Exploring Sustainable Human Resource Practices and Framework in Star-Rated Hotels
Abstract
:1. Introduction
2. Literature Review
2.1. Issues Affecting Sustainable Human Resource Management
2.2. Sustainable Human Resource Management
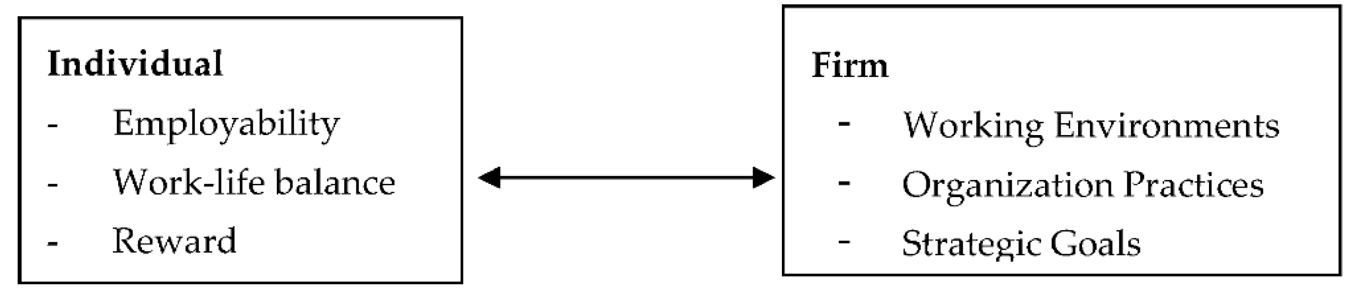
2.3. Conceptual Framework
3. Method
4. Results
4.1. Emerging Key Issues Affecting Human Resources Practices and Management in the Current Employment Context
4.2. Proposed Sustainable Human Resources Framework for the Hotel Industry
5. Discussion and Conclusions
Author Contributions
Funding
Institutional Review Board Statement
Informed Consent Statement
Data Availability Statement
Conflicts of Interest
References
- Baum, T. Sustainable human resource management as a driver in tourism policy and planning: A serious sin of omission? J. Sustain. Tour. 2018, 26, 873–889. [Google Scholar] [CrossRef] [Green Version]
- Baum, T.; Kralj, A.; Robinson, R.; Solnet, D.J. Tourism workforce research: A review, taxonomy and agenda. Ann. Tour. Res. 2016, 60, 1–22. [Google Scholar] [CrossRef] [Green Version]
- Zopiatis, A.; Constanti, P.; Theocharous, A. Job involvement, commitment, satisfaction and turnover: Evidence from hotel employees in Cyprus. Tour. Manag. 2014, 41, 129–140. [Google Scholar] [CrossRef] [Green Version]
- AlBattari, A.R.; Mat Som, A. Employee Dissatisfaction and Turnover Crises in the Malaysian Hospitality Industry. Int. J. Bus. Manag. 2013, 8, 62–71. [Google Scholar]
- Koh, S.Y. Retrieved from Employee Retention Remains a Key Challenges in Malaysia. 9 January 2015. Available online: https://www.towerswatson.com/.../Employee-Retention-Remains-A-Key-Challenge-in-Malaysia (accessed on 17 February 2021).
