Climate Change Impact on the Hydrologic Regimes and Sediment Yield of Pulangi River Basin (PRB) for Watershed Sustainability
Abstract
:1. Introduction
2. Materials and Methods
2.1. Study Area
2.2. Input Data
2.3. Climate Scenarios
2.4. Model Set-Up for Calibration and Validation
2.5. Hydrological Modeling
2.6. Bias Correction, Statistical Downscaling, and Interpolation
3. Results and Discussion
3.1. Sensitivity Analysis, Model Calibration, and Validation
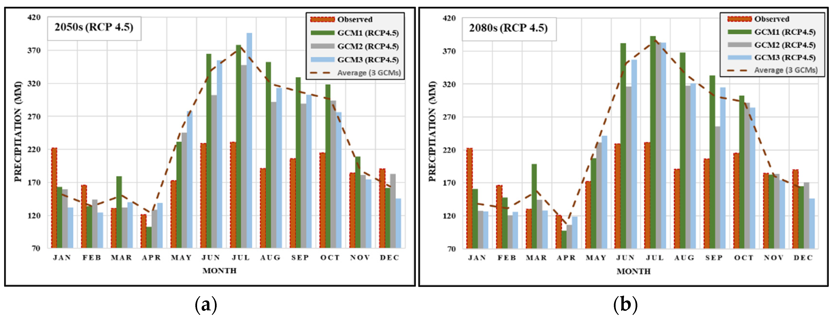
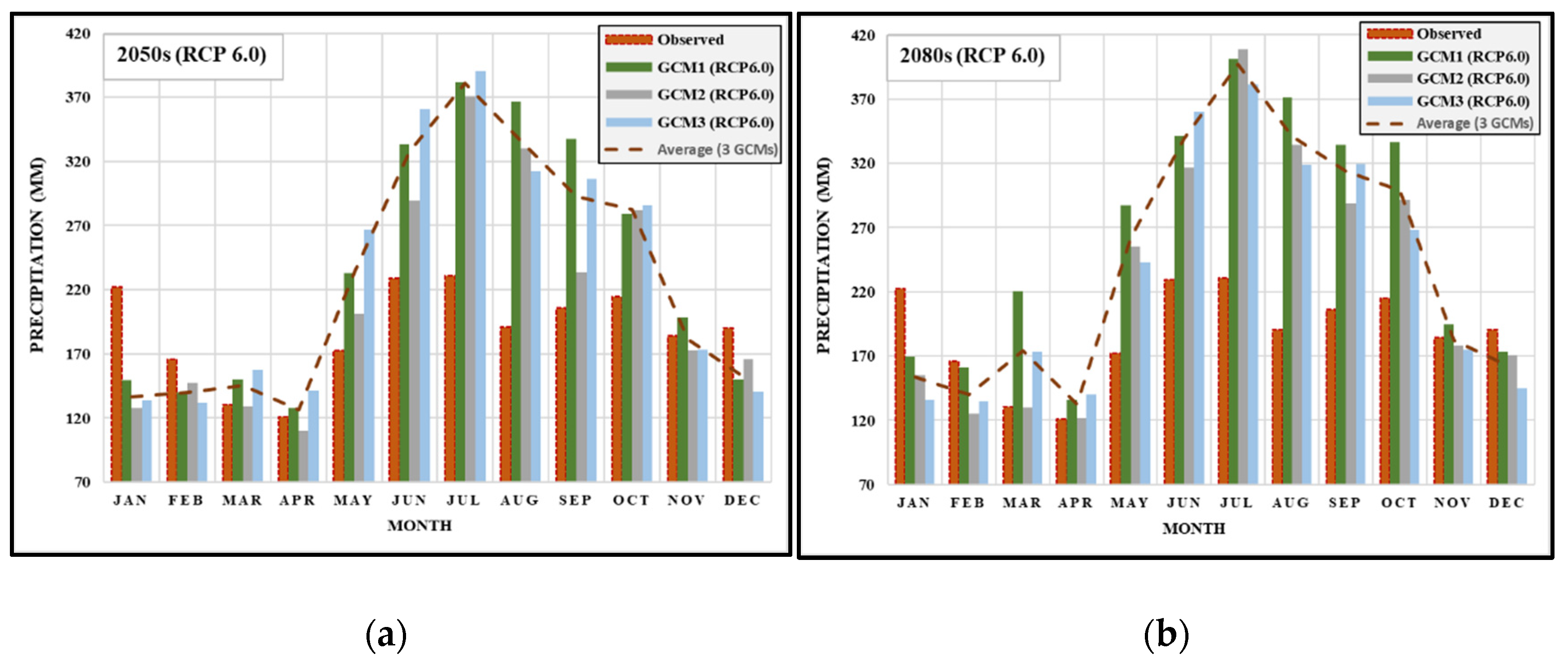
3.2. Climate Change Impact on Precipitation
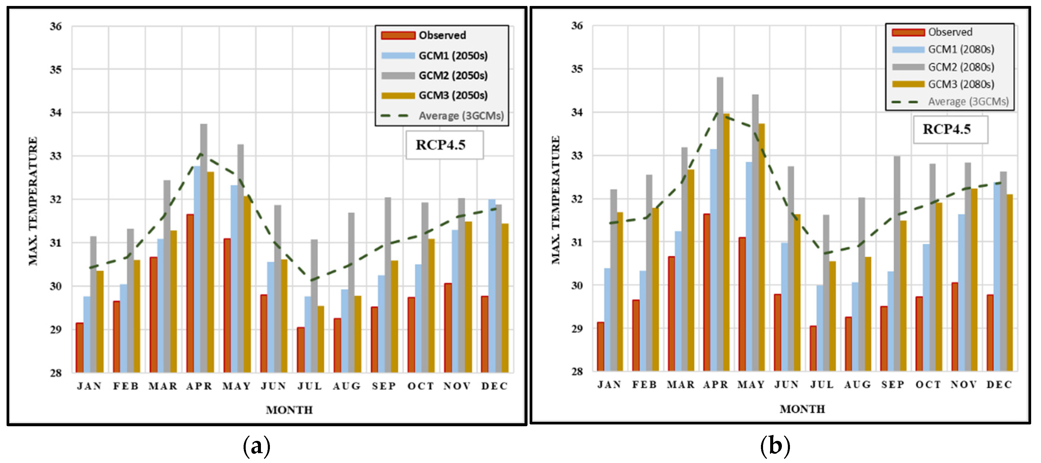
3.3. Climate Change Impact on Maximum Temperature
3.4. Climate Change Impact on Minimum Temperature
3.5. Impact of Climate Change on Runoff
3.6. Impact of Climate Change on Sediment Yield
4. Conclusions
- While the calibration and validation of data resulted in a satisfactory to good performance in the case of streamflow data, in the case of data for sediment yield, the performance was unsatisafactory. All climate projections indicated a substantial increase in annual precipitation and temperature in all periods under two RCPs, revealing a similar trend for annual runoff and the soil loss rate.
- On a monthly scale, a remarkable increase in precipitation was found for all scenarios from May to October, particularly a southwest monsoon or ‘habagat’ season, and a decrease in rainfall during November to April, especially during in the summer season. These findings suggest a general increased threat of enhanced flooding and excessive soil loss rate, leading to severe erosion and reservoir sedimentation throughout the PRB.
- The large increase in runoff indicated for the lower stream of the basin indicates a high possibility of frequent flooding in the low-lying areas of PRB.
- The excessive soil loss in the PRB, especially in hilly and mountainous regions will result in soil nutrients run-off and water storage problem. Changes can be expected to the silt deposits in low-lying areas, which may be change the topography of the basin.
