Proximate Composition and Nutritive Value of Some Leafy Vegetables from Faisalabad, Pakistan
Abstract
:1. Introduction
2. Material and Methods
2.1. Collection Sites
2.2. Plant Physiological and Nutritional Analysis
2.3. Determination of Photosynthetic Pigments
2.4. Determination of Proximate Contents
2.5. Determination of Nutrients
2.6. Determination of Oxalate and Tannin Content
2.7. Statistical Analysis
3. Results
3.1. Photosynthetic Pigments
3.2. Proximate Contents
3.3. Mineral Nutrients
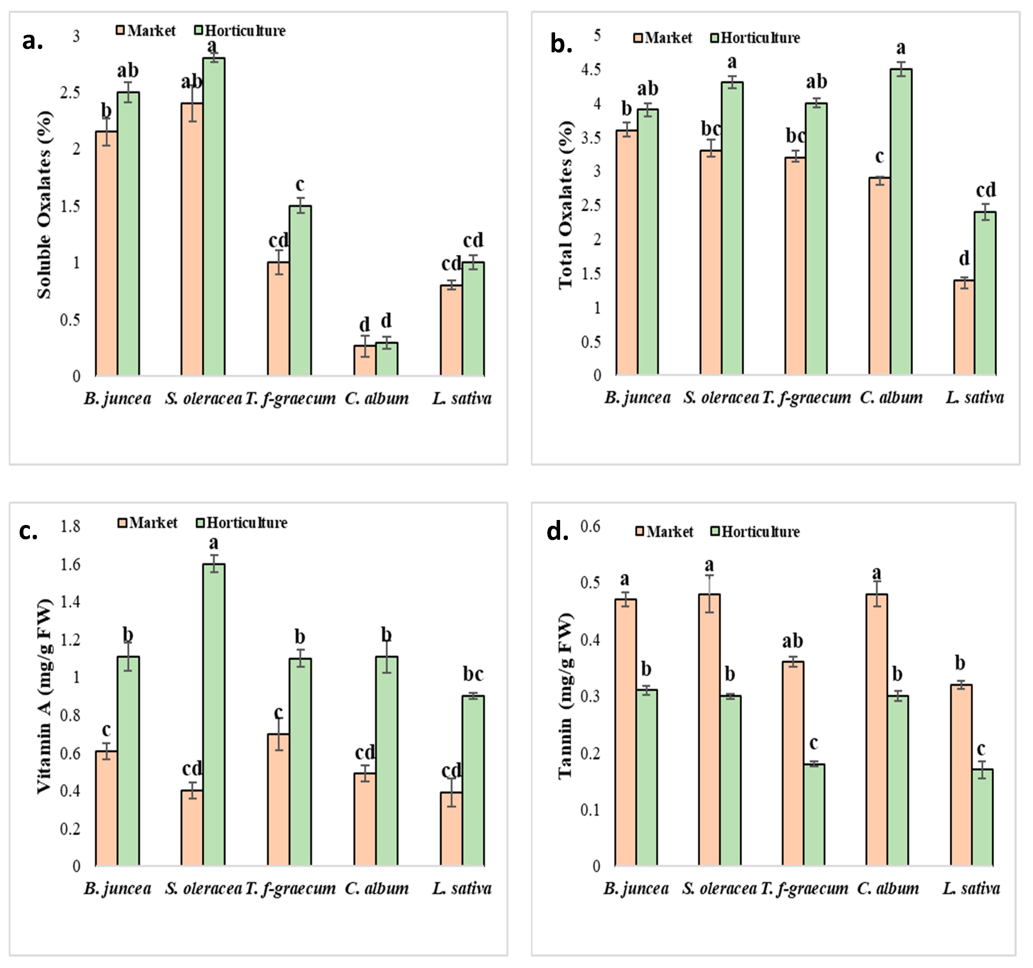
3.4. Oxalate, Vitamin A and Tannins
3.5. Multivariate Analysis
3.6. Correlation Matrix
4. Discussion
5. Conclusions
Author Contributions
Funding
Institutional Review Board Statement
Informed Consent Statement
Data Availability Statement
Acknowledgments
Conflicts of Interest
References
- Witt, K.E.; Dunn, C. Increasing fruit and vegetable consumption among preschoolers: Evaluation of Color Me Healthy. J. Nutr. Educ. Behav. 2012, 44, 107–113. [Google Scholar] [CrossRef] [PubMed]
- de Wild, V.W.; de Graaf, C.; Jager, G. Effectiveness of flavour nutrient learning and mere exposure as mechanisms to increase toddler’s intake and preference for green vegetables. Appetite 2013, 64, 89–96. [Google Scholar] [CrossRef]
- Savage, J.S.; Peterson, J.; Marini, M.; Bordi, P.L., Jr.; Birch, L.L. The addition of a plain or herb-flavored reduced-fat dip is associated with improved preschoolers’ intake of vegetables. J. Acad. Nutr. Diet. 2013, 113, 1090–1095. [Google Scholar] [CrossRef]
- Radek, M.; Savage, G. Oxalates in some Indian green leafy vegetables. Int. J. Food Sci. Nutr. 2008, 59, 246–260. [Google Scholar] [CrossRef] [PubMed]
- Appleton, K.M.; Hemingway, A.; Saulais, L.; Dinnella, C.; Monteleone, E.; Depezay, L.; Morizet, D.; Perez-Cueto, F.A.; Bevan, A.; Hartwell, H. Increasing vegetable intakes: Rationale and systematic review of published interventions. Eur. J. Nutr. 2016, 55, 869–896. [Google Scholar] [CrossRef] [PubMed] [Green Version]
- Correia, D.C.; O’Connell, M.; Irwin, M.L.; Henderson, K.E. Pairing vegetables with a liked food and visually appealing presentation: Promising strategies for increasing vegetable consumption among preschoolers. Child. Obes. 2014, 10, 72–76. [Google Scholar] [CrossRef] [PubMed]
- Aune, D.; Giovannucci, E.; Boffetta, P.; Fadnes, L.T.; Keum, N.; Norat, T.; Greenwood, D.C.; Riboli, E.; Vatten, L.J.; Tonstad, S. Fruit and vegetable intake and the risk of cardiovascular disease, total cancer and all-cause mortality—A systematic review and dose-response meta-analysis of prospective studies. Int. J. Epidemiol. 2017, 46, 1029–1056. [Google Scholar] [CrossRef] [PubMed]
- Williams, P.; Phillips, G. Introduction to food hydrocolloids. In Handbook of Hydrocolloids; Elsevier: Amsterdam, The Netherlands, 2009; pp. 1–22. [Google Scholar]