- Harrington, R.J.; Chathoth, P.K.; Ottenbacher, M.; Altinay, L. Strategic management research in hospitality and tourism: Past, present and future. Int. J. Contemp. Hosp. Manag. 2014, 26, 778–808. [Google Scholar] [CrossRef]
- Baum, T.; Cheung, C.; Kong, H.; Kralj, A.; Mooney, S.; Thi Thanh, H.N.; Ramachandran, S.; Ružic, M.D.; Siow, M.L. Sustainability and the tourism and hospitality workforce: A thematic analysis. Sustainability 2016, 8, 809. [Google Scholar] [CrossRef] [Green Version]
- Aminudin, N. Corporate Social Responsibility and Employee Retention of ‘Green’ Hotels. Procedia Soc. Behav. Sci. 2013, 105, 763–771. [Google Scholar] [CrossRef] [Green Version]
- App, S.; Büttgen, M. Lasting footprints of the employer brand: Can sustainable HRM lead to brand commitment? Empl. Relat. 2016, 38, 703–723. [Google Scholar] [CrossRef]
- De Prins, P.; Stuer, D.; Gielens, T. Revitalising social dialogue in the workplace: The impact of a cooperative industrial relations climate and sustainable HR practices on reducing employee harm. Int. J. Hum. Resour. Manag. 2018, 31, 1684–1704. [Google Scholar] [CrossRef]
- Schmit, M.J. Global Trends Impacting the Future of HR Management: Engaging and Integrating a Global Workforce; The Economist Intelligence Unit Limited: Alexandria, The Netherlands, 2015. [Google Scholar]
- Al-Ababneh, M.M. Employees’ perspectives of service quality in hotels. Res. Hosp. Manag. 2016, 6, 189–193. [Google Scholar] [CrossRef] [Green Version]
- Dhamija, P. Human resource management: An effective mechanism for long term sustainability. Clar. Int. Multidiscip. J. 2013, 2, 74–80. [Google Scholar]
- Wan, H.L. Current remuneration practices in the multinational companies in Malaysia: A case study analysis. Res. Pract. Hum. Resource Manag. 2008, 16, 78–103. [Google Scholar]
- Triant, F.; Ayse, K.Y. The Risk Management Framework to Strategic Human Resource Management. Res. J. Financ. Econ. 2010, 6, 67–72. [Google Scholar]
- PEMANDU. Economic Transformation Programme (ETP): A Roadmap for Malaysia; PEMANDU: Kuala Lumpur, Malaysia, 2010. [Google Scholar]
- WCED World Commission on Environment and Development. Our Common Future; Oxford University Press: Oxford, UK, 1987. [Google Scholar]
- Department of Stastistics Malaysia. Labour Force Survey Report; Department of Statistics Malaysia: Kuala Lumpur, Malaysia, 2019.
- Tan, F.M. Organizasational support as the mediator of career-related HRM Practices and affective commitment: Evidence from knowledge workers in Malaysia. Res. Pract. Hum. Resour. Manag. 2008, 16, 8–24. [Google Scholar]
- Ahmad, H.; Ibrahim, B. Leadership and the Characteristic of Different Generational Cohort towards Job Satisfaction. In Proceedings of the 4th World Congress on Technical Vocational Education and Training, Melaka, Malaysia, 5–6 December 2014; Johor, M., Ed.; Elsevier: Amsterdam, The Netherlands, 2014; pp. 14–18. [Google Scholar]
- Chan, J.K.L. Embracing Changes in Human Resource Practices and Transformative Approaches in Managing Multi-generational workforce. In Proceedings of the International Conference on Economics 2017 (ICE 2017), Kota Kinabalu, Sabah, 28–29 November 2017; pp. 324–333. [Google Scholar]
- Mazur, B. Sustainable Human Resource Management: The Attempt of Holistic Approach. Econ. Manag. 2015, 7, 7–12. [Google Scholar]
- Ehnert, I.; Wes, H. Recent developments and future prospects on sustainable human resource management: Introduction to the special issue. Manag. Rev. 2012, 23, 221–238. [Google Scholar] [CrossRef] [Green Version]
- Rowley, C.; Abdul-Rahman, S. The Management of Human Resources in Malaysia: Locally-owned Companies and Multinational Companies. Manag. Rev. 2007, 18, 427–453. [Google Scholar] [CrossRef] [Green Version]
- Wright, P.M.; McMahan, G.C. Theoretical perspectives for strategic human resource management. J. Manag. 1992, 18, 295–320. [Google Scholar] [CrossRef]
- Bonn, M.; Forbringer, L. Reducing turnover in the hospitality industry: An overview of recruitment, selection, and retention. Int. J. Hosp. Manag. 1992, 11, 47–63. [Google Scholar] [CrossRef]
- Conlin, M.; Baum, T. Comprehensive human resource planning: An essential key to sustainable tourism in island settings. Class. Rev. Tour. 2003, 115–129. [Google Scholar] [CrossRef]
- Baum, T. HR management in tourism: A small island perspective. Int. J. Cult. Tour. Hosp. Res. 2012, 6, 124–132. [Google Scholar] [CrossRef]
