Measurements of the Emissions of a “Golden” Vehicle at Seven Laboratories with Portable Emission Measurement Systems (PEMS)
Abstract
1. Introduction
2. Materials and Methods
2.1. Laboratories
2.2. Test Protocol
2.3. PEMS
2.4. Golden Vehicle and Fuel
2.5. Calculations
3. Results
3.1. Absolute Emission Levels
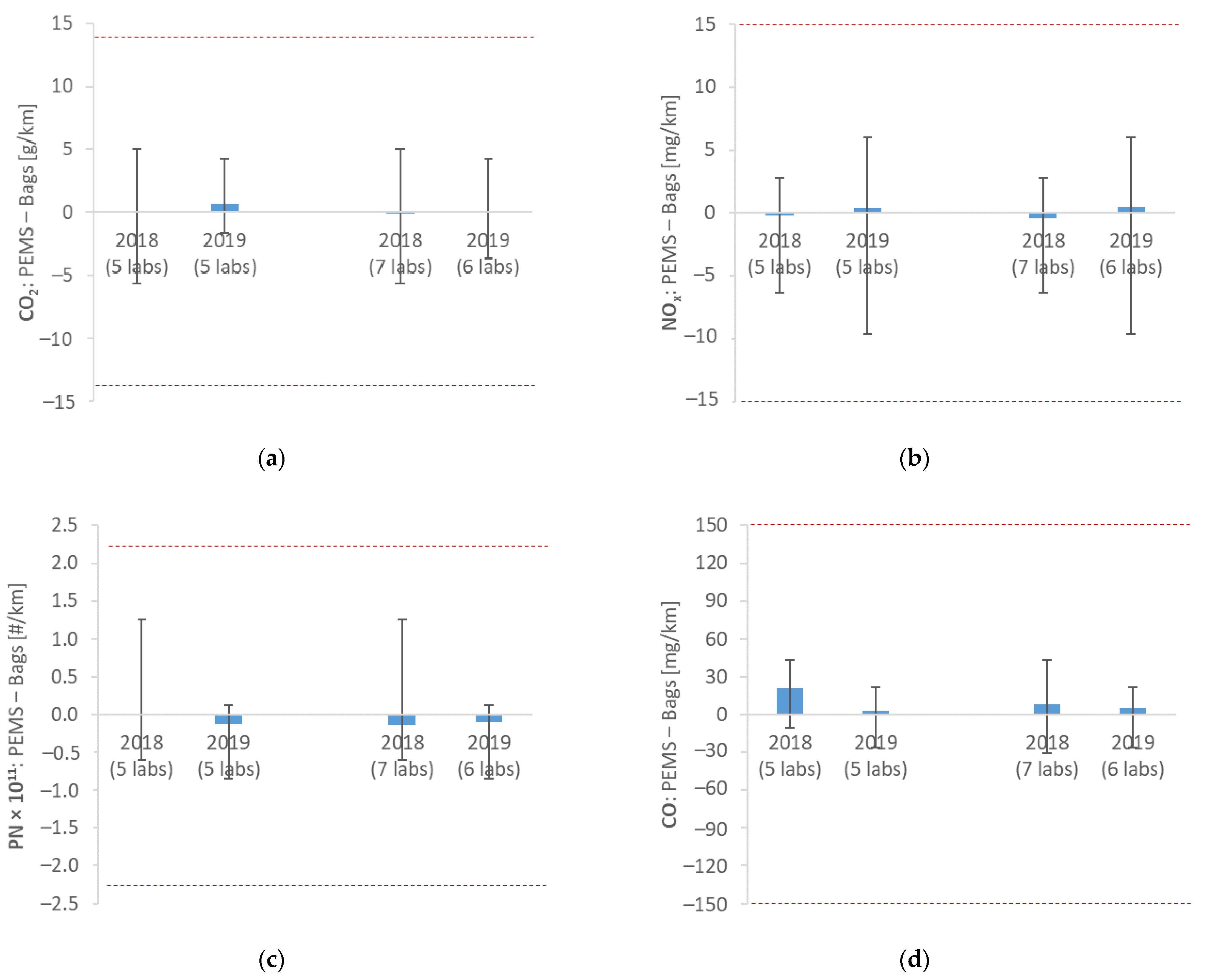
3.2. PEMS Differences
4. Discussion
5. Conclusions
Author Contributions
Funding
Institutional Review Board Statement
Informed Consent Statement
Data Availability Statement
Acknowledgments
Conflicts of Interest
Disclaimer
Appendix A


| Pollutant: μ (sr/sL/sR) | 2018 (Bags) | 2018 (PEMS) | 2019 (Bags) | 2019 (PEMS) |
|---|---|---|---|---|
| CO2 [g/km] | 140.0 (1.1%/1.9%/2.1%) | 140.8 (3.3%/3.4%/4.7%) | 139.8 (1.2%/3.6%/3.8%) | 139.7 (1.7%/2.2%/2.8%) |
| CO [mg/km] | 49.2 (23%/33%/41%) | 57.0 (17%/35%/39%) | 43.8 (36%/28%/45%) | 50.2 (42%/38%/57%) |
| NOx [mg/km] | 35.2 (7.7%/15.4%/17.2%) | 34.9 (6.9%/12.3%/14.1%) | 39.6 (13.7%/7.5%/15.6%) | 40.0 (11.4%/12.0%/16.6%) |
| PN ×1011 [p/km] | 4.5 (5%/26%/27%) | 4.4 (8%/37%/38%) | 4.3 (14%/9%/16%) | 3.8 (18%/31%/36%) |
References
- Marinello, S.; Lolli, F.; Gamberini, R. Roadway Tunnels: A Critical Review of Air Pollutant Concentrations and Vehicular Emissions. Transp. Res. Part D Transp. Environ. 2020, 86, 102478. [Google Scholar] [CrossRef]
- Franco, V.; Kousoulidou, M.; Muntean, M.; Ntziachristos, L.; Hausberger, S.; Dilara, P. Road Vehicle Emission Factors Development: A Review. Atmos. Environ. 2013, 70, 84–97. [Google Scholar] [CrossRef]
- Andersen, O.; Upham, P.; Aall, C. Technological Response Options after the VW Diesel Scandal: Implications for Engine CO2 Emissions. Sustainability 2018, 10, 2313. [Google Scholar] [CrossRef]
- Weiss, M.; Bonnel, P.; Hummel, R.; Provenza, A.; Manfredi, U. On-Road Emissions of Light-Duty Vehicles in Europe. Environ. Sci. Technol. 2011, 45, 8575–8581. [Google Scholar] [CrossRef] [PubMed]
- Pavlovic, J.; Anagnostopoulos, K.; Clairotte, M.; Arcidiacono, V.; Fontaras, G.; Rujas, I.P.; Morales, V.V.; Ciuffo, B. Dealing with the Gap between Type-Approval and in-Use Light Duty Vehicles Fuel Consumption and CO2 Emissions: Present Situation and Future Perspective. Transp. Res. Rec. 2018, 2672, 23–32. [Google Scholar] [CrossRef]
