Biomass Quantity and Quality from Different Year-Round Cereal–Legume Cropping Systems as Forage or Fodder for Livestock
Abstract
1. Introduction
2. Materials and Methods
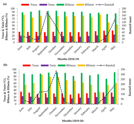
2.1. Site Description and Weather
2.2. Experimental Details
2.3. Biomass Measurements
2.4. Quality Parameters and Fiber Fractions
2.5. Land Use Efficiency and Sustainable Yield Index
2.6. Statistical Analysis
3. Results
3.1. Biomass Yield and Dry Matter Concentration
3.2. Quality Traits
3.3. Fiber Fractions
3.4. Drymatter Intake, Digestible Drymatter, and Relative Feed Value
3.5. Yield of Quality Traits
3.6. Sustainable Yield Index and Land Use Efficiency
4. Discussion
4.1. Biomass Yield
4.2. Quality Traits and its Yield
4.3. Fibre Fractions
4.4. Intake, Digestibility, and Relative Feed Value of Drymatter
4.5. Stability and Efficiency of the Systems
4.6. Strategies to Promote Fodder Production in India and Around the World
5. Conclusions
Author Contributions
Funding
Institutional Review Board Statement
Informed Consent Statement
Data Availability Statement
Acknowledgments
Conflicts of Interest
References
- Singh, H.N.; Kumar, M.R.; Magan, S.; Rakesh, K.; Hardev, R.; Kumar, M.V.; Manish, K. Evaluation of kharif forage crops for biomass production and nutritional parameters in Indo-Gangetic plains of India. Indian J. Anim. Nutr. 2019, 36, 25–29. [Google Scholar] [CrossRef]
- Hindoriya, P.S.; Meena, R.K.; Rakesh, K.; Singh, M.; Ram, H.; Meena, V.K.; Ginwal, D.; Dutta, S. Productivity, and profitability of cereal-legume forages vis-a-vis their effect on soil nutrient status in Indo-Gangetic Plains. Legume Res. 2019, 42, 812–817. [Google Scholar] [CrossRef]
- Makkar, H.P.S. Animal nutrition in a 360-degree view and a framework for future R&D work: Towards sustainable livestock production. Anim. Prod. Sci. 2016, 56, 1561–1568. [Google Scholar] [CrossRef]
- Chaudhary, D.P.; Ashwani, K.; Sapna, S.M.; Srivastava, P.; Kumar, R.S. Maize as Fodder? An Alternative Approach; Technical Bulletin; Directorate of Maize Research, Pusa Campus: New Delhi, India, 2012; p. 32. [Google Scholar]
- Kumar, R.; Singh, M.; Meena, B.S.; Ram, H.; Parihar, C.M.; Kumar, S.; Yadav, M.R.; Meena, R.K.; Kumar, U.; Meena, V.K. Zinc management effects on quality and nutrient yield of fodder maize (Zea mays). Indian J. Agric. Sci. 2017, 87, 29–33. [Google Scholar]
- Roy, A.K.; Agrawal, R.K.; Bhardwaj, N.R.; Mishra, A.K.; Mahanta, S.K. Revisiting National Forage Demand and Availability Scenario; ICAR-AICRP on Forage Crops and Utilization: Jhansi, India, 2019; pp. 1–21.
- Shekara, B.G.; Mahadevu, P.; Chikkarugi, N.M.; Manasa, N. Fodder and livestock scenario in karnataka. In Indian Fodder Scenario: Redefining State Wise Status; Indian Council of Agricultural Research—All India Coordinated Research Project on Forage Crops and Utilization: Jhansi, India, 2019; pp. 79–90. [Google Scholar] [CrossRef]
- Iqbal, A.; Iqbal, M.N.; Akbar, N.; Waseem, M.; Khan, H.Z.; Abbas, R.N. Performance of pearl millet (Pennisetum americanum L.) forage grown in association with forage legumes under different sowing techniques. Custose Agrone Aocio Online 2013, 9, 257–269. [Google Scholar]
- Marer, S.B.; Lingaraju, B.S.; Shashidhara, G.B. Productivity and economics of maize and pigeon pea intercropping under rainfed Northern transitional Zone of Karnataka. Karnataka J. Agric. Sci. 2007, 20, 1–3. [Google Scholar]