- Kusluvan, S.; Kusluvan, Z.; Ilhan, I.; Buyruk, L. The human dimension a review of human resources management issues in the tourism and hospitality industry. Cornell Hosp. Q. 2010, 51, 171–214. [Google Scholar] [CrossRef]
- Gruescu, R.; Nanu, R.; Pirvu, G. Human Resource Management in the Tourism Industry. Bull. Univ. Agric. Sci. Vet. Med. Cluj-Napoca Hortic. 2008, 65, 168–173. [Google Scholar]
- Salleh, N.Z.; Hamid, A.B.; Hashim, N.H.; Omain, S.Z. Issues and Challenges in Malaysian Hotel Operations. In Proceedings of the 3rd Asia-Euro Tourism, Hospitality and Gastronomy Conference, Subang, Malaysia, 4–26 November 2010; Taylor’s College, Taylor University Lakeside Campus: Subang, Malaysia, 2010; pp. 1–14. [Google Scholar]
- Zainol, N.; Tazijan, F.; Rashid, P.D. Employees Dissastification and Turnover Crises: A Study of Hotel Industry, Malaysia. SSRN Electron. J. 2015, 1–2. [Google Scholar] [CrossRef]
- Sum, V. Stock Returns and Employee Turnover. SSRN J. 2010, 23, 123–125. [Google Scholar] [CrossRef]
- Katunian, A. Sustainability as a New Approach for the Human Resource Development in Tourism Sector. Public Policy Adm. 2019, 18, 405–417. [Google Scholar]
- Goh, E. A workforce to be reckoned with: The emerging pivotal Generation Z hospitality workforce. Int. J. Hosp. Manag. 2018, 73, 20–28. [Google Scholar] [CrossRef]
- Ulrich, D.; Dulebohn, J. Are we there yet? What’s next for HR? Hum. Resour. Manag. Rev. 2015, 25, 188–204. [Google Scholar] [CrossRef]
- Rosewarne, S. Transnationalization and the Capitalisation of Labor: Female Foreign Domestic Workers. In Women Migrant Workers: Ethical, Political and Legal Problems; Meghani, Z., Ed.; Routledge: New York, NY, USA; London, UK, 2016; pp. 194–223. [Google Scholar]
- Haque, A.; Khan, A.H. Factors Influencing of Tourist Loyalty: A Study on Tourist Destinations in Malaysia. In Proceedings of the 3rd Asia-Pacific Business Research Conference, Kuala Lumpur, Malaysia, 25–26 February 2013; pp. 1–16. [Google Scholar]
- Jithendran, K.J.; Baum, T. Human resource development and sustainablity-The case of Indian tourism. Int. J. Tour. Res. 2000, 2, 403–421. [Google Scholar] [CrossRef]
- Mazur, B. Managing bicultural organizations in Podlasie region. In Studia z Zarzqdzania Miedzykulturowego; Społecznej Akademii Nauk: Białystok, Poland, 2009; pp. 295–304. [Google Scholar]
- Marimuthu, M.; Arokiasamy, L.; Ismail, M. Human Capital Development and Its Impact on Firm Performance: Evidence: From Developmental Economics. J. Int. Soc. Res. 2009, 2, 265–272. [Google Scholar]
- Ramlall, S. A review of employee motivation theories and their implications for employee retention within organisations. J. Am. Acad. Bus. 2004, 5, 52–63. [Google Scholar]
- Dawson, M.E.; Abbott, J. Hospitality Culture and Climate: Keys to Retaining Hospitality Employees and Creating Competitive Advantage. In International CHRIE Conference-Refereed Track; Paper 3; UMass Amherst: Dallas, TX, USA, 2009. [Google Scholar]
- Heneman, R.L. Implementing Total Rewards Strategies: A Guide to Successfully Planning and Implementing a Total Reward System; SHRM Foundation: Vancouver, WA, USA, 2007. [Google Scholar]
- Zaugg, R.; Blum, A.; Thom, N. Sustainability in Human Resource Management, Evaluation Report; IOP-Press: Bristol, UK, 2001. [Google Scholar]
- Stankeviciute, Z.; Savaneviciene, A. Sustainability as a concept for Human Resource Management. Econ. Manag. 2013, 18, 837–846. [Google Scholar] [CrossRef] [Green Version]
- Ehnert, I. Sustainable Human Resource Management: A Conceptual and Exploratoy Analysis from a Paradox Perspective; Springer Science and Business Media: Berlin/Heidelberg, Germany, 2009. [Google Scholar]
- Sung, J.; Ashton, D. Linking Strategy, Skills and Performance Outcomes; Sage Publication: Oliver Yard, London, UK, 2005. [Google Scholar]
- Irshad, M. Factors Affecting Employees Retentions: Evidence from Literature Review. Abasyn J. Soc. Sci. 2014, 4, 84–102. [Google Scholar]
- Chew, J.; Girardi, A.; Entrekin, L. Retaining Core Staff: The impact of human resource practices on organisational commitment. J. Comp. Int. Manag. 2005, 8, 23–42. [Google Scholar]
- Gartenstein, D. Why Is Strategic Planning Important to an Organization? 23 June 2015. Available online: https://yourbusiness.azcentral.com/strategicplanning-important-organization-4103 (accessed on 17 February 2021).