- Valverde-Morales, V.; Clairotte, M.; Pavlovic, J.; Giechaskiel, B.; Bonnel, P. On-Road Emissions of Euro 6d-TEMP Vehicles: Consequences of the Entry into Force of the RDE Regulation in Europe; SAE Technical Paper 2020-01-2219; SAE International: Warrendale, PA, USA, 2020. [Google Scholar] [CrossRef]
- D’Adamo, I.; Rosa, P. A Structured Literature Review on Obsolete Electric Vehicles Management Practices. Sustainability 2019, 11, 6876. [Google Scholar] [CrossRef]
- Dahlgren, S.; Ammenberg, J. Sustainability Assessment of Public Transport, Part Ii—Applying a Multi-Criteria Assessment Method to Compare Different Bus Technologies. Sustainability 2021, 13, 1273. [Google Scholar] [CrossRef]
- Arribas-Ibar, M.; Nylund, P.; Brem, A. The Risk of Dissolution of Sustainable Innovation Ecosystems in Times of Crisis: The Electric Vehicle during the Covid-19 Pandemic. Sustainability 2021, 13, 1319. [Google Scholar] [CrossRef]
- Giechaskiel, B.; Bonnel, P.; Perujo, A.; Dilara, P. Solid Particle Number (SPN) Portable Emissions Measurement Systems (PEMS) in the European Legislation: A Review. Int. J. Environ.Res. Public Health 2019, 16, 4819. [Google Scholar] [CrossRef]
- Feist, M.D.; Sharp, C.A.; Spears, M.W. Determination of Pems Measurement Allowances for Gaseous Emissions Regulated under the Heavy-Duty Diesel Engine in-Use Testing Program: Part 1—Project Overview and PEMS Evaluation Procedures. SAE Int. J. Fuels Lubr. 2009, 2, 435–454. [Google Scholar] [CrossRef]
- Cao, T.; Durbin, T.D.; Cocker, D.R.; Wanker, R.; Schimpl, T.; Pointner, V.; Oberguggenberger, K.; Johnson, K.C. A Comprehensive Evaluation of a Gaseous Portable Emissions Measurement System with a Mobile Reference Laboratory. Emiss. Control Sci. Technol. 2016, 2, 173–180. [Google Scholar] [CrossRef]
- Giechaskiel, B.; Clairotte, M.; Valverde-Morales, V.; Bonnel, P.; Kregar, Z.; Franco, V.; Dilara, P. Framework for the Assessment of PEMS (Portable Emissions Measurement Systems) Uncertainty. Environ. Res. 2018, 166, 251–260. [Google Scholar] [CrossRef]
- Varella, R.; Giechaskiel, B.; Sousa, L.; Duarte, G. Comparison of Portable Emissions Measurement Systems (PEMS) with Laboratory Grade Equipment. Appl. Sci. 2018, 8, 1633. [Google Scholar] [CrossRef]