- Tamta, A.; Kumar, R.; Ram, H.; Meena, R.K.; Meena, V.K.; Yadav, M.R.; Subrahmanya, D.J. Productivity and profitability of legume-cereal forages under different planting ratio and nitrogen fertilization. Legume Res. 2019, 42, 102–107. [Google Scholar] [CrossRef]
- Reza, Z.O.; Allahdadi, I.; Mazaheri, D.; Akbari, G.A.; Jahanzad, E.; Mirshekari, M. Effect of different planting proportions and nitrogen fertilizer in intercropping forage sorghum and lima bean. Afr. J. Agric. Res. 2013, 8, 6488–6498. [Google Scholar] [CrossRef]
- Ali, M.A.; Khan, F.H.; Ali, R.S.; Afzal, Z.; Saleem, M.T.; Azeem, M. Effect of intercropping of pearl millet and cluster bean on forage quality and quantity. J. Entomol. Zool. Stud. 2016, 4, 397–400. [Google Scholar]
- Sudarshan Reddy, A.; Palled, Y.B. Effect of intercropped fodder cowpea on maize and system productivity in maize + fodder cowpea intercropping systems. J. Farm. Sci. 2016, 29, 265–267. [Google Scholar]
- AOAC. The Official Methods of Analysis; Association of Official Analytical Chemists: Washington, DC, USA, 2000. [Google Scholar]
- Iqbal, M.; Iqbal, Z.; Farooq, M.; Ali, L.; Fiaz, M. Impact of nitrogenous fertilizer on yield and quality of oat. Pak. J. Sci. 2013, 65, 1–4. [Google Scholar]
- Horrocks, R.D.; Vallentine, J.F. Harvested Forages; Academic Press: London, UK, 1999; pp. 17–47. [Google Scholar]
- Kumar, M.; Singh, S.R.; Jha, S.K.; Shamna, A.; Mazumdar, S.P.; Singh, A.; Kundu, D.K.; Mahapatra, B.S. System productivity, profitability and resource use efficiency of jute (Corchorus olitorius) based cropping systems in the eastern Indo-gangetic plain. Indian J. Agric. Sci. 2014, 84, 209–213. [Google Scholar]
- Singh, R.P.; Parr, J.F.; Stewart, B.A. Dryland agriculture—Strategies for sustainability. Adv. Soil Sci. 1990, 13, 340. [Google Scholar]
- Gomez, K.A.; Gomez, A.A. Statistical Procedure for Agriculture Research, 2nd ed.; John Willey and Sons: New York, NY, USA, 1984; p. 68. [Google Scholar]
- Prajapati, B.; Prajapati, J.; Kumar, K.; Shrivastava, A. Determination of the relationships between quality parameters and yields of fodder obtained from intercropping systems by correlation analysis. Forage Res. 2019, 45, 219–224. [Google Scholar]
- Patil, L.M.; Kauthale, V.K.; Bhalani, T.G.; Modi, D.J. Productivity, and economics of different forage production systems in south Gujarat conditions of India. Forage Res. 2018, 44, 14–18. [Google Scholar]
- Dwivedi, A.; Dev, I.; Kumar, V.; Yadav, R.S.; Yadav, M.; Gupta, D.; Singh, A.; Tomar, S.S. Potential role of maize-legume intercropping systems to improve soil fertility status under smallholder farming systems for sustainable agriculture in India. Int. J. Life Sci. Biotech. Pharm. Res. 2015, 4, 145–157. [Google Scholar]
- Deori, C.; Thakuria, K.; Kurmi, K. Effect of intercropping and planting methods on perennial grasses. Forage Res. 2019, 45, 162–164. [Google Scholar]
- Menbere, S.; Dejene, M.; Abreha, S. Dry matter yield and agronomic performance of herbaceous legumes intercropped with Napier grass (Pennisetum Purpureum) in the semi-arid areas of eastern Amhara region. Int. J. Recent Res. Life Sci. 2015, 2, 7–14. [Google Scholar]