- Ozel, B.; Cikrikci, S.; Aydin, O.; Oztop, M.H. Polysaccharide blended whey protein isolate-(WPI) hydrogels: A physicochemical and controlled release study. Food Hydrocoll. 2017, 71, 35–46. [Google Scholar] [CrossRef]
- GILANI12, S.A.; Fujii, Y.; Shinwari, Z.K.; Adnan, M.; Kikuchi, A.; Watanabe, K.N. Phytotoxic studies of medicinal plant species of Pakistan. Pak. J. Bot 2010, 42, 987–996. [Google Scholar]
- Szymanska-Chargot, M.; Zdunek, A. Use of FT-IR spectra and PCA to the bulk characterization of cell wall residues of fruits and vegetables along a fraction process. Food Biophys. 2013, 8, 29–42. [Google Scholar] [CrossRef] [Green Version]
- Hussain, J.; Rehman, N.U.; Khan, A.L.; Hamayun, M.; Hussain, S.M.; Shinwari, Z.K. Proximate and essential nutrients evaluation of selected vegetables species from Kohat region, Pakistan. Pak. J. Bot 2010, 42, 2847–2855. [Google Scholar]
- Arhin, S.K.; Zhao, Y.; Lu, X.; Chetry, M.; Lu, J. Effect of micronutrient supplementation on IVF outcomes: A systematic review of the literature. Reprod. Biomed. Online 2017, 35, 715–722. [Google Scholar] [CrossRef] [PubMed] [Green Version]
- Arreguín, A.; Ribot, J.; Mušinović, H.; von Lintig, J.; Palou, A.; Bonet, M. Dietary vitamin A impacts DNA methylation patterns of adipogenesis-related genes in suckling rats. Arch. Biochem. Biophys. 2018, 650, 75–84. [Google Scholar] [CrossRef]
- Fukui, K.; Kaneuji, A.; Hirata, H.; Tsujioka, J.-I.; Shioya, A.; Yamada, S.; Kawahara, N. Bilateral spontaneous simultaneous femoral neck occult fracture in a middle-aged man due to osteoporosis and vitamin D deficiency osteomalacia: A case report and literature review. Int. J. Surg. Case Rep. 2019, 60, 358–362. [Google Scholar] [CrossRef]
- Zoroddu, M.A.; Aaseth, J.; Crisponi, G.; Medici, S.; Peana, M.; Nurchi, V.M. The essential metals for humans: A brief overview. J. Inorg. Biochem. 2019, 195, 120–129. [Google Scholar] [CrossRef]
- Bae, Y.J.; Kratzsch, J. Vitamin D and calcium in the human breast milk. Best Pract. Res. Clin. Endocrinol. Metab. 2018, 32, 39–45. [Google Scholar] [CrossRef] [PubMed]
- Chaleshtori, F.S.; Arian, A.; Chaleshtori, R.S. Assessment of sodium benzoate and potassium sorbate preservatives in some products in Kashan, Iran with estimation of human health risk. Food Chem. Toxicol. 2018, 120, 634–638. [Google Scholar] [CrossRef] [PubMed]
- Grames, J.; Zoboli, O.; Laner, D.; Rechberger, H.; Zessner, M.; Sánchez-Romero, M.; Prskawetz, A. Understanding feedbacks between economic decisions and the phosphorus resource cycle: A general equilibrium model including material flows. Resour. Policy 2019, 61, 311–347. [Google Scholar] [CrossRef]
- Petchidurai, G.; Amruthraj, N.J.; John, M.S.; Sahayaraj, K.; Murugesan, N.; Pucciarelli, S. Standardization of quantification of total tannins, condensed tannin and soluble phlorotannins extracted from thirty-two drifted coastal macroalgae using high performance liquid chromatography. Bioresour. Technol. Rep. 2019, 7, 100273. [Google Scholar] [CrossRef]