- Giechaskiel, B.; Casadei, S.; Mazzini, M.; Sammarco, M.; Montabone, G.; Tonelli, R.; Deana, M.; Costi, G.; Di Tanno, F.; Prati, M.; et al. Inter-Laboratory Correlation Exercise with Portable Emissions Measurement Systems (PEMS) on Chassis Dynamometers. Appl. Sci. 2018, 8, 2275. [Google Scholar] [CrossRef]
- Kim, S.; Kondo, K.; Otsuki, Y.; Haruta, K. A New On-Board PN Analyzer for Monitoring the Real-Driving Condition; SAE Technical Paper 2017-01-1001; SAE International: Warrendale, PA, USA, 2017. [Google Scholar] [CrossRef]
- Giechaskiel, B.; Woodburn, J.; Szczotka, A.; Bielaczyc, P. Particulate Matter (PM) Emissions of Euro 5 and Euro 6 Vehicles Using Systems with Evaporation Tube or Catalytic Stripper and 23 Nm or 10 Nm Counters; SAE Technical Paper 2020-01-2203; SAE International: Warrendale, PA, USA, 2020. [Google Scholar] [CrossRef]
- ISO 5725–2:1994. Accuracy (Trueness and Precision) of Measurement Methods and Results—Part 2: Basic Method for the Determination of Repeatability and Reproducibility of a Standard Measurement Method; International Organization for Standardization: Geneva, Switzerland, 1994. [Google Scholar]
- Pavlovic, J.; Marotta, A.; Ciuffo, B. CO2 Emissions and Energy Demands of Vehicles Tested under the NEDC and the New WLTP Type Approval Test Procedures. Appl. Energy 2016, 177, 661–670. [Google Scholar] [CrossRef]
- Pavlovic, J.; Ciuffo, B.; Fontaras, G.; Valverde, V.; Marotta, A. How Much Difference in Type-Approval CO2 Emissions from Passenger Cars in Europe Can Be Expected from Changing to the New Test Procedure (NEDC vs. WLTP)? Transp. Res. Part A Policy Pract. 2018, 111, 136–147. [Google Scholar] [CrossRef]
- Liu, X.; Zhao, F.; Hao, H.; Chen, K.; Liu, Z.; Babiker, H.; Amer, A.A. From NEDC to WLTP: Effect on the Energy Consumption, NEV Credits, and Subsidies Policies of PHEV in the Chinese Market. Sustainability 2020, 12, 5747. [Google Scholar] [CrossRef]
- Joshi, A. Review of Vehicle Engine Efficiency and Emissions; SAE Technical Paper 2021-01-0575; SAE International: Warrendale, PA, USA, 2021. [Google Scholar] [CrossRef]
- European Commission European Green Deal: Commission Proposes Transformation of EU Economy and Society to Meet Climate Ambitions. Press Release 14 July 2021. Available online: https://ec.europa.eu/commission/presscorner/detail/en/IP_21_3541 (accessed on 4 August 2021).