- Eskandari, H. Intercropping of maize (Zea mays) with cowpea (Vigna sinensis) and mungbean (Vigna radiata): Effect of complementarity of intercrop components on resource consumption, dry matter production and legumes forage quality. J. Basic Appl. Sci. Res. 2012, 2, 355–360. [Google Scholar]
- Deore, S.M.; Patel, M.R.; Patel, P.M.; Patel, H.K.; Patel, U.J. Production potential of forage maize (Zea mays L.)—Cowpea (Vigna unguiculata L.) intercropping system as influenced by row ratios. Adv. Res. J. Crop. Improv. 2013, 4, 110–112. [Google Scholar]
- Shekara, B.G.; Lohithaswa, H.C.; Chikkarugi, N.M.; Manasa, N. Fodder production potential of maize grown for baby corn and green cob in different cropping systems. Forage Res. 2015, 41, 92–94. [Google Scholar]
- Orodho, A.B. The Role and Importance of Napier Grass in the Smallholder Dairy Industry in Kenya; Food and Agriculture Organization: Rome, Italy, 2006; p. 2011. [Google Scholar]
- Kabirizi, J.; Muyekho, F.; Mulaa, M.; Msangi, R.; Pallangyo, B.; Kawube, G.; Zziwa, E.; Mugerwa, S.; Ajanga, S.; Lukwago, G.; et al. Napier Grass Feed Resource: Production, Constraints and Implications for Smallholder Farmers in Eastern and Central Africa; The Eastern African Agricultural Productivity Project: Naivasha, Kenya, 2015. [Google Scholar]
- Rajput, R.D.; Paithane, V.A.; Taware, A.S.; Patil, R.P. A comparative study on the proximate and mineral composition of non-leguminous fodder crops. Biosci. Discov. 2017, 8, 890–891. [Google Scholar]
- Iyanar, K.; Babu, C.; Kumaravadivel, N.; Kalamani, A.; Velayudham, K.; Sathia Bama, K. A high yielding multicut fodder sorghum CO-31. Electron. J. Plant. Breed. 2015, 6, 54–57. [Google Scholar]
- Layek, J.; Das, A.; Mitran, T.; Nath, C.; Meena, R.S.; Yadav, G.S.; Shivakumar, B.G.; Kumar, S.; Lal, R. Cereal + legume intercropping: An option for improving productivity and sustaining soil health. In Legumes for Soil Health and Sustainable Management; Meena, R.S., Das, A., Yadav, G.S., Lal, R., Eds.; Springer: Singapore, 2018; pp. 347–386. [Google Scholar]
- Mallikarjun, R.H.; Kumar, R.; Meena, R.K.; Ginwal, D. Yield and chemical composition of cowpea (Vigna unguiculata) fodder as affected by tillage practices and nitrogen management. Indian J. Anim. Nutr. 2018, 35, 333–338. [Google Scholar] [CrossRef]
- Yadav, K.; Verma, A.; Yadav, M.K.; Choudhary, M.; Choudhary, K.M. Effect of fertilizer levels on fodder productivity and quality of multi-cut sorghum genotypes. Int. J. Bio-Resour. Stress Manag. 2019, 10, 119–123. [Google Scholar] [CrossRef]
- Rasool, T.; Zohaib, A.; Riaz, A.; Abbas, T.; Tabassum, T.; Nadeem, M.A. Forage yield and quality in pearl millet-sesbania intercropping system under various geometrical patterns. Pak. J. Agric. Res. 2017, 30, 75–84. [Google Scholar]
- Akhtar, M.F.; Ahmad, A.; Zamir, M.S.; Khalid, F.; Mohsin, A.U.; Afzal, M. Agro-qualitative studies on forage sorghum (Sorghum bicolor L.) sown alone and in mixture with forage legumes. Pak. J. Sci. 2013, 65, 179–185. [Google Scholar]
- Ayub, M.; Abbas, H.; Tariq, M.; Tahir, M.; Nadeem, M.A.; Siddiqui, M.H. Periodic assessment of dry matter production and nutritional value of millet legumes mix fodder. Agric. Res. 2013, 2, 265–269. [Google Scholar] [CrossRef]
- Uher, D.; Horvatic, I.; Jares, D.; Macesic, D. Influence of intercropping maize with cowpea on forage yield and quality. Direct Res. J. Agric. Food Sci. 2019, 7, 77–80. [Google Scholar]
