Effect of Intake Air Temperature and Premixed Ratio on Combustion and Exhaust Emissions in a Partial HCCI-DI Diesel Engine
Abstract
:1. Introduction
Purpose of Study
2. Experimental Apparatus and Procedure
2.1. Engine
2.2. Fuel Injection System
2.3. Fuel Consumption Measurement
2.4. Auxiliary Fuel Injector Calibration Protocol
2.5. Intake Air Systems and Exhaust Emission Measurements
2.6. Data Acquisition
2.7. Dynamometer
2.8. Experimental Procedure
3. Results and Discussion
3.1. Effect of Premixed Ratio
3.1.1. Engine Performance
3.1.2. Combustion Characteristics
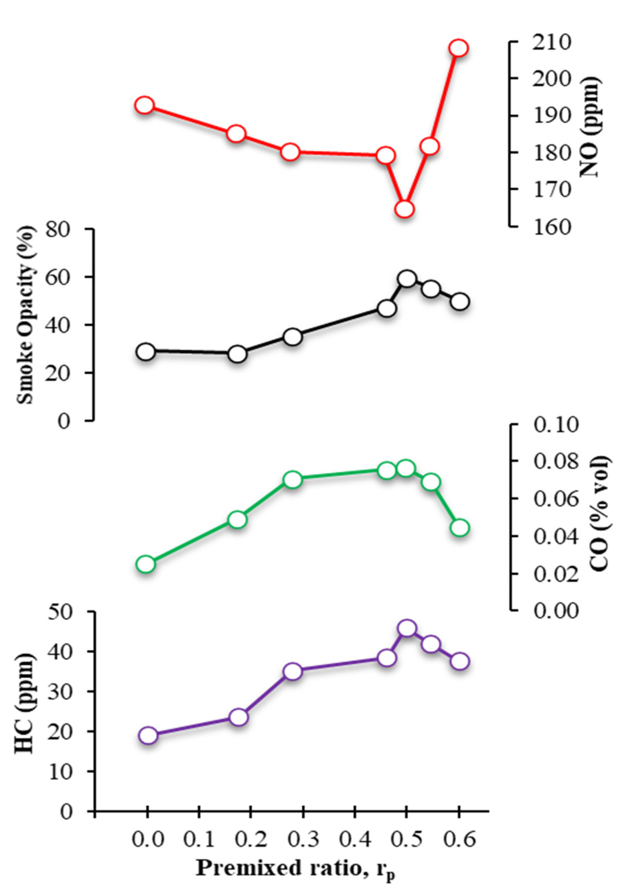
3.1.3. Exhaust Emission Characteristics
3.2. Effect of Intake Air Temperature
3.2.1. Engine Performance
3.2.2. Combustion Characteristics
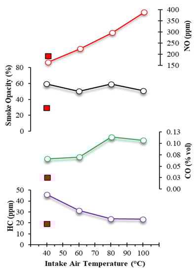
3.2.3. Exhaust Emission Characteristics
4. Conclusions
- The ISFC and total fuel flow rate had an increasing trend with rises in premixed fuel proportion at a constant 40 °C IAT.
- Multiple combustion stages were noticed in the partial HCCI engine fuelled with diesel. Two-stage combustion occurred for a lower premixed fuel ratio, while a higher premixed ratio setting resulted in three-stage ignition. Multiple combustion stages happen mainly due to the chemical reaction rate in different combustion stages. The premixed fuel ratio and the IAT affect the combustion characteristics.
- With an increase in premixed fuel, significant advancement in SOC and pressure rise were noticed. The increased premixed ratio increased the in-cylinder temperature to advance the auto-ignition of the mixture in the cylinder.
- A greater quantity of HC and CO emissions and smoke opacity were found to occur when the premixed ratio was increased. In spite of worsened NO emission at high premixed ratios, the greatest NO reduction (14.5%) was achieved when half of the diesel fuel was premixed.
- When the premixed ratio was controlled at approximately 0.50, the total fuel flow rate and ISFC were observed to rise with an increase in IAT.
- Compared to the premixed ratio, variations in inlet air temperature showed a greater effect on LTR and HCCI combustion timing which underwent very apparent earlier shifts. This phenomenon was due to a rise in combustion temperature as a consequence of a higher chemical reaction rate with the increased IAT.
- At a premixed ratio of approximately 0.5, an increase in inlet temperature improved HC emission but also had an unfavourable effect such that higher CO and NO were released from the engine. Additionally, an insignificant improvement in smoke opacity was observed when intake air was heated to higher temperatures.
- Consequently, controlling the premixed ratio and IAT on a partial HCCI may have a great potential to control the auto-ignition. Besides this, more work needs to be done to improve emissions.