Author Contributions
Funding
Institutional Review Board Statement
Informed Consent Statement
Data Availability Statement
Acknowledgments
Conflicts of Interest
References
- IPCC. Climate Change 2014: Synthesis Report. Contribution of Working Groups I, II and III to the Fifth Assessment Report of the Intergovernmental Panel on Climate Change; Core Writing Team, Pachauri, R.K., Meyer, L.A., Eds.; IPCC: Geneva, Switzerland, 2014.
- Nguyen, T.T.; Nakatsugawa, M.; Yamada, T.J.; Hoshino, T. Assessing climate change impacts on extreme rainfall and severe flooding during the summer monsoon season in the Ishikari River basin, Japan. Hydrol. Res. Lett. 2020, 14, 155–161. [Google Scholar] [CrossRef]
- Azari, M.; Moradi, H.R.; Saghafian, B. Climate change impacts on streamflow and sediment yield in the North of Iran. Hydrol. Sci. J. 2016, 61, 123–133. [Google Scholar] [CrossRef]
- Mehan, S.; Kannan, N.; Neupane, R.P.; McDaniel, R.; Kumar, S. Climate change impacts on the hydrological processes of a small agricultural watershed. Climate 2016, 4, 56. [Google Scholar] [CrossRef]
- Sangmanee, C.; Wattayakorn, G.; Sojisuporn, P. Simulating changes in discharge and suspended sediment loads of the Bangpakong River, Thailand, driven by future. Maejo Int. J. Sci. Technol. 2013, 7, 72–84. [Google Scholar]
- Khoi, D.N.; Suetsugi, T. Hydrologic response to climate change: A case study for the Be River Catchment, Vietnam. J. Water Clim. Chang. 2012, 3, 207–224. [Google Scholar] [CrossRef]
- Tan, M.L.; Ibrahim, A.L.; Yusop, Z.; Chua, V.P.; Chan, N.W. Climate change impacts under CMIP5 RCP scenarios on water resources of the Kelantan River Basin, Malaysia. Atmos. Res. 2017, 189, 1–10. [Google Scholar] [CrossRef]
- Principe, J.; Blanco, A. Swat Model for Assessment of Climate Change and Land Use / Land Cover Change Impact on Philippine Soil Loss and Exploration of Land Cover-Based Mitigation Measures: Case of Cagayan. ASEAN Eng. J. Part C 2013, 3, 104. [Google Scholar]
- Alejo, L.A.; Ella, V.B. Assessing the impacts of climate change on dependable flow and potential irrigable area using the swat model. The case of maasin river watershed in Laguna, Philippines. J. Agric. Eng. 2019, 50, 88–98. [Google Scholar] [CrossRef]
- Arceo, M.G.A.S.; Cruz, R.V.O.; Tiburan, C.L.; Balatibat, J.B.; Alibuyog, N.R. Modeling the hydrologic responses to land cover and climate changes of selected watersheds in the Philippines using soil and water assessment tool (SWAT) model. DLSU Bus. Econ. Rev. 2018, 28, 84–101. [Google Scholar]
- PAGASA. Climate Change in the Philippines. Philippine Atmospheric, Geophysical and Astronomical Services Administration. 2011; pp. 14–21. Available online: https://dilg.gov.ph/PDF_File/reports_resources/DILG-Resources-2012130-2ef223f591.pdf (accessed on 3 September 2020).
- Shahin, M. Runoff and Riverflow: Water Resources and Hydrometeorology of the Arab Region; Springer: Dordrecht, The Netherlands, 2007; Volume 59. [Google Scholar]
- National Power Corporation. Master Plan for the Eleven (11) NPC-Managed Watersheds; National Power Corporation: Quezon City, Philippines, 2015. [Google Scholar]
- Nippon Koei Co. The Study for Restoration and Upgrading Dams under Operation in the Republic of the Philippines. 2019. Available online: https://www.meti.go.jp/meti_lib/report/H30FY/000156.pdf (accessed on 3 September 2020).