- Idris, O.A.; Wintola, O.A.; Afolayan, A.J. Comparison of the proximate composition, vitamins (ascorbic acid, α-tocopherol and retinol), anti-nutrients (phytate and oxalate) and the GC-MS analysis of the essential oil of the root and leaf of Rumex crispus L. Plants 2019, 8, 51. [Google Scholar] [CrossRef] [PubMed]
- Nadeem, M.A.; Iqbal, Z.; Ayub, M.; Mubeen, K.; Ibrahim, M. Effect of nitrogen application on forage yield and quality of maize sown alone and in mixture with legumes. Pak. J. Life Soc. Sci. 2009, 7, 161–167. [Google Scholar]
- Anil, L.; Park, J.; Phipps, R.H.; Miller, F.A. Temperate intercropping of cereals for forage: A review of the potential for growth and utilization with particular reference to the UK. Grass Forage Sci. 1998, 53, 301–317. [Google Scholar] [CrossRef]
- Sadeghpoura, A.; Jahanzada, E.; Esmaeilib, A.; Hosseinib, M.B.; Hashemia, M. Forage yield, quality and economic benefit of intercropped barley and annual medic in semi-arid conditions: Additive series. Field Crops Res. 2013, 148, 43–48. [Google Scholar] [CrossRef]
- Baghdadi, A.; Halim, R.A.; Ghasemzadeh, A.; Ebrahimi, M.; Othman, R.; Yusof, M.M. Effect of intercropping of corn and soybean on dry matter yield and nutritive value of forage corn. Legume Res. 2016, 39, 976–981. [Google Scholar] [CrossRef]
- Prasanthi, K. Studies on Fodder Maize and Legume Intercropping System. Ph.D. Thesis, Acharya N.G. Ranga Agricultural University, Hyderabad, India, 2012. [Google Scholar]
- Islam, N.; Zamir, M.S.; Din, S.M.; Farooq, U.; Arshad, H.; Bilal, A.; Sajjad, M.T. Evaluating the intercropping of millet with cowpea for forage yield and quality. Am. J. Plant. Sci. 2018, 9, 1781–1793. [Google Scholar] [CrossRef][Green Version]
- Jagadeesh, C.H.; Ramana, R.Y.; Nagalakshmi, D.; Mahender, M.; Nalini, K.N.; Sridhar, K.; Suneetha Devi, K.B. Effect of stage of harvest on the yield, chemical composition, in-vitro and in-sacco digestibility of hybrid Napier (Pennisetum purpureum) variety APBN1. Indian J. Anim. Res. 2017, 51, 116–120. [Google Scholar] [CrossRef]
- Lauriault, L.M.; Kirksey, R.E. Yield, and nutritive value of irrigated cereal forage grass-legume intercrops in the Southern high plains, USA. Agron. J. 2004, 96, 352–358. [Google Scholar] [CrossRef]
- Prajapati, B.; Tiwari, S.; Kewalanand. Effect of fodder based intercropping systems on quality of fodder. Forage Res. 2018, 43, 308–313. [Google Scholar]
- Sohail, H.K.; Abdul, G.K.; Mohammad, S.; Azim, A. Effect of maturity on production efficiency, nutritive value, and in-situ nutrients digestibility of three cereal fodders. Int. J. Agri. Res. 2007, 2, 900–909. [Google Scholar] [CrossRef]
- Salama, H.S.A.; Zeid, M.M.K. Hay quality evaluation of summer grass and legume forage monocultures and mixtures grown under irrigated conditions. Aust. J. Crop. Sci. 2016, 10, 1543–1550. [Google Scholar] [CrossRef]
- Prajapati, B.; Kewalanand. Production potential of fodder based intercropping systems. Int. J. Chem. Stud. 2017, 5, 834–838. [Google Scholar]
- Jeranyama, P.; Garcia, A.D. Understanding Relative Feed Value (RFV) and Relative Forage Quality (RFQ) 2004, Extension Extra. Paper 352. Available online: http://openprairie.sdstate.edu/extension_extra/352 (accessed on 8 August 2021).