- Petronijević, V.; Đorđević, A.; Stefanović, M.; Arsovski, S.; Krivokapić, Z.; Mišić, M. Energy Recovery through End-of-Life Vehicles Recycling in Developing Countries. Sustainability 2020, 12, 8764. [Google Scholar] [CrossRef]
- Sverko Grdic, Z.; Krstinic Nizic, M.; Rudan, E. Circular Economy Concept in the Context of Economic Development in EU Countries. Sustainability 2020, 12, 3060. [Google Scholar] [CrossRef]
- D’Adamo, I.; Gastaldi, M.; Rosa, P. Recycling of End-of-Life Vehicles: Assessing Trends and Performances in Europe. Technol. Forecast. Soc. Chang. 2020, 152, 119887. [Google Scholar] [CrossRef]
- Numfor, S.A.; Omosa, G.B.; Zhang, Z.; Matsubae, K. A Review of Challenges and Opportunities for End-of-Life Vehicle Recycling in Developing Countries and Emerging Economies: A SWOT Analysis. Sustainability 2021, 13, 4918. [Google Scholar] [CrossRef]
- Eurostat Statistics Explained: Passenger Cars in EU. Available online: https://ec.europa.eu/eurostat/statistics-explained/images/1/11/SE_Passenger_cars_in_the_EU_update2019.xlsx (accessed on 4 August 2021).
- Williams, R.; Hamje, H.; Zemroch, P.J.; Clark, R.; Samaras, Z.; Dimaratos, A.; Jansen, L.; Fittavolini, C. Effect of Fuel Properties on Emissions from Euro 4 and Euro 5 Diesel Passenger Cars. Transp. Res. Procedia 2016, 14, 3149–3158. [Google Scholar] [CrossRef][Green Version]
- Tesfa, B.; Gu, F.; Mishra, R.; Ball, A. Emission Characteristics of a CI Engine Running with a Range of Biodiesel Feedstocks. Energies 2014, 7, 334–350. [Google Scholar] [CrossRef]
- Wu, G.; Ge, J.C.; Choi, N.J. A Comprehensive Review of the Application Characteristics of Biodiesel Blends in Diesel Engines. Appl. Sci. 2020, 10, 8015. [Google Scholar] [CrossRef]
- Valencia Ochoa, G.; Acevedo Peñaloza, C.; Duarte Forero, J. Combustion and Performance Study of Low-Displacement Compression Ignition Engines Operating with Diesel–Biodiesel Blends. Appl. Sci. 2020, 10, 907. [Google Scholar] [CrossRef]
- Paredes Rojas, J.C.; Torres San Miguel, C.R.; Vázquez Medina, R.; Leal Naranjo, J.A.; Ortiz Hernàndez, F.E.; Costa Castelló, R. Pollutant Emissions and Combustion Efficiency Assessment of Engines Using Biodiesel. Appl. Sci. 2020, 10, 8646. [Google Scholar] [CrossRef]
- Giechaskiel, B.; Valverde, V.; Clairotte, M. Real Driving Emissions (RDE): 2020 Assessment of Portable Emissions Measurement Systems (PEMS) Measurement Uncertainty; Publications Office of the European Commission: Luxembourg, 2021; ISBN 978-92-76-30230-8. [Google Scholar]
- Vu, D.; Szente, J.; Loos, M.; Maricq, M. How Well Can MPEMS Measure Gas Phase Motor Vehicle Exhaust Emissions? SAE Technical Paper 2020-01-0369; SAE International: Warrendale, PA, USA, 2020. [Google Scholar] [CrossRef]