- Delgado, V.M., Jr. The Effectiveness of Desilting the Pulangi IV Hydropower Plant’s Reservoir. In Proceedings of the 18th Conference of the Electric Power Supply Industry (CEPSI 2010) in Taipei International Convention Center, Taipei, Taiwan, 24–28 October 2010. [Google Scholar]
- Dessai, S.; Lu, X.; Risbey, J.S. On the role of climate scenarios for adaptation planning. Glob. Environ. Chang. 2005, 15, 87–97. [Google Scholar] [CrossRef]
- Santoso, H.; Idinoba, M.; Imbach, P. Climate Scenarios: What we need to know and how to gernerate them. Work. Pap. 2008, 45, 25. [Google Scholar]
- Neitsch, S.; Arnold, J.; Kiniry, J.; Williams, J. Soil and Water Assessment Tool Theoretical Documentation Version 2009; Texas Water Resources Institute: College Station, TX, USA, 2011. [Google Scholar] [CrossRef]
- Paringit, E.C.; Puno, G.R. LiDAR Surveys and Flood Mapping of Upper Pulangi River; University of the Philippines Training Center for Applied Geodesy and Photogrammetry: Quezon City, Philippines, 2017. [Google Scholar]
- van Vuuren, D.P.; Edmonds, J.; Kainuma, M.; Riahi, K.; Thomson, A.; Hibbard, K.; Hurtt, G.C.; Kram, T.; Krey, V.; Lamarque, J.F.; et al. The representative concentration pathways: An overview. Clim. Chang. 2011, 109, 5–31. [Google Scholar] [CrossRef]
- Guiamel, I.A.; Lee, H.S. Watershed modelling of the mindanao river basin in the philippines using the SWAT for water resource management. Civ. Eng. J. 2020, 6, 626–648. [Google Scholar] [CrossRef] [Green Version]
- Marin, R.A.; Jamis, C.V. Soil erosion status of the three sub-watersheds in Bukidnon Province, Philippines. Adv. Environ. Sci. 2017, 8, 194–204. [Google Scholar]
- Moriasi, D.N.; Arnold, J.G.; van Liew, M.W.; Bingner, R.L.; Harmel, R.D.; Veith, T.L. Model Evaluation Guidelines for Systematic Quantification of Accuracy in Watershed Simulations. Trans. ASABE 2007, 50, 885–900. [Google Scholar] [CrossRef]
- Brighenti, T.M.; Bonumá, N.B.; Grison, F.; de A. Mota, A.; Kobiyama, M.; Chaffe, P.L.B. Two calibration methods for modeling streamflow and suspended sediment with the swat model. Ecol. Eng. 2019, 127, 103–113. [Google Scholar] [CrossRef]
- Gupta, H.V.; Sorooshian, S.; Yapo, P.O. Status of Automatic Calibration for Hydrologic Models: Comparison with Multilevel Expert Calibration. J. Hydrol. Eng. 1999, 4, 135–143. [Google Scholar] [CrossRef]
- Nash, J.E.; Sutcliffe, J.V. River flow forecasting through conceptual models part I—A discussion of principles. J. Hydrol. 1970, 10, 282–290. [Google Scholar] [CrossRef]
- Schaefli, B.; Gupta, H.V. Do Nash values have value? Hydrol. Process. 2007, 21, 2075–2080. [Google Scholar] [CrossRef] [Green Version]
- Santhi, C.; Arnold, J.G.; Williams, J.R.; Dugas, W.A.; Srinivasan, R.; Hauck, L.M. Validation of the SWAT model on a large river basin with point and nonpoint source. J. Am. Water Resour. Assoc. 2001, 37, 1169–1188. [Google Scholar] [CrossRef]