- Karayilanli, E.; Ayhan, V. Investigation of feed value of alfalfa (Medicago sativa L.) harvested at different maturity stages. Legume Res. 2016, 39, 237–247. [Google Scholar] [CrossRef]
- Anil, L.; Park, J.; Phipps, R.H. The potential of forage-maize intercrops in ruminant nutrition. Anim. Feed Sci. Technol. 2000, 85, 157–164. [Google Scholar] [CrossRef]
- Prajapati, B. Cropping Systems for Sustainable Fodder and Bioenergy Production. Ph.D. Thesis, G.B. Pant University of Agriculture and Technology, Pantnagar, India, 2017. [Google Scholar]
- Naveen, K.; Navell, C.; Sunil, K. Production efficiency and profitability of forage based cropping systems under mid hills of north-western Himalayas. Himachal J. Agric. Res. 2014, 40, 126–131. [Google Scholar]
- Jha, S.K.; Tiwari, N. Evaluation of intensive fodder cropping systems for round the year green fodder production in Chhattisgarh. Forage Res. 2018, 44, 115–118. [Google Scholar]
- Pandiaraj, T. Studies on Development of Climate Resilient Management Practices in Rice Based Cropping System for Higher Productivity, Resource Conservation and Soil Health. Ph.D. Thesis, G.B. Pant University Agriculture and Technology, Pantnagar, India, 2013. [Google Scholar]
- Begna, S.; Fielding, D.; Tsegaye, T.; Van Veldhuizen, R.; Angadi, S.; Smith, D. Intercropping of oat and field pea in Alaska: An alternative approach to quality forage production and weed control. Soil Plant Sci. 2011, 61, 235–244. [Google Scholar] [CrossRef]
- Hassen, A.; Talore, D.G.; Tesfamariam, E.H.; Friend, M.A.; Mpanza, T.D.E. Potential use of forage-legume intercropping technologies to adapt to climate-change impacts on mixed crop-livestock systems in Africa: A review. Reg. Environ. Change 2017, 17, 1713–1724. [Google Scholar] [CrossRef]
- Ates, S.; Cicek, H.; Bell, L.W.; Norman, H.C.; Mayberry, D.E.; Kassam, S.; Hannaway, D.B.; Louhaichi, M. Sustainable development of smallholder crop-livestock farming in developing countries. In IOP Conference Series: Earth and Environmental Science, Surakarta, Indonesia; IOP Publishing: Bristol, UK, 2018; Volume 142, p. 012076. [Google Scholar] [CrossRef]






| T.No. | Treatment Details | Abbreviations |
|---|---|---|
| 1 | Fodder Maize–Fodder Maize–Fodder Maize monocropping system | Mono: MZ–MZ–MZ |
| 2 | Fodder Sorghum–Fodder Sorghum–Fodder Sorghum monocropping system | Mono: SG–SG–SG |
| 3 | Fodder Oats–Fodder Oats–Fodder Oats monocropping system | Mono: OT–OT–OT |
| 4 | Fodder Pearl millet–Fodder Pearl millet–Fodder Pearl millet monocropping system | Mono: PM–PM–PM |
| 5 | Fodder Cowpea–Fodder Cowpea–Fodder Cowpea monocropping system | Mono: CP–CP–CP |
| 6 | Bajra–Napier hybrid perennial system | Perennial: BNH |
| 7 | Lucerne perennial system | Perennial: LU |
| 8 | Desmanthus perennial system | Perennial: DS |
| 9 | Sesbania perennial system | Perennial: SE |
| 10 | Fodder Maize + Cowpea (3:1)–Fodder Oat + Cowpea (3:1)–Pearl millet + Cowpea (3:1)–Mixed cropping | Mixed: MZ + CP–OT + CP–PM + CP |
| 11 | Fodder Sorghum + Cowpea (3:1)–Fodder Maize + Cowpea (3:1)–Pearl millet + Cowpea (3:1) | Mixed: SG + CP – MZ + CP–PM + CP |
| 12 | Bajra–Napier hybrid + Cowpea (2:8) perennial system | Perennial: BNH + CP |
| 13 | Bajra–Napier hybrid + Lucerne (2:8) perennial system | Perennial: BNH + LU |