- Otsuki, Y.; Nakamura, H.; Kojima, K.; Kondo, K.; Haruta, K. Investigation in Calibration Procedures for Portable and Stationary Solid Particle Number Measurement Systems; SAE Technical Paper 2019-01-1187; SAE International: Warrendale, PA, USA, 2019. [Google Scholar] [CrossRef]
- Schriefl, M.A.; Nishida, R.T.; Knoll, M.; Boies, A.M.; Bergmann, A. Characterization of Particle Number Counters Based on Pulsed-Mode Diffusion Charging. Aerosol Sci. Technol. 2020, 54, 772–789. [Google Scholar] [CrossRef]
- Khan, M.Y.; Patel, M.; Scott, N.; Liew, C.M.; Peng, C.; Luo, W.; Rahman, M.; Gramlich, N.; Eames, J.; Phillips, J.A. Assessment of In-Use Solid Particle Number Measurement Systems against Laboratory Systems; SAE Technical Paper 2020-01-5074; SAE International: Warrendale, PA, USA, 2020. [Google Scholar] [CrossRef]
- Akard, M.; Gramlich, N.; Nevius, T.; Porter, S. Comparison of Real-World Urban Driving Route PEMS Fuel Economy with Chassis Dynamometer CVS Results; SAE Technical Paper 2019-01-0762; SAE International: Warrendale, PA, USA, 2019. [Google Scholar] [CrossRef]
- Mamakos, A.; Ntziachristos, L.; Samaras, Z. Comparability of Particle Emission Measurements between Vehicle Testing Laboratories: A Long Way to Go. Meas. Sci. Technol. 2004, 15, 1855–1866. [Google Scholar] [CrossRef]
- Zervas, E.; Dorlhène, P.; Forti, L.; Perrin, C.; Momique, J.C.; Monier, R.; Ing, H.; Lopez, B. Interlaboratory Test of Exhaust PM Using ELPI. Aerosol Sci. Technol. 2005, 39, 333–346. [Google Scholar] [CrossRef]
- Zervas, E.; Dorlhène, P.; Forti, L.; Perrin, C.; Momique, J.C.; Monier, R.; Ing, H.; Lopez, B. Interlaboratory Study of the Exhaust Gas Particle Number Measurement Using the Condensation Particle Counter (Cpc). Energy Fuels 2006, 20, 2426–2431. [Google Scholar] [CrossRef]
- Myung, C.-L.; Lee, H.; Kwon, S.; Lee, S.; Jun, J.; Lee, Y.; Woo, Y.; Lee, M.; Bae, G.-N.; Park, S. Inter-Laboratory Correlation Exercise on a Light-Duty Diesel Passenger Vehicle to Verify Nano-Particle Emission Characteristics by Korea Particle Measurement Program. J. Mech. Sci. Technol. 2009, 23, 729–738. [Google Scholar] [CrossRef]
- Haniu, T.; Vallaude, C. Asian and European WLTP RRT. In Proceedings of the WLTP 19th Meeting, Geneva, Switzerland, 6 June 2017. [Google Scholar]


| Laboratories | 2018 | 2019 |
|---|---|---|
| All laboratories | 16 | 13 |
| Laboratories with PEMS | 7 | 6 1 |
| 2018 | 2019 | B5 | B7 | EN 590:2013 | |
|---|---|---|---|---|---|
| Cetane number [–] | 53.5 | 53.7 | 52–54 | 52–56 | >51 |
| Density at 15 °C [kg/m3] | 831.4 | 835.6 | 833–837 | 833–837 | 820–845 |
| Distillation 50% point [°C] | 279.0 | 284.3 | >245 | >245 | |
| Distillation 95% point [°C] | 354.1 | 353.0 | 345–350 | 345–360 | <360 |
| PAH [% m/m] | 1.4 | 2.0 | 2.0–6.0 | 2.0–4.0 | <8.0 |
| Sulphur content [mg/kg] | 7.0 | 7.4 | <10.0 | <10.0 | <10.0 |