Author Contributions
Funding
Institutional Review Board Statement
Informed Consent Statement
Data Availability Statement
Conflicts of Interest
References
- Yasin, M.H.; Mamat, R.; Najafi, G.; Ali, O.M.; Yusop, A.F.; Ali, M.H. Potentials of palm oil as new feedstock oil for a global alternative fuel: A review. Renew. Sustain. Energy Rev. 2017, 79, 1034–1049. [Google Scholar] [CrossRef] [Green Version]
- Agarwal, A.K.; Singh, A.P.; Maurya, R.K. Evolution, challenges and path forward for low temperature combustion engines. Prog. Energy Combust. Sci. 2017, 61, 1–56. [Google Scholar] [CrossRef]
- Onishi, S.; Jo, S.H.; Shoda, K.; Jo, P.D.; Kato, S. Active Thermo-Atmosphere Combustion (ATAC)—A New Combustion Process for Internal Combustion Engines; SAE International: Warrendale, PA, USA, 1979. [Google Scholar]
- Urushihara, T.; Hiraya, K.; Kakuhou, A.; Itoh, T. Expansion of HCCI Operating Region by the Combination of Direct Fuel Injection, Negative Valve Overlap and Internal Fuel Reformation; SAE International: Warrendale, PA, USA, 2003. [Google Scholar]
- Gomes Antunes, J.M.; Mikalsen, R.; Roskilly, A.P. An Investigation of Hydrogen-Fuelled HCCI Engine Performance and Operation. Int. J. Hydrogen Energy 2008, 33, 5823–5828. [Google Scholar] [CrossRef] [Green Version]
- Azad, A.K.; Rasul, M.G.; Khan, M.M.; Sharma, S.C.; Bhuiya, M.M. Recent development of biodiesel combustion strategies and modelling for compression ignition engines. Renew. Sustain. Energy Rev. 2016, 56, 1068–1086. [Google Scholar] [CrossRef]
- Hasegawa, R.; Yanagihara, H. HCCI Combustion in DI Diesel Engine; SAE International: Warrendale, PA, USA, 2003. [Google Scholar]
- Juttu, S.; Thipse, S.S.; Marathe, N.V.; Babu, M.G. Homogeneous Charge Compression Ignition (HCCI): A New Concept for Near Zero NOx and Particulate Matter (PM) from Diesel Engine Combustion; The Automotive Research Association of India: Maharashtra, India, 2007. [Google Scholar]
- Hasan, M.M.; Rahman, M.M. Homogeneous charge compression ignition combustion: Advantages over compression ignition combustion, challenges and solutions. Renew. Sustain. Energy Rev. 2016, 57, 282–291. [Google Scholar] [CrossRef] [Green Version]
- Gowthaman, S.; Sathiyagnanam, A.P. Effects of charge temperature and fuel injection pressure on HCCI engine. Alex. Eng. J. 2016, 55, 119–125. [Google Scholar] [CrossRef] [Green Version]
- Zhao, F.; Asmus, T.N.; Assanis, D.N.; Dec, J.E.; Eng, J.A.; Najt, P.M. Homogeneous Charge Compression Ignition (HCCI) Engines—Key Research and Development Issues; SAE International: Warrendale, PA, USA, 2003. [Google Scholar]
- Szybist, J.P.; Bunting, B.G. Cetane Number and Engine Speed Effects on Diesel HCCI Performance and Emissions; SAE International: Warrendale, PA, USA, 2005. [Google Scholar]
- Singh, A.P.; Agarwal, A.K. Combustion characteristics of diesel HCCI engine: An experimental investigation using external mixture formation technique. Appl. Energy 2012, 99, 116–125. [Google Scholar] [CrossRef]
- Hairuddin, A.A.; Yusaf, T.; Wandel, A.P. A review of hydrogen and natural gas addition in diesel HCCI engines. Renew. Sustain. Energy Rev. 2014, 32, 739–761. [Google Scholar] [CrossRef] [Green Version]
- Bendu, H.; Murugan, S. Homogeneous charge compression ignition (HCCI) combustion: Mixture preparation and control strategies in diesel engines. Renew. Sustain. Energy Rev. 2014, 38, 732–746. [Google Scholar] [CrossRef]
- Gray, A.W.; Ryan, T.W. Homogeneous Charge Compression Ignition (HCCI) of Diesel Fuel; SAE International: Warrendale, PA, USA, 1997. [Google Scholar]
- Kim, D.S.; Lee, C.S. Improved emission characteristics of HCCI engine by various premixed fuels and cooled EGR. Fuel 2006, 85, 695–704. [Google Scholar] [CrossRef]