| 14 | Bajra–Napier hybrid + Desmanthus (2:8) perennial system | Perennial: BNH + DS |
| 15 | Bajra–Napier hybrid + Sesbania (2:8) perennial system | Perennial: BNH + SE |
| T. No. | Abbreviations | GFY (t/ha/Year) | DMY (t/ha/Year) | DM (%) |
|---|---|---|---|---|
| 1 | Mono: MZ–MZ–MZ | 104.7 ± 5.544 fgh | 21.5 ± 0.731 cdef | 20.52 ± 0.607 bcd |
| 2 | Mono: SG–SG–SG | 90.6 ± 5.526 hi | 20.8 ± 0.285 def | 22.99 ± 1.672 a |
| 3 | Mono: OT–OT–OT | 82.7 ± 5.854 i | 16.7 ± 1.328 g | 20.20 ± 0.635 bcd |
| 4 | Mono: PM–PM–PM | 85.4 ± 3.659 i | 17.8 ± 1.298 fg | 20.89 ± 0.318 bcd |
| 5 | Mono: CP–CP–CP | 77.8 ± 13.325 i | 15.5 ± 1.317 g | 19.98 ± 0.087 cd |
| 6 | Perennial: BNH | 126.2 ± 1.271 cde | 24.8 ± 0.088 bc | 19.62 ± 0.742 d |
| 7 | Perennial: LU | 95.2 ± 0.578 ghi | 19.1 ± 1.828 efg | 20.02 ± 0.642 cd |
| 8 | Perennial: DS | 79.6 ± 0.617 i | 15.7 ± 1.271 g | 19.70 ± 1.288 cd |
| 9 | Perennial: SE | 96.0 ± 9.416 ghi | 21.2 ± 0.433 cdef | 22.10 ± 0.634 ab |
| 10 | Mixed: MZ + CP–OT + CP–PM + CP | 110.3 ± 2.696 efg | 22.7 ± 1.595 bcde | 20.59 ± 0.994 bcd |
| 11 | Mixed: SG + CP–MZ + CP–PM + CP | 115.4 ± 5.868 def | 24.4 ± 1.074 bcd | 21.20 ± 0.692 abcd |
| 12 | Perennial: BNH + CP | 155.2 ± 13.279 ab | 30.8 ± 0.145 a | 19.81 ± 0.754 cd |
| 13 | Perennial: BNH + LU | 163.6 ± 1.037 a | 32.1 ± 0.291 a | 19.58 ± 1.102 d |
| 14 | Perennial: BNH + DS | 131.0 ± 6.970 cd | 25.5 ± 2.773 b | 19.48 ± 0.297 d |
| 15 | Perennial: BNH + SE | 144.0 ± 4.020 bc | 31.3 ± 2.419 a | 21.72 ± 0.789 abc |
| SEM | 6.3 | 1.3 | 0.70 | |
| LSD (p = 0.05) | 18.3 | 3.8 | 2.03 |
| T. No. | Abbreviations | N (%) | CP (%) | Ash (%) | Fat (%) | NF-CHO (%) | T-CHO (%) |
|---|---|---|---|---|---|---|---|
| 1 | Mono: MZ–MZ–MZ | 1.58 ± 0.023 ghi | 9.92 ± 0.367 fgh | 10.18 ± 0.268 bcde | 2.67 ± 0.025 gh | 32.84 ± 1.209 bc | 77.23 ± 1.995 abc |
| 2 | Mono: SG–SG–SG | 1.30 ± 0.003 i | 8.10 ± 0.5 h | 8.26 ± 0.273 gh | 3.09 ± 0.052 bcd | 34.19 ± 1.109 ab | 80.55 ± 0.041 a |
| 3 | Mono: OT–OT–OT | 1.66 ± 0.009 fgh | 10.36 ± 0.26 efg | 8.44 ± 0.092 gh | 3.03 ± 0.156 bcde | 36.9 ± 3.582 a | 78.16 ± 1.659 ab |
| 4 | Mono: PM–PM–PM | 1.36 ± 0.015 hi | 8.51 ± 0.376 gh | 8.12 ± 0.028 h | 2.62 ± 0.069 h | 35.25 ± 0.75 ab | 80.75 ± 1.427 a |
| 5 | Mono: CP–CP–CP | 3.28 ± 0.012 abc | 20.51 ± 0.303 ab | 10.30 ± 0.306 bcd | 2.70 ± 0.096 fgh | 26.4 ± 1.21 ef | 66.5 ± 1.798 d |
| 6 | Perennial: BNH | 1.59 ± 0.017 ghi | 9.92 ± 0.306 fgh | 10.41 ± 0.078 abc | 2.90 ± 0.08 defg | 34.2 ± 0.326 ab | 76.78 ± 1.664 abc |
| 7 | Perennial: LU | 3.34 ± 0.03 ab | 20.62 ± 1.438 ab | 10.49 ± 0.06 abc | 3.20 ± 0.122 bc | 25.87 ± 0.2 ef | 65.69 ± 4.942 d |
| 8 | Perennial: DS | 2.96 ± 0.007 d | 18.53 ± 0.589 c | 9.04 ± 0.017 fg | 2.92 ± 0.073 def | 29.2 ± 1.299 cde | 69.5 ± 2.332 cd |
| 9 | Perennial: SE | 3.57 ± 0.02 a | 22.32 ± 1.267 a | 10.98 ± 0.275 ab | 3.78 ± 0.066 a | 23.05 ± 0.914 f | 62.93 ± 0.826 d |
| 10 | Mixed: MZ + CP–OT + CP–PM + CP | 1.95 ± 0.349 f | 12.19 ± 0.892 e | 9.48 ± 0.738 def | 2.83 ± 0.127 efgh | 32.91 ± 1.293 bc | 75.51 ± 2.919 abc |
| 11 | Mixed: SG + CP–MZ + CP–PM + CP | 1.86 ± 0.167 fg | 11.57 ± 0.59 ef | 9.41 ± 0.60 ef | 2.99 ± 0.029 cde | 32.59 ± 1.296 bc | 76.04 ± 5.62 abc |
| 12 | Perennial: BNH + CP | 2.91 ± 0.012 d | 18.2 ± 1.471 cd | 11.22 ± 0.572 a | 3.02 ± 0.01 cde | 26.93 ± 0.992 de | 67.57 ± 2.115 d |
