L.B.; Lopes, T.R.; Duarte, S.N.; Coelho, R.D.; Marques, P.A.A. Non-destructive and Destructive Methods to Determine the Leaf Area of Zucchini. J. Agric. Stud. 2020, 8, 295. [Google Scholar] [CrossRef][Green Version]
  18. Promratrak, L. The effect of using LED lighting in the growth of crops hydroponics. Int. J. Smart Grid Clean Energy 2017, 6, 133–140. [Google Scholar] [CrossRef]
  19. Gómez, C.; Gennaro Izzo, L. Increasing efficiency of crop production with LEDs. AIMS Agric. Food 2018, 3, 135–153. [Google Scholar] [CrossRef]
  20. Scarano, A.; Olivieri, F.; Gerardi, C.; Liso, M.; Chiesa, M.; Chieppa, M.; Frusciante, L.; Barone, A.; Santino, A.; Rigano, M.M. Selection of tomato landraces with high fruit yield and nutritional quality under elevated temperatures. J. Sci. Food Agric. 2020, 100, 2791–2799. [Google Scholar] [CrossRef]
  21. Jun, H.; Imai, K.; Suzuki, Y. Effects of day temperature on gas exchange characteristics in tomato ecotypes. Sci. Hortic. Amst. 1990, 42, 321–327. [Google Scholar] [CrossRef]
  22. Peet, M.M.; Sato, S. Comparing Pre- and Post-pollen Production Temperature Stress on Fruit Set and Fruit Production in Male-Sterile and Male-Fertile Tomatoes. HortScience 1997, 32, 526C. [Google Scholar] [CrossRef]
  23. Meng, Z.; Duan, A.; Chen, D.; Dassanayake, K.B.; Wang, X.; Liu, Z.; Liu, H.; Gao, S. Suitable indicators using stem diameter variation-derived indices to monitor the water status of greenhouse tomato plants. PLoS ONE 2017, 12, e0171423. [Google Scholar] [CrossRef]
  24. Baek, S.; Jeon, E.; Park, K.S.; Yeo, K.-H.; Lee, J. Monitoring of Water Transportation in Plant Stem with Microneedle Sap Flow Sensor. J. Microelectromech. Syst. 2018, 27, 440–447. [Google Scholar] [CrossRef]
  25. Gómez, C.; Mitchell, C.A. Growth Responses of Tomato Seedlings to Different Spectra of Supplemental Lighting. HortScience 2015, 50, 112–118. [Google Scholar] [CrossRef]
  26. Xiao, Y.L.; Shi, R.G.; Zhi, G.X.; Xue, L.J.; Tezuka, T. Regulation of Chloroplast Ultrastructure, Cross-section Anatomy of Leaves, and Morphology of Stomata of Cherry Tomato by Different Light Irradiations of Light-emitting Diodes. HortScience 2011, 46, 217–221. [Google Scholar] [CrossRef]
  27. Ying, Q.; Kong, Y.; Zheng, Y. Applying Blue Light Alone, or in Combination with Far-red Light, during Nighttime Increases Elongation without Compromising Yield and Quality of Indoor-grown Microgreens. HortScience 2020, 55, 876–881. [Google Scholar] [CrossRef]
  28. Wei, H.; Xiao, X.W.; Min, P.; Xiao, Y.L.; Lijun, G.; Zhi, G.X. Effect different spectral LED on photosynthesis and distribution of photosynthate of cherry tomato seedlings. In Proceedings of the 2017 14th China International Forum on Solid State Lighting: International Forum on Wide Bandgap Semiconductors China (SSLChina: IFWS), Beijing, China, 1–3 November 2017; pp. 78–84. [Google Scholar]
  29. Ayliffe, M.; Periyannan, S.K.; Feechan, A.; Dry, I.; Schumann, U.; Wang, M.-B.; Pryor, A.; Lagudah, E. A Simple Method for Comparing Fungal Biomass in Infected Plant Tissues. Mol. Plant Microbe Interact. 2013, 26, 658–667. [Google Scholar] [CrossRef]
  30. Šesták, Z. Limitations for finding a linear relationship between chlorophyll content and photosynthetic activity. Biol. Plant. 1966, 8, 336–346. [Google Scholar] [CrossRef]
  31. Kitao, M.; Hayashi, T.; Tomi, K. Effects of Changes in Light Quality on the Aroma Chemotype of Roman Chamomile. Acta Hortic. 2013, 75–80. [Google Scholar] [CrossRef]
  32. Son, M.; Pinnola, A.; Gordon, S.C.; Bassi, R.; Schlau-Cohen, G.S. Observation of dissipative chlorophyll-to-carotenoid energy transfer in light-harvesting complex II in membrane nanodiscs. Nat. Commun. 2020, 11, 1295. [Google Scholar] [CrossRef] [PubMed]
  33. Ramel, F.; Birtic, S.; Cuiné, S.; Triantaphylidès, C.; Ravanat, J.-L.; Havaux, M. Chemical Quenching of Singlet Oxygen by Carotenoids in Plants. Plant Physiol. 2012, 158, 1267–1278. [Google Scholar] [CrossRef]
  34. Dovlatov, I.M. Absorption of the Spectrum of Ultraviolet Radiation by Various Cultures. Elektrotekhnologii Elektrooborud. APK 2020, 67, 14–20. [Google Scholar] [CrossRef]
  35. Xu, H.; Fu, Y.; Li, T.; Wang, R. Effects of different LED light wavelengths on the resistance of tomato against Botrytis cinerea and the corresponding physiological mechanisms. J. Integr. Agric. 2017, 16, 106–114. [Google Scholar] [CrossRef]
Figure 1. Purpose designed experimental facilities for planting tomato seedlings (Nur-Sultan city).
Figure 1. Purpose designed experimental facilities for planting tomato seedlings (Nur-Sultan city).
Sustainability 13 09426 g001
Figure 2. Effects of different light intensities on the growth of tomato seedlings (A—plant height, B—diameter, C—leaf area). Error bars represent the standard deviation (n = 3).
Figure 2. Effects of different light intensities on the growth of tomato seedlings (A—plant height, B—diameter, C—leaf area). Error bars represent the standard deviation (n = 3).
Sustainability 13 09426 g002
Figure 3. Effects of LED light irradiations on leaf appearances of tomato seedlings (LED-1, LED-2, and HPS control).
Figure 3. Effects of LED light irradiations on leaf appearances of tomato seedlings (LED-1, LED-2, and HPS control).
Sustainability 13 09426 g003
Table 1. LED lighting system options used in the experiment.
Table 1. LED lighting system options used in the experiment.
Treatments LED Lights Photon Flux Density (PPFD), μmolm−2s−1Wavelength (nm)
LED lighting 1
(LED-1)
Red light-emitting diodes (LEDs, R)100Sustainability 13 09426 i001
LED lighting 2
(LED-2)
Blue, Green, Yellow, Red light-emitting diodes (LEDs, B, G, Y, R)180Sustainability 13 09426 i002
High-pressure sodium arc lamp
(HPS control)
Yellow light-emitting diodes (LEDs, Y)80Sustainability 13 09426 i003
Table 2. Effects of different light intensities on the morphology of tomato seedlings. Error bars represent the standard deviation (n = 3). The letters mean a significant difference at p < 0.05.
Table 2. Effects of different light intensities on the morphology of tomato seedlings. Error bars represent the standard deviation (n = 3). The letters mean a significant difference at p < 0.05.
LED Lights
Treatments
(molm−2 s−1)
Dry Weight
(g)
Fresh Weight (g)Plant Height
(cm)
Stem Diameter
(mm)
Leaf Area (cm2)Health
Index
LED-16.03 a44.13 a32.69 b8.29 a151.34 a1.53 a
LED-24.98 ab37.21 b30.25 b8.52 a163.38 a1.4 a
HPS control4.22 b36.45 b39.69 a7.25 b93.57 b0.77 b
Table 3. Effects of different light intensities of photosynthetic pigments in leaves of tomato seedlings. Error bars represent the standard deviation (n = 3). The same letters mean a significant difference at p < 0.05.
Table 3. Effects of different light intensities of photosynthetic pigments in leaves of tomato seedlings. Error bars represent the standard deviation (n = 3). The same letters mean a significant difference at p < 0.05.
LED Lights
Treaments
(molm−2 s−1)
Chla (mg·g−1)Chlb (mg·g−1)Chl(a + b) (mg·g−1)Chla/bCarotenoid (mg·g−1)
LED-10.739 a0.447 a1.186 a1.653 a0.148 a
LED-20.665 a0.388 a1.015 ab1.917 a0.128 b
HPS control0.564 b0.285 b0.849 b1.989 a0.111 c
Publisher’s Note: MDPI stays neutral with regard to jurisdictional claims in published maps and institutional affiliations.