- Afzal, J.; Saleem, M.H.; Batool, F.; Elyamine, A.M.; Rana, M.S.; Shaheen, A.; El-Esawi, M.A.; Tariq Javed, M.; Ali, Q.; Arslan Ashraf, M.; et al. Role of Ferrous Sulfate (FeSO4) in Resistance to Cadmium Stress in Two Rice (Oryza sativa L.) Genotypes. Biomolecules 2020, 10, 1693. [Google Scholar] [CrossRef]
- Nkafamiya, I.I.; Osemeahon, S.; Modibbo, U.; Aminu, A. Nutritional status of non-conventional leafy vegetables, Ficus asperifolia and Ficus sycomorus. Afr. J. Food Sci. 2010, 4, 104–108. [Google Scholar]
- Oyebode, O.; Gordon-Dseagu, V.; Walker, A.; Mindell, J.S. Fruit and vegetable consumption and all-cause, cancer and CVD mortality: Analysis of Health Survey for England data. J. Epidemiol. Community Health 2014, 68, 856–862. [Google Scholar] [CrossRef]
- Arnon, D.I. Copper enzymes in isolated chloroplasts. Polyphenoloxidase in Beta vulgaris. Plant Physiol. 1949, 24, 1. [Google Scholar] [CrossRef] [Green Version]
- Association of Official Analytical Chemists. Official Methods of Analysis; Association of Official Analytical Chemists: Rockville, MD, USA, 1920. [Google Scholar]
- Gerhardt, K.O. Gas chromatography—Mass spectrometry. In Principles and Applications of Gas Chromatography in Food Analysis; Springer: Berlin/Heidelberg, Germany, 1990; pp. 59–85. [Google Scholar]
- Sgherri, C.; Quartacci, M.F.; Navari-Izzo, F. Early production of activated oxygen species in root apoplast of wheat following copper excess. J. Plant Physiol. 2007, 164, 1152–1160. [Google Scholar] [CrossRef]
- Wolf, B. An improved universal extracting solution and its use for diagnosing soil fertility. Commun. Soil Sci. Plant. Anal. 1982, 13, 1005–1033. [Google Scholar] [CrossRef]
- Chinma, C.; Igyor, M.A. Micronutrient and anti-nutritional contents of selected tropical vegetables grown in South East, Nigeria. Niger. Food J. 2007, 25, 111–116. [Google Scholar]
- Molinari, R.; Buonomenna, M.G.; Cassano, A.; Drioli, E. Rapid determination of tannins in tanning baths by adaptation of BSA method. Ann. Chim. 2001, 91, 255–263. [Google Scholar]
- Kumari, D.; John, S. Health risk assessment of pesticide residues in fruits and vegetables from farms and markets of Western Indian Himalayan region. Chemosphere 2019, 224, 162–167. [Google Scholar] [CrossRef] [PubMed]
- Hashmat, S.; Shahid, M.; Tanwir, K.; Abbas, S.; Ali, Q.; Niazi, N.K.; Akram, M.S.; Saleem, M.H.; Javed, M.T. Elucidating distinct oxidative stress management, nutrient acquisition and yield responses of Pisum sativum L. fertigated with diluted and treated wastewater. Agri. Water Manag. 2021, 247, 106720. [Google Scholar] [CrossRef]
- Ali, Q.; Ahmar, S.; Sohail, M.A.; Kamran, M.; Ali, M.; Saleem, M.H.; Rizwan, M.; Ahmed, A.M.; Mora-Poblete, F.; do Amaral, A.T., Jr. Research advances and applications of biosensing technology for the diagnosis of pathogens in sustainable agriculture. Environ. Sci. Poll. Res. 2021, 1–18. [Google Scholar] [CrossRef]