- Bradley, C. How Benefits Can Help with Employee Retention and Recruitment. Available online: http://www.winstonbenefits.com/The-Employee-Benefits-Blog/bid/205492/How-Benefits-Can-Help-with-Employee-Retention-and-Recruitment (accessed on 18 February 2021).
- McClain, B.; Madrigal, D. Strengths and Weaknesses of Quantitative and Qualitative Research. 3 September 2012. Available online: http://www.uxmatters.com/mt/archives/2012/09/strengths-and-weaknesses-of-quantitative-and-qualitative-research.php (accessed on 17 February 2021).
- Loftland, J.; Loftland, L.H. Analyzing Social Setting; Wadsworth: Belmonth, CA, USA, 1995. [Google Scholar]
- Burgess, R.G. Elements of Sampling in Field Research: A Source Book and Manual; Allen and Unwin: London, UK, 1982. [Google Scholar]
- Kim, S.K. Sustainable Development and Local Society: Environment, Efficiency, and Human Security. In The 5th International Student Forum; Faculty of Economics, Oita University: Oita, Japan, 2011; pp. 1–7. [Google Scholar]
- Barney, J. Firm resources and sustained competitve advantage. J. Manag. 1991, 17, 99–120. [Google Scholar]
- Brazdauskas, M.; Gaigalaite, L. Sustainable Hotels as Learning Organizations: Innovative Approaches towards Employee Training. J. Creat. Bus. Innov. 2015, 1, 99–106. [Google Scholar]
- Fahy, J. The Role of Resources in Global Competition; Routledge: London, UK, 2001. [Google Scholar]
- Ehnert, I.; Brandl, J. Towards a paradox perspective for HRM: Integrating Research and Moving Ahead. In Proceedings of the 28th EIASM Workshop on Strategic HRM, Copenhagen, Denmark, 14–15 April 2013. Unpublished Paper. [Google Scholar]
- Kroon, B.; Freese, C. Can HR Practices Retain Flexworkers with Their Agency? Int. J. Manpow. 2013, 34, 899–917. [Google Scholar] [CrossRef]



| Year | Rate of Turnover (%) |
|---|---|
| 2018 | 5.0 |
| 2017 | 4.5 |
| 2016 | 4.2 |
| 2015 | 3.4 |
| 2014 | 2.8 |
| 2013 | 2.4 |
| 2012 | 2.1 |
| 2011 | 2.0 |
| Sustainability of HRM | Normative | Efficiency-Oriented | Substance-Oriented |
|---|---|---|---|
| Main advantages | The relevance of relationships between business and society is underlined. | Understanding can easily be linked to familiar ways of thinking about resources and integrating social and economic objectives in the organisation. | Understanding can easily be applied to decision-making processes by differentiating between human resource consumption and reproduction. |
| Main critical points | The concept of “needs” is difficult to operationalise for corporate decision-making, particularly considering the needs of future generations. | Suggestions on how to develop resources are not provided. | Accordingly, tension may occur in efficiently and effectively balancing human resources today, thereby sustaining the human resource base for the future. |
| No. | Rating | Department | Respondents | Age | Respondents | Gender | Respondents | Total |
|---|---|---|---|---|---|---|---|---|
| 1 | 5-Star Hotel | Front Office | 1 | 18–34 | 5 | Male | 3 | |
| Housekeeping | 0 | 35–39 | 3 | Female | 7 | |||
| Accounting/Finance | 2 | 40–54 | 2 | |||||
| Food and Beverage (F and B) | 1 | |||||||
| Kitchen | 0 | |||||||
| Sales and Marketing | 1 | |||||||
| Security | 1 | |||||||
| Engineering and Maintenance | 1 | |||||||
| Sports and Recreation | 1 | |||||||
| Landscaping | 1 | |||||||
| Marina | 1 | 10 | ||||||
| 2 | 4-Star Hotel | Front Office | 2 | 18–34 | 6 | Male | 6 | |
| Housekeeping | 1 | 35–39 | 4 | Female | 8 | |||
| Accounting/Finance | 2 | 40–54 | 4 | |||||
| Food and Beverage (F and B) | 2 | |||||||
| Kitchen | 1 | |||||||
| Sales and Marketing | 3 | |||||||
| Security | 1 | |||||||
| Engineering and Maintenance | 2 | 14 | ||||||
| 3 | 3-Star Hotel | Front Office | 2 | 18–34 | 9 | Male | 7 | |