Share and Cite

MDPI and ACS Style

Meiramkulova, K.; Tanybayeva, Z.; Kydyrbekova, A.; Turbekova, A.; Aytkhozhin, S.; Zhantasov, S.; Taukenov, A. The Efficiency of LED Irradiation for Cultivating High-Quality Tomato Seedlings. Sustainability 2021, 13, 9426. https://doi.org/10.3390/su13169426

AMA Style

Meiramkulova K, Tanybayeva Z, Kydyrbekova A, Turbekova A, Aytkhozhin S, Zhantasov S, Taukenov A. The Efficiency of LED Irradiation for Cultivating High-Quality Tomato Seedlings. Sustainability. 2021; 13(16):9426. https://doi.org/10.3390/su13169426

Chicago/Turabian Style

Meiramkulova, Kulyash, Zhanar Tanybayeva, Assel Kydyrbekova, Arysgul Turbekova, Serik Aytkhozhin, Serik Zhantasov, and Aman Taukenov. 2021. "The Efficiency of LED Irradiation for Cultivating High-Quality Tomato Seedlings" Sustainability 13, no. 16: 9426. https://doi.org/10.3390/su13169426

APA Style

Meiramkulova, K., Tanybayeva, Z., Kydyrbekova, A., Turbekova, A., Aytkhozhin, S., Zhantasov, S., & Taukenov, A. (2021). The Efficiency of LED Irradiation for Cultivating High-Quality Tomato Seedlings. Sustainability, 13(16), 9426. https://doi.org/10.3390/su13169426

Note that from the first issue of 2016, this journal uses article numbers instead of page numbers. See further details here.

Article Metrics

Back to TopTop