- Yang, Q.-W.; Xu, Y.; Liu, S.-J.; He, J.-F.; Long, F.-Y. Concentration and potential health risk of heavy metals in market vegetables in Chongqing, China. Ecotoxicol. Environ. Saf. 2011, 74, 1664–1669. [Google Scholar] [CrossRef]
- Liang, H.; Wu, W.-L.; Zhang, Y.-H.; Zhou, S.-J.; Long, C.-Y.; Wen, J.; Wang, B.-Y.; Liu, Z.-T.; Zhang, C.-Z.; Huang, P.-P. Levels, temporal trend and health risk assessment of five heavy metals in fresh vegetables marketed in Guangdong Province of China during 2014–2017. Food Control 2018, 92, 107–120. [Google Scholar] [CrossRef]
- Wang, X.; Wang, G.; Guo, T.; Xing, Y.; Mo, F.; Wang, H.; Fan, J.; Zhang, F. Effects of plastic mulch and nitrogen fertilizer on the soil microbial community, enzymatic activity and yield performance in a dryland maize cropping system. Eur. J. Soil Sci. 2021, 72, 400–412. [Google Scholar] [CrossRef]
- Zhang, J.; Wang, S.; Song, S.; Xu, F.; Pan, Y.; Wang, H. Transcriptomic and proteomic analyses reveal new insight into chlorophyll synthesis and chloroplast structure of maize leaves under zinc deficiency stress. J. Proteom. 2019, 199, 123–134. [Google Scholar] [CrossRef]
- Zheng, T.; Liu, N.; Wu, L.; Li, M.; Sun, H.; Zhang, Q.; Wu, J. Estimation of Chlorophyll Content in Potato Leaves Based on Spectral Red Edge Position. IFAC Pap. OnLine 2018, 51, 602–606. [Google Scholar] [CrossRef]
- Zeb, A.; Imran, M. Carotenoids, pigments, phenolic composition and antioxidant activity of Oxalis corniculata leaves. Food Biosci. 2019, 32, 100472. [Google Scholar] [CrossRef]
- Žnidarčič, D.; Ban, D.; Šircelj, H. Carotenoid and chlorophyll composition of commonly consumed leafy vegetables in Mediterranean countries. Food Chem. 2011, 129, 1164–1168. [Google Scholar] [CrossRef] [PubMed]
- Cruz, R.; Casal, S. Direct analysis of vitamin A, vitamin E, carotenoids, chlorophylls and free sterols in animal and vegetable fats in a single normal-phase liquid chromatographic run. J. Chromatogr. A 2018, 1565, 81–88. [Google Scholar] [CrossRef] [PubMed]
- Kuo-Huang, L.-L.; Ku, M.S.; Franceschi, V.R. Correlations between calcium oxalate crystals and photosynthetic activities in palisade cells of shadeadapted Peperomia glabella. Bot. Stud. 2007, 48, 155–164. [Google Scholar]
- Wang, X.; Fan, J.; Xing, Y.; Xu, G.; Wang, H.; Deng, J.; Wang, Y.; Zhang, F.; Li, P.; Li, Z. The effects of mulch and nitrogen fertilizer on the soil environment of crop plants. Adv. Agron. 2019, 153, 121–173. [Google Scholar]
- Khan, M.N.; Rehman, M.; Khan, K. A study of chemical composition of Cocos nucifera L.(coconut) water and its usefulness as rehydration fluid. Pak. J. Bot. 2003, 35, 925–930. [Google Scholar]