- Kumar, P.; Rehman, A. Bio-diesel in homogeneous charge compression ignition (HCCI) combustion. Renewable and Sustain. Energy Rev. 2016, 56, 536–550. [Google Scholar] [CrossRef]
- Pandey, S.; Diwan, P.; Sahoo, P.K.; Thipse, S.S. A review of combustion control strategies in diesel HCCI engines. Biofuels 2018, 9, 61–74. [Google Scholar] [CrossRef]
- Saravanan, S.; Pitchandi, K.; Suresh, G. An experimental study on premixed charge compression ignition-direct ignition engine fueled with ethanol and gasohol. Alex. Eng. J. 2015, 54, 897–904. [Google Scholar] [CrossRef] [Green Version]
- Suzuki, H.; Koike, N.; Odaka, M. Combustion Control Method of Homogeneous Charge Diesel Engines; SAE International: Warrendale, PA, USA, 1998. [Google Scholar]
- Ying, W.; Li, H.; Jie, Z.; Longbao, Z. Study of HCCI-DI combustion and emissions in a DME engine. Fuel 2009, 88, 2255–2261. [Google Scholar] [CrossRef]
- Ma, J.; Lü, X.; Ji, L.; Huang, Z. An experimental study of HCCI-DI combustion and emissions in a diesel engine with dual fuel. Int. J. Therm. Sci. 2008, 47, 1235–1242. [Google Scholar] [CrossRef]
- Yao, M.; Zheng, Z.; Liu, H. Progress and recent trends in homogeneous charge compression ignition (HCCI) engines. Prog. Energy Combust. Sci. 2009, 35, 398–437. [Google Scholar] [CrossRef]
- Ganesh, D.; Nagarajan, G. Homogeneous charge compression ignition (HCCI) combustion of diesel fuel with external mixture formation. Energy 2010, 35, 148–157. [Google Scholar] [CrossRef]
- Lee, C.S.; Lee, K.H.; Kim, D.S. Effect of Premixed Ratio on Nitric Oxide Emission in Diesel Engine; SAE International: Warrendale, PA, USA, 2001. [Google Scholar]
- Kim, D.S.; Kim, M.Y.; Lee, C.S. Combustion and Emission Characteristics of Partial Homogeneous Charge Compression Ignition Engine. Combust. Sci. Technol. 2004, 177, 107–125. [Google Scholar] [CrossRef]
- Houston, R.; Cathcart, G. Combustion and Emissions Characteristics of Orbital’s Combustion Process Applied to Multi-Cylinder Automotive Direct Injected 4-Stroke Engines; SAE International: Warrendale, PA, USA, 1998. [Google Scholar]
- Koci, C.; Florea, R.; Das, S.; Walls, M.; Simescu, S.; Roberts, C. Air-Assisted Direct Injection Diesel Investigations; SAE International: Warrendale, PA, USA, 2013. [Google Scholar]
- Takeda, Y.; Keiichi, N.; Keiichi, N. Emission Characteristics of Premixed Lean Diesel Combustion with Extremely Early Staged Fuel Injection; SAE International: Warrendale, PA, USA, 1996. [Google Scholar]
- Nakagome, K.; Shimazaki, N.; Niimura, K.; Kobayashi, S. Combustion and Emission Characteristics of Premixed Lean Diesel Combustion Engine; SAE International: Warrendale, PA, USA, 1997. [Google Scholar]
- Bhaskar, K.; Nagarajan, G.; Sampath, S. The Effects of Premixed Ratios on the Performance and Emission of PPCCI Combustion in a Single Cylinder Diesel Engine. Int. J. Green Energy 2013, 10, 1–11. [Google Scholar] [CrossRef]
- Tingas, E.A.; Wang, Z.; Sarathy, S.M.; Im, H.G.; Goussis, D.A. Chem. Kinet. Insights Into Ignition Dyn. N-Hexane. Combust. Flame 2018, 188, 28–40. [Google Scholar]
- Pekalski, A.A.; Zevenbergen, J.F.; Pasman, H.J.; Lemkowitz, S.M.; Dahoe, A.E.; Scarlett, B. The relation of cool flames and auto-ignition phenomena to process safety at elevated pressure and temperature. J. Hazard. Mater. 2002, 93, 93–105. [Google Scholar] [CrossRef]
- Houidi, M.B.; AlRamadan, A.S.; Sotton, J.; Bellenoue, M.; Sarathy, S.M.; Johansson, B. Understanding multi-stage HCCI combustion caused by thermal stratification and chemical three-stage auto-ignition. Proc. Combust. Inst. 2021, 38, 5575–5583. [Google Scholar] [CrossRef]
- Sarathy, S.M.; Tingas, E.A.; Nasir, E.F.; Detogni, A.; Wang, Z.; Farooq, A.; Im, H. Three-stage heat release in n-heptane auto-ignition. Proc. Combust. Inst. 2019, 37, 485–492. [Google Scholar] [CrossRef]