| Housekeeping | 1 | 35–39 | 4 | Female | 9 | |||
| Accounting/Finance | 2 | 40–54 | 3 | |||||
| Food and Beverage (F and B) | 2 | |||||||
| Kitchen | 1 | |||||||
| Sales and Marketing | 4 | |||||||
| Security | 2 | 16 | ||||||
| Engineering and Maintenance | 2 | |||||||
| Total | 40 |
| 5-Star/Respondents and Responses | 4-Star/Respondents and Responses | 3-Star/Respondents and Responses |
|---|---|---|
| 1. Career Advancement - Promotion to a higher level (Respondent HSM1) | 1. Career Development - Career development programs (Respondent FT1) | 1. Training and Development - In-house and external training (Respondent PIM1) |
| 2. Training and Development - Provision of Mandarin class training for employees (Respondent HSM1) | 2. Benefit Packages - Panel doctors, paternity leave, matrimonial leave (Respondent TPHM2) | 2. Benefit Packages - Staff meals, canteen, annual leave, and panel clinic (Respondent TPSH4) |
| 3. Productivity - Better understanding of the workforce to attract better candidates and retain present employees for the company’s future (Respondent DS3) | 3. Compensation - Bonuses now given to staff (Respondent HGSU2) | 3. Compensation - Recognition for staff and service employees (Respondent TPHS2) |
| 5-Star/Respondents and Responses | 4-Star/Respondents and Responses | 3-Star/Respondents and Responses |
|---|---|---|
| 1. Career Advancement - Succession plan is secured; employees know where they are heading and can see future career plan (Respondent STARM1) | 1. Career Development - Cross exposure, work with sister company (Respondent FS7) | 1. Training and Development - More training needed (Respondent CS1) |
| 2. Training and Development - Training, e.g., training within or across divisions, cross exposure attachment to another hotel (target for 2015 = 15%) (Respondent STARD) | 2. Benefit Packages - I will stay here because of what I get (Respondent TPHM2) - Welfare of staff, work closely with staff, benefits (Respondent FS3) | 2. Benefit Packages - Provision of staff facilities and welfare such as food and transportation (Respondent SCS1) |
| 3. Benefit Packages - Benefits matter; no point of higher salary if not happy (Respondent HS2) | 3. Compensation - Benefits for staff and associates, can earn points (Respondent FS4) | 3. Compensation - Staff welfare should be improved, especially medication, bonus should be provided every year, reward and appreciation for staff, e.g., annual dinner (Respondent SCS2) |
| 4. Working environment - Less stress compared to previous company (Respondent CS4) |
Publisher’s Note: MDPI stays neutral with regard to jurisdictional claims in published maps and institutional affiliations. |
© 2021 by the authors. Licensee MDPI, Basel, Switzerland. This article is an open access article distributed under the terms and conditions of the Creative Commons Attribution (CC BY) license (https://creativecommons.org/licenses/by/4.0/).
Share and Cite
Chan, J.K.L.; Stephen, S.G.A.; Andi Kele, A.T. Exploring Sustainable Human Resource Practices and Framework in Star-Rated Hotels. Sustainability 2021, 13, 9024. https://doi.org/10.3390/su13169024
Chan JKL, Stephen SGA, Andi Kele AT. Exploring Sustainable Human Resource Practices and Framework in Star-Rated Hotels. Sustainability. 2021; 13(16):9024. https://doi.org/10.3390/su13169024
Chicago/Turabian StyleChan, Jennifer Kim Lian, Steward Giman Anak Stephen, and Andi Tamsang Andi Kele. 2021. "Exploring Sustainable Human Resource Practices and Framework in Star-Rated Hotels" Sustainability 13, no. 16: 9024. https://doi.org/10.3390/su13169024
APA StyleChan, J. K. L., Stephen, S. G. A., & Andi Kele, A. T. (2021). Exploring Sustainable Human Resource Practices and Framework in Star-Rated Hotels. Sustainability, 13(16), 9024. https://doi.org/10.3390/su13169024