| 13 | Perennial: BNH + LU | 3.01 ± 0.111 cd | 18.78 ± 0.912 bc | 10.86 ± 0.301 abc | 3.28 ± 0.042 b | 26.94 ± 1.309 de | 67.09 ± 2.048 d |
| 14 | Perennial: BNH + DS | 2.61 ± 0.029 e | 16.32 ± 0.664 d | 10.07 ± 0.279 cde | 3.05 ± 0.07 bcde | 30.37 ± 1.292 cd | 70.57 ± 1.467 bcd |
| 15 | Perennial: BNH + SE | 3.16 ± 0.09 bcd | 19.75 ± 0.709 bc | 11.18 ± 0.332 a | 3.77 ± 0.084 a | 25.82 ± 0.317 ef | 65.31 ± 2.926 d |
| SEM | 0.10 | 0.66 | 0.29 | 0.09 | 1.31 | 2.67 | |
| LSD (p = 0.05) | 0.30 | 1.91 | 0.85 | 0.25 | 3.78 | 7.75 |
| T. No. | Abbreviations | CF (%) | ADF (%) | NDF (%) | DDI (%) | DDM (%) | RFV (%) |
|---|---|---|---|---|---|---|---|
| 1 | Mono: MZ–MZ–MZ | 31.95 ± 1.122 ab | 40.79 ± 0.214 ab | 63.58 ± 0.919 a | 1.89 ± 0.0 ef | 57.12 ± 2.974 fg | 83.56 ± 7.461 h |
| 2 | Mono: SG–SG–SG | 34.48 ± 1.123 a | 39.66 ± 2.512 abc | 62.79 ± 1.243 ab | 1.91 ± 0.006 ef | 58.01 ± 0.242 defg | 85.92 ± 3.127 h |
| 3 | Mono: OT–OT–OT | 27.62 ± 0.774 c | 31.22 ± 1.263 e | 60.14 ± 1.978 abc | 1.99 ± 0.003 ef | 64.58 ± 0.619 a | 99.89 ± 5.987 efg |
| 4 | Mono: PM–PM–PM | 30.52 ± 0.671 bc | 39.75 ± 0.108 abc | 60.28 ± 1.233 abc | 1.99 ± 0.006 ef | 57.93 ± 0.084 efg | 89.41 ± 6.166 gh |
| 5 | Mono: CP–CP–CP | 27.62 ± 2.424 c | 36.19 ± 0.087 bcd | 47.72 ± 1.414 f | 2.51 ± 0.003 abc | 60.71 ± 1.389 bcde | 118.34 ± 8.404 bcd |
| 6 | Perennial: BNH | 30.08 ± 0.246 bc | 42.26 ± 1.107 a | 64.19 ± 0.983 a | 1.87 ± 0.006 f | 55.98 ± 0.217 g | 81.11 ± 5.846 h |
| 7 | Perennial: LU | 27.42 ± 2.338 c | 34.82 ± 1.097 de | 43.47 ± 1.481 f | 2.76 ± 0.003 a | 61.78 ± 0.094 ab | 132.17 ± 5.142 a |
| 8 | Perennial: DS | 28.70 ± 0.848 bc | 35.80 ± 1.389 cde | 44.06 ± 1.215 f | 2.72 ± 0.006 ab | 61.02 ± 1.470 bc | 128.81 ± 8.409 ab |
| 9 | Perennial: SE | 27.29 ± 0.088 c | 39.05 ± 0.212 abcd | 48.74 ± 1.536 ef | 2.46 ± 0.006 bc | 58.48 ± 0.163 cdefg | 111.58 ± 2.492 de |
| 10 | Mixed: MZ + CP–OT + CP–PM + CP | 28.75 ± 2.087 bc | 36.06 ± 3.569 cd | 55.48 ± 2.523 cde | 2.16 ± 0.092 de | 60.81 ± 0.188 bcd | 101.94 ± 6.056 ef |
| 11 | Mixed: SG + CP–MZ + CP–PM + CP | 30.38 ± 2.066 bc | 38.04 ± 1.605 abcd | 56.05 ± 1.422 bcd | 2.14 ± 0.081 ef | 59.26 ± 0.129 bcdef | 98.34 ± 2.809 fg |
| 12 | Perennial: BNH + CP | 27.83 ± 1.177 c | 36.20 ± 1.703 bcd | 48.96 ± 5.984 def | 2.45 ± 0.127 bc | 60.7 ± 0.205 bcde | 115.32 ± 5.968 cd |
| 13 | Perennial: BNH + LU | 27.65 ± 0.831 c | 34.53 ± 2.604 de | 45.85 ± 4.653 f | 2.62 ± 0.312 abc | 62 ± 0.0 ab | 125.77 ± 2.877 abc |
| 14 | Perennial: BNH + DS | 28.39 ± 0.150 bc | 35.78 ± 0.116 cde | 46.35 ± 1.636 f | 2.59 ± 0.096 abc | 61.03 ± 0.091 bc | 122.49 ± 6.739 abcd |
| 15 | Perennial: BNH + SE | 27.02 ± 0.768 c | 38.57 ± 0.042 abcd | 49.29 ± 2.707 def | 2.43 ± 0.064 cd | 58.85 ± 0.036 cdef | 111.05 ± 3.002 de |
| SEM | 1.24 | 1.60 | 2.52 | 0.10 | 0.97 | 4.25 | |
| LSD (p = 0.05) | 3.59 | 4.64 | 7.29 | 0.28 | 2.82 | 12.31 |
| T. No. | Abbreviations | CP (t/ha/Year) | TDCP (t/ha/Year) | Ash (t/ha/Year) | Fat (t/ha/Year) | NF-CHO (t/ha/Year) | T-CHO (t/ha/Year) |
|---|---|---|---|---|---|---|---|
| 1 | Mono: MZ–MZ–MZ | 2.13 ± 0.122 efg | 1.87 ± 0.113 fg | 2.19 ± 0.096 c | 0.57 ± 0.009 fg | 7.06 ± 0.557 bcd | 16.60 ± 0.520 ef |
| 2 | Mono: SG–SG–SG | 1.69 ± 0.085 g | 1.44 ± 0.075 g | 1.72 ± 0.029 de | 0.65 ± 0.064 ef | 7.12 ± 0.338 bcd | 16.80 ± 0.214 e |