- Nnamani, C.; Oselebe, H.; Agbatutu, A. Assessment of nutritional values of three underutilized indigenous leafy vegetables of Ebonyi State, Nigeria. Afr. J. Biotechnol. 2009, 8, 2321–2324. [Google Scholar]
- Mosca, P.; Leheup, B.; Dreumont, N. Nutrigenomics and RNA methylation: Role of micronutrients. Biochimie 2019, 164, 53–59. [Google Scholar] [CrossRef]
- Pandey, M.; Abidi, A.; Singh, S.; Singh, R. Nutritional evaluation of leafy vegetable paratha. J. Hum. Ecol. 2006, 19, 155–156. [Google Scholar] [CrossRef]
- Hawashi, M.; Altway, A.; Widjaja, T.; Gunawan, S. Optimization of process conditions for tannin content reduction in cassava leaves during solid state fermentation using Saccharomyces cerevisiae. Heliyon 2019, 5, e02298. [Google Scholar] [CrossRef] [Green Version]
- Arina, M.I.; Harisun, Y. Effect of extraction temperatures on tannin content and antioxidant activity of Quercus infectoria (Manjakani). Biocatal. Agric. Biotechnol. 2019, 19, 101104. [Google Scholar] [CrossRef]









| Species Name | Local Name | Family Name | Parts Used |
|---|---|---|---|
| Brassica juncea | Saag | Brassicaceae | Leaves |
| Spinacia oleracea | Palak | Amaranthaceae | Leaves |
| Trigonella foenum-graecum | Methi | Fabaceae | Flashy leaves |
| Chenopodium album | Bathu | Amaranthaceae | Leaves |
| Lactuca sativa | Salad | Asteraceae | Shoots |
Publisher’s Note: MDPI stays neutral with regard to jurisdictional claims in published maps and institutional affiliations. |
© 2021 by the authors. Licensee MDPI, Basel, Switzerland. This article is an open access article distributed under the terms and conditions of the Creative Commons Attribution (CC BY) license (https://creativecommons.org/licenses/by/4.0/).
Share and Cite
Mobeen; Wang, X.; Saleem, M.H.; Parveen, A.; Mumtaz, S.; Hassan, A.; Adnan, M.; Fiaz, S.; Ali, S.; Iqbal Khan, Z.; et al. Proximate Composition and Nutritive Value of Some Leafy Vegetables from Faisalabad, Pakistan. Sustainability 2021, 13, 8444. https://doi.org/10.3390/su13158444
Mobeen, Wang X, Saleem MH, Parveen A, Mumtaz S, Hassan A, Adnan M, Fiaz S, Ali S, Iqbal Khan Z, et al. Proximate Composition and Nutritive Value of Some Leafy Vegetables from Faisalabad, Pakistan. Sustainability. 2021; 13(15):8444. https://doi.org/10.3390/su13158444
Chicago/Turabian StyleMobeen, Xiukang Wang, Muhammad Hamzah Saleem, Abida Parveen, Sahar Mumtaz, Amara Hassan, Muhammad Adnan, Sajid Fiaz, Sajjad Ali, Zafar Iqbal Khan, and et al. 2021. "Proximate Composition and Nutritive Value of Some Leafy Vegetables from Faisalabad, Pakistan" Sustainability 13, no. 15: 8444. https://doi.org/10.3390/su13158444
APA StyleMobeen, Wang, X., Saleem, M. H., Parveen, A., Mumtaz, S., Hassan, A., Adnan, M., Fiaz, S., Ali, S., Iqbal Khan, Z., Ali, S., & Yasin, G. (2021). Proximate Composition and Nutritive Value of Some Leafy Vegetables from Faisalabad, Pakistan. Sustainability, 13(15), 8444. https://doi.org/10.3390/su13158444