- Machrafi, H.; Cavadias, S.; Gilbert, P. An experimental and numerical analysis of the HCCI auto-ignition process of primary reference fuels, toluene reference fuels and diesel fuel in an engine, varying the engine parameters. Fuel Process. Technol. 2008, 89, 1007–1016. [Google Scholar] [CrossRef] [Green Version]
- Zaidi, K.; Andrews, G.E.; Greenhaugh, J.H. Effect of Partial Fumigation of the Intake Air with Fuel on a DI Diesel Engine Emissions; SAE International: Warrendale, PA, USA, 2002. [Google Scholar]
- Sjöberg, M.; Dec, J.E. An investigation into lowest acceptable combustion temperatures for hydrocarbon fuels in HCCI engines. Proc. Combust. Inst. 2005, 30, 2719–2726. [Google Scholar] [CrossRef]
- Kamio, J.; Kurotani, T.; Kuzuoka, K.; Kubo, Y.; Taniguchi, H.; Hashimoto, K. Study on HCCI-SI Combustion Using Fuels Containing Ethanol; SAE Transactions: Warrendale, PA, USA, 2007. [Google Scholar]
- Sun, R.; Thomas, R.; Gray, C.L. An HCCI Engine: Power Plant for a Hybrid Vehicle; SAE International: Warrendale, PA, USA, 2004. [Google Scholar]
- Brakora, J.L.; Reitz, R.D. Investigation of NOx Predictions from Biodiesel-Fueled HCCI Engine Simulations Using a Reduced Kinetic Mechanism; SAE International: Warrendale, PA, USA, 2010. [Google Scholar]









| Engine Model | Single-Cylinder Water-Cooled 4-Stroke DI Diesel |
|---|---|
| Bore (mm) | 92 |
| Stroke (mm) | 96 |
| Displacement (cm3) | 638 |
| Compression ratio | 17.7:1 |
| Continuous rating output (rpm) | 7.8 kW @ 2400 |
| One-hour rating output (rpm) | 8.9 kW @ 2400 |
| Injection timing (°BTDC) | 17 |
| Injection pressure (bar or kg/cm2) Connecting rod length | 196 or 200 149.5 mm |
| Connecting rod length (mm) | 149.50 |
| Properties | Test Method | Specification |
|---|---|---|
| Cetane index | ASTM D976 | >52 |
| Flash point | ASTM D93 | 71.5 °C |
| Density @ 40 °C | ASTM D7042 | 838.4 kg/m3 |
| Kinematic viscosity @ 40 °C | ASTM D7042 | 3.815 mm2/s |
| Heating value | ASTM D4809 | 45.31 MJ/kg |
| Engine Speed | 1600 rpm | |
|---|---|---|
| Engine load | 20 Nm | |
| Intake air temperature | 40–100 °C | |
| Fuel | Premixed | Diesel |
| Directly injected | Diesel | |
| Injection pressure | Premixed | 700 kPa |
| Directly injected | 19,600 kPa | |
| Injection timing | Premixed | 47 °ABDC |
| Directly injected | 17 °BTDC | |
| Premixed ratio, rp | 0–0.6 |
Publisher’s Note: MDPI stays neutral with regard to jurisdictional claims in published maps and institutional affiliations. |
© 2021 by the authors. Licensee MDPI, Basel, Switzerland. This article is an open access article distributed under the terms and conditions of the Creative Commons Attribution (CC BY) license (https://creativecommons.org/licenses/by/4.0/).
Share and Cite
Teoh, Y.H.; Huspi, H.A.; How, H.G.; Sher, F.; Din, Z.U.; Le, T.D.; Nguyen, H.T. Effect of Intake Air Temperature and Premixed Ratio on Combustion and Exhaust Emissions in a Partial HCCI-DI Diesel Engine. Sustainability 2021, 13, 8593. https://doi.org/10.3390/su13158593
Teoh YH, Huspi HA, How HG, Sher F, Din ZU, Le TD, Nguyen HT. Effect of Intake Air Temperature and Premixed Ratio on Combustion and Exhaust Emissions in a Partial HCCI-DI Diesel Engine. Sustainability. 2021; 13(15):8593. https://doi.org/10.3390/su13158593
Chicago/Turabian StyleTeoh, Yew Heng, Hishammudin Afifi Huspi, Heoy Geok How, Farooq Sher, Zia Ud Din, Thanh Danh Le, and Huu Tho Nguyen. 2021. "Effect of Intake Air Temperature and Premixed Ratio on Combustion and Exhaust Emissions in a Partial HCCI-DI Diesel Engine" Sustainability 13, no. 15: 8593. https://doi.org/10.3390/su13158593
APA StyleTeoh, Y. H., Huspi, H. A., How, H. G., Sher, F., Din, Z. U., Le, T. D., & Nguyen, H. T. (2021). Effect of Intake Air Temperature and Premixed Ratio on Combustion and Exhaust Emissions in a Partial HCCI-DI Diesel Engine. Sustainability, 13(15), 8593. https://doi.org/10.3390/su13158593