| 3 | Mono: OT–OT–OT | 1.73 ± 0.139 fg | 1.48 ± 0.112 g | 1.41 ± 0.025 e | 0.51 ± 0.023 gh | 6.16 ± 0.159 de | 13.00 ± 0.368 gh |
| 4 | Mono: PM–PM–PM | 1.52 ± 0.151 g | 1.27 ± 0.109 g | 1.45 ± 0.015 e | 0.47 ± 0.021 h | 6.29 ± 0.407 cd | 14.40 ± 0.407 fg |
| 5 | Mono: CP–CP–CP | 3.19 ± 0.049 d | 2.89 ± 0.277 d | 1.60 ± 0.029 e | 0.42 ± 0.056 h | 4.11 ± 0.105 f | 10.40 ± 0.388 i |
| 6 | Perennial: BNH | 2.45 ± 0.110 def | 2.18 ± 0.195 ef | 2.57 ± 0.125 b | 0.72 ± 0.037 de | 8.47 ± 0.266 a | 19.00 ± 0.347 bcd |
| 7 | Perennial: LU | 3.98 ± 0.309 c | 3.66 ± 0.252 c | 2.00 ± 0.015 cd | 0.61 ± 0.018 f | 4.93 ± 0.180 ef | 12.50 ± 0.343 ghi |
| 8 | Perennial: DS | 2.90 ± 0.107 d | 2.62 ± 0.198 de | 1.42 ± 0.169 e | 0.46 ± 0.010 h | 4.58 ± 0.148 f | 10.90 ± 0.448 hi |
| 9 | Perennial: SE | 4.73 ± 0.301 b | 4.39 ± 0.202 b | 2.33 ± 0.318 bc | 0.80 ± 0.027 d | 4.89 ± 0.209 f | 13.30 ± 0.811 g |
| 10 | Mixed: MZ + CP–OT + CP–PM + CP | 2.75 ± 0.304 de | 2.60 ± 0.160 de | 2.18 ± 0.155 c | 0.64 ± 0.054 ef | 7.47 ± 0.768 abc | 17.30 ± 1.208 de |
| 11 | Mixed: SG + CP–MZ + CP–PM + CP | 2.82 ± 0.197 de | 2.67 ± 0.199 de | 2.30 ± 0.171 bc | 0.73 ± 0.010 de | 7.96 ± 0.862 ab | 18.50 ± 0.828 cde |
| 12 | Perennial: BNH + CP | 5.60 ± 0.820 a | 5.37 ± 0.127 a | 3.46 ± 0.208 a | 0.93 ± 0.015 c | 8.29 ± 0.314 ab | 20.80 ± 0.693 ab |
| 13 | Perennial: BNH + LU | 6.02 ± 0.216 a | 5.77 ± 0.500 a | 3.48 ± 0.049 a | 1.05 ± 0.025 b | 8.63 ± 0.765 a | 21.50 ± 0.532 a |
| 14 | Perennial: BNH + DS | 4.17 ± 0.222 bc | 3.98 ± 0.309 bc | 2.57 ± 0.196 b | 0.78 ± 0.024 d | 7.76 ± 0.189 ab | 18.10 ± 1.335 de |
| 15 | Perennial: BNH + SE | 6.18 ± 0.111 a | 5.93 ± 0.210 a | 3.50 ± 0.116 a | 1.18 ± 0.044 a | 8.08 ± 0.327 ab | 20.30 ± 1.565 abc |
| SEM | 0.26 | 0.21 | 0.13 | 0.03 | 0.43 | 0.76 | |
| LSD (p = 0.05) | 0.74 | 0.61 | 0.38 | 0.10 | 1.24 | 2.20 |
Publisher’s Note: MDPI stays neutral with regard to jurisdictional claims in published maps and institutional affiliations. |
© 2021 by the authors. Licensee MDPI, Basel, Switzerland. This article is an open access article distributed under the terms and conditions of the Creative Commons Attribution (CC BY) license (https://creativecommons.org/licenses/by/4.0/).
Share and Cite
Manoj, K.N.; Shekara, B.G.; Sridhara, S.; Jha, P.K.; Prasad, P.V.V. Biomass Quantity and Quality from Different Year-Round Cereal–Legume Cropping Systems as Forage or Fodder for Livestock. Sustainability 2021, 13, 9414. https://doi.org/10.3390/su13169414
Manoj KN, Shekara BG, Sridhara S, Jha PK, Prasad PVV. Biomass Quantity and Quality from Different Year-Round Cereal–Legume Cropping Systems as Forage or Fodder for Livestock. Sustainability. 2021; 13(16):9414. https://doi.org/10.3390/su13169414
Chicago/Turabian StyleManoj, Konapura Nagaraja, Bommalapura Gundanaik Shekara, Shankarappa Sridhara, Prakash Kumar Jha, and P. V. Vara Prasad. 2021. "Biomass Quantity and Quality from Different Year-Round Cereal–Legume Cropping Systems as Forage or Fodder for Livestock" Sustainability 13, no. 16: 9414. https://doi.org/10.3390/su13169414
APA StyleManoj, K. N., Shekara, B. G., Sridhara, S., Jha, P. K., & Prasad, P. V. V. (2021). Biomass Quantity and Quality from Different Year-Round Cereal–Legume Cropping Systems as Forage or Fodder for Livestock. Sustainability, 13(16), 9414. https://doi.org/10.3390/su13169414