| FAME [% v/v] | 3.1 | 6.9 | 4.5–5.5 | 6.0–7.0 | <7.0 |
| Laboratories | 2018 (Bags) | 2018 (PEMS) | 2019 (Bags) | 2019 (PEMS) |
|---|---|---|---|---|
| All: 16 (2018) and 13 (2019) | 139.1 (2.4%) | - | 138.1 (3.7%) | - |
| With PEMS: 7 (2018) and 6 (2019) | 140.0 (2.2%) | 140.8 (4.7%) | 139.8 (3.8%) | 139.7 (2.8%) |
| With PEMS: the same 5 in 2018 and 2019 | 139.6 (2.1%) | 139.6 (4.9%) | 137.8 (2.6%) | 138.4 (2.1%) |
| Emission Level | CO2 | CO | NOx | PN | Comments |
|---|---|---|---|---|---|
| Euro 2 (none) | 4.2 | 12 | 9 | 52 | 7 labs, NEDC [40] |
| Euro 3 (with DOC) 1 | 0.9 | 11 | 6 | 24 | 4 labs, NEDC [41] |
| Euro 3 (with DOC + DPF) | 1.5 | 58 | 9 | 67 | 4 labs, NEDC [41] |
| Euro 3 (with DOC) 1,2 | 1.6 | 7 | 9 | 30 | 4 labs, NEDC [42] |
| Euro 4 (with DOC) 1,2 | 1.2 | 12 | 7 | 21 | 4 labs, NEDC [42] |
| Euro 3 (with DOC + DPF) 1,2 | 2.4 | 33 | 8 | 112 | 3 labs, NEDC [42] |
| Euro 4 (with DOC + DPF) | 3.0 | 34 | 10 | 46 | 4 labs, NEDC [43] |
| Euro 5 (DOC + LNT + DPF) | 3.1 | 42 | 7 | 25 | 11 EU labs, WLTC [44] |
| Euro 5 equivalent (DOC + LNT + DPF) | 2.6 | 28 | 29 | - | 4 Asian labs, WLTC [44] |
| Euro 6d-temp (DOC + DPF + SCR) 3 | 3.0 | 43 | 16 | 22 | 6–7 labs, WLTC, this study |
| As above | 3.8 | 48 | 15 | 37 | As above (PEMS) |
Publisher’s Note: MDPI stays neutral with regard to jurisdictional claims in published maps and institutional affiliations. |
© 2021 by the authors. Licensee MDPI, Basel, Switzerland. This article is an open access article distributed under the terms and conditions of the Creative Commons Attribution (CC BY) license (https://creativecommons.org/licenses/by/4.0/).
Share and Cite
Giechaskiel, B.; Casadei, S.; Rossi, T.; Forloni, F.; Di Domenico, A. Measurements of the Emissions of a “Golden” Vehicle at Seven Laboratories with Portable Emission Measurement Systems (PEMS). Sustainability 2021, 13, 8762. https://doi.org/10.3390/su13168762
Giechaskiel B, Casadei S, Rossi T, Forloni F, Di Domenico A. Measurements of the Emissions of a “Golden” Vehicle at Seven Laboratories with Portable Emission Measurement Systems (PEMS). Sustainability. 2021; 13(16):8762. https://doi.org/10.3390/su13168762
Chicago/Turabian StyleGiechaskiel, Barouch, Simone Casadei, Tommaso Rossi, Fabrizio Forloni, and Andrea Di Domenico. 2021. "Measurements of the Emissions of a “Golden” Vehicle at Seven Laboratories with Portable Emission Measurement Systems (PEMS)" Sustainability 13, no. 16: 8762. https://doi.org/10.3390/su13168762
APA StyleGiechaskiel, B., Casadei, S., Rossi, T., Forloni, F., & Di Domenico, A. (2021). Measurements of the Emissions of a “Golden” Vehicle at Seven Laboratories with Portable Emission Measurement Systems (PEMS). Sustainability, 13(16), 8762. https://doi.org/10.3390/su13168762