- Liu, D. A rational performance criterion for hydrological model. J. Hydrol. 2020, 590, 125488. [Google Scholar] [CrossRef]
- Legates, D.R.; McCabe, G.J. Evaluating the use of “goodness-of-fit” measures in hydrologic and hydroclimatic model validation. Water Resour. Res. 1999, 35, 233–241. [Google Scholar] [CrossRef]
- Arnold, J.G.; Srinivasan, R.; Muttiah, R.S.; Williams, J.R. Large Area Hydrologic Modeling and Assessment Part I: Model Development. J. Am. Water Resour. Assoc. 1998, 34, 73–89. [Google Scholar] [CrossRef]
- Williams, J.R.; Berndt, H.D. Sediment Yield Prediction Based on Watershed Hydrology. Trans. Am. Soc. Agric. Eng. 1977, 20, 1100–1104. [Google Scholar] [CrossRef]
- Vaghefi, S.A.; Abbaspour, N.; Kamali, B.; Abbaspour, K.C. A toolkit for climate change analysis and pattern recognition for extreme weather conditions—Case study: California-Baja California Peninsula. Environ. Model. Softw. 2017, 96, 181–198. [Google Scholar] [CrossRef]
- Chen, J.; Brissette, F.P.; Leconte, R. Uncertainty of downscaling method in quantifying the impact of climate change on hydrology. J. Hydrol. 2011, 401, 190–202. [Google Scholar] [CrossRef]
- Lu, G.Y.; Wong, D.W. An adaptive inverse-distance weighting spatial interpolation technique. Comput. Geosci. 2008, 34, 1044–1055. [Google Scholar] [CrossRef]
- Abbaspour, K.C.; Yang, J.; Maximov, I.; Siber, R.; Bogner, K.; Mieleitner, J.; Zobrist, J.; Srinivasan, R. Modelling hydrology and water quality in the pre-alpine/alpine Thur watershed using SWAT. J. Hydrol. 2007, 333, 413–430. [Google Scholar] [CrossRef]
- Abbaspour, C.K. SWAT Calibration and Uncertainty Program (SWAT-CUP)—A User Manual; EAWAG, Swiss Federal Institute of Aquatic Science and Technology: Zurich, Switzerland, 2015. [Google Scholar]
- Sahu, M.; Lahari, S.; Gosain, A.K.; Ohri, A. Hydrological Modeling of Mahi Basin Using SWAT. J. Water Resour. Hydraul. Eng. 2016, 5, 68–79. [Google Scholar] [CrossRef]
- Tolentino, P.L.M.; Poortinga, A.; Kanamaru, H.; Keesstra, S.; Maroulis, J.; David, C.P.C.; Ritsema, C.J. Projected impact of climate change on hydrological regimes in the Philippines. PLoS ONE 2016, 11, 1–14. [Google Scholar] [CrossRef] [PubMed] [Green Version]














| Model | Institution | Country | Resolution | |
|---|---|---|---|---|
| GCM1 | GFDL-ESM2M | NOAA/Geophysical Fluid Dynamics Laboratory | United States | 0.5° × 0.5° |
| GCM2 | HadGEM2-ES | Met Office Hadley Center | United Kingdom | 0.5° × 0.5° |
| GCM3 | MIROC | AORI, NIES and JAMSTEC | Japan | 0.5° × 0.5° |
| PBIAS (%) (Moriasi et al., 2007) | ||||||
|---|---|---|---|---|---|---|
| Performance Rating | NSE (Moriasi et al., 2007) | R2 (Santhi et al., 2001) | KGE (Brighenti et al., 2019) | RSR (Moriasi et al., 2007) | Streamflow | Sediment |
| Very Good | 0.75 < NSE ≤ 1.00 | - | - | 0.00 < RSR ≤ 0.50 | PBIAS < ±10 | PBIAS < ±15 |
| Good | 0.65 < NSE ≤ 0.75 | - | KGE ≥ 0.7 | 0.50 < RSR ≤ 0.60 | ±10 ≤ PBIAS < ±15 | ±15 ≤ PBIAS < ±30 |
| Satisfactory | 0.50 ≤ NSE ≤ 0.65 | R2 ≥ 0.5 | 0.5 ≤ KGE < 0.70 | 0.60 < RS ≤ 0.70 | ±15 ≤ PBIAS < ±25 | ±30 ≤ PBIAS < ±55 |
| Unsatisfactory | NSE < 0.50 | R2 < 0.50 | KGE < 0.50 | RSR > 0.70 | PBIAS ≥ ±25 | PBIAS ≥ ±55 |
| Rank | Parameter | Description | Fitted Value | Min | Max | t-Stat | p-Value |
|---|---|---|---|---|---|---|---|
| 1 | R__CN2.mgt | Effective hydraulic conductivity in main channel alluvium | 0.3854 | 0.2503 | 0.459 | 24.28 | 0 |
| 2 | R__SOL_AWC(..).sol | Saturated hydraulic conductivity | 1.1534 | 0.769 | 1.177 | 13.67 | 0 |
| 3 | R__HRU_SLP.hru | Average slope length | 0.6360 | 0.4950 | 0.660 | 4.02 | 0 |
| 4 | V__GW_DELAY.gw | Groundwater delay (days) | 374.5027 | 171.745 | 380.2 | 3.01 | 0 |
| 5 | R__CNCOEF.bsn | Plant ET curve number coefficient | 1.7640 | 0.8910 | 1.822 | −1.97 | 0.05 |
| 6 | R__USLE_P.mgt | USLE Equation support practice factor | 1.0319 | 0.801 | 1.169 | −1.55 | 0.12 |
| 7 | R__CH_N2.rte | Manning’s “n” value for the main channel | 0.2274 | 0.1300 | 0.238 | 1.54 | 0.13 |
| 8 | R__OV_N.hru | Manning’s “n” value for overland flow | 0.2643 | 0.2640 | 0.570 | −1.34 | 0.18 |
| 9 | R__SPCON.bsn | Linear parameter for calculating the maximum amount of sediment that can be re-entrained during channel sediment routing | 0.0098 | 0.0070 | 0.01 | −1.18 | 0.24 |
| 10 | R__ESCO.hru | Soil evaporation compensation factor | 0.6782 | 0.558 | 0.930 | −1.09 | 0.28 |
| 11 | V__GWQMN.gw | Threshold depth of water in the shallow aquifer required for return flow to occur (mm) | 0.5582 | −0.3320 | 0.628 | −0.87 | 0.39 |
| 12 | R__SURLAG.bsn | Surface runoff lag time | −7.9667 | −14.5763 | −2.720 | −0.81 | 0.42 |
Publisher’s Note: MDPI stays neutral with regard to jurisdictional claims in published maps and institutional affiliations. |
© 2021 by the authors. Licensee MDPI, Basel, Switzerland. This article is an open access article distributed under the terms and conditions of the Creative Commons Attribution (CC BY) license (https://creativecommons.org/licenses/by/4.0/).
Share and Cite
Panondi, W.; Izumi, N. Climate Change Impact on the Hydrologic Regimes and Sediment Yield of Pulangi River Basin (PRB) for Watershed Sustainability. Sustainability 2021, 13, 9041. https://doi.org/10.3390/su13169041
Panondi W, Izumi N. Climate Change Impact on the Hydrologic Regimes and Sediment Yield of Pulangi River Basin (PRB) for Watershed Sustainability. Sustainability. 2021; 13(16):9041. https://doi.org/10.3390/su13169041
Chicago/Turabian StylePanondi, Warda, and Norihiro Izumi. 2021. "Climate Change Impact on the Hydrologic Regimes and Sediment Yield of Pulangi River Basin (PRB) for Watershed Sustainability" Sustainability 13, no. 16: 9041. https://doi.org/10.3390/su13169041
APA StylePanondi, W., & Izumi, N. (2021). Climate Change Impact on the Hydrologic Regimes and Sediment Yield of Pulangi River Basin (PRB) for Watershed Sustainability. Sustainability, 13(16), 9041. https://doi.org/10.3390/su13169041
